The What, Where, and Why of Airbnb Price Determinants
Abstract
1. Introduction
2. Case Study Cities
3. Data Reclassification and Definition of Location Determinants
3.1. Airbnb Data
3.2. Variables Related to Location
3.2.1. Touristic Area Delineation
3.2.2. Proximity to the Coastline
4. Data Variables Selection
- The dependent variable, which is the price of the accommodation as advertised on the Airbnb website;
- Accommodation characteristics, which include both the physical definition of the accommodation—the offer type, property type, number of bathrooms, bedrooms available—; and limitations and charges: maximum number of guests allowed, security deposit fee, cleaning fee, cancellation policy, minimum nights of stay;
- Advertisement and host features—number of property photos displayed, how long the property has been advertised online, rating or numeric valuation—;
- Environmental characteristics, accommodation location in relation to the four Instasights tourist layers;
- Location characteristics that distinguish the municipal term in which the accommodation listing is located, the distance from both the coastal fringe and the touristic area.
5. Method for Identifying the Relation between Accommodation Attributes and Price
- ln (Pi) is the neperian logarithm of daily_price for the property “i”
- α is the fixed component, which is independent from the market.
- βj is the parameter to be estimated, related to the characteristic “j”.
- Xij is the continuous variable that considers the characteristic “j” of observation “i”.
- γk is the parameter to be estimated, related to the characteristic “k”.
- Dik is the fictitious variable that considers the characteristic “k” of observation “i”.
- εi is the term of the error associated with the observation “i”.
- Yi is the dependent variable
- Xi is the matrix of independent variables
- βθ is the vector of parameters to be estimated for quantile θ
- uθi is the aleatory perturbation that corresponds to quantile θ.
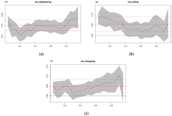
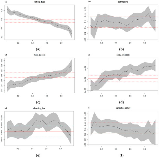
6. Results
7. Discussion
8. Conclusions
Author Contributions
Funding
Conflicts of Interest
Appendix A
| Model 1 QR 0.10 | Model 2 QR 0.25 | Model 3 QR 0.50 | Model 4 QR 0.75 | Model 5 QR 0.90 | ||
|---|---|---|---|---|---|---|
| (Constant) | 31.197 (0.000) | 34.578 (0.000) | 40.234 (0.000) | 34.204 (0.000) | 34.415 (0.000) | |
| Accommodation characteristics | listing_type | 23.020 (0.000) | 24.944 (0.000) | 21.801 (0.000) | 14.047 (0.000) | 11.032 (0.000) |
| bathrooms | 7.703 (0.000) | 12.824 (0.000) | 13.462 (0.000) | 11.849 (0.000) | 12.568 (0.000) | |
| max_guests | 8.605 (0.000) | 10.714 (0.000) | 15.716 (0.000) | 15.624 (0.000) | 13.980 (0.000) | |
| secu_deposit | 2.007 (0.045) | 3.317 (0.001) | 5.899 (0.000) | 6.287 (0.000) | 13.473 (0.000) | |
| cleaning_fee | 13.710 (0.000) | 15.019 (0.000) | 17.751 (0.000) | 20.779 (0.000) | 16.872 (0.000) | |
| cancella_policy | 4.296 (0.000) | 4.657 (0.000) | 3.926 (0.000) | 2.402 (0.016) | 1.820 (0.069) | |
| Ad and host features | num_photos | 4.253 (0.000) | 2.953 (0.003) | 2.329 (0.020) | 2.711 (0.007) | 1.122 (0.262) |
| ad_online_duration | −0.003 (0.998) | 1.631 (0.103) | 4.298 (0.000) | 4.141 (0.000) | 1.017 (0.309) | |
| rating | 5.460 (0.000) | 4.322 (0.000) | 3.000 (0.003) | 1.670 (0.095) | −0.410 (0.682) | |
| Environmental characteristics | cat_sightseeing | 5.607 (0.000) | 5.684 (0.000) | 9.852 (0.000) | 7.816 (0.000) | 8.125 (0.000) |
| cat_eating | 3.353 (0.001) | 2.424 (0.015) | 1.467 (0.142) | 1.367 (0.172) | 0.690 (0.490) | |
| cat_shopping | 1.228 (0.220) | 1.859 (0.063) | 1.986 (0.047) | 2.243 (0.025) | 3.693 (0.000) | |
| valencia | 8.132 (0.000) | 9.966 (0.000) | 9.744 (0.000) | 9.790 (0.000) | 7.104 (0.000) | |
| con_coastalfringe | 2.493 (0.013) | 3.712 (0.000) | 5.627 (0.000) | 5.963 (0.000) | 4.926 (0.000) | |
| discon_coastalfringe | −2.543 (0.011) | −1.162 (0.245) | −1.327 (0.185) | −0.744 (0.457) | −0.231 (0.817) | |
| coastal_dist_km | −3.786 (0.000) | −5.754 (0.000) | −5.247 (0.000) | –5.897 (0.000) | −4.451 (0.000) | |
| inte_cat_dist_km | 2.201 (0.028) | 1.791 (0.073) | 2.011 (0.044) | 3.505 (0.000) | 3.481 (0.001) |
References
- Hamari, J.; Sjöklint, M.; Ukkonen, A. The sharing economy: Why people participate in collaborative consumption. J. Assoc. Inf. Sci. Technol. 2015, 67, 2047–2059. [Google Scholar] [CrossRef]
- Tussyadiah, I.P.; Pesonen, J. Impacts of Peer-to-Peer Accommodation Use on Travel Patterns. J. Travel Res. 2016. [Google Scholar] [CrossRef]
- Fang, B.; Ye, Q.; Law, R. Effect of sharing economy on tourism industry employment. Ann. Tour. Res. 2016, 57, 264–267. [Google Scholar] [CrossRef]
- Chesky, B.; Gebbia, J.; Blecharczyk, N. 10 Years of Community. Available online: https://press.airbnb.com/10-years-of-community/ (accessed on 12 October 2018).
- Wang, C.; Jeong, M. What makes you choose Airbnb again? An examination of users’ perceptions toward the website and their stay. Int. J. Hosp. Manag. 2018, 74. [Google Scholar] [CrossRef]
- Ert, E.; Fleischer, A.; Magen, N. Trust and reputation in the sharing economy: The role of personal photos in Airbnb. Tour. Manag. 2016, 55, 62–73. [Google Scholar] [CrossRef]
- Airbnb. Airbnb and the Rise of Millennial Travel. Economistas, 22 November 2016. [Google Scholar]
- Guttentag, D. Airbnb: Disruptive innovation and the rise of an informal tourism accommodation sector. Curr. Issues Tour. 2013, 18. [Google Scholar] [CrossRef]
- Stors, N.; Kagermeier, A. Motives for Using Airbnb in Metropolitan Tourism—Why do People Sleep in the Bed of a Stranger? Reg. Mag. 2015, 299, 17–19. [Google Scholar] [CrossRef]
- Chen, Y.; Xie, K.L. Consumer valuation of Airbnb listings: A hedonic pricing approach. Int. J. Contemp. Hosp. Manag. 2017, 29, 2405–2424. [Google Scholar] [CrossRef]
- Díaz Armas, R.J.; García Rodríguez, F.J.; Gutiérrez Taño, D. Airbnb como nuevo modelo de negocio disruptivo en la empresa turística: Un análisis de su potencial competitivo a partir de las opiniones de los usuarios. In Proceedings of the XVIII Congreso AECIT. Turismo: Liderazgo, Innovación y Emprendimiento, Benidorm, Spain, 26–28 November 2014. [Google Scholar]
- Liang, S.; Schuckert, M.; Law, R.; Chen, C.-C. Be a “Superhost”: The importance of badge systems for peer-to-peer rental accommodations. Tour. Manag. 2017, 60. [Google Scholar] [CrossRef]
- Prothero, A.; Dobscha, S.; Freund, J.; Kilbourne, W.E.; Luchs, M.G.; Ozanne, L.K.; Thøgersen, J. Sustainable Consumption: Opportunities for Consumer Research and Public Policy. J. Public Policy Mark. 2011, 30, 31–38. [Google Scholar] [CrossRef]
- Danielle Sacks The Sharing Economy. Available online: https://www.fastcompany.com/1747551/sharing-economy (accessed on 18 October 2018).
- Botsman, R.; Rogers, R. What’s Mine Is Yours: The Rise of Collaborative Consumption; HarperCollins Business: New York City, USA, 2010; ISBN 9780874216561. [Google Scholar]
- Priceonomics Airbnb vs Hotels: A Price Comparison. Available online: https://priceonomics.com/hotels/ (accessed on 15 October 2018).
- Lawler, R. Airbnb: Our Guests Stay Longer and Spend More Than Hotel Guests, Contributing $56M to the San Francisco Economy. Available online: https://techcrunch.com/2012/11/09/airbnb-research-data-dump/?guccounter=1 (accessed on 10 October 2018).
- Porges, S. The Airbnb Effect: Bringing Life To Quiet Neighborhoods. Available online: https://www.forbes.com/sites/sethporges/2013/01/23/the-airbnb-effect-bringing-life-to-quiet-neighborhoods/#560623fb5a86 (accessed on 15 October 2018).
- Hung, W.T.; Shang, J.K.; Wang, F.C. Pricing determinants in the hotel industry: Quantile regression analysis. Int. J. Hosp. Manag. 2010, 29, 378–384. [Google Scholar] [CrossRef]
- Wong, K.K.F.; Kim, S. Exploring the differences in hotel guests’ willingness-to-pay for hotel rooms with different views. Int. J. Hosp. Tour. Adm. 2012, 13, 6–93. [Google Scholar] [CrossRef]
- Yelkur, R.; Nêveda Dacosta, M.M. Differential pricing and segmentation on the Internet: The case of hotels. Manag. Decis. 2001, 39, 252–261. [Google Scholar] [CrossRef]
- Zhang, Z.; Chen, R.J.C.; Han, L.D.; Yang, L. Key factors affecting the price of Airbnb listings: A geographically weighted approach. Sustainability 2017, 9, 1635. [Google Scholar] [CrossRef]
- Ikkala, T.; Lampinen, A. Defining the price of hospitality: Networked hospitality exchange via Airbnb. In Proceedings of the 17th ACM Conference on Computer Supported Cooperative Work & Social Computing (CSCW Companion 2014), Baltimore, MD, USA, 15–19 February 2014; pp. 173–176. [Google Scholar]
- Wang, D.; Nicolau, J.L. Price determinants of sharing economy based accommodation rental: A study of listings from 33 cities on Airbnb.com. Int. J. Hosp. Manag. 2017. [Google Scholar] [CrossRef]
- Li, Y.; Pan, Q.; Yang, T.; Guo, L. Reasonable price recommendation on Airbnb using Multi-Scale clustering. In Proceedings of the 2016 35th Chinese Control Conference, Chengdu, China, 27–29 July 2016; pp. 7038–7041. [Google Scholar]
- Tang, E.; Sangani, K. Neighborhood and Price Prediction for San Francisco Airbnb Listings. Available online: http://cs229.stanford.edu/proj2015/236_report.pdf (accessed on 15 October 2018).
- INE Instituto Nacional de Estadística. Available online: http://www.ine.es/ (accessed on 10 October 2018).
- Font Arellano, A. The Explosion of the City: Territorial Transformations in the South Europe Urban Regions; Ministerio de Vivienda: Madrid, Spain, 2006; ISBN 978-84-96387-25-6. [Google Scholar]
- Ministerio de Fomento Vivienda. Available online: https://www.fomento.gob.es/vivienda (accessed on 17 October 2018).
- Frenken, K.; Schor, J. Putting the sharing economy into perspective. Environ. Innov. Soc. Trans. 2017, 23, 3–10. [Google Scholar] [CrossRef]
- AirDNA Short-Term Rental Data Methodology—The AI and science behind AirDNA. Available online: https://www.airdna.co/methodology (accessed on 28 August 2018).
- Rubio-Hurtado, M.-J.; Vilà-Baños, R. El análisis de conglomerados bietápico o en dos fases con SPSS. Rev. Innov. Recerca Educ. 2016, 10, 118–126. [Google Scholar] [CrossRef]
- Torres Gordillo, J.J.; Perera Rodríguez, V.H. Cálculo de la fiabilidad y concordancia entre codificadores de un sistema de categorías para el estudio del foro online en e-learning. Rev. Investig. Educ. 2009, 27, 89–103. [Google Scholar]
- Fleiss, J.L.; Levin, B.; Cho Paik, M. Statistical Methods for Rates and Proportions; Wiley: Hayfork, CA, USA, 1981; ISBN 0471064289. [Google Scholar]
- Altman, D.G. Practical Statistics for Medical Research; Chapman: New York, NY, USA, 1991; ISBN 0-412-27630-5. [Google Scholar]
- Gutiérrez, J.; García-Palomares, J.C.; Romanillos, G.; Salas-Olmedo, M.H. The eruption of Airbnb in tourist cities: Comparing spatial patterns of hotels and peer-to-peer accommodation in Barcelona. Tour. Manag. 2017, 62, 278–291. [Google Scholar] [CrossRef]
- AVUXI Ltd. What Are AVUXI TopPlace Heat Maps? Available online: http://support.avuxi.com/support/what-are-avuxi-geopopularity-heat-maps (accessed on 3 October 2018).
- AVUXI LTD InstaSights. Available online: https://www.instasights.com (accessed on 1 August 2018).
- Lancaster, K.J. A New Approach to Consumer Theory Author. J. Polit. Econ. 1966, 74, 132–157. [Google Scholar] [CrossRef]
- Álvarez Cáceres, R. Estadística Multivariante y No Paramétrica con SPSS: Aplicación a las Ciencias de la Salud; Ediciones Díaz de Santos: Madrid, Spain, 1995; ISBN 978-8479781804. [Google Scholar]
- Sirmans, S.; Macpherson, D.; Zietz, E. The composition of hedonic pricing models. J. Real Estate Lit. 2005, 13, 1–44. [Google Scholar]
- Yrigoyen, C.C.; Sánchez Reyes, B. E Prezo Da Vivenda En Madrid. Rev. Galega Econ. 2012, 21, 277–296. [Google Scholar]
- Zietz, J.; Zietz, E.N.; Sirmans, G.S. Determinants of house prices: A quantile regression approach. J. Real Estate Financ. Econ. 2008, 37, 317–333. [Google Scholar] [CrossRef]
- Kain, J.F.; Quigley, J.M. Housing Markets and Racial Discrimination: A Microeconomic Analysis; Urban and Regional Studies; Univ Microfilms Inc.: Ann Arbor, MI, USA, 1975; ISBN 978-0-87014-270-3. [Google Scholar]
- Kennedy, P.E. Estimation with correctly interpreted dummy variables in semilogarithmic equations. Am. Econ. Rev. 1981, 71, 801. [Google Scholar] [CrossRef]
- Koenker, R.; Bassett, G. Regression Quantiles. Econometrica 1978, 46, 33–50. [Google Scholar] [CrossRef]
- Koenker, R. Quantile Regression; Cambridge University Press: New York, NY, USA, 2005; ISBN 9780521845731. [Google Scholar]
- Koenker, R. R Package ‘Quantreg’ 2018. Available online: https://CRAN.R-project.org/package=quantreg (accessed on 5 September 2018).
- Barroda, I.; Roberts, F.D.K. Solution of an overdetermined system of equations in the l1 norm [F4]. Commun. ACM 1974, 17, 319–320. [Google Scholar] [CrossRef]
- Koenker, R.; D’Orey, V. Remark AS R92: A Remark on Algorithm AS 229: Computing Dual Regression Quantiles and Regression Rank Scores. J. R. Stat. Soc. 1994, 43, 410–414. [Google Scholar] [CrossRef]
- Koenker, R.; D’Orey, V. Algorithm AS 229: Computing Regression Quantiles. J. R. Stat. Soc. 1987, 36, 383–393. [Google Scholar] [CrossRef]
- Koenker, R.; Machado, J.A.F. Goodness of Fit and related inference processes for quantile regression. J. Am. Stat. Assoc. 1999, 94, 1296–1310. [Google Scholar] [CrossRef]
- Kaya, A.; Atan, M. Determination of the Factors That Affect House Prices in Turkey by Using Hedonic Pricing Model. J. Bus. Econ. Financ. 2014, 3, 313–327. [Google Scholar]
- Carlos, J.; Velásquez, H.; Agudelo, J. Infraestructura pública y precios de vivienda: Una aplicación de regresión geográficamente ponderada en el contexto de precios hedónicos. Ecos Econ. 2011, 15, 95–122. [Google Scholar]
- Quispe Villafuerte, A. Una aplicación del modelo de precios hedónicos al mercado de viviendas en Lima metropolitana. Rev. Econ. 2017, 9, 85–122. [Google Scholar]
- Marmolejo, C. The incidence of the energy rating on residential values: An analysis for the multifamily market in Barcelona. Inf. Constr. 2016, 68, e156. [Google Scholar] [CrossRef]
- Lama Santos, F.A. Determinación de las Cualidades de Valor en la Valoración de Bienes Inmuebles. La Influencia del Nivel Socioeconómico en la Valoración de la Vivienda. Ph.D. Thesis, Universitat Politècnica de València, Valencia, Spain, 2017. [Google Scholar]
- Gutt, D.; Herrmann, P. Sharing means caring? Hosts’ price reaction to rating visibility. In ECIS 2015 Research-in-Progress Papers; AIS Electronic Library (AISeL): Münster, Germany, 2015; Volume 54. [Google Scholar]
- Li, J.; Moreno, A.; Zhang, D.J. Agent Pricing Behavior in the Sharing Economy: Evidence from Airbnb. SSRN Electron. J. 2015. [Google Scholar] [CrossRef]
- Bull, A.O. Pricing a motel’s location. Int. J. Contemp. Hosp. Manag. 1994, 6, 10–15. [Google Scholar] [CrossRef]
- Chen, C.F.; Rothschild, R. An application of hedonic pricing analysis to the case of hotel rooms in Taipei. Tour. Econ. 2010, 16, 685–694. [Google Scholar] [CrossRef]
- Lee, S.K.; Jang, S.C. Premium or discount in hotel room rates? the dual effects of a central downtown location. Cornell Hosp. Q. 2012, 53, 165–173. [Google Scholar] [CrossRef]
- Zhang, H.; Zhang, J.; Lu, S.; Cheng, S.; Zhang, J. Modeling hotel room price with geographically weighted regression. Int. J. Hosp. Manag. 2011, 30, 1036–1043. [Google Scholar] [CrossRef]
- Zervas, G.; Proserpio, D.; Byers, J. The rise of the sharing economy: Estimating the impact of Airbnb on the hotel industry. J. Mark. Res. 2017, 54, 687–705. [Google Scholar] [CrossRef]
- Moreno Izquierdo, L.; Ramón Rodríguez, A.; Such Devesa, M.J. Turismo colaborativo: ¿Está Airbnb transformando el sector del alojamiento? Economistas 2016, 150, 107–119. [Google Scholar]
- Perles Ribes, J.; Moreno Izquierdo, L.; Ramón Rodríguez, A.; Such Devesa, M. The Rental Prices of the Apartments under the New Tourist Environment: A Hedonic Price Model Applied to the Spanish Sun-and-Beach Destinations. Economies 2018, 6, 23. [Google Scholar] [CrossRef]












| Municipality | Population (INE 2016) | Area (Ha) |
|---|---|---|
| Valencia (Valencia province capital) | 790,201 | 13,662.8 |
| Alicante (Alicante province capital) | 330,525 | 20,191.6 |
| Castellón de la Plana (Castellón province capital) | 170,990 | 10,911.0 |
| Elche | 227,659 | 32,720.2 |
| Province | Main Residence (MR) | Second Homes (SR) | Total |
|---|---|---|---|
| Alicante | 733,260 | 560,795 | 1,294,055 |
| Castellón | 238,523 | 184,965 | 423,488 |
| Valencia | 1,065,625 | 398,990 | 1,464,615 |
| Total | 2,037,408 | 1,144,750 | 3,182,158 |
| Property Type | Frequency | % | |
|---|---|---|---|
| Multi-family building | Apartment | 6620 | 33.81 |
| Entire apartment | 6083 | 31.07 | |
| Private room in apartment | 2715 | 13.87 | |
| Private room in house | 399 | 2.04 | |
| Condominium | 396 | 2.02 | |
| Entire loft | 256 | 1.31 | |
| Private room in bed and breakfast | 145 | 0.74 | |
| Loft | 129 | 0.66 | |
| Other | 118 | 0.60 | |
| Vacation home | 93 | 0.48 | |
| Private room | 71 | 0.36 | |
| Private room in condominium | 62 | 0.32 | |
| Shared room in apartment | 38 | 0.19 | |
| Serviced apartment | 34 | 0.17 | |
| Entire Floor | 33 | 0.17 | |
| Private room in bed & break | 29 | 0.15 | |
| Entire condominium | 25 | 0.13 | |
| Private room in vacation home | 20 | 0.10 | |
| Private room in serviced apartment | 8 | 0.04 | |
| Shared room in house | 7 | 0.04 | |
| Entire bed and breakfast | 4 | 0.02 | |
| Entire vacation home | 4 | 0.02 | |
| Entire serviced apartment | 3 | 0.02 | |
| Shared room in condominium | 2 | 0.01 | |
| Entire floor | 1 | 0.01 | |
| Shared room in guest suite | 1 | 0.01 | |
| Single-family building | House | 680 | 3.47 |
| Entire house | 440 | 2.25 | |
| Entire place | 108 | 0.55 | |
| Entire chalet | 36 | 0.18 | |
| Private room in bungalow | 35 | 0.18 | |
| Entire bungalow | 34 | 0.17 | |
| Entire villa | 34 | 0.17 | |
| Townhouse | 28 | 0.14 | |
| Entire townhouse | 26 | 0.13 | |
| Bungalow | 25 | 0.13 | |
| Chalet | 25 | 0.13 | |
| Villa | 24 | 0.12 | |
| Casa particular | 18 | 0.09 | |
| Private room in casa particular | 17 | 0.09 | |
| Private room in villa | 14 | 0.07 | |
| Private room in chalet | 13 | 0.07 | |
| Private room in townhouse | 12 | 0.06 | |
| Entire cabin | 4 | 0.02 | |
| Shared room in villa | 1 | 0.01 | |
| Room | Bed & Breakfast | 138 | 0.70 |
| Bed & Breakfast | 106 | 0.54 | |
| Private room in guest suite | 101 | 0.52 | |
| Guest suite | 51 | 0.26 | |
| Guesthouse | 35 | 0.18 | |
| Dorm | 32 | 0.16 | |
| Private room in guesthouse | 30 | 0.15 | |
| Hostel | 25 | 0.13 | |
| Private room in dorm | 13 | 0.07 | |
| Private room in hostel | 9 | 0.05 | |
| Private room in loft | 7 | 0.04 | |
| Cabin | 6 | 0.03 | |
| Entire guest suite | 5 | 0.03 | |
| Entire in-law | 4 | 0.02 | |
| Shared room in bed and brea | 4 | 0.02 | |
| Shared room in dorm | 4 | 0.02 | |
| Boutique hotel | 1 | 0.01 | |
| In-law | 1 | 0.01 | |
| Pension (Korea) | 1 | 0.01 | |
| Private room in cabin | 1 | 0.01 | |
| Private room in in-law | 1 | 0.01 | |
| Shared room | 1 | 0.01 | |
| Shared room in bed and breakfast | 1 | 0.01 | |
| Nature lodge | 1 | 0.01 | |
| Shared room in casa particular | 1 | 0.01 | |
| Others | Boat | 20 | 0.10 |
| Camper/RV | 7 | 0.04 | |
| Private room in boat | 5 | 0.03 | |
| Earth House | 2 | 0.01 | |
| Igloo | 2 | 0.01 | |
| Private room in cottage | 2 | 0.01 | |
| Earth house | 1 | 0.01 | |
| Entire boat | 1 | 0.01 | |
| Treehouse | 1 | 0.01 | |
| Total | 19,578 | 100 |
| Numerical Variables | Continuous Variables (Quantity) | |
|---|---|---|
| Property type—79 classes | Bathrooms—number | |
| Listing type | Entire home/apartment (0 = N/A, 1 = yes) | Minimum stay—days |
| Private room (0 = N/A, 1 = yes) | Daily price—USD | |
| Shared room (0= N/A, 1 = yes) | Bedrooms—number | |
| Airbnb Categories | Variables | Cluster 1 | Relevance |
|---|---|---|---|
| Property type | Property_type | Yes, it is a private room in apartment (45.3%) * | 1.00 |
| Listing type | Entire_home/apartment | No, it is not an entire home/apartment (100%) * | 1.00 |
| Private_room | Yes, it is a private room (100%) * | 1.00 | |
| Shared_room | No, it is not a shared room (100%) * | 0.38 | |
| Min_stay | 2.03 days ** | 0.12 | |
| Bathrooms | 1.23 units ** | 0.43 | |
| Daily_price | 35.91 USD ** | 1.00 | |
| Bedrooms | 1.10 units ** | 1.00 | |
| Cluster 2 | |||
| Property type | Property_type | Yes, it is a house (22.1%) * | 1.00 |
| Listing type | Entire_ home/apartment | Yes, it is an entire home/apartment (94%) * | 1.00 |
| Private_room | No, it is not a private room (98.4%) * | 1.00 | |
| Shared_room | No, it is not a shared room (95.6%) * | 0.38 | |
| Mini_stay | 6.76 days ** | 0.12 | |
| Bathrooms | 1.86 units ** | 0.43 | |
| Daily_price | 127.31 USD ** | 1.00 | |
| Bedrooms | 2.30 units ** | 1.00 | |
| Cluster 3 | |||
| Property type | Property_type | Yes, it is an apartment (100%) * | 1.00 |
| Listing type | Entire_ home/apartment | Yes, it is an entire home/apartment (100%) * | 1.00 |
| Private_room | No, it is not a private room (100%) * | 1.00 | |
| Shared_room | No, it is not a shared room (100%) * | 0.38 | |
| Min_stay | 2.87 days ** | 0.12 | |
| Bathrooms | 1.33 units ** | 0.43 | |
| Daily_price | 95.36 USD ** | 1.00 | |
| Bedrooms | 2.13 units ** | 1.00 |
| Airbnb categories | Variables | Cluster 1 | Relevance |
|---|---|---|---|
| Property type | Property_type | Yes, it is a private room in apartment (45.3%) * | 1.00 |
| Listing type | Entire_home/apartment | No, it is not an entire home/apartment (100%) * | 1.00 |
| Private_room | Yes, it is a private room (100%) * | 1.00 | |
| Shared_room | No, it is not a shared room (100%) * | 0.38 | |
| Min_stay | 2.03 days ** | 0.12 | |
| Bathrooms | 1.23 units ** | 0.43 | |
| Daily_price | 35.91 USD ** | 1.00 | |
| Bedrooms | 1.10 units ** | 1.00 | |
| Cluster 2 | |||
| Property type | Property_type | Yes, it is a house (22.2%) * | 1.00 |
| Listing type | Entire_ home/apartment | Yes, it is an entire home/apartment (93.9%) * | 1.00 |
| Private_room | No, it is not a private room (98.4%) * | 1.00 | |
| Shared_room | No, it is not a shared room (95.6%) * | 0.38 | |
| Min_stay | 6.78 days ** | 0.12 | |
| Bathrooms | 1.66 units ** | 0.43 | |
| Daily_price | 126.52 USD ** | 1.00 | |
| Bedrooms | 2.30 units ** | 1.00 | |
| Cluster 3 | |||
| Property type | Property_type | Yes, it is an apartment (100%) * | 1.00 |
| Listing type | Entire_ home/apartment | Yes, it is an entire home/apartment (100%) * | 1.00 |
| Private_room | No, it is not a private room (100%) * | 1.00 | |
| Shared_room | No, it is not a shared room (100%) * | 0.38 | |
| Min_stay | 2.87 days ** | 0.12 | |
| Bathrooms | 1.33 units ** | 0.43 | |
| Daily_price | 95.59 USD ** | 1.00 | |
| Bedrooms | 2.14 units ** | 1.00 |
| Value of K | Asymptotic Standard Error a | Aprox. S b | Aprox. Sig. | |
|---|---|---|---|---|
| Measure of agreement Kappa | 0.999 | 0.000 | 152.580 | 0.000 |
| No. of valid cases | 13852 |
| Value of K | Strength of Agreement |
|---|---|
| ≤0.40 | Poor |
| 0.40–0.60 | Fair |
| 0.61–0.75 | Good |
| ≥0.75 | Excellent |
| Value of K | Strength of Agreement |
|---|---|
| ≤0.20 | Poor |
| 0.21–0.4 | Fair |
| 0.41–0.6 | Moderate |
| 0.61–0.8 | Good |
| 0.81–1.00 | Very good |
| Multi-Family Building | Single-Family Building | Room | Others | |||||
|---|---|---|---|---|---|---|---|---|
| C | P | CP | C | P | CP | P | CP | |
| Apartment Condominium Entire apartment Entire bed and breakfast Entire condominium Entire Floor Entire loft Entire serviced apartment Entire vacation home Loft Other Private room Private room in apartment Private room in bed and breakfast Private room in condominium Private room in house Private room in serviced apartment Private room in vacation home Serviced apartment Shared room in apartment Shared room in condominium Shared room in guest suite Shared room in house Vacation home | Bungalow Casa particular Chalet Entire bungalow Entire cabin Entire chalet Entire house Entire place Entire townhouse Entire villa House Private room in bungalow Private room in casa particular Private room in chalet Private room in townhouse Private room in villa Shared room in villa Townhouse Villa | Bed & Breakfast Bed & Breakfast Boutique hotel Cabin Dorm Entire guest suite Entire in-Law Guest suite Guesthouse Hostel In-Law Nature lodge Other Pension Private room in cabin Private room in dorm Private room in guest suite Private room in guesthouse Private room in hostel Private room in in-law Private room in loft Shared room Shared room in bed & breakfast Shared room in dorm Nature lodge Shared room in casa particular | Boat Camper/RV Earth House Entire boat Igloo Private room in boat Private room in cottage Treehouse | |||||
| Category | Variable Name | Variable Type | Definition |
|---|---|---|---|
| Dependent variable | daily_price | Continuous | Daily price assigned to the property (USD) |
| Accommodation characteristics | listing_type | Numerical | Identification of offer type, differentiating between room only or complete dwelling: 0 = room only; 1 = complete dwelling |
| property_type | Numerical | Identification of property type, differentiating between single-family or multi-family housing: 0 = single-family housing; 1 = multi-family housing | |
| bathrooms | Continuous | Number of bathrooms available in the property | |
| max_guests | Continuous | Maximum number of guests permitted | |
| secu_deposit | Continuous | Deposit requested in USD | |
| cleaning_fee | Continuous | Housekeeping charge in USD | |
| cancella_policy | Numerical | Cancellation policy: 1 = flexible; 2 = moderate; 3 = strict; 4 = very strict | |
| min_stay | Continuous | Minimum rental days required | |
| bedrooms | Continuous | Number of bedrooms available | |
| Ad and host features | num_photos | Continuous | Number of photos in the advertisement |
| ad_online_duration | Continuous | Number of years that the advertisement has been posted online | |
| rating | Continuous | Guest evaluation score | |
| Environmental characteristics | cat_sightseeing | Numerical | Identification of property location within the four category areas: 1 = Applicable; 0 = Not Applicable (N/A) |
| cat_eating | Numerical | ||
| cat_shopping | Numerical | ||
| cat_nightlife | Numerical | ||
| Location characteristics | castellon | Numerical | Identification of property location: 1 = Applicable; 0 = Not Applicable (N/A) |
| valencia | Numerical | ||
| alicante | Numerical | ||
| elche | Numerical | ||
| con_coastalfringe | Numerical | Identification of property location within a continuous coastal fringe: 1 = Applicable; 0 = N/A | |
| discon_coastalfringe | Numerical | Identification of property location within a discontinuous coastal fringe: 1 = Applicable; 0 = N/A | |
| urban_land | Numerical | Identification of property location on urban land or non-urban: 1 = urban land; 0 = non-urban land | |
| coastal_dist_km | Continuous | Distance (km) from the property to the coast | |
| inte_cat_dist_km | Continuous | Distance (km) from the property to the intersection of the four category areas |
| Continuous Variables | Numerical Variables | |||||||
|---|---|---|---|---|---|---|---|---|
| Category | Variable | Average | SD | Min | Max | Codification | Frequency | % |
| Dependent variable | daily_price | 97.71 | 60.04 | 11.38 | 969.13 | - | ||
| ln_daily_price | 4.45 | 0.52 | 2.43 | 6.88 | - | |||
| Accommodation characteristics | listing_type | - | 0 Room 1 Complete | 412 3772 | 9.8% 90.2% | |||
| property_type | - | 0 Single-family 1 Multi-family | 316 3868 | 7.6% 92.4% | ||||
| bathrooms | 1.38 | 0.58 | 0.00 | 7.00 | - | |||
| max_guests | 4.65 | 2.06 | 1.00 | 16.00 | - | |||
| secu_deposit | 240.89 | 164.52 | 89.00 | 4,532.00 | - | |||
| cleaning_fee | 45.55 | 26.82 | 5.00 | 447.00 | - | |||
| cancella_policy | - | 1 flexible 2 moderate 3 strict 4 very strict | 641 1599 1925 19 | 15.3% 38.2% 46.0% 0.5% | ||||
| min_stay | 3.32 | 13.11 | 1.00 | 365.00 | - | |||
| bedrooms | 2.14 | 1.09 | 0.00 | 9.00 | - | |||
| Ad and host features | num_photos | 23.88 | 13.71 | 1.00 | 131.00 | - | ||
| ad_online_duration | 2.20 | 1.38 | 1.00 | 6.00 | - | |||
| rating | 4.56 | 0.49 | 1.00 | 5.00 | - | |||
| Environmental characteristics | cat_sightseeing | - | 0 N/A 1 Applicable | 2858 1326 | 68.3% 31.7% | |||
| cat_eating | - | 0 N/A 1 Applicable | 3331 853 | 79.6% 20.4% | ||||
| cat_shopping | - | 0 N/A 1 Applicable | 3542 642 | 84.7% 15.3% | ||||
| cat_nightlife | - | 0 N/A 1 Applicable | 3665 519 | 87.6% 12.4% | ||||
| Location characteristics | valencia | - | 0 Alicante 1 Applicable | 1265 2919 | 30.2% 69.8% | |||
| continu_coastline | - | 0 N/A 1 Applicable | 3735 449 | 89.3% 10.7% | ||||
| discon_coastline | - | 0 N/A 1 Applicable | 4088 96 | 97.7% 2.3% | ||||
| coastal_dist _km | 2.14 | 1.62 | 0.00 | 11.19 | - | |||
| inte_cat_dist_ km | 1.64 | 2.52 | 0.00 | 20.55 | - | |||
| (Constant) | 2.777 *** (0.054) | |
|---|---|---|
| Accommodation characteristics | listing_type | 0.563 *** (0.018) |
| bathrooms | 0.157 *** (0.010) | |
| max_guests | 0.061 *** (0.003) | |
| secu_deposit | 0.0002 *** (0.00003) | |
| cleaning_fee | 0.005 *** (0.0002) | |
| cancella_policy | 0.032 *** (0.007) | |
| Ad and host features | num_photos | 0.001 *** (0.0003) |
| ad_online_duration | 0.013 *** (0.004) | |
| rating | 0.024 * (0.010) | |
| Environmental characteristics | cat_sightseeing | 0.152 *** (0.015) |
| cat_eating | 0.054 * (0.022) | |
| cat_shopping | 0.048 * (0.022) | |
| Location characteristics | alicante | Reference |
| valencia | 0.165 *** (0.013) | |
| con_coastalfringe | 0.109 *** (0.019) | |
| discon_coastalfringe | −0.115 * (0.048) | |
| coastal_dist_km | −0.027 *** (0.004) | |
| inte_cat_dist_km | 0.013 *** (0.003) | |
| Statistical significance *** p < 0.001, ** p < 0.01, * p < 0.05 | ||
| R² | 0.641 | |
| adj. R² | 0.639 | |
| Std. Error | 0.31116 | |
| F (sig.) | 437.329 (0.000) | |
| DW | 1.737 | |
| Model 1 QR 0.10 | Model 2 QR 0.25 | Model 3 QR 0.50 | Model 4 QR 0.75 | Model 5 QR 0.90 | ||
|---|---|---|---|---|---|---|
| (Constant) | 2.164 *** (0.069) | 2.407 *** (0.070) | 2.688 *** (0.066) | 2.975 *** (0.087) | 3.388 *** (0.098) | |
| Accommodation characteristics | listing_type | 0.738 *** (0.032) | 0.696 *** (0.028) | 0.579 *** (0.027) | 0.460 *** (0.033) | 0.395 *** (0.036) |
| bathrooms | 0.132 *** (0.017) | 0.164 *** (0.013) | 0.151 *** (0.011) | 0.164 *** (0.014) | 0.163 *** (0.013) | |
| max_guests | 0.043 *** (0.005) | 0.043 *** (0.004) | 0.057 *** (0.004) | 0.063 *** (0.004) | 0.073 *** (0.005) | |
| secu_deposit | 0.0001 * (0.00004) | 0.0002 *** (0.0001) | 0.0003 *** (0.00006) | 0.0004 *** (0.0001) | 0.0004 *** (0.00003) | |
| cleaning_fee | 0.005 *** (0.0003) | 0.005 *** (0.0003) | 0.005 *** (0.0003) | 0.005 *** (0.0003) | 0.005 *** (0.0003) | |
| cancella_policy | 0.046 *** (0.011) | 0.036 *** (0.008) | 0.029 *** (0.007) | 0.021 * (0.009) | 0.019 (0.011) | |
| Ad and host features | num_photos | 0.003 *** (0.001) | 0.001 ** (0.0004) | 0.0009 * (0.0003) | 0.001 ** (0.0005) | 0.001 (0.001) |
| ad_online_duration | −0.00002 (0.006) | 0.008 (0.005) | 0.017 *** (0.004) | 0.016 *** (0.004) | 0.005 (0.005) | |
| rating | 0.058 *** (0.011) | 0.055 *** (0.013) | 0.037 ** (0.012) | 0.027 (0.016) | −0.008 (0.019) | |
| Environmental characteristics | cat_sightseeing | 0.136 *** (0.024) | 0.117 *** (0.021) | 0.149 *** (0.015) | 0.137 *** (0.018) | 0.177 *** (0.022) |
| cat_eating | 0.093 *** (0.028) | 0.066 * (0.027) | 0.029 (0.020) | 0.040 (0.029) | 0.020 (0.029) | |
| cat_shopping | 0.032 (0.026) | 0.046 (0.025) | 0.041 * (0.021) | 0.069 * (0.031) | 0.106 *** (0.029) | |
| valencia | 0.207 *** (0.025) | 0.170 *** (0.017) | 0.144 *** (0.015) | 0.159 *** (0.016) | 0.163 *** (0.023) | |
| con_coastalfringe | 0.100 * (0.040) | 0.092 *** (0.025) | 0.131 *** (0.023) | 0.141 *** (0.024) | 0.123 *** (0.025) | |
| discon_coastalfringe | −0.346 * (0.136) | −0.089 (0.076) | −0.075 (0.056) | −0.072 (0.097) | −0.015 (0.063) | |
| coastal_dist_km | −0.025 *** (0.007) | −0.027 *** (0.005) | −0.022 *** (0.004) | −0.028 *** (0.005) | −0.031 *** (0.007) | |
| inte_cat_dist_km | 0.017 * (0.008) | 0.008 (0.004) | 0.008 * (0.004) | 0.017 *** (0.005) | 0.017 *** (0.005) | |
| pseudo-R1 | 0.479 | 0.415 | 0.378 | 0.378 | 0.397 |
© 2018 by the authors. Licensee MDPI, Basel, Switzerland. This article is an open access article distributed under the terms and conditions of the Creative Commons Attribution (CC BY) license (http://creativecommons.org/licenses/by/4.0/).
Share and Cite
Perez-Sanchez, V.R.; Serrano-Estrada, L.; Marti, P.; Mora-Garcia, R.-T. The What, Where, and Why of Airbnb Price Determinants. Sustainability 2018, 10, 4596. https://doi.org/10.3390/su10124596
Perez-Sanchez VR, Serrano-Estrada L, Marti P, Mora-Garcia R-T. The What, Where, and Why of Airbnb Price Determinants. Sustainability. 2018; 10(12):4596. https://doi.org/10.3390/su10124596
Chicago/Turabian StylePerez-Sanchez, V. Raul, Leticia Serrano-Estrada, Pablo Marti, and Raul-Tomas Mora-Garcia. 2018. "The What, Where, and Why of Airbnb Price Determinants" Sustainability 10, no. 12: 4596. https://doi.org/10.3390/su10124596
APA StylePerez-Sanchez, V. R., Serrano-Estrada, L., Marti, P., & Mora-Garcia, R.-T. (2018). The What, Where, and Why of Airbnb Price Determinants. Sustainability, 10(12), 4596. https://doi.org/10.3390/su10124596

