Analysis of the Sustainable Development Indicators in the OECD Countries
Abstract
1. Introduction
- People through ending poverty and hunger;
- Planet by protecting the planet from degradation, sustainable management of its natural resources and by taking urgent actions on climate change;
- Prosperity by ensuring of prosperous and fulfilling lives for all human beings;
- Peace by determining to foster peaceful, just and inclusive societies free from fear and violence;
- Partnership by finding the means required to implement the Agenda through Global Partnership for SD.
- No poverty;
- Zero hunger;
- Good health and well-being;
- Quality education;
- Gender equality;
- Clean water and sanitation;
- Affordable and clean energy;
- Decent work and economic growth;
- Industry, innovation and infrastructure;
- Reduced inequalities;
- Sustainable cities and communities;
- Responsible consumption and production;
- Climate action;
- Life bellow water;
- Life on land;
- Peace, justice and strong institutions;
- Partnership for the goals.
2. Materials and Methods
3. Results
3.1. Gross Domestic Product and Current Expenditure on Health per Capita
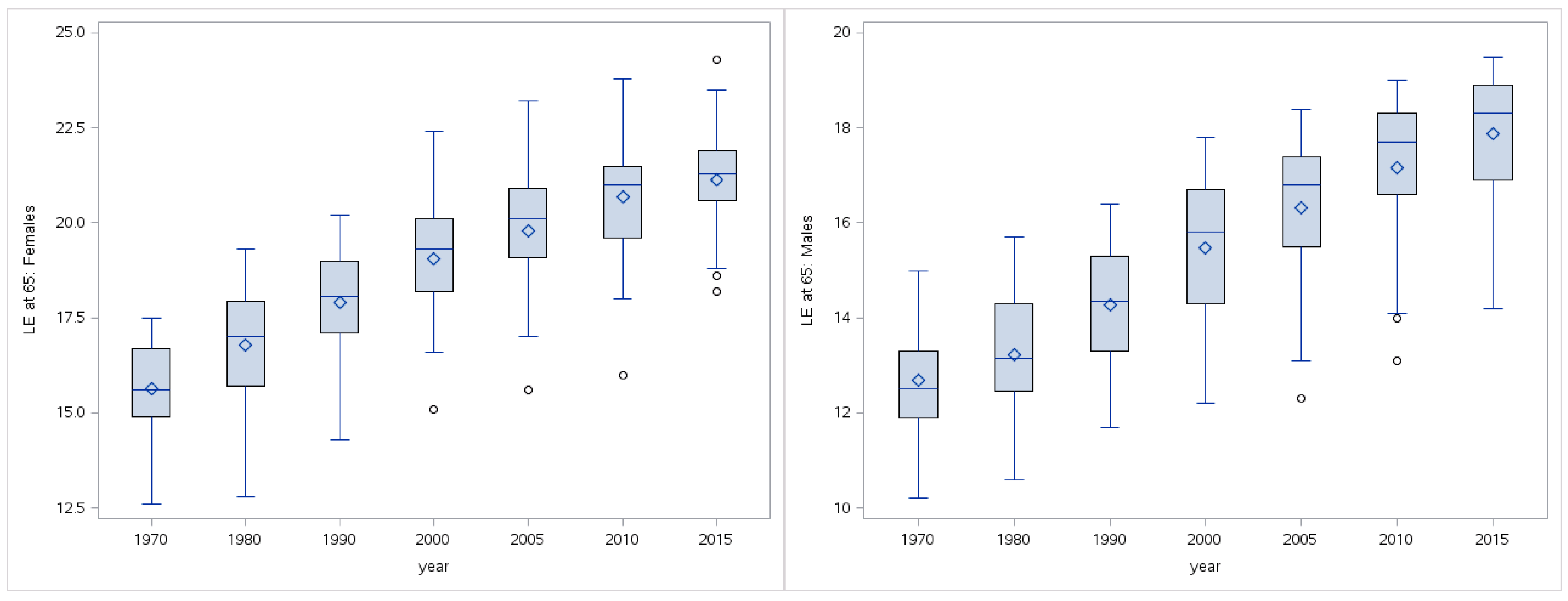
3.2. Life Expectancy at Birth and at Age 65
3.3. Clusters of OECD Countries
- x1
- GDP per capita, in PPP, current prices,
- x2
- Real change in GDP per capita in PPP,
- x3
- Current expenditure on health per capita (all functions), in PPP, current prices,
- x4
- Real change in Health expenditure per capita in PPP,
- x5
- Health expenditures as % of GDP,
- x6
- Government expenditure on health (compulsory schemes) as % of the current expenditure on health,
- x7
- Household out-of-pocket payments on health as % of current expenditure on health,
- x8
- Life expectancy at birth—females,
- x9
- Life expectancy at birth—males,
- x10
- Standardized death rates—malignant neoplasms (MN),
- x11
- Standardized death rates—diabetes mellitus (DM),
- x12
- Standardized death rates—mental and behavioral disorders (MBD),
- x13
- Standardized death rates—diseases of the nervous system (NS),
- x14
- Standardized death rates—diseases of the circulatory system (CS),
- x15
- Standardized death rates—diseases of the respiratory system (RS).
3.3.1. Cluster Analysis—First Period
3.3.2. Cluster Analysis—Second Period
4. Discussion
Author Contributions
Funding
Acknowledgments
Conflicts of Interest
References
- United Nations. General Assembly. Resolution Adopted by the General Assembly on 25 September 2015: 70/1. Transforming Our World: The 2030 Agenda for Sustainable Development; United Nations: New York, NY, USA, 2015. [Google Scholar]
- The Sustainable Development Agenda—United Nations Sustainable Development. Available online: https://www.un.org/sustainabledevelopment/development-agenda/ (accessed on 7 May 2018).
- Earth Summit: Press Summary of Agenda 21; Department of Public Information, United Nations: New York, NY, USA, 1992.
- United Nations. General Assembly. Resolution Adopted by the General Assembly: 55/2. United Nations Millennium Declaration; United Nations: New York, NY, USA, 2000. [Google Scholar]
- Report of the World Summit on Sustainable Development: Johannesburg, South Africa, 26 August–4 September 2002; United Nations: New York, NY, USA, 2002.
- United Nations. General Assembly. Resolution Adopted by the General Assembly on 27 July 2012: 66/288. The Future We Want; United Nations: New York, NY, USA, 2012. [Google Scholar]
- Bebbington, J.; Unerman, J. Achieving the United Nations Sustainable Development Goals. Account. Audit. Account. J. 2018, 31, 2–24. [Google Scholar] [CrossRef]
- About the Sustainable Development Goals—United Nations Sustainable Development. Available online: https://www.un.org/sustainabledevelopment/sustainable-development-goals/ (accessed on 2 May 2018).
- Sustainable Development in the European Union: A statistical Glance from the Viewpoint of the UN Sustainable Development Goals; Eurostat: Luxembourg, 2016.
- OECD. Better Policies for Better Lives. Measuring Distance to the SDG Targets. An Assessment of Where OECD Countries Stand; OECD: Paris, France, 2017. [Google Scholar]
- Better Policies for Sustainable Development 2016: A New Framework for Policy Coherence; OECD Publishing: Paris, France, 2016.
- European Commission. Eurostat. EU SDG Indicator Set. Indicator for Monitoring the Sustainable Development Goals (SDGs) in an EU Context; European Commission: Brussels, Belgium, 2017. [Google Scholar]
- European Commission. Eurostat. EU SDG Indicator Set 2018. Result of the Review in Preparation of the 2018 Edition of the EU SDG Monitoring Report; European Commission: Brussels, Belgium, 2018. [Google Scholar]
- Sustainable Development in the European Union: Monitoring Report on Progress towards the SDGs in an EU Context; Publications Office of the European Union: Luxembourg, 2017.
- OECD. Better Policies for 2030. An OECD Action Plan on Sustainable Development Goals; OECD Publishing: Paris, France, 2016. [Google Scholar]
- Development, OECD and the Sustainable Development Goals: Delivering on Universal Goals and Targets. Available online: http://www.oecd.org/development/sustainable-development-goals.htm (accessed on 16 November 2018).
- European Commission. Available online: https://ec.europa.eu/commission/index_en (accessed on 17 November 2018).
- EU Approach to Sustainable Development. Available online: https://ec.europa.eu/info/strategy/international-strategies/global-topics/sustainable-development-goals/eu-approach-sustainable-development_en#documents (accessed on 17 November 2018).
- European Commission. Communication from the Commission to The European Parliament, The Council, The European Economic and Social Committee and The Committee of The Regions. Next Steps for a Sustainable European Future—European Action for Sustainability; COM/2016/0739; European Commission: Brussels, Belgium, 2016. [Google Scholar]
- Unerman, J.; Bebbington, J.; O’Dwyer, B. Corporate reporting and accounting for externalities. Account. Bus. Res. 2018, 48, 497–522. [Google Scholar] [CrossRef]
- Palmi, P.; Morrone, D.; Miglietta, P.P.; Fusco, G. How Did Organizational Resilience Work Before and after the Financial Crisis? An Empirical Study. Int. J. Bus. Manag. 2018, 13, 54–62. [Google Scholar] [CrossRef]
- Venturelli, A.; Caputo, F.; Leopizzi, R.; Pizzi, S. The EU Directive on non-financial and diversity disclosure: Constraint or opportunity. In Proceedings of the EURAM Conference, Glasgow, Scotland, 21–24 June 2017. [Google Scholar]
- OECD. OECD Statistics. Available online: https://stats.oecd.org/ (accessed on 1 March 2018).
- Loveday, R. Statistics; Cambridge University Press: Cambridge, UK, 2016. [Google Scholar]
- Witte, R.S.; Witte, J.S. Statistics; Wiley: Hoboken, NJ, USA, 2017. [Google Scholar]
- Vu, K. A note on interpreting the beta-convergence effect. Econ. Lett. 2013, 118, 46–49. [Google Scholar] [CrossRef]
- Das, R.C. Handbook of Research on Global Indicators of Economic and Political Convergence; Business Science Reference: Hershey, PA, USA, 2016. [Google Scholar]
- Janssen, F.; Hende, A.V.D.; Beer, J.A.A.D.; Wissen, L.J.V. Sigma and beta convergence in regional mortality: A case study of the Netherlands. Demogr. Res. 2016, 35, 81–116. [Google Scholar] [CrossRef]
- Hofer, H.; Wörgötter, A. Regional Per Capita Income Convergence in Austria. Reg. Stud. 1997, 31, 1–12. [Google Scholar] [CrossRef]
- Pauhofova, I.; Zelinsky, T. On the Regional Convergence of Income at District Level in Slovakia. Èkon. Cas. 2017, 65, 918–934. [Google Scholar]
- Cluster Analysis. Available online: https://www.sciencedirect.com/topics/medicine-and-dentistry/cluster-analysis (accessed on 7 June 2018).
- Conduct and Interpret a Cluster Analysis. Available online: http://www.statisticssolutions.com/cluster-analysis-2/ (accessed on 7 June 2018).
- Statsoft. How to Group Objects into Similar Categories, Cluster Analysis. Available online: http://www.statsoft.com/Textbook/Cluster-Analysis (accessed on 8 June 2018).
- Milligan, G.W. Cluster Analysis; College of Business, Ohio State University: Columbus, OH, USA, 1995. [Google Scholar]
- Uprichard, E.; Byrne, D.S. Cluster Analysis. Logic and Classics; SAGE: London, UK, 2012. [Google Scholar]
- Statistics Solutions. Conduct and Interpret a Factor Analysis. Available online: http://www.statisticssolutions.com/factor-analysis-2/ (accessed on 8 June 2018).
- Dillon, W.R.; Goldstein, M. Multivariate Analysis: Methods and Applications; John Wiley & Sons: New York, NY, USA, 1984. [Google Scholar]
- Dunteman, G.H. Principal Component Analysis; Sage: Newbury Park, CA, USA, 1989. [Google Scholar]
- Jollife, I.T. Principal Component Analysis; Springer: New York, NY, USA, 2010. [Google Scholar]
- Statistics Explained. Available online: http://ec.europa.eu/eurostat/statistics-explained/index.php/Main_Page (accessed on 9 June 2018).
- Your Key to European Statistics. Available online: https://ec.europa.eu/eurostat/web/gdp-and-beyond (accessed on 9 July 2018).
- Carnicky, S.; Megyesiova, S.; Conkova, M.; Zavadsky, C. Productivity development and convergence across the EU Member States. Econ. Ann. XXI 2017, 162, 13–17. [Google Scholar] [CrossRef]
- Monfort, P. Convergence of EU Regions Measures and Evolution; Regional Policy—European Commission: Brussels, Belgium, 2008. [Google Scholar]
- Grau Grau, A.J.; Ramírez López, F. Determinants of Immigration in Europe. The Relevance of Life Expectancy and Environmental Sustainability. Sustainability 2017, 9, 1093. [Google Scholar] [CrossRef]
- Săndică, A.-M.; Dudian, M.; Ştefănescu, A. Air Pollution and Human Development in Europe: A New Index Using Principal Component Analysis. Sustainability 2018, 10, 312. [Google Scholar] [CrossRef]
- Death Rate Due to Chronic Diseases by Sex. Available online: http://ec.europa.eu/eurostat/cache/metadata/en/sdg_03_40_esmsip2.htm (accessed on 29 June 2018).
- Megyesiova, S. The Relationship between the Health Status and Economic Situation in the EU Member States. In SGEM 2014 Conference on Psychology and Psychiatry, Sociology and Healthcare, Education; STEF92 Technology Ltd.: Albena, Bulgaria, 2014. [Google Scholar]
- Loster, T. Determining the optimal number of clusters in cluster analysis. In Proceedings of the 10th International Days of Statistics and Economics, Prague, Czech Republic, 8–10 September 2016; pp. 1078–1090. [Google Scholar]
- Loster, T. Evaluation of coefficients for determining the optimal number of clusters in cluster analysis on real data sets. In Proceedings of the 9th International Days of Statistics and Economics, Prague, Czech Republic, 10–12 September 2015; pp. 1014–1023. [Google Scholar]
- Janotka, M.; Gazda, V.; Horvath, D. Migration Trends Among Regional clusters in Slovakia. Eng. Econ. 2014, 24, 437–446. [Google Scholar] [CrossRef]

















© 2018 by the authors. Licensee MDPI, Basel, Switzerland. This article is an open access article distributed under the terms and conditions of the Creative Commons Attribution (CC BY) license (http://creativecommons.org/licenses/by/4.0/).
Share and Cite
Megyesiova, S.; Lieskovska, V. Analysis of the Sustainable Development Indicators in the OECD Countries. Sustainability 2018, 10, 4554. https://doi.org/10.3390/su10124554
Megyesiova S, Lieskovska V. Analysis of the Sustainable Development Indicators in the OECD Countries. Sustainability. 2018; 10(12):4554. https://doi.org/10.3390/su10124554
Chicago/Turabian StyleMegyesiova, Silvia, and Vanda Lieskovska. 2018. "Analysis of the Sustainable Development Indicators in the OECD Countries" Sustainability 10, no. 12: 4554. https://doi.org/10.3390/su10124554
APA StyleMegyesiova, S., & Lieskovska, V. (2018). Analysis of the Sustainable Development Indicators in the OECD Countries. Sustainability, 10(12), 4554. https://doi.org/10.3390/su10124554

