Spatial Pattern Evolution and Optimization of Urban System in the Yangtze River Economic Belt, China, Based on DMSP-OLS Night Light Data
Abstract
1. Introduction
2. Research Area and Data
2.1. Research Area Introduction
2.2. Data
2.2.1. DMSP/OLS Night Light Data
2.2.2. Land Use Data
2.2.3. Vegetation Index Data
2.2.4. Surface Temperature Data
3. Research Methods
3.1. Cluster Analysis of Raw Lighting Data
3.2. Extract the Area of Urban Built-Up Area
3.3. Use Landscape Pattern Change Analysis Method
4. Results and Discussion
4.1. Evolution Characteristics of Urban System Spatial Patterns in the Yangtze River Economic Belt
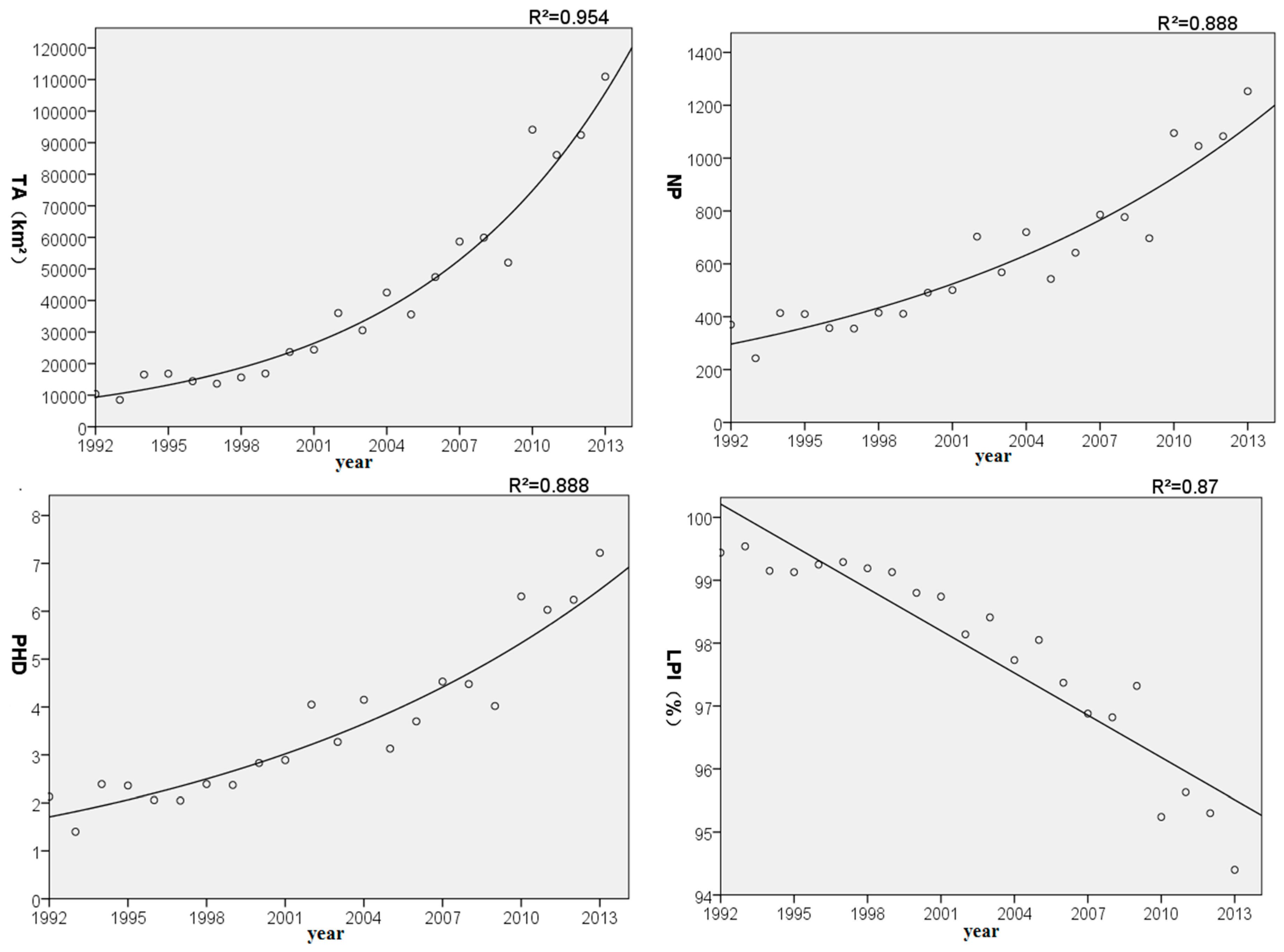
4.1.1. Trends in the Indicators of Total Landscape Area, Total Plaque and Plaque Density
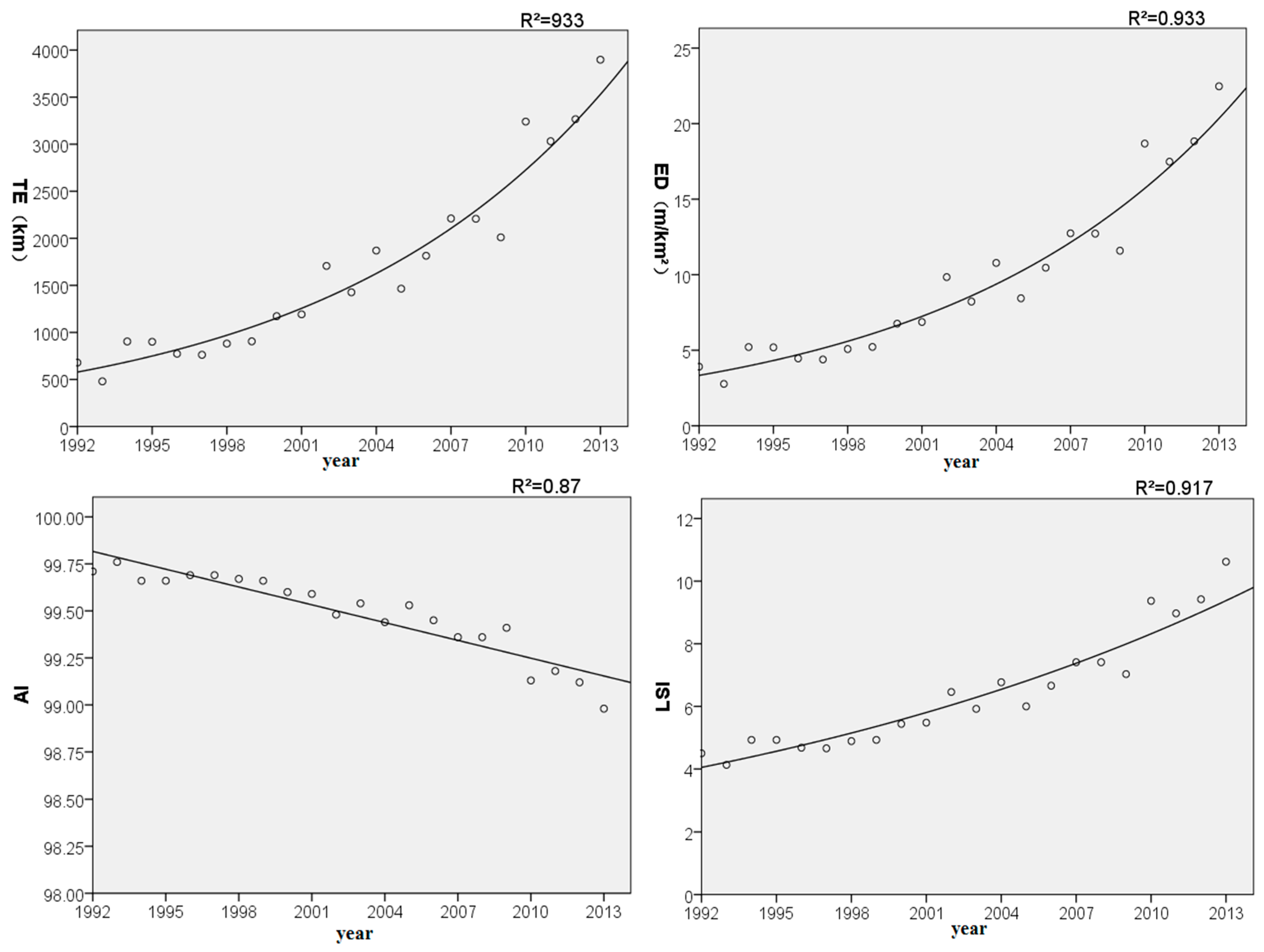
4.1.2. Trends in the Indicators of Total Boundary Length, Average Boundary Density and Landscape Shape Index
4.1.3. Trends in the Indicators of Maximum Plaque Index and Aggregation Index
4.2. Countermeasures and Suggestions on Optimizing the Development of Spatial Pattern of Urban System in the Yangtze River Economic Belt
4.2.1. Implementation of the Outline of the Development Plan for the Yangtze River Economic Belt and a Formulation of Other Relevant Plans with High Specifications
4.2.2. Concentration on the Development of Shanghai, Wuhan, Chengdu and Chongqing, and the Enhancement of the Core Role and Radiation of These Four Core Cities
4.2.3. Actively Develop Large and Medium-Sized Cities and Steadily Expand the Scale of Development of Small Towns, thus Building a Scientific and Rational Town Hierarchy
4.3. Evolution Process of the Spatial Pattern of Urban Systems in the Yangtze River Economic Belt
5. Conclusions
Author Contributions
Funding
Conflicts of Interest
References
- Yao, S.M.; Zhu, Y.M.; Chen, Z.G. Chinese City Group; University of Science and Technology Press: Hefei, China, 2001. (In Chinese) [Google Scholar]
- Wu, S.D.; Li, T.T. Industrial Spatial Structure and Evolution of the Hercynian Urban Agglomeration. Geogr. Sci. 2011, 31, 309–315. (In Chinese) [Google Scholar]
- Fang, C.L.; Yu, D.L. Urban agglomeration: An evolving concept of an emerging phenomenon. Landsc. Urban Plan. 2017, 162, 126–136. [Google Scholar] [CrossRef]
- Mehebub, S.; Haoyuan, H.; Haroon, S. Analyzing urban spatial patterns and trend of urban growth using urban sprawl matrix: A study on Kolkata urban agglomeration, India. Sci. Total Environ. 2018, 628–629, 1557–1566. [Google Scholar]
- Yang, Y.Y.; Liu, Y.S.; Liu, Y.R.; Du, G.M. Quantifying spatio-temporal patterns of urban expansion in Beijing during 1985–2013 with rural-urban development transformation. Land Use Policy 2018, 74, 20–230. [Google Scholar] [CrossRef]
- Oriol, N.L.; Joan, L.; Jordi, M.; Jordi, C. Energy and urban form. The growth of European cities on the basis of night-time brightness. Land Use Policy 2017, 61, 103–112. [Google Scholar]
- Tong, L.Y.; Hu, S.G.; Frazier, A.E.; Liu, Y.S. Multi-order urban development model and sprawl patterns: An analysis in China, 2000–2010. Landsc. Urban Plan. 2017, 167, 386–398. [Google Scholar] [CrossRef]
- Huang, X.M.; Schneider, A.; Friedl, M.A. Mapping sub-pixel urban expansion in China using MODIS and DMSP/OLS nighttime lights. Remote Sens. Environ. 2017, 175, 92–108. [Google Scholar] [CrossRef]
- Zhou, Y.Y.; Steven, S.J.; Elvidge, C.D.; Zhao, K.G.; Thomson, A.; Imhoff, M. A cluster-based method to map urban area from DMSP/OLS nightlights. Remote Sens. Environ. 2014, 147, 173–185. [Google Scholar] [CrossRef]
- Zhou, L.J.; Klaus, H.; Mark, R. Analysis of spatial patterns of urban growth across South Asia using DMSP-OLS nighttime lights data. Appl. Geogr. 2015, 63, 292–303. [Google Scholar] [CrossRef]
- He, J.H.; Li, C.; Yu, Y.; Liu, Y.L.; Huang, J.L. Measuring urban spatial interaction in Wuhan Urban Agglomeration, Central China: A spatially explicit approach. Sustain. Cities Soc. 2017, 32, 569–583. [Google Scholar] [CrossRef]
- Jing, Y.; Liu, Y.L.; Cai, E.X.; Liu, Y.; Zhang, Y. Quantifying the spatiality of urban leisure venues in Wuhan, Central China—GIS-based spatial pattern metrics. Sustain. Cities Soc. 2018, 40, 638–647. [Google Scholar] [CrossRef]
- Chao, F.; Soe, M. A comparison of spatial autocorrelation indices and landscape metrics in measuring urban landscape fragmentation. Landsc. Urban Plan. 2014, 121, 117–128. [Google Scholar]
- Zhang, D.; Huang, Q.X.; He, C.Y.; Yin, D.; Liu, Z.W. Planning urban landscape to maintain key ecosystem services in a rapidly urbanizing area: A scenario analysis in the Beijing-Tianjin-Hebei urban agglomeration, China. Ecol. Indic. 2019, 96, 559–571. [Google Scholar] [CrossRef]
- Li, G.D.; Sun, S.; Fang, C.L. The varying driving forces of urban expansion in China: Insights from a spatial-temporal analysis. Landsc. Urban Plan. 2018, 174, 63–77. [Google Scholar] [CrossRef]
- Zhang, Q.S.; Yan, W. Study on the Urban Spatial Structure of Gui-zhou Province Based on Gravity Model. J. Southwest China Normal Univ. 2015, 40, 101–105. (In Chinese) [Google Scholar]
- Huang, J.; Zhong, Y.X. Passenger Transport by Urban Rail Transit in the Midstream of the Yangtze River and Its Spatial Pattern Evolution. World Geogr. Study 2016, 25, 72–81. (In Chinese) [Google Scholar]
- Tian, G.J.; Wu, J.G.; Yang, Z.F. Spatial pattern of urban functions in the Beijing metropolitan region. Habitat Int. 2010, 34, 249–255. [Google Scholar] [CrossRef]
- Tian, Y.; Sun, C.W. Comprehensive carrying capacity, economic growth and the sustainable development of urban areas: A case study of the Yangtze River Economic Belt. J. Clean. Prod. 2018, 195, 486–496. [Google Scholar] [CrossRef]
- Sun, C.W.; Chen, L.T.; Tian, Y. Study on the urban state carrying capacity for unbalanced sustainable development regions: Evidence from the Yangtze River Economic Belt. Ecol. Indic. 2018, 89, 150–158. [Google Scholar] [CrossRef]
- Gu, Q.W.; Wang, H.Q.; Zheng, Y.M.; Zhu, J.W.; Li, X.K. Ecological footprint analysis for urban agglomeration sustainability in the middle stream of the Yangtze River. Ecol. Model. 2015, 318, 86–99. [Google Scholar] [CrossRef]
- Chen, Y.S.; Zhang, S.H.; Huang, D.S.; Li, B.L.; Liu, J.G.; Ma, T.; Wang, F.; Wang, Y.; Wu, S.J.; Wu, Y.G.; et al. The development of China’s Yangtze River Economic Belt: How to make it in a green way? Sci. Bull. 2017, 62, 648–651. [Google Scholar] [CrossRef]
- Jin, G.; Deng, X.Z.; Zhao, X.D.; Guo, B.S.; Yang, J. Spatiotemporal patterns in urbanization efficiency within the Yangtze River Economic Belt between 2005 and 2014. J. Geogr. Sci. 2018, 28, 1113–1126. [Google Scholar] [CrossRef]
- Liu, Y.L.; Zhang, X.H.; Kong, X.L.; Wang, R.; Chen, L. Identifying the relationship between urban land expansion and human activities in the Yangtze River Economic Belt, China. Appl. Geogr. 2018, 94, 163–177. [Google Scholar] [CrossRef]
- Wang, D.G.; Sun, F. Accessibility and urbanization of land transportation in the Yangtze River Economic Belt Spatial coupling coordination. Geogr. Sci. 2018, 38, 1089–1097. (In Chinese) [Google Scholar]
- Lu, S.R.; Jiang, H.Y.; Liu, Y.; Huang, S. Regional disparities and influencing factors of Average CO2 Emissions from transportation industry in Yangtze River Economic Belt. Transp. Res. Part D 2017, 57, 112–123. [Google Scholar] [CrossRef]
- Li, L.; Liu, Y. Industrial Green Spatial Pattern Evolution of Yangtze River Economic Belt in China. Chin. Geogr. Sci. 2017, 27, 660–672. [Google Scholar] [CrossRef]
- Cheng, Y.; Liu, W.; Lu, J. Financing Innovation in the Yangtze River Economic Belt: Rationale and Impact on Firm Growth and Foreign Trade. Can. Public Policy 2017, 43, 122–135. [Google Scholar] [CrossRef]
- Croft, T. Nighttime images of the earth from space. Sci. Am. 1978, 239, 68–79. [Google Scholar] [CrossRef]
- Yang, Y.; Huang, Q.X.; Zhang, L.L. Study on Temporal and Spatial Measurement of Land Urbanization Based on DMSP/OLS Night Light Data-A Case Study of the Bohai Rim Region. Econ. Geogr. 2015, 35, 141–149. (In Chinese) [Google Scholar]
- Small, C.; Pozzi, F.; Elvidge, C.D. Spatial analysis of global urban extent from DMSP-OLS night lights. Remote Sens. Environ. 2005, 24, 277–291. [Google Scholar] [CrossRef]
- Small, C.; Elvidge, C.D.; Balk, D. Spatial scaling of stable night lights. Remote Sens. Environ. 2011, 115, 269–280. [Google Scholar] [CrossRef]
- Long, F.J.; Zheng, L.F.; Song, Z.D. High-speed rail and urban expansion: An empirical study using a time series of nighttime light satellite data in China. J. Transp. Geogr. 2018, 72, 106–118. [Google Scholar] [CrossRef]
- Ting, M.; Zhou, C.H.; Pei, T.; Haynie, S.; Fan, J.F. Quantitative estimation of urbanization dynamics using time series of DMSP/OLS nighttime light data: A comparative case study from China’s cities. Remote Sens. Environ. 2012, 124, 99–107. [Google Scholar]
- Cai, D.L.; Fraedrich, K.; Guan, Y.N.; Guo, S.; Zhang, C.Y. Urbanization and the thermal environment of Chinese and US-American cities. Sci. Total Environ. 2017, 589, 200–211. [Google Scholar] [CrossRef] [PubMed]
- Tan, M.H.; Li, X.B.; Li, S.J.; Xin, L.J.; Wang, X.; Li, W.; Li, Y.Y.; Xiang, W.L. Modeling population density based on nighttime light images and land use data in China. Appl. Geogr. 2017, 90, 239–247. [Google Scholar] [CrossRef]
- Mia, M.B.; Laurence, C.S. Advances in using multitemporal night-time lights satellite imagery to detect, estimate, and monitor socioeconomic dynamics. Remote Sens. Environ. 2017, 192, 176–197. [Google Scholar]
- Kumar, P.; Sajjad, H.; Joshi, P.K.; Elvidge, C.D.; Rehman, S.; Chaudhary, B.S.; Tripathy, B.R.; Singh, J.; Pipal, G. Modeling the luminous intensity of Beijing, China using DMSP-OLS nighttime lights series data for estimating population density. Phys. Chem. Earth 2018, 6. [Google Scholar] [CrossRef]
- Shi, K.F.; Chen, Y.; Yu, B.L.; Xu, T.B.; Yang, C.S.; Li, L.Y.; Huang, C.; Chen, Z.Q.; Liu, R.; Wu, J.P. Detecting spatiotemporal dynamics of global electric power consumption using DMSP-OLS nighttime stable light data. Appl. Energy 2016, 184, 450–463. [Google Scholar] [CrossRef]
- Xie, Y.H.; Weng, Q.H. Detecting urban-scale dynamics of electricity consumption at Chinese cities using time-series DMSP-OLS (Defense Meteorological Satellite Program-Operational Linescan System) nighttime light imageries. Energy 2016, 100, 177–189. [Google Scholar] [CrossRef]
- Xiao, H.W.; Ma, Z.Y.; Mi, Z.F.; Kelesey, J.; Zheng, J.L.; Yin, W.H.; Yan, M. Spatio-temporal simulation of energy consumption in China’s provinces based on satellite night-time light data. Appl. Energy 2018, 231, 1070–1078. [Google Scholar] [CrossRef]
- Chen, J.D.; Xu, C.; Li, K. A gravity model and exploratory spatial data analysis of prefecture-scale pollutant and CO2 emissions in China. Ecol. Indic. 2018, 90, 554–563. [Google Scholar] [CrossRef]
- Liu, X.P.; Ou, J.P.; Wang, S.J.; Li, X.; Yan, Y.C.; Jiao, L.M.; Liu, Y.L. Estimating spatiotemporal variations of city-level energy-related CO2 emissions: An improved disaggregating model based on vegetation adjusted nighttime light data. J. Clean. Prod. 2018, 177, 101–114. [Google Scholar] [CrossRef]
- Zhao, J.; Chen, Y.; Ji, G.; Wang, Z. Residential carbon dioxide emissions at the urban scale for countylevel cities in China: A comparative study of nighttime light data. J. Clean. Prod. 2018, 180, 198–209. [Google Scholar] [CrossRef]
- Fan, J.P.; Ma, Y.; Zhou, C.H. Analysis of Spatial Pattern Changes of Urban Agglomeration around the Bohai Sea Based on DMSP-OLS Images, 1992–2010. J. Geogr. Inf. Sci. 2013, 15, 280–288. (In Chinese) [Google Scholar]
- He, C.Y.; Liu, Z.F.; Tian, J. Urban expansion dynamics and natural habitat loss in China: A multi-scale landscape perspec-tive. Glob. Chang. Biol. 2014, 20, 2886–2902. [Google Scholar] [CrossRef] [PubMed]
- Li, H.L.; Peng, J.; Liu, Y.X.; Hu, Y.N. Urbanization impact on landscape patterns in Beijing City, China: A spatial heterogeneity perspective. Ecol. Indic. 2017, 82, 50–60. [Google Scholar] [CrossRef]
- Feng, Y.J.; Liu, Y.; Tong, X.H. Spatiotemporal variation of landscape patterns and their spatial determinants in Shanghai, China. Ecol. Indic. 2018, 87, 22–32. [Google Scholar] [CrossRef]
- Virginia, H.D.; Keith, L.K. Issues in using landscape indicators to assess land changes. Ecol. Indic. 2013, 28, 91–99. [Google Scholar]
- Long, J.; Nelson, T.; Wulder, M. Regionalization of Landscape Pattern Indices Using Multivariate Cluster Analysis. Environ. Manag. 2010, 46, 134–142. [Google Scholar] [CrossRef] [PubMed]
- Jiao, L.M.; Liu, J.F.; Xu, G.; Dong, T.; Gu, Y.Y.; Zhang, B.E.; Liu, Y.L.; Liu, X.P. Proximity Expansion Index: An improved approach to characterize evolution process of urban expansion. Comput. Environ. Urban Syst. 2018, 70, 102–112. [Google Scholar] [CrossRef]
- Ramachandra, T.V.; Bharath, H.A.; Durgappa, D.S. Insights to urban dynamics through landscape spatial pattern analysis. Int. J. Appl. Earth Obs. Geoinf. 2012, 18, 329–343. [Google Scholar]







| Year | Cluster | Brightness Value (Average Number) | Proportion | Total Size |
|---|---|---|---|---|
| 1995 | 1 | 10.81 | 68.2% | 9072 |
| 2 | 32.41 | 32.8% | 5125 | |
| 2000 | 1 | 33.83 | 34.9% | 7126 |
| 2 | 11.97 | 66.1% | 11,237 | |
| 2005 | 1 | 14.81 | 66.5% | 9620 |
| 2 | 35.73 | 36.5% | 12,373 |
| Year | TA (km2) | NP | PDh | LPI (%) | TE (km) | ED (m/km2) | LSI | AI |
|---|---|---|---|---|---|---|---|---|
| 1992 | 10,383.25 | 370 | 2.13 | 99.44 | 678.64 | 3.91 | 4.50 | 99.71 |
| 1993 | 8505.45 | 243 | 1.40 | 99.54 | 479.76 | 2.77 | 4.13 | 99.76 |
| 1994 | 16,527.10 | 414 | 2.39 | 99.15 | 903.92 | 5.21 | 4.93 | 99.66 |
| 1995 | 16,805.90 | 410 | 2.36 | 99.13 | 900.56 | 5.19 | 4.93 | 99.66 |
| 1996 | 14,429.95 | 357 | 2.06 | 99.25 | 773.20 | 4.46 | 4.68 | 99.69 |
| 1997 | 13,638.65 | 355 | 2.05 | 99.29 | 761.92 | 4.39 | 4.66 | 99.69 |
| 1998 | 15,623.05 | 415 | 2.39 | 99.19 | 881.28 | 5.08 | 4.89 | 99.67 |
| 1999 | 16,855.10 | 411 | 2.37 | 99.13 | 905.12 | 5.22 | 4.93 | 99.66 |
| 2000 | 23,691.85 | 491 | 2.83 | 98.8 | 1172.40 | 6.76 | 5.44 | 99.60 |
| 2001 | 24,417.55 | 501 | 2.89 | 98.74 | 1191.60 | 6.87 | 5.48 | 99.59 |
| 2002 | 36,030.80 | 703 | 4.05 | 98.14 | 1706.64 | 9.84 | 6.46 | 99.48 |
| 2003 | 30,555.25 | 568 | 3.27 | 98.41 | 1426.16 | 8.22 | 5.92 | 99.54 |
| 2004 | 42,523.15 | 720 | 4.15 | 97.73 | 1870.24 | 10.78 | 6.77 | 99.44 |
| 2005 | 35,583.90 | 543 | 3.13 | 98.05 | 1464.72 | 8.44 | 6.00 | 99.53 |
| 2006 | 47,437.00 | 642 | 3.70 | 97.37 | 1814.48 | 10.46 | 6.66 | 99.45 |
| 2007 | 58,668.95 | 786 | 4.53 | 96.88 | 2210.64 | 12.74 | 7.41 | 99.36 |
| 2008 | 59,919.45 | 777 | 4.48 | 96.82 | 2206.96 | 12.72 | 7.41 | 99.36 |
| 2009 | 52,010.55 | 697 | 4.02 | 97.32 | 2010.16 | 11.59 | 7.03 | 99.41 |
| 2010 | 94,119.60 | 1095 | 6.31 | 95.24 | 3240.32 | 18.68 | 9.37 | 99.13 |
| 2011 | 86,120.50 | 1046 | 6.03 | 95.63 | 3031.76 | 17.48 | 8.97 | 99.18 |
| 2012 | 92,424.25 | 1083 | 6.24 | 95.30 | 3266.16 | 18.83 | 9.42 | 99.12 |
| 2013 | 110,915.25 | 1253 | 7.22 | 94.4 | 3898.16 | 22.47 | 10.62 | 98.98 |
© 2018 by the authors. Licensee MDPI, Basel, Switzerland. This article is an open access article distributed under the terms and conditions of the Creative Commons Attribution (CC BY) license (http://creativecommons.org/licenses/by/4.0/).
Share and Cite
Zhong, Y.; Lin, A.; Zhou, Z.; Chen, F. Spatial Pattern Evolution and Optimization of Urban System in the Yangtze River Economic Belt, China, Based on DMSP-OLS Night Light Data. Sustainability 2018, 10, 3782. https://doi.org/10.3390/su10103782
Zhong Y, Lin A, Zhou Z, Chen F. Spatial Pattern Evolution and Optimization of Urban System in the Yangtze River Economic Belt, China, Based on DMSP-OLS Night Light Data. Sustainability. 2018; 10(10):3782. https://doi.org/10.3390/su10103782
Chicago/Turabian StyleZhong, Yang, Aiwen Lin, Zhigao Zhou, and Feiyan Chen. 2018. "Spatial Pattern Evolution and Optimization of Urban System in the Yangtze River Economic Belt, China, Based on DMSP-OLS Night Light Data" Sustainability 10, no. 10: 3782. https://doi.org/10.3390/su10103782
APA StyleZhong, Y., Lin, A., Zhou, Z., & Chen, F. (2018). Spatial Pattern Evolution and Optimization of Urban System in the Yangtze River Economic Belt, China, Based on DMSP-OLS Night Light Data. Sustainability, 10(10), 3782. https://doi.org/10.3390/su10103782
