Enhanced Diclofenac Biodegradation by Bacterial Strains and a Microbial Consortium from Activated Sludge: Toxicity Assessment and Insights into Microbial Community Dynamics
Abstract
1. Introduction
2. Materials and Methods
2.1. Material
2.2. Methods
2.2.1. Enrichment and Isolation of DCF-Degrading Consortium and DCF-Degrading Strains
2.2.2. Molecular Identification of Bacterial Isolates
2.2.3. Inhibitory Concentration of DCF for Bacterial Growth
2.2.4. DCF Biodegradation Test in Solution
2.2.5. Analytical Methods
2.2.6. Ecotoxicity Bioassays
2.2.7. Characterization of Microbial Consortium by DNA Metabarcoding
2.2.8. Statistical Analysis
3. Results and Discussion
3.1. Enrichment and Isolation of the DCF-Degrading Microbial Consortium and Bacterial Strains
3.2. Diclofenac-Induced Inhibition of Bacterial Growth
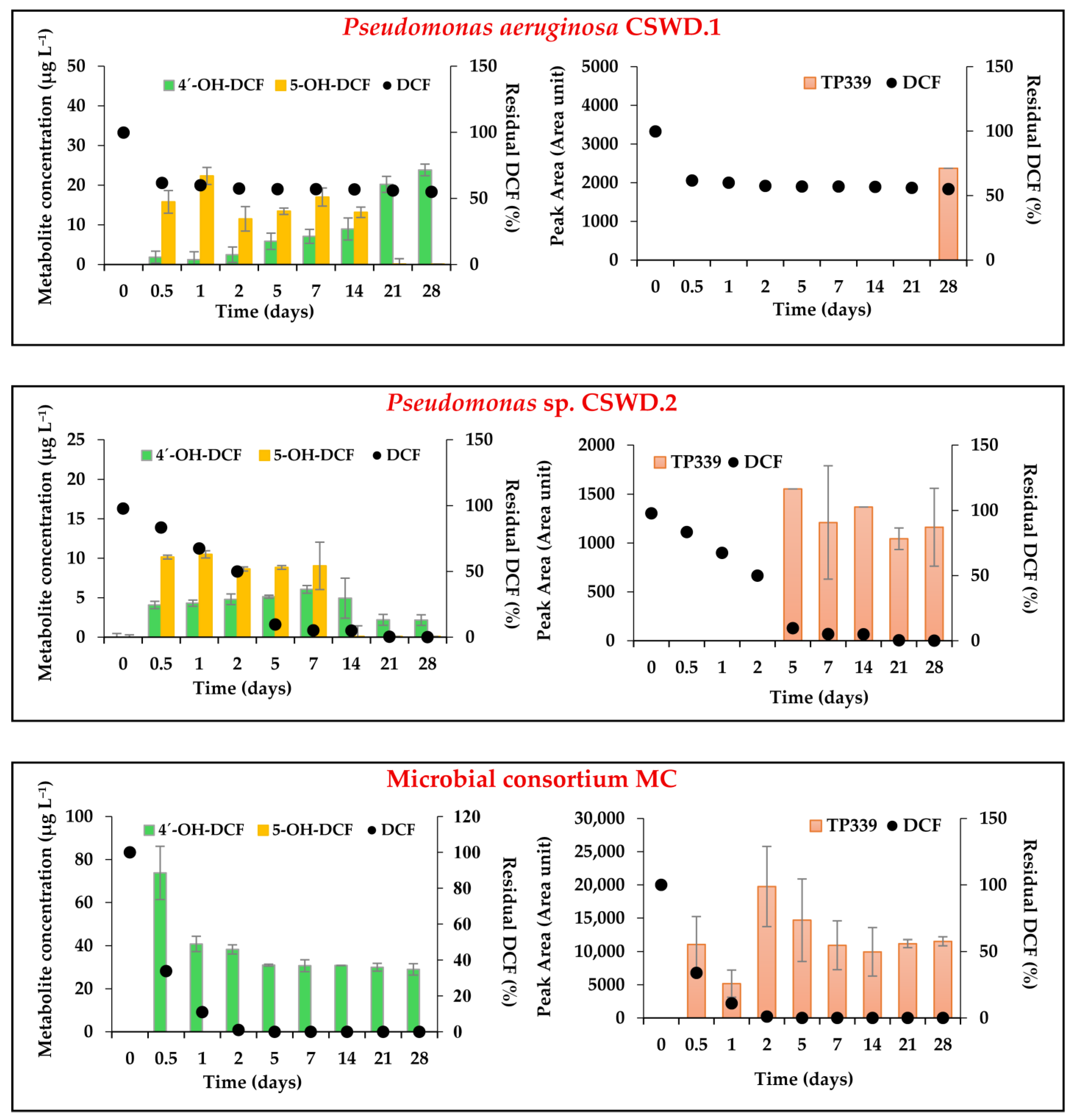
3.3. Diclofenac Biodegradation in Solution
3.4. Ecotoxicity Studies in Diclofenac-Contaminated Aqueous Samples
3.5. Shift in Bacterial and Fungal Communities in the Consortium Based on DNA Metabarcoding Data
4. Conclusions
Supplementary Materials
Author Contributions
Funding
Institutional Review Board Statement
Informed Consent Statement
Data Availability Statement
Acknowledgments
Conflicts of Interest
Abbreviations
| DCF | Diclofenac |
| MC | Microbial consortium |
| 4’-OH-DCF | 4’-Hydroxy-diclofenac |
| 5-OH-DCF | 5-Hydroxy-diclofenac |
| NO2-DCF | 5-Nitro-diclofenac |
| NSAIDs | Non-steroidal anti-inflammatory drugs |
| WWTPs | Wastewater treatment plants |
| ITS | Internal transcribed spacer |
| MSM | Mineral salt medium |
| LB | Luria–Bertani |
| HPLC | High-performance liquid chromatography |
| ODS | Octadecylsilane |
| NCBI | National Center for Biotechnology Information |
| IC50 | half-maximal inhibitory concentration |
| OD | Optical density |
| LC-MS/MS | Liquid chromatography tandem mass spectrometry |
| ESI | Electrospray ionization |
| QqQ | Triple-quadrupole mass |
| MRM | Multiple reaction monitoring |
| TP | Transformation product |
| EC50 | Concentration (% v/v) causing toxic effects on 50% of the bacterial population |
| TU | Toxic units |
| ENA | European nucleotide archive |
| ASV | Amplicon sequence variants |
| SFO | Simple first-order model |
| HS | Hockey-stick model |
| BLAST | Basic local alignment search tool |
References
- Wojcieszyńska, D.; Łagoda, K.; Guzik, U. Diclofenac biodegradation by microorganisms and with immobilised systems—A review. Catalysts 2023, 13, 412. [Google Scholar] [CrossRef]
- Chu, A.; Murdock, J. Ibuprofen, Naproxen, and More: The 8 Most Common NSAIDs. 2024. Available online: https://www.goodrx.com/classes/nsaids/nsaid-list (accessed on 1 January 2026).
- PharmGKB. Available online: https://www.pharmgkb.org/chemical/PA449293 (accessed on 1 January 2026).
- Benites-Meza, J.K.; Pinedo-Castillo, L.; Cabanillas-Lazo, M.; Boyd-Gamarra, M.A.; Herrera-Añazco, P.; Mougenot, B.; Benites-Zapata, V.A. Self-medication with NSAIDs and purchase of branded and over-the-counter medicines: Analysis of a national survey in Peru. J. Public Health Res. 2025, 14, 22799036251319154. [Google Scholar] [CrossRef]
- Acuña, V.; Ginebreda, A.; Mor, J.R.; Petrovic, M.; Sabater, S.; Sumpter, J.; Barceló, D. Balancing 15the health benefits and environmental risks of pharmaceuticals: Diclofenac as an example. Environ. Int. 2015, 85, 327–333. [Google Scholar] [CrossRef]
- Chaturvedi, P.; Shukla, P.; Giri, B.S.; Chowdhary, P.; Chandra, R.; Gupta, P.; Pandey, A. Prevalence and hazardous impact of pharmaceutical and personal care products and antibiotics in environment: A review on emerging contaminants. Environ. Res. 2021, 194, 110664. [Google Scholar] [CrossRef]
- Aguilar-Romero, I.; Lara-Moreno, A.; Madrid, F.; Villaverde, J.; Alonso, E.; Santos, J.L.; Morillo, E. Removal of Ibuprofen from Contaminated Water by Bioaugmentation with Novel Bacterial Strains Isolated from Sewage Sludge. Microorganisms 2025, 13, 1927. [Google Scholar] [CrossRef]
- Vargas-Ordóñez, A.; Aguilar-Romero, I.; Villaverde, J.; Madrid, F.; Morillo, E. Isolation of novel bacterial strains Pseudomonas extremaustralis CSW01 and Stutzerimonas stutzeri CSW02 from sewage sludge for paracetamol biodegradation. Microorganisms 2023, 11, 196. [Google Scholar] [CrossRef]
- Buakaew, T.; Ratanatamskul, C. Unveiling the influence of microaeration and sludge recirculation on enhancement of pharmaceutical removal and microbial community change of the novel anaerobic baffled biofilm—Membrane bioreactor in treating building wastewater. Sci. Total Environ. 2024, 927, 172420. [Google Scholar] [CrossRef] [PubMed]
- Ivanová, L.; Mackuľak, T.; Grabic, R.; Golovko, O.; Koba, O.; Stanova, A.V.; Szabova, P.; Grencíkova, A.; Bodík, I. Pharmaceuticals and illicit drugs—A new threat to the application of sewage sludge in agriculture. Sci. Total Environ. 2018, 634, 606–615. [Google Scholar] [CrossRef] [PubMed]
- Szopinska, M.; Potapowicz, J.; Jankowska, K.; Luczkiewicz, A.; Svahn, O.; Bjorklund, E.; Nannou, C.; Lambropoulou, D. Pharmaceuticals and other contaminants of emerging concern in Admiralty Bay as a result of untreated wastewater discharge: Status and possible environmental consequences. Sci. Total Environ. 2022, 835, 155400. [Google Scholar] [CrossRef] [PubMed]
- Vieno, N.; Sillanpää, M. Fate of diclofenac in municipal wastewater treatment plant—A review. Environ. Int. 2014, 69, 28–39. [Google Scholar] [CrossRef]
- Bouju, H.; Nastold, P.; Beck, B.; Hollender, J.; Corvini, P.; Wintgens, T. Elucidation of biotransformation of diclofenac and 4′hydroxydiclofenac during biological wastewater treatment. J. Hazard. Mater. 2016, 301, 443–452. [Google Scholar] [CrossRef]
- Ebele, A.J.; Abdallah, M.A.-E.; Harrad, S. Pharmaceuticals and personal care products (PPCPs) in the freshwater aquatic environment. Emerg. Contam. 2017, 3, 1–16. [Google Scholar] [CrossRef]
- Biel-Maeso, M.; Corada-Fernández, C.; Lara-Martín, P.A. Monitoring the occurrence of pharmaceuticals in soil irrigated with reclaimed wastewater. Environ. Pollut. 2018, 235, 312–321. [Google Scholar] [CrossRef]
- Ali, A.M.; Sydnes, L.K.; Alarif, W.M.; Al-Lihaibi, S.S.; Aly, M.M.; Aanrud, S.G.; Kallenborn, R. Diclofenac and two of its photooxidation products in the marine environment: Their toxicology and occurrence in Red Sea coastal waters. Environ. Chem. Ecotoxicol. 2019, 1, 19–25. [Google Scholar] [CrossRef]
- Dolu, T.; Nas, B. Dissemination of nonsteroidal anti-inflammatory drugs (NSAIDs) and metabolites from wastewater treatment plant to soils and agricultural crops via real-scale different agronomic practices. Environ. Res. 2023, 227, 115731. [Google Scholar] [CrossRef]
- Badawy, A.S.; Xu, Y.; Ren, H.; Lu, Z. Diclofenac (DCF) as an emerging pollutant: Occurrence, ecotoxicity, and biodegradation strategies. Ecotoxicol. Environ. Saf. 2025, 302, 118618. [Google Scholar] [CrossRef]
- Kimura, K.; Hara, H.; Watanabe, Y. Removal of pharmaceutical compounds by submerged membrane bioreactors (MBRs). Desalination 2005, 178, 135–140. [Google Scholar] [CrossRef]
- Martínez-Alcalá, I.; Guillén-Navarro, J.M.; Lahora, A. Occurrence and fate of pharmaceuticals in a wastewater treatment plant from southeast of Spain and risk assessment. J. Environ. Manag. 2021, 279, 111565. [Google Scholar] [CrossRef] [PubMed]
- Kruglova, A.; Ahlgren, P.; Korhonen, N.; Rantanen, P.; Mikola, A.; Vahala, R. Biodegradation of ibuprofen, diclofenac and carbamazepine in nitrifying activated sludge under 12 °C temperature conditions. Sci. Total Environ. 2014, 499, 394–401. [Google Scholar] [CrossRef]
- Blair, B.; Nikolaus, A.; Hedman, C.; Klaper, R.; Grundl, T. Evaluating the degradation, sorption, and negative mass balances of pharmaceuticals and personalcare products during wastewater treatment. Chemosphere 2015, 134, 395–401. [Google Scholar] [CrossRef] [PubMed]
- Azubuike, C.C.; Chikere, C.B.; Okpokwasili, G.C. Bioremediation techniques–classification based on site of application: Principles, advantages, limitations and prospects. World J. Microbiol. Biotechnol. 2016, 32, 180. [Google Scholar] [CrossRef]
- Aissaoui, S.; Ouled-Haddar, H.; Sifour, M.; Harrouche, K.; Sghaier, H. Metabolic and co-metabolic transformation of diclofenac by Enterobacter hormachei D15 isolated from activated sludge. Curr. Microbiol. 2016, 74, 381–388. [Google Scholar] [CrossRef]
- Carlier, J.D.; Lara-Moreno, A.; Igbodo, B.; Costa, M.C. Studies on the bioaugmentation of Mycolicibacterium aubagnense HPB1.1 in aerobic granular sludge from a WWTP: Adaptability of native prokaryotes and enhancement of paracetamol intermediate metabolites biodegradation. Environ. Technol. Innov. 2025, 38, 104073. [Google Scholar] [CrossRef]
- Żur, J.; Piński, A.; Wojcieszyńska, D.; Smułek, W.; Guzik, U. Diclofenac Degradation-Enzymes, Genetic Background and Cellular Alterations Triggered in Diclofenac-Metabolizing Strain Pseudomonas moorei KB4. Int. J. Mol. Sci. 2020, 21, 6786. [Google Scholar] [CrossRef] [PubMed]
- Żur, J.; Marchlewicz, A.; Piński, A.; Guzik, U.; Wojcieszyńska, D. Degradation of diclofenac by new bacterial strains and its influence on the physiological status of cells. J. Hazard. Mater. 2021, 403, 124000. [Google Scholar] [CrossRef] [PubMed]
- Poddar, K.; Sarkar, D.; Bhoi, R.; Sarkar, A. Biotransformation of diclofenac by isolated super-degrader Pseudomonas sp. DCα4: Postulated pathways, and attenuated ecotoxicological effects. Environ. Pollut. 2024, 344, 123388. [Google Scholar] [CrossRef] [PubMed]
- Ivshina, I.B.; Tyumina, E.A.; Kuzmina, M.V.; Vikhareva, E.V. Features of diclofenac biodegradation by Rhodococcus ruber IEGM 346. Sci. Rep. 2019, 9, 1–13. [Google Scholar] [CrossRef]
- Moreira, I.S.; Bessa, V.S.; Murgolo, S.; Piccirillo, C.; Mascolo, G.; Castro, P.M.L. Biodegradation of diclofenac by the bacterial strain Labrys portucalensis F11. Ecotoxicol. Environ. Saf. 2018, 152, 104–113. [Google Scholar] [CrossRef]
- Domaradzka, D.; Guzik, U.; Hupert-Kocurek, K.; Wojcieszynska, D. Toxicity of diclofenac and its biotransformation by Raoultella sp. DD4. Pol. J. Environ. Stud. 2016, 25, 2211–2216. [Google Scholar] [CrossRef]
- Pápai, M.; Benedek, T.; Sörös, C.; Háhn, J.; Csenki, Z.; Bock, I.; Táncsics, A.; Kriszt, B. Biotransformation of diclofenac by Stenotrophomonas humi strain DIC_5 and toxicological examination of the resulting metabolites. Appl. Microbiol. Biotechnol. 2024, 108, 485. [Google Scholar] [CrossRef]
- Stylianou, K.; Hapeshi, E.; Vasquez, M.I.; Fatta-Kassinos, D.; Vyrides, I. Diclofenac Biodegradation by Newly Isolated Klebsiella sp. KSC: Microbial Intermediates and Ecotoxicological Assessment. J. Environ. Chem. Eng. 2018, 6, 3242–3248. [Google Scholar] [CrossRef]
- Chhaya, R.T.; Bag, R. Insight into the Diclofenac and Carbamazepine Removal by Bacillus subtilis BMT4i Immobilized on Different Activated Carbons: A Comparative Removal Study by Activated Carbon, Bacterial Cell, and Its Composite. Int. J. Environ. Res. 2025, 19, 28. [Google Scholar] [CrossRef]
- Marchlewicz, A.; Guzik, U.; Hupert-Kocurek, K.; Nowak, A.; Wilczyńska, S.; Wojcieszyńska, D. Toxicity and biodegradation of ibuprofen by Bacillus thuringiensis B1(2015b). Environ. Sci. Pollut. Res. 2017, 24, 7572–7584. [Google Scholar] [CrossRef]
- Murshid, S.; Dhakshinamoorthy, G.P. Biodegradation of sodium diclofenac and mefenamic acid: Kinetic studies, identification of metabolites and analysis of enzyme activity. Int. Biodeterior. Biodegrad. 2019, 144, 104756. [Google Scholar] [CrossRef]
- Aissaoui, S.; Fagnani, E.; Pérez, S.; Ouled-Haddar, H.; Sifour, M. Removal of diclofenac by a local bacterial consortium: UHPLC-ESI-MS/MS analysis of metabolites and ecotoxicity assessment. Braz. J. Microbiol. 2021, 52, 749–759. [Google Scholar] [CrossRef]
- Marchlewicz, A.; Guzik, U.; Hupert-Kocurek, K.; Wojcieszyńska, D. Evaluation of the Defined Bacterial Consortium Efficacy in the Biodegradation of NSAIDs. Molecules 2023, 28, 2185. [Google Scholar] [CrossRef]
- Yan, K.; Zhou, J.; Feng, C.; Wang, S.; Haegeman, B.; Zhang, W.; Chen, J.; Zhao, S.; Zhou, J.; Xu, J.; et al. Abundant fungi dominate the complexity of microbial networks in soil of contaminated site: High-precision community analysis by full-length sequencing. Sci. Total Environ. 2023, 861, 160563. [Google Scholar] [CrossRef]
- Mejia, M.P.; Rojas, C.A.; Curd, E.; Renshaw, M.A.; Edalati, K.; Shih, B.; Vincent, N.; Lin, M.; Nguyen, P.H.; Wayne, R.; et al. Soil Microbial Community Composition and Tolerance to Contaminants in an Urban Brownfield Site. Microb. Ecol. 2023, 85, 998–1012. [Google Scholar] [CrossRef]
- Suleiman, M.; Demaria, F.; Zimmardi, C.; Kolvenbach, B.A.; Corvini, P.F. Analyzing microbial communities and their biodegradation of multiple pharmaceuticals in membrane bioreactors. Appl. Microbiol. Biotechnol. 2023, 107, 5545–5554. [Google Scholar] [CrossRef]
- Demaria, F.; Blattner, R.; Puorger, C.; Kolvenbach, B.; Cretoiu, M.S.; Hettich, T.; Corvini, P.; Lipps, G.; Suleiman, M. Thermophilic compost bacteria as a promising approach for removal of diclofenac and related pharmaceuticals from wastewater. Water Res. 2025, 288, 124629. [Google Scholar] [CrossRef] [PubMed]
- Pereira, A.M.P.T.; Silva, L.J.G.; Meisel, L.M.; Lino, C.M.; Pena, A. Environmental seasonal occurrence, removal and risk assessment. Environ. Res. 2015, 136, 108–119. [Google Scholar] [CrossRef]
- Bessa, V.S.; Moreira, I.S.; Tiritan, M.E.; Castro, P.M.L. Enrichment of bacterial strains for the biodegradation of diclofenac and carbamazepine from activated sludge. Int. Biodeterior. Biodegrad. 2017, 120, 135–142. [Google Scholar] [CrossRef]
- Lara-Moreno, A.; Costa, M.C.; Vargas-Villagomez, A.; Carlier, J.D. New bacterial strains for ibuprofen biodegradation: Drug removal, transformation, and potential catabolic genes. Environ. Microbiol. Rep. 2024, 16, e13320. [Google Scholar] [CrossRef]
- Lane, D.J. 16S/23S rRNA Sequencing. In Nucleic Acid Techniques in Bacterial Systematics; John Wiley & Sons: Chichester, UK, 1991; pp. 115–175. [Google Scholar]
- Gavira-O’Neill, C.E.; González-Martos, R.; Martínez-Ruiz, A. Assessment of Cell Viability in Drug Therapy: IC50 and Other New Time-Independent Indices for Evaluating Chemotherapy Efficacy. Pharmaceutics 2024, 17, 247. [Google Scholar] [CrossRef]
- FOCUS. Guidance Document on Estimating Persistence and Degradation Kinetics from Environmental Fate Studies on Pesticides in EU Registration. Report of the FOCUS Work Group on Degradation Kinetics. EC Documents Reference Sanco/10058/2005 Version 2.0. 2006. Available online: https://esdac.jrc.ec.europa.eu/public_path/projects_data/focus/dk/docs/finalreportFOCDegKinetics.pdf (accessed on 15 October 2025).
- Dorado, P.; Berecz, R.; Cáceres, M.C.; Llerena, A. Analysis of diclofenac and its metabolites by high-performance liquid chromatography: Relevance of CYP2C9 genotypes in diclofenac urinary metabolic ratios. J. Chromatogr. B 2003, 789, 437–442. [Google Scholar] [CrossRef] [PubMed]
- Osorio, V.; Imbert-Bouchard, M.; Zonja, B.; Abad, J.L.; Pérez, S.; Barceló, D. Simultaneous determination of diclofenac, its human metabolites and microbial nitration/nitrosation transformation products in wastewaters by liquid chromatography/quadrupole-linear ion trap mass spectrometry. J. Chromatogr. A 2014, 1347, 63–71. [Google Scholar] [CrossRef] [PubMed]
- Lara-Moreno, A.; Vargas-Ordóñez, A.; Villaverde, J.; Madrid, F.; Carlier, J.D.; Santos, J.L.; Alonso, E.; Morillo, E. Bacterial bioaugmentation for paracetamol removal from water and sewage sludge: Genomic approaches to elucidate biodegradation pathway. J. Hazard. Mater. 2024, 480, 136128. [Google Scholar] [CrossRef]
- Persoone, G.; Marsalek, B.; Blinova, I.; Torokne, A.; Zarina, D.; Manusadzianas, L.; Nalecz-Jawecki, G.; Tofan, L.; Stepanova, N.; Tothova, L.; et al. A practical and user-friendly toxicity classification system with microbiotests for natural waters and wastewaters. Environ. Toxicol. 2003, 18, 395–402. [Google Scholar] [CrossRef] [PubMed]
- Klindworth, A.; Pruesse, E.; Schweer, T.; Peplies, J.; Quast, C.; Horn, M.; Glöckner, F.O. Evaluation of general 16S ribosomal RNA gene PCR primers for classical and next-generation sequencing-based diversity studies. Nucleic Acids Res. 2013, 41, e1. [Google Scholar] [CrossRef]
- Toju, H.; Tanabe, A.S.; Yamamoto, S.; Sato, H. High-coverage ITS primers for the DNA-based identification of ascomycetes and basidiomycetes in environmental samples. PLoS ONE 2012, 7, e40863. [Google Scholar] [CrossRef]
- Bolyen, E.; Rideout, J.R.; Dillon, M.R.; Bokulich, N.A.; Abnet, C.C.; Al-Ghalith, G.A.; Alexander, H.; Alm, E.J.; Arumugam, M.; Asnicar, F.; et al. Reproducible, interactive, scalable and extensible microbiome data science using QIIME 2. Nat. Biotechnol. 2019, 37, 852–857, Erratum in Nat. Biotechnol. 2019, 37, 1091. https://doi.org/10.1038/s41587-019-0252-6. [Google Scholar] [CrossRef] [PubMed]
- Callahan, B.J.; McMurdie, P.J.; Rosen, M.J.; Han, A.W.; Johnson, A.J.; Holmes, S.P. DADA2: High-resolution sample inference from Illumina amplicon data. Nat. Methods 2016, 13, 581–583. [Google Scholar] [CrossRef]
- Quast, C.; Pruesse, E.; Yilmaz, P.; Gerken, J.; Schweer, T.; Yarza, P.; Peplies, J.; Glöckner, F.O. The SILVA ribosomal RNA gene database project: Improved data processing and web-based tools. Nucleic Acids Res. 2013, 41, D590–D596. [Google Scholar] [CrossRef] [PubMed]
- Abarenkov, K.; Zirk, A.; Piirmann, T.; Pöhönen, R.; Ivanov, F.; Nilsson, R.H.; Kõljalg, U. UNITE QIIME Release for Fungi; Version 19.02.2025; UNITE Community: Uppsala, Sweden, 2025. [Google Scholar] [CrossRef]
- R Core Team. R: A Language and Environment for Statistical Computing; R Foundation for Statistical Computing: Vienna, Austria, 2018; Available online: https://cran.r-project.org/doc/manuals/r-release/fullrefman.pdf (accessed on 12 December 2025).
- Wickham, H.; Averick, M.; Bryan, J.; Chang, W.; McGowan, L.D.; François, R.; Grolemund, G.; Hayes, A.; Henry, L.; Hester, J.; et al. Welcome to the tidyverse. J. Open Source Softw. 2019, 4, 1686. [Google Scholar] [CrossRef]
- Oksanen, J.; Simpson, G.L.; Blanchet, F.G.; Kindt, R.; Legendre, P.; Minchin, P.R.; O’Hara, R.B.; Solymos, P.; Stevens, M.H.H.; Szoecs, E.; et al. Vegan: Community Ecology Package; R Package Version 2.5-6. 2019. Available online: https://CRAN.R-project.org/package=vegan (accessed on 22 October 2025).
- Chen, H.; Boutros, P.C. VennDiagram: A package for the generation of highly-customizable Venn and Euler diagrams in R. BMC Bioinform. 2011, 12, 35. [Google Scholar] [CrossRef]
- Gözdereliler, E.; Boon, N.; Aamand, J.; De Roy, K.; Granitsiotis, M.S.; Albrechtsen, H.J.; Sørensen, S.R. Comparing metabolic functionalities, community structures, and dynamics of herbicide-degrading communities cultivated with different substrate concentrations. Appl. Environ. Microbiol. 2013, 79, 367–375. [Google Scholar] [CrossRef]
- Zheng, X.; Li, J.; Ouyang, Y.; Wu, G.; He, X.; Wang, D.; Zhang, X.X. Ecological linkages between top-down designed benzothiazole-degrading consortia and selection strength: From performance to community structure and functional genes. Water Res. 2024, 267, 122491. [Google Scholar] [CrossRef]
- Gröning, J.; Held, C.; Garten, C.; Claussnitzer, U.; Kaschabek, S.R.; Schlömann, M. Transformation of diclofenac by the indigenous microflora of river sediments and identification of a major intermediate. Chemosphere 2007, 69, 509–516. [Google Scholar] [CrossRef]
- Tang, W. The metabolism of diclofenac-enzymology and toxicology perspectives. Curr. Drug Metab. 2003, 4, 319–329. [Google Scholar] [CrossRef]
- Matejczyk, M.; Ofman, P.; Dąbrowska, K.; Świsłocka, R.; Lewandowsk, W. Evaluation of the biological impact of the mixtures of diclofenac with its biodegradation metabolites 4’-hydroxydiclofenac and 5-hydroxydiclofenac on Escherichia coli. DCF synergistic effect with caffeic acid. Arch. Environ. Protect. 2020, 46, 1–22. [Google Scholar] [CrossRef]
- Osorio, V.; Sanchís, J.; Abad, J.L.; Ginebreda, A.; Farré, M.; Pérez, S.; Barceló, D. Investigating the formation and toxicity of nitrogen transformation products of diclofenac and sulfamethoxazole in wastewater treatment plants. J. Hazard. Mater. 2016, 309, 157–164. [Google Scholar] [CrossRef] [PubMed]
- Pápai, M.; Benedek, T.; Táncsics, A.; Bornemann, T.L.V.; Plewka, J.; Probst, A.J.M.; Hussein, D.; Maróti, G.; Menashe, O.; Kriszt, B. Selective enrichment, identification, and isolation of diclofenac, ibuprofen, and carbamazepine degrading bacteria from a groundwater biofilm. Environ. Sci. Pollut. Res. Int. 2023, 30, 44518–44535. [Google Scholar] [CrossRef]
- Larcher, S.; Yargeau, V. The effect of ozone on the biodegradation of 17α-ethinylestradiol and sulfamethoxazole by mixed bacterial cultures. Appl. Microbiol. Biotechnol. 2013, 97, 2201–2210. [Google Scholar] [CrossRef]
- Salem-Milani, A.; Balaei-Gajan, E.; Rahimi, S.; Moosavi, Z.; Abdollahi, A.; Zakeri-Milani, P.; Bolourian, M. Antibacterial Effect of Diclofenac Sodium on Enterococcus faecalis. J. Dent. 2013, 10, 16–22. [Google Scholar]
- Dutta, N.K.; Dastidar, S.G.; Kumar, A.; Mazumdar, K.; Ray, R.; Chakrabarty, A.N. Antimycobacterial activity of the antiinflammatory agent diclofenac sodium, and its synergism with streptomycin. Braz. J. Microbiol. 2004, 35, 316–323. [Google Scholar] [CrossRef]
- Dastidar, S.G.; Ganguly, K.; Chaudhuri, K.; Chakrabarty, A.N. The anti-bacterial action of diclofenac shown by inhibition of DNA synthesis. Int. J. Antimicrob. Agents 2000, 14, 249–251. [Google Scholar] [CrossRef] [PubMed]
- Itzhari, D.; Nzeh, J.; Ronen, Z. Resistance and Biodegradation of Triclosan and Propylparaben by Isolated Bacteria from Greywater. J. Xenobiot. 2025, 15, 56. [Google Scholar] [CrossRef]
- Sathishkumar, P.; Meena, R.A.A.; Palanisami, T.; Ashokkumar, V.; Palvannan, T.; Gu, F.L. Occurrence, interactive effects and ecological risk of diclofenac in environmental compartments and biota—A review. Sci. Total Environ. 2020, 698, 134057. [Google Scholar] [CrossRef]
- Klockgether, J.; Cramer, N.; Wiehlmann, L.; Davenport, C.F.; Tümmler, B. Pseudomonas aeruginosa genomic structure and diversity. Front. Microbiol. 2011, 2, 150. [Google Scholar] [CrossRef]
- Dadkhah, F.; Moniri, F.; Zamani, H.; Hadavi, M. Anti-virulence effects of Diclofenac sodium in combination with gentamicin on Pseudomonas aeruginosa: Attenuation of quorum sensing related traits and efflux pump systems. Braz. J. Microbiol. 2025, 56, 1069–1081. [Google Scholar] [CrossRef]
- Mikesková, H.; Novotný, C.; Svobodová, K. Interspecific interactions in mixed microbial cultures in a biodegradation perspective. Appl. Microbiol. Biotechnol. 2012, 95, 861–870. [Google Scholar] [CrossRef]
- Symsaris, E.C.; Fotidis, I.A.; Stasinakis, A.S.; Angelidaki, I. Effects of triclosan, diclofenac, and nonylphenol on mesophilic and thermophilic methanogenic activity and on the methanogenic communities. J. Hazard. Mater. 2015, 291, 45–51. [Google Scholar] [CrossRef] [PubMed]
- Yu, J.S.L.; Correia-Melo, C.; Zorrilla, F.; Herrera-Dominguez, L.; Wu, M.Y.; Hartl, J.; Campbell, K.; Blasche, S.; Kreidl, M.; Egger, A.S.; et al. Microbial communities form rich extracellular metabolomes that foster metabolic interactions and promote drug tolerance. Nat. Microbiol. 2022, 7, 542–555. [Google Scholar] [CrossRef] [PubMed]
- Perez, S.; Barcelo, D. First evidence for occurence of hydroxylated human metabolites of diclofenac and aceclofenac in wastewater using QqLIT-MS and QqTOF-MS. Anal. Chem. 2008, 80, 8135–8145. [Google Scholar] [CrossRef]
- Mohamed, M.S.M.; Asair, A.A.; Fetyan, N.A.H.; Elnagdy, S.M. Complete biodegradation of diclofenac by new bacterial strains: Postulated pathways and degrading enzymes. Microorganisms 2023, 11, 1445. [Google Scholar] [CrossRef]
- Madsen, K.G.; Skonberg, C.; Jurva, U.; Cornett, C.; Hansen, S.H.; Johansen, T.N.; Olsen, J. Bioactivation of diclofenac in vitro and in vivo: Correlation to electrochemical studies. Chem. Res. Toxicol. 2008, 21, 1107–1119. [Google Scholar] [CrossRef] [PubMed]
- Chiron, A.; Duwig, C. Biotic nitrosation of diclofenac in a soil aquifer system (Katari watershed, Bolivia). Sci. Total Environ. 2016, 565, 473–480. [Google Scholar] [CrossRef]
- Osorio, V.; Cruz-Alcalde, A.; Pérez, S. Nitrosation and nitration of diclofenac and structurally related nonsteroidal anti-inflammatory drugs (NSAIDs) in nitrifying activated sludge. Sci. Total Environ. 2022, 807, 150533. [Google Scholar] [CrossRef]
- Klim, M.; Żmijowska, A.; Cycoń, M. Enhanced remediation of soil contaminated with selected non-steroidal anti-inflammatory drugs by the bioaugmentation with newly isolated strain Serratia marcescens MC-2/23. J. Environ. Sci. 2026, 160, 231–240. [Google Scholar] [CrossRef]
- Angeles-de Paz, G.; Ledezma-Villanueva, A.; Robledo-Mahón, T.; Pozo, C.; Calvo, C.; Aranda, E.; Purswani, J. Assembled mixed co-cultures for emerging pollutant removal using native microorganisms from sewage sludge. Chemosphere 2023, 313, 137472. [Google Scholar] [CrossRef]
- Aguilar-Romero, I.; Madrid, F.; Villaverde, J.; Morillo, E. Ibuprofen-enhanced biodegradation in solution and sewage sludge by a mineralizing microbial consortium. Shift in associated bacterial communities. J. Hazard. Mat. 2024, 464, 132970. [Google Scholar] [CrossRef] [PubMed]
- Cao, Z.; Yan, W.; Ding, M.; Yuan, Y. Construction of microbial consortia for microbial degradation of complex compounds. Front. Bioeng. Biotechnol. 2022, 10, 1051233. [Google Scholar] [CrossRef]
- Cheng, Z.; Li, C.; Kennes, C.; Ye, J.; Chen, D.; Zhang, S.; Chen, J.; Yu, J. Improved biodegradation potential of chlorobenzene by a mixed fungal-bacterial consortium. Int. Biodeterior. Biodegrad. 2017, 123, 276–285. [Google Scholar] [CrossRef]
- Lara-Moreno, A.; El-Sayed, F.; Cox, C.J.; Costa, M.C. Batch studies on the biodegradation of paracetamol and 1,4-hydroquinone by novel bacterial strains isolated from extreme environmental samples and the identification of candidate catabolic genes. Appl. Water. Sci. 2024, 14, 198. [Google Scholar] [CrossRef]
- Alkhuraiji, T.S. Advanced oxidation process based on water radiolysis to degrade and mineralize diclofenac in aqueous solutions. Sci. Total Environ. 2019, 688, 708–717. [Google Scholar] [CrossRef]
- Guo, H.; Xu, Z.; Wang, D.; Chen, S.; Qiao, D.; Wan, D.; Xu, H.; Yan, W.; Jin, X. Evaluation of diclofenac degradation effect in “active” and “non-active” anodes: A new consideration about mineralization inclination. Chemosphere 2022, 286, 131580. [Google Scholar] [CrossRef] [PubMed]
- Ferrari, B.; Paxeus, N.; Lo Giudice, R.; Pollio, A.; Garric, J. Ecotoxicological impact of pharmaceuticals found in treated waste waters: Study of carbamazepine, clofibric acid, and diclofenac. Ecotoxicol. Environ. Saf. 2003, 55, 359–370. [Google Scholar] [CrossRef] [PubMed]
- Ra, J.S.; Oh, S.Y.; Lee, B.C.; Kim, S.D. The effect of suspended particles coated by humic acid on the toxicity of pharmaceuticals estrogens and phenolic compounds. Environ. Int. 2008, 34, 184–192. [Google Scholar] [CrossRef]
- Di Nica, V.; Villa, S.; Finizio, A. Toxicity of individual pharmaceuticals and their mixtures to Aliivibrio fischeri: Experimental results for single compounds and considerations of their mechanisms of action and potential acute effects on aquatic organisms. Environ. Toxicol. Chem. 2017, 36, 807–814. [Google Scholar] [CrossRef]
- Grandclément, C.; Piram, A.; Petit, M.E.; Seyssiecq, I.; Laffont-Schwob, I.; Vanot, G.; Tiliacos, N.; Roche, N.; Doumenq, P. Biological removal and fate assessment of diclofenac using Bacillus subtilis and Brevibacillus laterosporus strains and ecotoxicological effects of diclofenac and 4′-Hydroxy-diclofenac. J. Chem. 2020, 1–12. [Google Scholar] [CrossRef]
- Kolakovic, S.; Salgado, R.; Freitas, E.B.; Bronze, M.R.; Sekulic, M.T.; Carvalho, G.; Reis, M.A.M.; Oehmen, A. Diclofenac biotransformation in the enhanced biological phosphorus removal process. Sci. Total Environ. 2022, 806, 151232. [Google Scholar] [CrossRef] [PubMed]
- Alexander, M. Biodegradation and Bioremediation, 2nd ed.; Academic Press: San Diego, CA, USA, 1999; ISBN 978-0-12-049861-1. [Google Scholar]
- Galitskaya, P.; Biktasheva, L.; Blagodatsky, S.; Selivanovskaya, S. Response of bacterial and fungal communities to high petroleum pollution in different soils. Sci. Rep. 2021, 11, 164. [Google Scholar] [CrossRef]
- Kraigher, B.; Mandic-Mulec, I. Influence of Diclofenac on Activated Sludge Bacterial Communities in Fed-Batch Reactors. Food Technol. Biotechnol. 2020, 58, 402–410. [Google Scholar] [CrossRef]
- Thelusmond, J.R.; Kawka, E.; Strathmann, T.J.; Cupples, A.M. Diclofenac, carbamazepine and triclocarban biodegradation in agricultural soils and the microorganisms and metabolic pathways affected. Sci. Total Environ. 2018, 640–641, 1393–1410. [Google Scholar] [CrossRef]
- Zhao, X.; Chen, Z.; Wang, X.; Li, J.; Shen, J.; Xu, H. Remediation of pharmaceuticals and personal care products using an aerobic granular sludge sequencing bioreactor and microbial community profiling using Solexa sequencing technology analysis. Biores. Technol. 2015, 179, 104–112. [Google Scholar] [CrossRef]
- Ledezma-Villanueva, A.; Robledo-Mahón, T.; Gómez-Silván, C.; Angeles-De Paz, G.; Pozo, C.; Manzanera, M.; Calvo, C.; Aranda, E. High-Throughput Microbial Community Analyses to Establish a Natural Fungal and Bacterial Consortium from Sewage Sludge Enriched with Three Pharmaceutical Compounds. J. Fungi 2022, 8, 668. [Google Scholar] [CrossRef]
- Zhang, Y.; Geissen, S.-U. In vitro degradation of carbamazepine and diclofenac by crude lignin peroxidase. J. Hazard. Mater. 2010, 176, 1089–1092. [Google Scholar] [CrossRef]
- Torres-Farradá, G.; Thijs, S.; Rineau, F.; Guerra, G.; Vangronsveld, J. White Rot Fungi as Tools for the Bioremediation of Xenobiotics: A Review. J. Fungi 2024, 10, 167. [Google Scholar] [CrossRef] [PubMed]
- Farkas, R.; Mireisz, T.; Toumi, M.; Abbaszade, G.; Sztráda, N.; Tóth, E. The Impact of Anti-Inflammatory Drugs on the Prokaryotic Community Composition and Selected Bacterial Strains Based on Microcosm Experiments. Microorganisms 2023, 11, 1447. [Google Scholar] [CrossRef] [PubMed]
- Pérez-Pantoja, D.; Donoso, R.; Agulló, L.; Córdova, M.; Seeger, M.; Pieper, D.H.; González, B. Genomic analysis of the potential for aromatic compounds biodegradation in Burkholderiales. Environ. Microbiol. 2012, 14, 1091–1117. [Google Scholar] [CrossRef]
- Morya, R.; Salvachúa, D.; Thakur, I.S. An Untapped but Promising Bacterial Genus for the Conversion of Aromatic Compounds. Trends Biotechnol. 2020, 38, 963–975. [Google Scholar] [CrossRef]
- Sun, W.; Xie, S.; Luo, C.; Cupples, A.M. Direct link between toluene degradation in contaminated-site micro cosms and a Polaromonas strain. Appl. Environ. Microbiol. 2010, 76, 956–959. [Google Scholar] [CrossRef] [PubMed]
- Xie, S.; Sun, W.; Luo, C.; Cupples, A.M. Novel aerobic benzene degrading microorganisms identified in three soils by stable isotope probing. Biodegradation 2011, 22, 71–81. [Google Scholar] [CrossRef]
- Mahmood, S.; Paton, G.I.; Prosser, J.I. Cultivation-independent in situ molecular analysis of bacteria involved in degradation of pentachlorophenol in soil. Environ. Microbiol. 2005, 7, 1349–1360. [Google Scholar] [CrossRef] [PubMed]
- Reis, A.C.; Kolvenbach, B.A.; Nunes, O.C.; Corvini, P.F.X. Biodegradation of antibiotics: The new resistance determinants—Part II. New Biotechnol. 2020, 54, 13–27. [Google Scholar] [CrossRef]
- Takenaka, S.; Okugawa, S.; Kadowaki, M.; Murakami, S.; Aoki, K. The Metabolic Pathway of 4-Aminophenol in Burkholderia sp. Strain AK-5 Differs from That of Aniline and Aniline with C-4 Substituents. Appl. Environ. Microbiol. 2003, 69, 5410–5413. [Google Scholar] [CrossRef]
- Wu, Y.; Sun, Q.; Zhou, Z.; Wang, Z.; Fu, H. Efficient degradation of carbamazepine and metagenomic investigations of anodic biofilm in microbial fuel cells. J. Environ. Manag. 2024, 370, 122743. [Google Scholar] [CrossRef]
- Wu, G.; Zhao, H.; Li, C.; Rajapakse, M.P.; Wong, W.C.; Xu, J.; Saunders, C.W.; Reeder, N.L.; Reilman, R.A.; Scheynius, A.; et al. Genus-Wide Comparative Genomics of Malassezia Delineates Its Phylogeny, Physiology, and Niche Adaptation on Human Skin. PLoS Genet. 2015, 11, e1005614. [Google Scholar] [CrossRef]
- Theelen, B.; Cafarchia, C.; Gaitanis, G.; Bassukas, I.D.; Boekhout, T.; Dawson, T.L. Malassezia ecology, pathophysiology, and treatment. Med. Mycol. 2018, 56, 10–25. [Google Scholar] [CrossRef] [PubMed]
- Rahimlou, S.; Amend, A.S.; James, T.Y. Malassezia in environmental studies is derived from human inputs. mBio 2025, 16, e0114225. [Google Scholar] [CrossRef] [PubMed]
- Ianiri, G.; LeibundGut-Landmann, S.; Dawson, T.L. Malassezia: A commensal, pathogen, and mutualist of human and animal skin. Annu. Rev. Microbiol. 2022, 76, 757–782. [Google Scholar] [CrossRef]
- Buratti, S.; Girometta, C.E.; Baiguera, R.M.; Barucco, B.; Bernardi, M.; De Girolamo, G.; Malgaretti, M.; Oliva, D.; Picco, A.M.; Savino, E. Fungal Diversity in Two Wastewater Treatment Plants in North Italy. Microorganisms 2022, 10, 1096. [Google Scholar] [CrossRef]
- Conejo-Saucedo, U.; Ledezma-Villanueva, A.; Ángeles de Paz, G.; Herrero-Cervera, M.; Calvo, C.; Aranda, E. Evaluation of the Potential of Sewage Sludge Mycobiome to Degrade High Diclofenac and Bisphenol-A Concentrations. Toxics 2021, 9, 115. [Google Scholar] [CrossRef]
- Sana, A. Biodegradation of paracetamol by native fungal species inhabiting wastewater of a pharmaceutical factory in sana’a, Yemen. Univ. J. Pharm. Res. 2018, 2, 35–41. [Google Scholar] [CrossRef]
- Kasonga, T.K.; Coetzee, M.A.A.; Kamika, I.; Momba, M.N.B. Assessing the Fungal Simultaneous Removal Efficiency of Carbamazepine, Diclofenac and Ibuprofen in Aquatic Environment. Front. Microbiol. 2021, 12, 755972. [Google Scholar] [CrossRef]
- Blanco-Orta, M.F.; García-de la Cruz, R.F.; Paz-Maldonado, L.M.T.; Pedraza-González, D.A.; Morales-Avila, M.M.; Balderas-Hernández, V.E.; Gonzalez-Ortega, O.; Pérez-Martínez, A.S. Assessing three industrially produced fungi for the bioremediation of diclofenac. J. Environ. Sci. Health Part A 2023, 58, 661–670. [Google Scholar] [CrossRef] [PubMed]
- Aracagök, D.; Goker, H.; Cihangir, N. Biodegradation of diclofenac with fungal strains. Arch. Environ. Protect. 2018, 44, 55–62. [Google Scholar] [CrossRef]
- Dalecka, B.; Oskarsson, C.; Juhna, T.; Kuttava Rajarao, G. Isolation of Fungal Strains from Municipal Wastewater for the Removal of Pharmaceutical Substances. Water 2020, 12, 524. [Google Scholar] [CrossRef]
- Hui, F.; Ren, Y.; Chen, L.; Li, Y.; Zhang, L.; Niu, Q. Molecular phylogenetic analysis reveals the new genus Hemisphaericaspora of the family Debaryomycetaceae. PLoS ONE 2014, 9, e103737. [Google Scholar] [CrossRef]
- Padilla-Garfias, F.; Poot-Hernández, A.C.; Araiza-Villanueva, M.; Calahorra, M.; Sánchez, N.S.; Peña, A. Transcriptomic profiling of Debaryomyces hansenii reveals detoxification and stress responses to benzo(a)pyrene exposure. Appl. Environ. Microbiol. 2025, 91, e0155725. [Google Scholar] [CrossRef]
- Roy, A.; Dubey, P.; Srivastava, A.; Kaur, I.; Shrivastava, A.; Vajpayee, P.; Srivastava, S.; Srivastava, P.K. Exploring the potential of Meyerozyma caribbica and its combined application with bacteria for lindane bioremediation. Chemosphere 2024, 361, 142413. [Google Scholar] [CrossRef] [PubMed]






| Strain (Accession Number) | Phylogenetic Affiliation/Closest Related Sequences (Accession Number) | Similarity (%) | Phylum/Class, Family, Genus |
|---|---|---|---|
| CSWD.1 (PX459929) | Pseudomonas aeruginosa (NR_113599.1) | 100 | Gammaproteobacteria/Pseudomonadales, Pseudomonadaceae, Pseudomonas |
| CSWD.2 (PX660167) | Pseudomonas sp. (PX40994.1) | 99.92 | Gammaproteobacteria/Pseudomonadales, Pseudomonadaceae, Pseudomonas |
| Microorganisms | IC50 (mg L−1) | R2 |
|---|---|---|
| Pseudomonas aeruginosa CSWD.1 | 7600 | 0.922 |
| Pseudomonas sp. CSWD.2 | 1100 | 0.938 |
| Consortium (MC) | 25,118 | 0.943 |
| Treatment | Model Kinetic | k1 * (Days−1) | k2 * (Days−1) | DT50 ** (Days) | Extent of Dissipation *** (%) | Calculated χ2 **** | Scaled Error | R2 |
|---|---|---|---|---|---|---|---|---|
| P. aeruginosa CSWD.1 | HS | 1.05 | 0.002 | 57.5 | 45.5 | 0.2 | 0.5 | 0.992 |
| Pseudomonas sp. CSWD.2 | SFO | 0.33 | - | 2.3 | 100 | 10.9 | 3.9 | 0.984 |
| Consortium MC | SFO | 1.75 | - | 0.3 | 100 | 8.5 | 1.8 | 0.995 |
| Treatment | Time (Days) | TU * | EC50 (%) ** | Toxicity *** |
|---|---|---|---|---|
| Abiotic control | 0 | 6.6 ± 0.2 | 15.2 ± 0.4 | Acute toxicity |
| P. aeruginosa CSWD.1 | 28 | 20.9 ± 3.5 | 4.8 ± 1.2 | High acute toxicity |
| Pseudomonas sp. CSWD.2 | 28 | 10.5 ± 0.3 | 9.5 ± 0.1 | High acute toxicity |
| Consortium MC | 28 | 14.3 ± 1.7 | 7.0 ± 0.3 | High acute toxicity |
Disclaimer/Publisher’s Note: The statements, opinions and data contained in all publications are solely those of the individual author(s) and contributor(s) and not of MDPI and/or the editor(s). MDPI and/or the editor(s) disclaim responsibility for any injury to people or property resulting from any ideas, methods, instructions or products referred to in the content. |
© 2026 by the authors. Licensee MDPI, Basel, Switzerland. This article is an open access article distributed under the terms and conditions of the Creative Commons Attribution (CC BY) license.
Share and Cite
Lara-Moreno, A.; Rodriguez-Morillo, B.; Madrid, F.; Martin-Sanchez, P.M.; Villaverde, J.; Mejías, C.; Alonso, E.; Santos, J.L.; Morillo, E. Enhanced Diclofenac Biodegradation by Bacterial Strains and a Microbial Consortium from Activated Sludge: Toxicity Assessment and Insights into Microbial Community Dynamics. J. Xenobiot. 2026, 16, 24. https://doi.org/10.3390/jox16010024
Lara-Moreno A, Rodriguez-Morillo B, Madrid F, Martin-Sanchez PM, Villaverde J, Mejías C, Alonso E, Santos JL, Morillo E. Enhanced Diclofenac Biodegradation by Bacterial Strains and a Microbial Consortium from Activated Sludge: Toxicity Assessment and Insights into Microbial Community Dynamics. Journal of Xenobiotics. 2026; 16(1):24. https://doi.org/10.3390/jox16010024
Chicago/Turabian StyleLara-Moreno, Alba, Belen Rodriguez-Morillo, Fernando Madrid, Pedro M. Martin-Sanchez, Jaime Villaverde, Carmen Mejías, Esteban Alonso, Juan Luis Santos, and Esmeralda Morillo. 2026. "Enhanced Diclofenac Biodegradation by Bacterial Strains and a Microbial Consortium from Activated Sludge: Toxicity Assessment and Insights into Microbial Community Dynamics" Journal of Xenobiotics 16, no. 1: 24. https://doi.org/10.3390/jox16010024
APA StyleLara-Moreno, A., Rodriguez-Morillo, B., Madrid, F., Martin-Sanchez, P. M., Villaverde, J., Mejías, C., Alonso, E., Santos, J. L., & Morillo, E. (2026). Enhanced Diclofenac Biodegradation by Bacterial Strains and a Microbial Consortium from Activated Sludge: Toxicity Assessment and Insights into Microbial Community Dynamics. Journal of Xenobiotics, 16(1), 24. https://doi.org/10.3390/jox16010024

