Investigation of Energy Requirements and Environmental Performance for Additive Manufacturing Processes
Abstract
1. Introduction
2. Materials and Methods
2.1. Definition and Classification
2.2. Data Collection
2.3. Environmental Impact Quantification
3. Results and Discussion
3.1. Discussion of Energy Distribution of AM Process
3.2. Discussion of SEC of AM Processes
3.1.1. Result of SEC for AM Processes
3.2.2. Relation of SEC and Part Surface Hardness
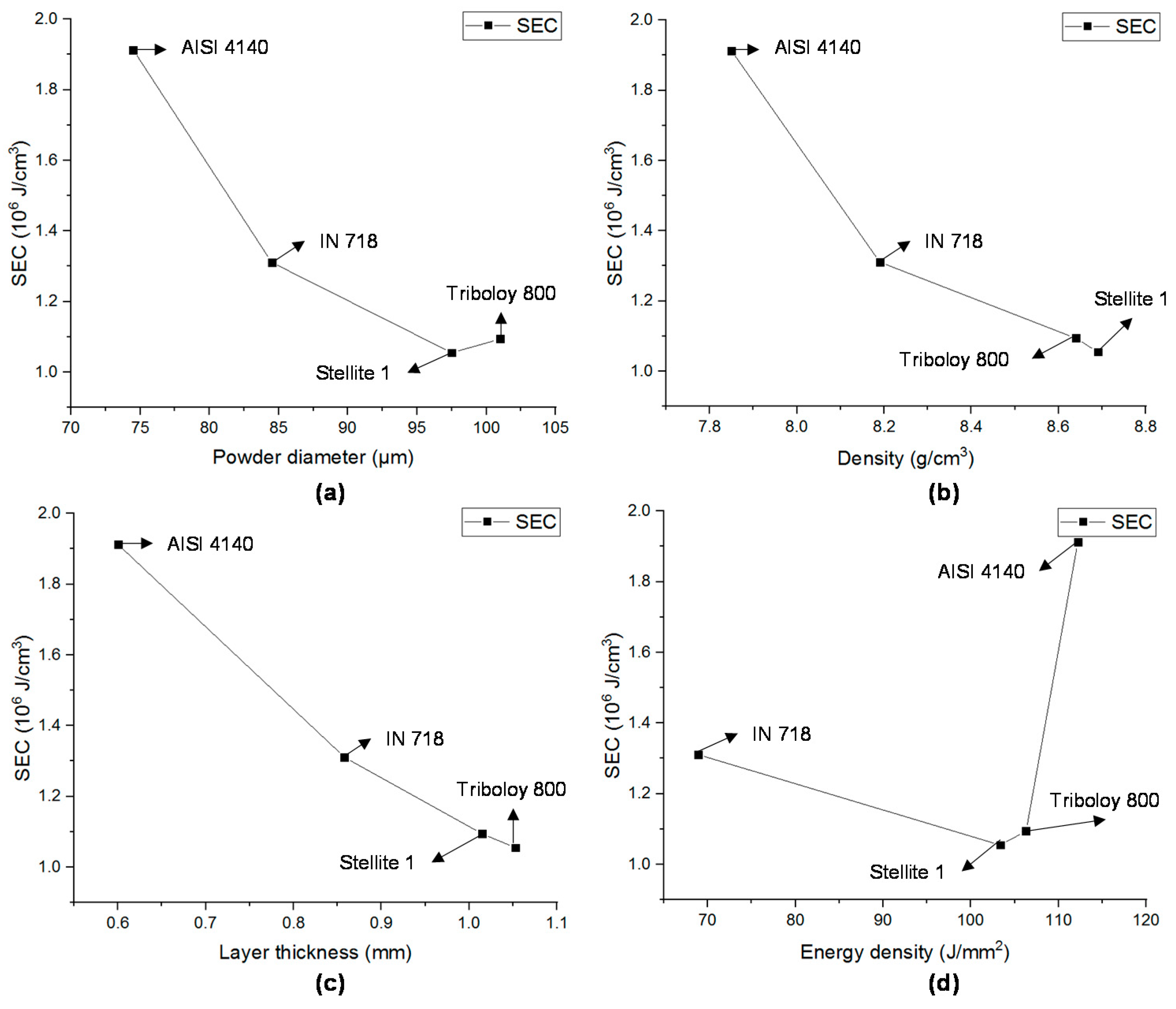
3.2.3. Relation between SEC and Metallic Powder Materials
3.3. Environmental Impacts of AM Processes
4. Conclusions
- (1)
- The SEC and environmental intensity for AM processes were related not only to material characteristics but also to the process input parameters. For LENS process, materials with smaller powder size and higher density as well as a smaller layer thickness and higher energy density will cause a higher SEC.
- (2)
- By adjusting the input parameters, it is possible to increase the energy efficiency without reducing the product quality. When considering the energy input and part quality, the parameters of laser power: 275 W, scanning speed: 8.47 mm/s and powder feed rate: 4 g/min are recommended for Inconel 718 in LENS process.
- (3)
- For the environmental impact quantification, the GWP impact result of AM processes indicates that the GWP is brought about principally by the energy production process. DMD will contribute the great impact to GWP due to the high SEC, and LMD and SLA will bring about relatively less GWP than the other processes.
Author Contributions
Funding
Acknowledgments
Conflicts of Interest
Nomenclature
| AM | additive manufacturing |
| DMD | direct material deposition |
| DMLS | direct material laser sintering |
| FDM | fused deposition modeling |
| LCA | life cycle assessment |
| LENS | laser engineered net shaping |
| SLA | stereolithography |
| SEC | specific energy consumption |
| SLS | selective laser sintering |
| SLM | selective laser melting |
| EBM | electron beam melting |
| PLA | polylactic acid |
| ABS | acrylonitrile butadiene styrene |
References
- Li, L.; Tirado, A.; Nlebedim, I.C.; Rios, O.; Post, B.; Kunc, V.; Lograsso, T.A. Big area additive manufacturing of high performance bonded NdFeB magnets. Sci. Rep. 2016, 6, 36212. [Google Scholar] [CrossRef] [PubMed]
- Wong, K.V.; Hernandez, A. A review of additive manufacturing. ISRN Mech. Eng. 2012, 2012. [Google Scholar] [CrossRef]
- Attaran, M. The rise of 3-D printing: The advantages of additive manufacturing over traditional manufacturing. Bus. Horiz. 2017, 60, 677–688. [Google Scholar] [CrossRef]
- Srivatsan, T.S.; Sudarshan, T.S. (Eds.) Additive Manufacturing: Innovations, Advances, and Applications; CRC Press: Boca Raton, FL, USA, 2015. [Google Scholar]
- Luo, Y.; Ji, Z.; Leu, M.C.; Caudill, R. Environmental performance analysis of solid freedom fabrication processes. In Proceedings of the 1999 IEEE International Symposium on Electronics and the Environment, (ISEE-1999), Danvers, MA, USA, 11–13 May 1999; pp. 1–6. [Google Scholar]
- Sreenivasan, R.; Bourell, D. Sustainability Study in Selective Laser Sintering—An Energy Perspective. In Proceedings of the Minerals, Metals and Materials Society/AIME, Warrendale, PA, USA, 14–18 February 2010. [Google Scholar]
- Mognol, P.; Lepicart, D.; Perry, N. Rapid prototyping: Energy and environment in the spotlight. Rapid Prototyp. J. 2006, 12, 26–34. [Google Scholar] [CrossRef]
- Baumers, M.; Tuck, C.; Hague, R.; Ashcroft, I.; Wildman, R. A comparative study of metallic additive manufacturing power consumption. In Proceedings of the Solid Freeform Fabrication Symposium, Austin, TX, USA, 9–11 August 2010; pp. 278–288. [Google Scholar]
- Kummailil, J.; Sammarco, C.; Skinner, D.; Brown, C.A.; Rong, K. Effect of select LENS™ processing parameters on the deposition of Ti-6Al-4V. J. Manuf. Process. 2005, 7, 42–50. [Google Scholar] [CrossRef]
- Griffiths, C.A.; Howarth, J.; Rowbotham, G.D.A.; Rees, A. Effect of build parameters on processing efficiency and material performance in fused deposition modelling. Proc. CIRP 2016, 49, 28–32. [Google Scholar] [CrossRef]
- Kellens, K.; Baumers, M.; Gutowski, T.G.; Flanagan, W.; Lifset, R.; Duflou, J.R. Environmental dimensions of additive manufacturing: Mapping application domains and their environmental implications. J. Ind. Ecol. 2017, 21, S49–S68. [Google Scholar] [CrossRef]
- Paris, H.; Mokhtarian, H.; Coatanéa, E.; Museau, M.; Ituarte, I.F. Comparative environmental impacts of additive and subtractive manufacturing technologies. CIRP Ann.-Manuf. Technol. 2016, 65, 29–32. [Google Scholar] [CrossRef]
- Liu, Z.; Jiang, Q.; Li, T.; Dong, S.; Yan, S.; Zhang, H.; Xu, B. Environmental benefits of remanufacturing: A case study of cylinder heads remanufactured through laser cladding. J. Clean. Prod. 2016, 133, 1027–1033. [Google Scholar] [CrossRef]
- Liu, Z.; Ning, F.; Cong, W.; Jiang, Q.; Li, T.; Zhang, H.; Zhou, Y. Energy Consumption and Saving Analysis for Laser Engineered Net Shaping of Metal Powders. Energies 2016, 9, 763. [Google Scholar] [CrossRef]
- Kreiger, M.; Pearce, J.M. Environmental Life Cycle Analysis of Distributed Three-Dimensional Printing and Conventional Manufacturing of Polymer Products. ACS Sustain. Chem. Eng. 2013, 1, 1511–1519. [Google Scholar] [CrossRef]
- Mani, M.; Lyons, K.W.; Gupta, S.K. Sustainability characterization for additive manufacturing. J. Res. Natl. Inst. Stand. Technol. 2014, 119, 419–428. [Google Scholar] [CrossRef] [PubMed]
- Drizo, A.; Pegna, J. Environmental impacts of rapid prototyping: An overview of research to date. Rapid Prototyp. J. 2006, 12, 64–71. [Google Scholar] [CrossRef]
- Gilpin, L. The Dark Side of 3D Printing: 10 Things to Watch, TechRepublic. 2014. Available online: http://www.techrepublic.com/article/the-dark-side-of-3d-printing-10-things-to-watch/ (accessed on 5 March 2014).
- Yoon, H.S.; Lee, J.Y.; Kim, H.S.; Kim, M.S.; Kim, E.S.; Shin, Y.J.; Chu, W.S.; Ahn, S.H. A Comparison of Energy Consumption in Bulk Forming, Subtractive, and Additive Processes: Review and Case Study. Int. J. Precis. Eng. Manuf. Green Technol. 2014, 1, 261–279. [Google Scholar] [CrossRef]
- Faludi, J.; Bayley, C.; Bhogal, S.; Iribarne, M. Comparing environmental impacts of additive manufacturing vs traditional machining via life-cycle assessment. Rapid Prototyp. J. 2015, 21, 14–33. [Google Scholar] [CrossRef]
- Kim, Y.; Yoon, C.; Ham, S.; Park, J.; Kim, S.; Kwon, O.; Tsai, P.J. Emissions of nanoparticles and gaseous material from 3D printer operation. Environ. Sci. Technol. 2015, 49, 12044–12053. [Google Scholar] [CrossRef] [PubMed]
- Kellens, K.; Mertens, R.; Paraskevas, D.; Dewulf, W.; Duflou, J. Environmental Impact of Additive Manufacturing Processes: Does AM Contribute to a more sustainable way of part manufacturing? Proc. CIRP 2017, 61, 582–587. [Google Scholar] [CrossRef]
- Science Applications International Corporation; Curran, M.A. Life-Cycle Assessment: Principles and Practice; National Risk Management Research Laboratory, Office of Research and Development, US Environmental Protection Agency: Cincinnati, OH, USA, 2006.
- Finkbeiner, M.; Inaba, A.; Tan, R.; Christiansen, K.; Klüppel, H.J. The new international standards for life cycle assessment: ISO 14040 and ISO 14044. Int. J. Life Cycle Assess. 2006, 11, 80–85. [Google Scholar] [CrossRef]
- Burkhart, M.; Aurich, J.C. Framework to predict the environmental impact of additive manufacturing in the life cycle of a commercial vehicle. Proc. CIRP 2015, 29, 408–413. [Google Scholar] [CrossRef]
- Serres, N.; Tidu, D.; Sankare, S.; Hlawka, F. Environmental comparison of MESO-CLAD® process and conventional machining implementing life cycle assessment. J. Clean. Prod. 2011, 19, 1117–1124. [Google Scholar] [CrossRef]
- Kočí, V.; Loubal, T. LCA of liquid epoxy resin produced based on propylene and on glycerin. Acta Environ. Univ. Comen. 2012, 20, 62–67. [Google Scholar]
- Spiering, T.; Kohlitz, S.; Sundmaeker, H.; Herrmann, C. Energy efficiency benchmarking for injection moulding processes. Robot. Comput.-Integr. Manuf. 2015, 36, 45–59. [Google Scholar] [CrossRef]
- Telenko, C.; Seepersad, C.C. Assessing energy requirements and material flows of selective laser sintering of Nylon parts. In Proceedings of the 21st Annual International Solid Freeform Fabrication Symposium—An Additive Manufacturing Conference, (SFF 2010), Austin, TX, USA, 9–11 August 2010; pp. 8–10. [Google Scholar]
- Morrow, W.R.; Qi, H.; Kim, I.; Mazumder, J.; Skerlos, S.J. Environmental aspects of laser-based and conventional tool and die manufacturing. J. Clean. Prod. 2007, 15, 932–943. [Google Scholar] [CrossRef]
- Baumers, M.; Tuck, C.; Wildman, R.; Ashcroft, I.; Rosamond, E.; Hague, R. Combined build-time, energy consumption and cost estimation for direct metal laser sintering. In Proceedings of the Twenty Third Annual International Solid Freeform Fabrication Symposium—An Additive Manufacturing Conference, Austin, TX, USA, 6–8 August 2012. [Google Scholar]
- Wang, X.L.; Deng, D.W.; Zhang, H.C. Effects of Mass Energy and Line Mass on Clad Characteristics in the Laser Cladding Process. Lasers Eng. 2016, 34, 1–14. [Google Scholar]
- Telenko, C.; Seepersad, C.C. A comparative evaluation of energy consumption of selective laser sintering and injection molding of nylon parts. Rapid Prototyp. J. 2011, 18, 472–481. [Google Scholar] [CrossRef]
- Gutowski, T.; Dahmus, J.; Thiriez, A. Electrical energy requirements for manufacturing processes. In Proceedings of the 13th CIRP International Conference on Life Cycle Engineering, Leuven, Belgium, 31 May–2 June 2006; CIRP International: Leuven, Belgium, 2006; pp. 623–638. [Google Scholar]
- Thiriez, A.; Gutowski, T. An environmental analysis of injection molding. In Electronics and the Environment, 2006. In Proceedings of the 2006 IEEE International Symposium on Electronics and the Environment, Scottsdale, AZ, USA, 8–11 May 2006; pp. 195–200. [Google Scholar]
- Kara, S.; Li, W. Unit process energy consumption models for material removal processes. CIRP Ann.-Manuf. Technol. 2011, 60, 37–40. [Google Scholar] [CrossRef]
- Neugebauer, R.; Schubert, A.; Reichmann, B.; Dix, M. Influence exerted by tool properties on the energy efficiency during drilling and turning operations. CIRP J. Manuf. Sci. Technol. 2011, 4, 161–169. [Google Scholar] [CrossRef]
- Palut, M.P.J.; Canziani, O.F. Contribution of Working Group II to the Fourth Assessment Report of the Intergovernmental Panel on Climate Change; Cambridge University Press: Cambridge, UK; New York, NY, USA, 2007. [Google Scholar]








| AM Process | Materials | Material Type | Diameter (μm) | Density (g/cm3) | |
|---|---|---|---|---|---|
| Metallic material | LENS | Inconel 718 | Powders | 63.3 | 8.19 |
| Stellite 1 | Powders | 86.7 | 8.69 | ||
| AISI 4140 | Powders | 68.2 | 7.85 | ||
| Triboloy T800 | Powders | 81.4 | 8.64 | ||
| Polymer material | SLA | Resin | Liquid | NA a | 1.12 |
| FDM | ABS | Filament | 750 | 0.9 | |
| Bio material | Inkjet Printing | Cell | Hydrogel | NA | NA |
| Extrusion | Slginate | Hydrogel | NA | NA |
| AM Process | Power Type | Materials | Power (w) | Layer Thickness (mm) | Spot Size/Nozzle Diameter (μm) | Energy Density (J/mm2) | Process Rate (cm3/s) | SEC (J/cm3) | Note (Ref.) |
|---|---|---|---|---|---|---|---|---|---|
| LENS | Fiber laser | Inconel 718 | 350 | 0.458 | 400 | 68.89 | 1.43 × 10−3 | 1.311 × 106 | a |
| Stellite 1 | 350 | 1.053 | 400 | 103.34 | 1.81 × 10−3 | 1.055 × 106 | |||
| AISI 4140 | 380 | 0.6 | 400 | 112.20 | 1.03 × 10−3 | 1.913 × 106 | |||
| Triboloy T800 | 360 | 1.015 | 400 | 106.30 | 1.72 × 10−3 | 1.094 × 106 | |||
| DMD | CO2 Laser | H13 tool steel | 6000 | NA c | 3500 | NA | 1.28 × 10−3 | 5.974 × 107 | b [30] |
| DMLS | Fiber laser | Stainless steel | 200 | 0.02 | 450 | 56.98 | 1.60 × 10−3 | 2.785 × 106 | b [31] |
| LMD | Diode Laser | AISI 316 L | 2000 | 0.9 | 3000 | 111.11 | 2.11 × 10−2 | 9.478 × 104 | b [32] |
| SLA | UV light | Resin | NA | 0.1 | NA | NA | 1.44 × 10−3 | 5.596 × 104 | a |
| FDM | Heat | ABS | NA | 0.25 | 250 | NA | 2.22 × 10−3 | 4.327 × 105 | a |
| SLS | CO2 laser | nylon | 3500 | 0.15 | 450 | 997.15 | 2.64 × 10−2 | 1.556 × 106 | b [33] |
| Inkjet Printing | Pressure | Cell mixture | NA | 0.12 | NA | NA | 9.05 × 10−10 | 1.741 × 1012 | a |
| Micro Extrusion | UV light | sodium alginate | NA | 0.15 | 200 | NA | 1.59 × 10−4 | 4.588 × 106 | a |
| Powders | Laser Power (W) | Scanning Speed (mm/s) | Layer Thickness (mm) | Spot Size (μm) | Hatch Spacing (mm) | Energy Density (J/mm2) | Infill Patten |
|---|---|---|---|---|---|---|---|
| Stellite 1 | 350 | 8.47 | 0.458 | 400 | 0.305 | 68.89 | Rectangular (45°) |
| AISI 4140 | 380 | 8.47 | 1.053 | 400 | 0.305 | 103.34 | Rectangular (45°) |
| Triboloy T800 | 360 | 8.47 | 0.6 | 400 | 0.305 | 112.20 | Rectangular (45°) |
| Inconel 718 | 350 | 12.7 | 1.015 | 400 | 0.305 | 106.30 | Rectangular (45°) |
| Items | Quantity (kg) | Characterization Factor a | GWP Result (kg CO2 eq) | |||||
|---|---|---|---|---|---|---|---|---|
| AM Process | Material Production | Material Preparation | Energy Consumption | Materials Related | Energy Related | Total | ||
| CO2 | 1.59 × 10−2 | 2.36 × 10−4 | 1.25 | 1 | 1.60 × 10−2 | 1.32 | 1.34 | |
| LENS | CH4 | 6.70 × 10−6 | 4.74 × 10−7 | 2.51 × 10−3 | 25 | |||
| N2O | 1.63 × 10−8 | 3.13 × 10−9 | 1.66 × 10−5 | 298 | ||||
| CO2 | 1.58 × 10−2 | 2.35 × 10−4 | 3.91 × 10 | 1 | 1.59 × 10−2 | 4.12 × 10 | 4.12 × 10 | |
| DMD | CH4 | 6.65 × 10−6 | 4.71 × 10−7 | 7.85 × 10−2 | 25 | |||
| N2O | 1.62 × 10−8 | 3.11 × 10−9 | 5.17 × 10−4 | 298 | ||||
| CO2 | 2.62 × 10−2 | 2.42 × 10−4 | 1.82 | 1 | 2.78 × 10−2 | 1.92 | 1.95 | |
| DMLS | CH4 | 3.20 × 10−5 | 4.85 × 10−7 | 3.66 × 10−3 | 25 | |||
| N2O | 2.91 × 10−6 | 3.20 × 10−9 | 2.41 × 10−5 | 298 | ||||
| CO2 | 2.60 × 10−2 | 2.40 × 10−4 | 6.20 × 10−2 | 1 | 2.77 × 10−2 | 6.56 × 10−2 | 9.33 × 10−2 | |
| LMD | CH4 | 3.19 × 10−5 | 4.83 × 10−7 | 1.25 × 10−4 | 25 | |||
| N2O | 2.90 × 10−6 | 3.18 × 10−9 | 8.21 × 10−7 | 298 | ||||
| CO2 | 1.21 × 10−2 | 8.02 × 10−2 | 3.66 × 10−2 | 1 | 1.34 × 10−2 | 1.23 × 10−1 | 1.36 × 10−1 | |
| SLA | CH4 | 3.51 × 10−5 | 1.61 × 10−4 | 7.35 × 10−5 | 25 | |||
| N2O | 1.23 × 10−6 | 1.06 × 10−6 | 4.85 × 10−7 | 298 | ||||
| CO2 | 3.35 × 10−3 | 1.55 × 10−3 | 2.83 × 10−1 | 1 | 3.70 × 10−3 | 3.00 × 10−1 | 3.04 × 10−1 | |
| FDM | CH4 | 1.29 × 10−5 | 3.12 × 10−6 | 5.69 × 10−4 | 25 | |||
| N2O | 9.56 × 10−8 | 2.06 × 10−8 | 3.75 × 10−6 | 298 | ||||
| CO2 | 1.84 × 10−2 | 1.77 × 10−2 | 1.02 | 1 | 2.24 × 10−2 | 1.09 | 1.11 | |
| SLS | CH4 | 3.74 × 10−5 | 3.57 × 10−5 | 2.04 × 10−3 | 25 | |||
| N2O | 1.04 × 10−5 | 2.35 × 10−7 | 1.35 × 10−5 | 298 | ||||
© 2018 by the authors. Licensee MDPI, Basel, Switzerland. This article is an open access article distributed under the terms and conditions of the Creative Commons Attribution (CC BY) license (http://creativecommons.org/licenses/by/4.0/).
Share and Cite
Liu, Z.; Jiang, Q.; Ning, F.; Kim, H.; Cong, W.; Xu, C.; Zhang, H.-c. Investigation of Energy Requirements and Environmental Performance for Additive Manufacturing Processes. Sustainability 2018, 10, 3606. https://doi.org/10.3390/su10103606
Liu Z, Jiang Q, Ning F, Kim H, Cong W, Xu C, Zhang H-c. Investigation of Energy Requirements and Environmental Performance for Additive Manufacturing Processes. Sustainability. 2018; 10(10):3606. https://doi.org/10.3390/su10103606
Chicago/Turabian StyleLiu, Zhichao, Qiuhong Jiang, Fuda Ning, Hoyeol Kim, Weilong Cong, Changxue Xu, and Hong-chao Zhang. 2018. "Investigation of Energy Requirements and Environmental Performance for Additive Manufacturing Processes" Sustainability 10, no. 10: 3606. https://doi.org/10.3390/su10103606
APA StyleLiu, Z., Jiang, Q., Ning, F., Kim, H., Cong, W., Xu, C., & Zhang, H.-c. (2018). Investigation of Energy Requirements and Environmental Performance for Additive Manufacturing Processes. Sustainability, 10(10), 3606. https://doi.org/10.3390/su10103606

