Spatio-Temporal Changes of Oases in the Hexi Corridor over the Past 30 Years
Abstract
1. Introduction
2. Study Area, Data, and Method
2.1. Study Area
2.2. Data Source
2.3. Oasis Extraction Method and Accuracy Assessment
2.4. Oasis Evolution Analysis Methods
2.4.1. Oasis Changes over Time
2.4.2. Oasis Changes in Space
2.4.3. Oasis Evolution Intensity and Pattern Analysis
3. Results and Discussion
3.1. Accuracy Assessment of Oases Extraction
3.2. Change in Oasis Areas
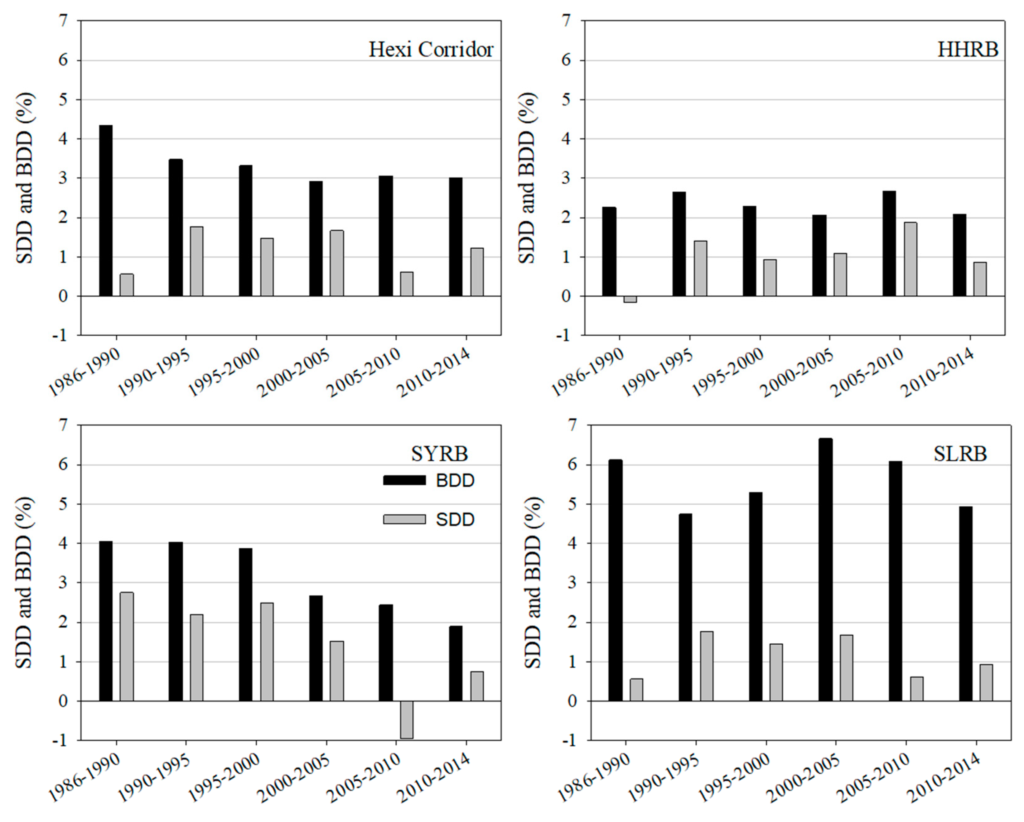
3.3. Trends of Oasis Change
3.4. The Patterns of Oasis Evolution
3.5. Evolution Intensity of Oasis Change
3.6. Application and Uncertainty Analysis of Multi-Temporal Images on Oasis Change
4. Major Driving Forces of the Oasis Spatio-Temporal Change
4.1. Natural Driving Forces of Oasis Evolution
4.2. Population Growth, Market Economy and Policy Factors
5. Conclusions
Author Contributions
Funding
Conflicts of Interest
References
- Turner, B.L. The sustainability principle in global agendas: Implications for understanding land-use/cover change. Geogr. J. 1997, 163, 133–140. [Google Scholar]
- Zhang, B.L.; Yin, L.; Zhang, S.; Feng, C. Assessment on characteristics of LUCC process based on complex network in Modern Yellow River Delta, Shandong Province of China. Earth Sci. Inform. 2016, 9, 83–93. [Google Scholar] [CrossRef]
- Chen, H.; Liang, X.Y.; Li, R. Based on a Multi-Agent System for Multi-Scale Simulation and Application of Household’s LUCC: A Case Study for Mengcha Village, Mizhi County, Shaanxi Province. In Springerplus; Springer: New York, NY, USA, 2013; Volume 2. [Google Scholar]
- Ruelland, D.; Tribotte, A.; Puech, C.; Dieulin, C. Comparison of methods for LUCC monitoring over 50 years from aerial photographs and satellite images in a Sahelian catchment. Int. J. Remote Sens. 2011, 32, 1747–1777. [Google Scholar] [CrossRef]
- Deng, Y.H.; Wang, S.; Bai, X.; Tian, Y.; Wu, L.; Xiao, J.; Chen, F.; Qian, Q. Relationship among land surface temperature and LUCC, NDVI in typical karst area. Sci. Rep. 2018, 8, 641. [Google Scholar] [CrossRef] [PubMed]
- Hasselmann, F.; Csaplovics, E.; Falconer, I.; Bürgi, M.; Hersperger, A.M. Technological driving forces of LUCC: Conceptualization, quantification, and the example of urban power distribution networks. Land Use Policy 2010, 27, 628–637. [Google Scholar] [CrossRef]
- Okin, G.S.; Gillette, D.A.; Herrick, J.E. Multi-scale controls on and consequences of aeolian processes in landscape change in arid and semi-arid environments. J. Arid Environ. 2006, 65, 253–275. [Google Scholar] [CrossRef]
- Bai, J.; Chen, X.; Li, L.; Luo, G.; Yu, Q. Quantifying the contributions of agricultural oasis expansion, management practices and climate change to net primary production and evapotranspiration in croplands in arid northwest China. J. Arid Environ. 2014, 100, 31–41. [Google Scholar] [CrossRef]
- Xie, Y.; Zhao, H.; Wang, G. Spatio-temporal changes in oases in the Heihe River Basin of China: 1963–2013. Écoscience 2015, 22, 33–46. [Google Scholar] [CrossRef]
- Zhang, Z.C.; Dong, Z.B. Grain size characteristics in the Hexi Corridor Desert. Aeolian Res. 2015, 18, 55–67. [Google Scholar] [CrossRef]
- Wang, T.; Xue, X.; Zhou, L.; Guo, J. Combating Aeolian Desertification in Northern China. Land Degrad. Dev. 2015, 26, 118–132. [Google Scholar] [CrossRef]
- Zhang, M.; Luo, G.; De Maeyer, P.; Cai, P.; Kurban, A. Improved Atmospheric Modelling of the Oasis-Desert System in Central Asia Using WRF with Actual Satellite Products. Remote Sens. 2017, 9, 1273. [Google Scholar] [CrossRef]
- Li, B.F.; Chen, Y.N.; Chen, Z.S.; Li, W.H. Trends in runoff versus climate change in typical rivers in the arid region of northwest China. Quat. Int. 2012, 282, 87–95. [Google Scholar] [CrossRef]
- Kang, E.S.; Cheng, G.D.; Lan, Y.C.; Jin, H.J. A model for simulating the response of runoff from the mountainous watersheds of inland river basins in the arid area of northwest China to climatic changes. Sci. China Ser. D 1999, 42, 52–63. [Google Scholar] [CrossRef]
- Huang, S.; Feng, Q.; Lu, Z.X.; Wen, X.H.; Deo, R.C. Trend Analysis of Water Poverty Index for Assessment of Water Stress and Water Management Polices: A Case Study in the Hexi Corridor, China. Sustainability 2017, 9, 756. [Google Scholar] [CrossRef]
- Gong, X.; Cortese, C. A socialist market economy with Chinese characteristics: The accounting annual report of China Mobile. Account. Forum 2017, 41, 206–220. [Google Scholar] [CrossRef]
- Hao, Y.; Xie, Y.; Ma, J.; Zhang, W. The critical role of local policy effects in arid watershed groundwater resources sustainability: A case study in the Minqin oasis, China. Sci. Total Environ. 2017, 601–602, 1084–1096. [Google Scholar] [CrossRef] [PubMed]
- Zuo, L.; Zhang, Z.; Zhao, X.; Wang, X.; Wu, W.; Yi, L.; Liu, F. Multitemporal analysis of cropland transition in a climate-sensitive area: A case study of the arid and semiarid region of northwest China. Reg. Environ. Chang. 2014, 14, 75–89. [Google Scholar] [CrossRef]
- Zhang, X.X.; Xie, Y.W. Detecting Historical Vegetation Changes in the Dunhuang Oasis Protected Area Using Landsat Images. Sustainability 2017, 9, 1780. [Google Scholar] [CrossRef]
- Gamo, M.; Shinoda, M.; Maeda, T. Classification of arid lands, including soil degradation and irrigated areas, based on vegetation and aridity indices. Int. J. Remote Sens. 2013, 34, 6701–6722. [Google Scholar] [CrossRef]
- Gao, B.C. NDWI—A normalized difference water index for remote sensing of vegetation liquid water from space. Remote Sens. Environ. 1996, 58, 257–266. [Google Scholar] [CrossRef]
- McFeeters, S.K. The use of the Normalized Difference Water Index (NDWI) in the delineation of open water features. Int. J. Remote Sens. 1996, 17, 1425–1432. [Google Scholar] [CrossRef]
- Song, W.; Zhang, Y. Expansion of agricultural oasis in the Heihe River Basin of China: Patterns, reasons and policy implications. Phys. Chem. Earth Parts A/B/C 2015, 89–90, 46–55. [Google Scholar] [CrossRef]
- Xie, Y.; Gong, J.; Sun, P.; Gou, X. Oasis dynamics change and its influence on landscape pattern on Jinta oasis in arid China from 1963a to 2010a: Integration of multi-source satellite images. Int. J. Appl. Earth Obs. Geoinf. 2014, 33, 181–191. [Google Scholar] [CrossRef]
- Zhang, Z.; Dong, Z.; Li, J.; Qian, G.; Jiang, C. Implications of surface properties for dust emission from gravel deserts (gobis) in the Hexi Corridor. Geoderma 2016, 268, 69–77. [Google Scholar] [CrossRef]
- Geng, L.Y.; Ma, M.G.; Wang, H.B. An Effective Compound Algorithm for Reconstructing MODIS NDVI Time Series Data and Its Validation Based on Ground Measurements. IEEE J. Sel. Top. Appl. Earth Obs. Remote Sens. 2016, 9, 3588–3597. [Google Scholar] [CrossRef]
- Cheng, W.M.; Zhou, C.H.; Liu, H.J.; Zhang, Y.; Jiang, Y.; Zhang, Y.C.; Yao, Y.H. The oasis expansion and eco-environment change over the last 50 years in Manas River Valley, Xinjiang. Sci. China Ser. D 2006, 49, 163–175. [Google Scholar] [CrossRef]
- Potchter, O.; Goldman, D.; Kadish, D.; Iluz, D. The oasis effect in an extremely hot and arid climate: The case of southern Israel. J. Arid Environ. 2008, 72, 1721–1733. [Google Scholar] [CrossRef]
- Kurita, T.; Otsu, N.; Abdelmalek, N. Maximum likelihood thresholding based on population mixture models. Pattern Recognit. 1992, 25, 1231–1240. [Google Scholar] [CrossRef]
- Otsu, N. A Threshold Selection Method from Gray-Level Histograms. IEEE Trans. Syst. Man Cybern. 2007, 9, 62–66. [Google Scholar] [CrossRef]
- Xie, Y.; Li, L.; Wang, H.; Zhao, X. The application of threshold methods for image segmentation in oasis vegetation extraction. In Proceedings of the 8th International Conference on Geoinformatics, Beijing, China, 18–20 June 2010; pp. 1–4. [Google Scholar]
- Liu, X.P.; Hu, G.H.; Chen, Y.M.; Li, X.; Xu, X.C.; Li, S.Y.; Pei, F.S.; Wang, S.J. High-resolution multi-temporal mapping of global urban land using Landsat images based on the Google Earth Engine Platform. Remote Sens. Environ. 2018, 209, 227–239. [Google Scholar] [CrossRef]
- Li, H.X.; Xiao, P.F.; Feng, X.Z.; Yang, Y.K.; Wang, L.X.; Zhang, W.B.; Wang, X.H.; Feng, W.D.; Chang, X. Using Land Long-Term Data Records to Map Land Cover Changes in China Over 1981-2010. IEEE J. Sel. Top. Appl. Earth Obs. Remote Sens. 2017, 10, 1372–1389. [Google Scholar] [CrossRef]
- Zhou, D.C.; Luo, G.P.; Lei, L.U. Processes and trends of the land use change in Aksu watershed in the central Asia from 1960 to 2008. J. Arid Land 2010, 2, 157–166. [Google Scholar]
- Li, X.Y.; Xiao, D.N.; He, X.Y.; Chen, W.; Song, D.M. Evaluation of landscape changes and ecological degradation by GIS in arid regions: A case study of the terminal oasis of the Shiyang River, northwest China. Environ. Geol. 2007, 52, 947–956. [Google Scholar] [CrossRef]
- Zhao, Y.; Feng, D.; Yu, L.; Wang, X.; Chen, Y.; Bai, Y.; Hernández, H.J.; Galleguillos, M.; Estades, C.; Biging, G.S.; et al. Detailed dynamic land cover mapping of Chile: Accuracy improvement by integrating multi-temporal data. Remote Sens. Environ. 2016, 183, 170–185. [Google Scholar] [CrossRef]
- Aly, A.A.; Al-Omran, A.M.; Sallam, A.S.; Al-Wabel, M.I.; Al-Shayaa, M.S. Vegetation cover change detection and assessment in arid environment using multi-temporal remote sensing images and ecosystem management approach. Solid Earth 2016, 7, 713–725. [Google Scholar] [CrossRef]
- Zhang, Z.; Wang, X.; Zhao, X.; Liu, B.; Yi, L.; Zuo, L.; Wen, Q.; Liu, F.; Xu, J.; Hu, S. A 2010 update of National Land Use/Cover Database of China at 1:100000 scale using medium spatial resolution satellite images. Remote Sens. Environ. 2014, 149, 142–154. [Google Scholar] [CrossRef]
- Foody, G.M. Status of land cover classification accuracy assessment. Remote Sens. Environ. 2002, 80, 185–201. [Google Scholar] [CrossRef]
- Wang, J.; Zhou, T.; Peng, P. Phenology Response to Climatic Dynamic across China’s Grasslands from 1985 to 2010. ISPRS Int. J.Geo-Inf. 2018, 7, 290. [Google Scholar] [CrossRef]
- Comber, A.; Fisher, P.; Brunsdon, C.; Khmag, A. Spatial analysis of remote sensing image classification accuracy. Remote Sens. Environ. 2012, 127, 237–246. [Google Scholar] [CrossRef]
- Roy, D.P. The impact of misregistration upon composited wide field of view satellite data and implications for change detection. IEEE Trans. Geosci. Remote Sens. 2000, 38, 2017–2032. [Google Scholar] [CrossRef]
- Foody, G. Assessing the Accuracy of Remotely Sensed Data: Principles and Practices. Photogramm. Rec. 2010, 25, 204–205. [Google Scholar] [CrossRef]
- Lin, Y.; Liu, B.; Lu, Y.; Xie, F. Correlating Analysis on Spatio-temporal Variation of LUCC and Water Resources Based on Remote Sensing Data. In Proceedings of the Remote Sensing of the Environment: 18th National Symposium on Remote Sensing of China, Wuhan, China, 14 May 2014; Volume 9158. [Google Scholar]
- Liu, J.Y.; Deng, X.Z. Progress of the research methodologies on the temporal and spatial process of LUCC. Chin. Sci. Bull. 2010, 55, 1354–1362. [Google Scholar] [CrossRef]
- Gao, Z.Q.; Deng, X.Z. Analysis on Spatial Features of Lucc Based on Remote Sensing and Gis in China. Chin. Geogr. Sci. 2002, 12, 107–113. [Google Scholar] [CrossRef]
- Yi, K.; Zeng, Y.; Wu, B. Mapping and evaluation the process, pattern and potential of urban growth in China. Appl. Geogr. 2016, 71, 44–55. [Google Scholar] [CrossRef]
- Alqurashi, A.; Kumar, L.; Sinha, P. Urban Land Cover Change Modelling Using Time-Series Satellite Images: A Case Study of Urban Growth in Five Cities of Saudi Arabia. Remote Sens. 2016, 8, 838. [Google Scholar] [CrossRef]
- Kalkhan, M.A.; Reich, R.M.; Stohlgren, T.J. Technical note Assessing the accuracy of Landsat Thematic Mapper classification using double sampling. Int. J. Remote Sens. 1998, 19, 2049–2060. [Google Scholar] [CrossRef]
- Claverie, M.; Ju, J.; Masek, J.G.; Dungan, J.L.; Vermote, E.F.; Roger, J.-C.; Skakun, S.V.; Justice, C. The Harmonized Landsat and Sentinel-2 surface reflectance data set. Remote Sens. Environ. 2018, 219, 145–161. [Google Scholar] [CrossRef]
- Zhang, H.K.; Roy, D.P.; Yan, L.; Li, Z.; Huang, H.; Vermote, E.; Skakun, S.; Roger, J.-C. Characterization of Sentinel-2A and Landsat-8 top of atmosphere, surface, and nadir BRDF adjusted reflectance and NDVI differences. Remote Sens. Environ. 2018, 215, 482–494. [Google Scholar] [CrossRef]
- Pahlevan, N.; Chittimalli, S.K.; Balasubramanian, S.V.; Vellucci, V. Sentinel-2/Landsat-8 product consistency and implications for monitoring aquatic systems. Remote Sens. Environ. 2019, 220, 19–29. [Google Scholar] [CrossRef]
- Li, m.; Yongjian, D.; Jianping, Y.; Chunping, T.; Yuan, Y. The impact of runoff on oasis area, agro-output value and ecological benefits in Shule river basin. J. Desert Res. 2015, 514–520. [Google Scholar]
- Amuti, T.; Luo, G. Analysis of land cover change and its driving forces in a desert oasis landscape of Xinjiang, northwest China. Solid Earth 2014, 5, 1071–1085. [Google Scholar] [CrossRef]
- Zhang, Q.; Luo, G.; Li, L.; Zhang, M.; Lv, N.; Wang, X. An analysis of oasis evolution based on land use and land cover change: A case study in the Sangong River Basin on the northern slope of the Tianshan Mountains. J. Geogr. Sci. 2017, 27, 223–239. [Google Scholar] [CrossRef]
- Cheng, A.F.; Feng, Q.; Fu, G.B.; Zhang, J.K.; Li, Z.X.; Hu, M.; Wang, G. Recent Changes in Precipitation Extremes in the Heihe River basin, Northwest China. Adv. Atmos. Sci. 2015, 32, 1391–1406. [Google Scholar] [CrossRef]
- Liu, H.; Shi, P.; Tong, H.; Zhu, G.; Liu, H.; Zhang, X.; Wei, W.; Wang, X. Characteristics and driving forces of spatial expansion of oasis cities and towns in Hexi Corridor, Gansu Province, China. Chin. Geogr. Sci. 2014, 25, 250–262. [Google Scholar] [CrossRef]
- Zhou, D.; Wang, X.; Shi, M. Human Driving Forces of Oasis Expansion in Northwestern China During the Last Decade-A Case Study of the Heihe River Basin. Land Degrad. Dev. 2017, 28, 412–420. [Google Scholar] [CrossRef]
- Lin, J.Y. Rural Reforms and Agricultural Growth in China. Am. Econ. Rev. 1992, 82, 34–51. [Google Scholar]
- Xue, X.; Liao, J.; Hsing, Y.; Huang, C.; Liu, F. Policies, land use, and water resource management in an arid oasis ecosystem. Environ. Manag. 2015, 55, 1036–1051. [Google Scholar] [CrossRef] [PubMed]







| Path/Row | 1986 | 1990 | 1995 | 2000 | 2005 | 2010 | 2014 |
|---|---|---|---|---|---|---|---|
| 131033 | 16 June 1988 | 25 June 1991 | 6 July 1995 | 19 July 2000 | 2 August 2005 | 18 July 2011 | 10 July 2014 |
| 0.29 | 0.29 | 0.27 | 0.24 | 0.28 | 0.34 | 0.34 | |
| 131034 | 16 June 1988 | 29 July 1992 | 6 July 1995 | 19 July 2000 | 5 August 2006 | 13 August 2009 | 10 July 2014 |
| 0.28 | 0.3 | 0.31 | 0.35 | 0.31 | 0.28 | 0.44 | |
| 132033 | 9 September 1987 | 16 June 1991 | 11 June 1995 | 11 August 2000 | 24 July 2005 | 4 June 2010 | 17 July 2014 |
| 0.31 | 0.4 | 0.36 | 0.32 | 0.34 | 0.38 | 0.41 | |
| 132034 | 9 September 1987 | 2 June 1992 | 11 June 1995 | 11 August 2000 | 6 June 2005 | 17 June 2009 | 17 July 2014 |
| 0.3 | 0.3 | 0.36 | 0.3 | 0.42 | 0.43 | 0.38 | |
| 133033 | 15 August 1987 | 20 June 1990 | 21 August 1995 | 18 August 2000 | 15 July 2005 | 14 August 2010 | 9 August 2014 |
| 0.3 | 0.38 | 0.33 | 0.3 | 0.33 | 0.38 | 0.38 | |
| 134032 | 18 July 1986 | 30 August 1990 | 8 July 1994 | 8 July 2000 | 22 July 2005 | 5 August 2010 | 15 July 2014 |
| 0.31 | 0.25 | 0.35 | 0.35 | 0.4 | 0.38 | 0.37 | |
| 134033 | 7 July 1987 | 20 August 1990 | 8 July 1994 | 24 July 2000 | 7 August 2005 | 5 August 2010 | 15 July 2014 |
| 0.32 | 0.25 | 0.38 | 0.38 | 0.33 | 0.36 | 0.38 | |
| 135032 | 25 July 1986 | 21 August 1990 | 19 August 1995 | 19 August 2000 | 13 July 2007 | 9 June 2010 | 20 June 2014 |
| 0.27 | 0.28 | 0.25 | 0.25 | 0.33 | 0.3 | 0.38 | |
| 136032 | 30 June 1986 | 16 September 1991 | 23 August 1994 | 20 June 2000 | 5 August 2005 | 16 June 2010 | 13 July 2014 |
| 0.3 | 0.26 | 0.3 | 0.25 | 0.33 | 0.3 | 0.38 | |
| 137032 | 23 July 1986 | 19 August 1990 | 17 August 1995 | 13 Juy 2000 | 9 June 2005 | 25 July 2010 | 2 August 2014 |
| 0.24 | 0.28 | 0.3 | 0.35 | 0.35 | 0.28 | 0.26 | |
| 138032 | 19 September 1987 | 14 September 1991 | 20 July 1994 | 17 May 2000 | 22 August 2006 | 14 June 2010 | 27 July 2014 |
| 0.32 | 0.32 | 0.34 | 0.35 | 0.35 | 0.35 | 0.26 |
| Intensity | Value | Evolution | Value | Patterns |
|---|---|---|---|---|
| Stable | SACR = 0 | Stable | SOCR = 0 and SACR = 0 | Stable |
| Relatively stable | 0 < SACR ≤ 0.5 | Changed | −1 ≤ SACR < 0 | Shrinking |
| Relatively Unstable | 0.5 < SACR ≤ 1 | SORC = 0 | Oscillating | |
| Highly unstable | 1 < SACR | 0 < SACR ≤ 1 | Expansive |
| Class | Year | 1986 | 1990 | 1995 | 2000 | 2005 | 2010 | 2014 |
|---|---|---|---|---|---|---|---|---|
| Vegetation | PA | 0.84 | 0.81 | 0.84 | 0.8 | 0.82 | 0.82 | 0.9 |
| UA | 0.88 | 0.81 | 0.89 | 0.86 | 0.87 | 0.81 | 0.9 | |
| waterbody | PA | 0.92 | 0.94 | 0.94 | 0.93 | 91 | 0.97 | 0.98 |
| UA | 0.96 | 0.97 | 0.96 | 1 | 0.95 | 0.97 | 1 | |
| RAIM | PA | 0.96 | 0.83 | 0.84 | 0.86 | 0.82 | 0.85 | 0.86 |
| UA | 0.89 | 0.8 | 0.85 | 0.91 | 0.88 | 0.84 | 0.93 | |
| Desert | PA | 0.94 | 0.89 | 0.9 | 0.88 | 0.86 | 0.79 | 0.9 |
| UA | 0.93 | 0.8 | 0.77 | 0.76 | 0.7 | 0.81 | 0.82 | |
| All types | OA | 0.91 | 0.84 | 0.85 | 0.86 | 0.84 | 0.84 | 0.9 |
| All types | kappa | 0.89 | 0.8 | 0.8 | 0.81 | 0.79 | 0.8 | 0.88 |
© 2018 by the authors. Licensee MDPI, Basel, Switzerland. This article is an open access article distributed under the terms and conditions of the Creative Commons Attribution (CC BY) license (http://creativecommons.org/licenses/by/4.0/).
Share and Cite
Xie, Y.; Bie, Q.; Lu, H.; He, L. Spatio-Temporal Changes of Oases in the Hexi Corridor over the Past 30 Years. Sustainability 2018, 10, 4489. https://doi.org/10.3390/su10124489
Xie Y, Bie Q, Lu H, He L. Spatio-Temporal Changes of Oases in the Hexi Corridor over the Past 30 Years. Sustainability. 2018; 10(12):4489. https://doi.org/10.3390/su10124489
Chicago/Turabian StyleXie, Yaowen, Qiang Bie, Hui Lu, and Lei He. 2018. "Spatio-Temporal Changes of Oases in the Hexi Corridor over the Past 30 Years" Sustainability 10, no. 12: 4489. https://doi.org/10.3390/su10124489
APA StyleXie, Y., Bie, Q., Lu, H., & He, L. (2018). Spatio-Temporal Changes of Oases in the Hexi Corridor over the Past 30 Years. Sustainability, 10(12), 4489. https://doi.org/10.3390/su10124489

