Next Issue
Volume 16, February
Previous Issue
Volume 15, October
 
 

Audiol. Res., Volume 15, Issue 6 (December 2025) – 34 articles

Cover Story (view full-size image): Hearing aids are often a treatment for tinnitus in the presence of hearing loss. But can patients further improve by tailoring the amplification strategy to their specific tinnitus pitch? This randomized controlled trial tested three different amplification settings to measure their impact on tinnitus handicap. Although the notch and boost schemes did not outperform standard amplification, most participants had an individual preference for a particular setting. The study highlighted the critical need for tailor-made hearing aid approaches in clinical practice. View this paper
  • Issues are regarded as officially published after their release is announced to the table of contents alert mailing list.
  • You may sign up for e-mail alerts to receive table of contents of newly released issues.
  • PDF is the official format for papers published in both, html and pdf forms. To view the papers in pdf format, click on the "PDF Full-text" link, and use the free Adobe Reader to open them.
Order results
Result details
Section
Select all
Export citation of selected articles as:
30 pages, 4367 KB  
Article
Effects of StereoBiCROS on Speech Understanding in Noise and Quality of Life for Asymmetric Sensorineural Hearing Loss
by Morgan Potier, Arnaud Noreña, Fabien Seldran, Mathieu Marx and Stéphane Gallego
Audiol. Res. 2025, 15(6), 176; https://doi.org/10.3390/audiolres15060176 - 16 Dec 2025
Viewed by 629
Abstract
Background and Aim: Asymmetric sensorineural hearing loss is difficult to rehabilitate acoustically. Bilateral amplification may induce binaural interference, while CROS/BiCROS systems provide benefit only when the speech signal reaches the poorer ear. A hybrid approach combining CROS strategy with bilateral acoustic amplification, [...] Read more.
Background and Aim: Asymmetric sensorineural hearing loss is difficult to rehabilitate acoustically. Bilateral amplification may induce binaural interference, while CROS/BiCROS systems provide benefit only when the speech signal reaches the poorer ear. A hybrid approach combining CROS strategy with bilateral acoustic amplification, called Stereophonic Bilateral Contralateral Routing of Signal—StereoBiCROS—has recently emerged. Methods: A one-month home trial was conducted with hearing aids programmed in three listening modes: Stereophonic, BiCROS, and StereoBiCROS. Speech-in-noise perception was assessed in dichotic and reverse-dichotic conditions. Speech recognition thresholds were derived using logistic regression. Daily mode usage was extracted from datalogging. Pre/post subjective benefit was evaluated using the SSQ-15 and SF-12. Results: Eighteen participants (mean age 70.7 ± 8.2 years) used the devices 12.4 ± 1.6 h per day, predominantly in StereoBiCROS mode (76.9 ± 24.2%). In the dichotic condition, this mode yielded the best speech-to-noise ratio (0.96 ± 2.74 dB; p < 0.0001), outperforming unilateral rerouting (3.00 ± 2.05 dB; p = 0.001) and bilateral amplification (5.16 ± 1.31 dB; p = 0.001). In the reverse-dichotic condition, only bilateral amplification provided a non-significant improvement (3.08 ± 1.38 dB), whereas the other modes deteriorated intelligibility. SSQ-15 total and subscale scores significantly improved after one month, while SF-12 scores did not change. Conclusions: StereoBiCROS stimulation appears to be a promising acoustic alternative for improving speech intelligibility in noise and patient-reported outcomes in asymmetric sensorineural hearing loss. Further research is required to identify the most responsive audiological profiles. Full article
(This article belongs to the Special Issue Hearing Loss: Causes, Symptoms, Diagnosis, and Treatment—Volume II)
Show Figures

Figure 1

14 pages, 1426 KB  
Article
Trends and Incidence of Hearing Implant Utilization in Italy: A Population-Based Study
by Enrico Ciminello, Domenico Cuda, Francesca Forli, Anna Rita Fetoni, Stefano Berrettini, Eugenio Mattei, Tiziana Falcone, Adriano Cuccu, Paola Ciccarelli, Stefania Ceccarelli and Marina Torre
Audiol. Res. 2025, 15(6), 175; https://doi.org/10.3390/audiolres15060175 - 14 Dec 2025
Viewed by 378
Abstract
Background/Objectives: Cochlear implants (CIs) and other implantable hearing devices are crucial to treat hearing loss. The aim of this study was to analyze the temporal trends of implantation for hearing devices in Italy between 2001 and 2023, with stratification by age. Methods: This [...] Read more.
Background/Objectives: Cochlear implants (CIs) and other implantable hearing devices are crucial to treat hearing loss. The aim of this study was to analyze the temporal trends of implantation for hearing devices in Italy between 2001 and 2023, with stratification by age. Methods: This population-based study explored Hospital Discharge Records and used codes from the International Classification of Diseases, 9th revision—Clinical Modification (ICD9-CM) to identify cochlear and non-cochlear implants. Patients were partitioned into six age classes: <1, 1–2, 3–17, 18–65, 66–80, and >80; and time series for counts and incidence rates (IRs) per 1,000,000 inhabitants with confidence intervals (CI95%) were explored overall and by age class. Trends were assessed by incidence rate ratio and Cox–Stuart test with a significance threshold for p-values at 0.05. Results: 22,850 (83.6%) records for cochlear and 4476 (16.4%) for non-cochlear implants were extracted. Cochlear implants volume shifted from 537 procedures in 2001 to 1595 in 2023 (p < 0.01), while IR increased (p < 0.01) from 9.4 (CI95%: 9.7, 10.3) in 2001 to 27 (CI95%: 25.7, 28.4) in 2023. The volumes of implanted CIs increased in children and adults. Volumes for non-cochlear implants increased between 2001 and 2010, from 62 to 254, and remained stable afterwards. IR shifted from 1.1 (CI95%: 0.8, 1.4) in 2001 to 4.1 (CI95%: 3.6, 4.7) in 2023. Conclusions: Those trends highlight the importance of monitoring efficacy and safety of hearing devices, and the establishment of the Italian Implantable Hearing Device Registry at the Italian National Institute of Health is a first step in such a direction. Full article
Show Figures

Figure 1

18 pages, 987 KB  
Systematic Review
Hearing Loss in Young and Middle-Aged Adults as a Modifiable Risk Factor for Late-Life Dementia: A Systematic Review and Meta-Analysis
by Lakshmi Satheesan, Usha Shastri, Gagan Bajaj and Mohan Kumar Kalaiah
Audiol. Res. 2025, 15(6), 174; https://doi.org/10.3390/audiolres15060174 - 12 Dec 2025
Viewed by 879
Abstract
Background: Individuals with untreated hearing loss often experience cognitive decline as a result of increased cognitive load and reduced sensory stimulation. Despite the well-established link between untreated hearing loss and cognitive decline in older adults, its impact on cognition in young and middle-aged [...] Read more.
Background: Individuals with untreated hearing loss often experience cognitive decline as a result of increased cognitive load and reduced sensory stimulation. Despite the well-established link between untreated hearing loss and cognitive decline in older adults, its impact on cognition in young and middle-aged adults has not been systematically examined. Given the Lancet Commission’s identification of midlife hearing loss as the leading modifiable risk factor for dementia, early identification of cognitive decline is essential. This review explored the cognitive impact of untreated hearing loss in adults. Method: A comprehensive search was conducted in PubMed, Scopus, Web of Science, and EMBASE to include studies comparing cognitive function between adults with normal hearing and those with untreated hearing loss aged 18–65 years. The methodological quality of the included studies was examined via the Joanna Briggs Institute Critical Appraisal Checklist for Analytical Cross-Sectional Studies. Pooled mean differences and heterogeneity were analysed for each domain. Results: Seven studies included in the qualitative synthesis had “moderate” to “strong” methodological quality. The cognitive domains assessed in these studies were global cognitive function, memory, attention, and executive function. Of these, six were eligible for meta-analysis, which revealed a small but statistically significant decline in overall cognitive performance and memory and executive function among adults with untreated hearing loss. Conclusions: Cognitive vulnerabilities exist in young and middle-aged adults with untreated hearing loss. Hence, incorporating cognitive assessment into routine audiological evaluation may enable earlier intervention and delay the future burden of Alzheimer’s disease and related dementias in such a population. Full article
(This article belongs to the Section Hearing)
Show Figures

Figure 1

26 pages, 1300 KB  
Article
Digital Tinnitus Counseling in Clinical Practice: A Multicenter Randomized Controlled Trial
by Petra Brueggemann, Gernot G. Supp, Paul Schmidt and Birgit Mazurek
Audiol. Res. 2025, 15(6), 173; https://doi.org/10.3390/audiolres15060173 - 9 Dec 2025
Viewed by 863
Abstract
Background/Objectives: Subjective tinnitus, defined as the perception of sound without an external source, is a common and often debilitating condition. In the absence of pharmacotherapy, disease management guidelines recommend counseling interventions to alleviate tinnitus-related distress and improve patient outcome. This study evaluated [...] Read more.
Background/Objectives: Subjective tinnitus, defined as the perception of sound without an external source, is a common and often debilitating condition. In the absence of pharmacotherapy, disease management guidelines recommend counseling interventions to alleviate tinnitus-related distress and improve patient outcome. This study evaluated the benefit of guideline-compliant counseling provided by “Meine Tinnitus App”, a smartphone-based application, for the treatment of subjective tinnitus. Methods: A randomized controlled study was conducted in 204 patients with confirmed chronic subjective tinnitus enrolled at 33 ear, nose and throat (ENT) practices in Germany. Tinnitus improvement was evaluated after 10 weeks of intervention (digital counseling in addition to standard care vs. standard care only). The primary endpoint was the change in tinnitus-related distress (measured by the Mini-TQ-12 validated questionnaire). The secondary endpoint was the change in tinnitus-associated daily burden and coping difficulties (measured by the validated BVB-2000 questionnaire). Treatment effects for the primary and secondary endpoints were represented by the estimated marginal means (EMMs). Results: Patients of the intervention group showed a significant reduction in tinnitus-related distress (EMM [95% CI]: 4.5 [3.3–5.8]; p < 0.001) and a significant improvement in tinnitus-associated daily burden and coping difficulties (EMM [95% CI]: 0.5 [0.2–0.7]; p < 0.001) compared to patients of the control group, with large to moderate effect sizes (Hedges’ g between 1.1. and 0.5). These positive treatment effects were confirmed by responder and sensitivity analyses. Additionally, patients with high vs. low app usage showed a greater improvement in treatment effect for both endpoints (p < 0.05), further supporting the health benefits of digital counseling. Conclusions: This study demonstrated the efficacy of tinnitus counseling provided by “Meine Tinnitus App” to alleviate tinnitus-related distress, daily burden, and coping difficulties in patients with subjective tinnitus (German Clinical Trials Register DRKS00025379). Full article
Show Figures

Figure 1

13 pages, 980 KB  
Article
Early Speech Development in Romanian Children with Cochlear Implants Assessed Using the LittlEARS® Early Speech Production Questionnaire (LEESPQ)
by Alina Catalina Ivanov, Luminita Radulescu, Cristian Neagos, Sebastian Cozma, Corina Butnaru, Raluca Olariu, Petronela Moraru, Violeta Necula and Cristian Martu
Audiol. Res. 2025, 15(6), 172; https://doi.org/10.3390/audiolres15060172 - 8 Dec 2025
Viewed by 346
Abstract
Objective: The aim of the study was to evaluate the validity, clinical applicability, and developmental sensitivity of the Romanian LEESPQ in children with cochlear implants (CIs), by analyzing its association with age at implantation, duration of auditory experience, and implantation laterality, and by [...] Read more.
Objective: The aim of the study was to evaluate the validity, clinical applicability, and developmental sensitivity of the Romanian LEESPQ in children with cochlear implants (CIs), by analyzing its association with age at implantation, duration of auditory experience, and implantation laterality, and by comparing the developmental trajectory with that of normal-hearing (NH) children. Methods: The study assesses the validity, reliability, and clinical sensitivity of the LEESPQ in pediatric cochlear implant users. Furthermore, it investigates the associations between total questionnaire scores and key clinical variables, including implantation laterality (unilateral versus bilateral), age at device activation, and duration of implant use. Forty-seven children with CIs (26 boys, 21 girls) were included, with implantation ages ranging from 9 months to 5 years. Of these, 21 received unilateral implants and 26 bilateral implants. Responses were analyzed both in relation to clinical variables and in comparison with available normative data from NH children, in order to delineate potential differences in linguistic developmental trajectories. Results: Findings suggest that the LEESPQ is a reliable and clinically valuable instrument for monitoring post-implant linguistic progress. It provides relevant insights into early auditory access, the linguistic environment within the family, and the development of early verbal production. Scores were significantly influenced by age at implantation and duration of auditory experience, confirming the role of early stimulation and neural plasticity in shaping speech development after cochlear implantation. Conclusions: The LEESPQ demonstrates strong clinical utility as a sensitive tool for monitoring early preverbal and verbal development in children with CIs. By capturing score variations associated with age at implantation, auditory experience, and implantation laterality, the questionnaire provides meaningful insights into early post-implant outcomes and supports individualized rehabilitation planning. These findings highlight the value of the LEESPQ for early outcome assessment in pediatric cochlear implant users. Full article
Show Figures

Figure 1

11 pages, 1251 KB  
Article
Awareness of Noise-Induced Hearing Loss Related to Exposure to High-Noise Environments—Case Study: Young Adults 18 to 30 in Greece
by Nikolaos Trimmis, Melina Kaparou, Theodoros Tsoukalas, Panagiotis Plotas and Voula Chris Georgopoulos
Audiol. Res. 2025, 15(6), 171; https://doi.org/10.3390/audiolres15060171 - 5 Dec 2025
Viewed by 802
Abstract
Background: Noise-induced hearing loss (NIHL) is one of the most common types of hearing impairment, even though it is preventable. However, awareness and protective behaviors among young adults remain limited. This study explored the knowledge, attitudes, and behaviors of young adults in Greece [...] Read more.
Background: Noise-induced hearing loss (NIHL) is one of the most common types of hearing impairment, even though it is preventable. However, awareness and protective behaviors among young adults remain limited. This study explored the knowledge, attitudes, and behaviors of young adults in Greece regarding exposure to high-noise environments and the risk of NIHL. Methods: A cross-sectional survey was conducted with 104 participants aged 18–30 years in Patras, Greece. A 27-item questionnaire was used to collect data on demographics, patterns of noise exposure, use of personal listening devices, auditory symptoms, and preventive behaviors. Descriptive statistics and chi-square tests were used to examine relationships between demographic variables and participants’ responses. Results: Most participants (93.3%) recognized that prolonged exposure to high noise levels can harm hearing. However, only 6.7% reported having regular hearing checks, and almost half (45.2%) had never been tested. Remarkably, 19.2% of participants experienced tinnitus, while more than half (54.8%) reported fatigue after exposure to loud sounds. Younger participants (aged 18–22 years) were significantly more likely to listen at high volumes compared to older groups (p < 0.05). Males reported higher rates of tinnitus and ear discomfort, whereas females more often experienced headaches. Although general awareness of NIHL was high, preventive behaviors such as using hearing protection were rarely practiced. Conclusions: These findings highlight the need for targeted educational campaigns and preventive screening programs to promote safe listening practices and reduce the overall prevalence of NIHL. Full article
(This article belongs to the Section Hearing)
Show Figures

Figure 1

12 pages, 439 KB  
Article
Hearing Abilities in Children with Perinatally Acquired HIV, Children Perinatally Exposed to HIV but Uninfected, and Children Unexposed to HIV
by Peter Torre III, Haley Elliott, Zhongli J. Zhang, Tzy-Jyun Yao and Barbara Laughton
Audiol. Res. 2025, 15(6), 170; https://doi.org/10.3390/audiolres15060170 - 5 Dec 2025
Viewed by 275
Abstract
Background/Objectives: Children with perinatal HIV (PHIV) are more at risk for hearing loss than HIV-unexposed (HU) children. Due to medical advances maternal HIV transmission to newborns is decreasing, but in children with perinatal HIV exposure, uninfected (PHEU) is increasing. The objectives were [...] Read more.
Background/Objectives: Children with perinatal HIV (PHIV) are more at risk for hearing loss than HIV-unexposed (HU) children. Due to medical advances maternal HIV transmission to newborns is decreasing, but in children with perinatal HIV exposure, uninfected (PHEU) is increasing. The objectives were to evaluate (1) pure-tone audiometry and cochlear and auditory neural function in children with perinatally acquired HIV (PHIV), children with perinatal HIV exposure but uninfected (PHEU), and HIV-unexposed (HU) children and (2) differences in hearing measures for children with PHIV according to HIV disease severity. Methods: Three hundred and thirty-three children (105 PHIV [58 girls, 47 boys], 101 PHEU [51 girls, 50 boys], and 127 HU [65 girls, 62 boys]), aged 11–14 years, completed a hearing assessment that included a hearing-related questionnaire, otoscopy, tympanometry, pure-tone thresholds, distortion product otoacoustic emissions (DPOAEs) for cochlear function, and auditory brainstem responses (ABRs) for neural function. Results: Pure-tone thresholds, DPOAE, and ABR measures were similar in the three groups. Children with PHIV had a higher prevalence of hearing loss compared to children with PHEU and HU children. Children with PHIV and greater historical HIV disease severity had similar hearing, DPOAEs, and ABRs to those with lesser HIV disease severity. Conclusions: In utero HIV acquisition or HIV exposure might not affect the cochlear and neural function up to the level of the brainstem. Children with PHIV had a higher prevalence of hearing loss; it is possible there is a difference in central auditory processing across the three groups of children. Hearing loss identification is important since it may impact social and educational development. Full article
Show Figures

Figure 1

14 pages, 2267 KB  
Article
Listening Effort and Its Relation to Spatial Localization, and Vestibular and Visual Impairment in Usher Syndrome—Our Experience
by Tiziana Di Cesare, Paola Michieletto, Maria Teresa Bonati, Federica De Caro, Pietro Cossu, Francesco Torelli and Eva Orzan
Audiol. Res. 2025, 15(6), 169; https://doi.org/10.3390/audiolres15060169 - 5 Dec 2025
Viewed by 335
Abstract
Background/Objectives: Children with hearing loss (HL) could experience significant fatigue which compromises their performance. The effort related to the combination of HL and visual impairment in children affected by Usher syndrome (USH) could compromise mental health, socio-emotional behavior and academic achievement. The aim [...] Read more.
Background/Objectives: Children with hearing loss (HL) could experience significant fatigue which compromises their performance. The effort related to the combination of HL and visual impairment in children affected by Usher syndrome (USH) could compromise mental health, socio-emotional behavior and academic achievement. The aim of the present study was to analyse the listening effort in USH cases types 1 and 2 and its relation to age, molecular diagnosis, visual field, visual acuity, degree of HL, vestibular impairment and spatial orientation. Methods: This was a retrospective monocentric study. Twenty children with genetically confirmed USH (USH2 in 15/20–75% and USH1 in 5/20–25%), age range 3–17 years (mean 9.6 ± 4.7), underwent: the Vanderbilt fatigue scale questionnaire (VFS), audiological and vestibular assessment including the Oldenburg Matrix test in Italian and video head impulse test (VHIT), sound localization test and ophthalmologic examination. Results: We observed a more pronounced HL and deteriorated vestibular function in those with USH1. They also employed significantly more time and head movements to localize sounds compared to USH2 and had the worst visual field on eye examination. The VFS did not show significant differences between the two groups, with the exception of the physical fatigue reported by parents. Mean VFS was linearly related to age, the hearing threshold of the worse ear, data logging hours of hearing device, time and head movements of the localization test, VHIT asymmetry and balance problems referred by parents and the visual field. USH type 1 had no greater risk of fatigue than USH2. Profound hearing loss, data logging of hearing device < 8 h a day, difficult localization test, balance problems and low retinal sensitivity represented risk factors for listening effort measured with VFS. Conclusions: Listening effort in difficult environments such as school rooms in USH patients is not only associated to hearing function but also to the spatial awareness determined in part by vestibular and visual function. Teachers should be informed and made aware of multiple comorbidities in order to facilitate learning. Full article
(This article belongs to the Section Hearing)
Show Figures

Figure 1

22 pages, 338 KB  
Review
Multidisciplinary Management of Cerebellopontine Angle Tumors with Brainstem Involvement
by Concheri Stefano, Vito Pontillo, Alberto D’Amico, Stefano Di Girolamo, Francesco Signorelli, Elisabetta Zanoletti and Nicola Antonio Adolfo Quaranta
Audiol. Res. 2025, 15(6), 168; https://doi.org/10.3390/audiolres15060168 - 4 Dec 2025
Viewed by 701
Abstract
Background/Objectives: Tumors of the cerebellopontine angle (CPA) encompass a limited range of histologies, predominantly vestibular schwannomas (VSs), meningiomas, and paragangliomas (PGLs). Their growth region threatens the cranial nerves (V–XII), brainstem, and cerebellum, possibly causing functional deficits. This review aims to synthesize clinical features [...] Read more.
Background/Objectives: Tumors of the cerebellopontine angle (CPA) encompass a limited range of histologies, predominantly vestibular schwannomas (VSs), meningiomas, and paragangliomas (PGLs). Their growth region threatens the cranial nerves (V–XII), brainstem, and cerebellum, possibly causing functional deficits. This review aims to synthesize clinical features and multidisciplinary treatment strategies for CPA tumors with brainstem involvement, emphasizing functional preservation alongside tumor control. Methods: A systematic PubMed search identified studies on VSs, CPA meningiomas, and intradural PGLs. Eligibility criteria included studies reporting tumor management and cranial nerve outcomes. Data extraction focused on tumor size, neurological presentation, surgical approach, adjunctive therapies, and postoperative cranial nerve function. Multidisciplinary involvement and rehabilitation strategies were noted. Results: Twenty studies (3311 patients) analyzed large VSs, showing facial nerve dysfunction in 8–53%, trigeminal neuropathy in 20–77%, and cerebellar signs in up to 79%. Microsurgery (MS) achieved variable gross total resection, while stereotactic radiosurgery (SRS) preserved facial nerve function but carried trigeminal and hydrocephalus risks. CPA meningiomas demonstrated cranial nerve displacement patterns critical for surgical planning, with transient deficits common and recovery linked to baseline function. In 388 intradural PGL cases, staged surgery combined with preoperative embolization was standard; functional preservation of lower cranial nerves was often limited. Across all histologies, multidisciplinary management and targeted rehabilitation were essential. Conclusions: Optimal CPA tumor management balances tumor control with functional preservation. VSs benefit from individualized MS or SRS based on size and mass effect. Meningioma surgery prioritizes cranial nerve preservation over radical resection. Intradural PGLs require staged vascular-conscious approaches. Multidisciplinary care and structured rehabilitation are pivotal to improving outcomes and quality of life. Full article
17 pages, 809 KB  
Article
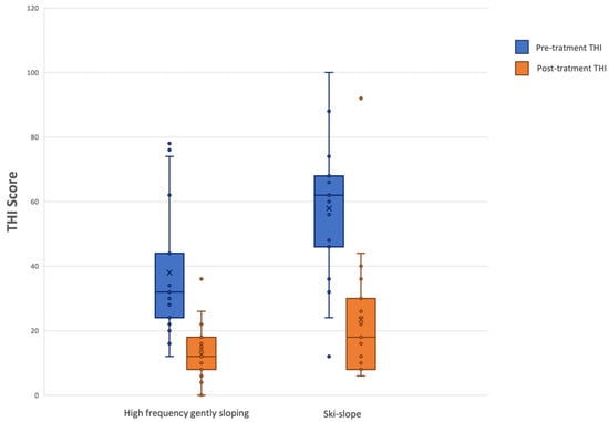
Impact of Hearing Aid Amplification on Subjective Tonal Tinnitus in Patients with Gently Sloping and Ski-Slope Hearing Loss: A Retrospective Cohort Study
by Daniele Portelli, Sabrina Loteta, Cosimo Galletti, Mariangela D’Angelo, Leonard Freni, Pietro Salvago, Francesco Ciodaro and Giuseppe Alberti
Audiol. Res. 2025, 15(6), 167; https://doi.org/10.3390/audiolres15060167 - 3 Dec 2025
Viewed by 708
Abstract
Background/Objectives: This study aims to evaluate the effectiveness of hearing aid amplification in reducing self-perceived tinnitus handicap in individuals with ski-slope hearing loss—a population seldom addressed in previous research. In addition, a correlation analysis was performed to examine the relationship between tinnitus [...] Read more.
Background/Objectives: This study aims to evaluate the effectiveness of hearing aid amplification in reducing self-perceived tinnitus handicap in individuals with ski-slope hearing loss—a population seldom addressed in previous research. In addition, a correlation analysis was performed to examine the relationship between tinnitus duration, pitch, loudness, and THI scores. The results are then compared with those of patients with high-frequency gently sloping hearing loss. Methods: 38 patients with bilateral sensorineural hearing loss and chronic tonal tinnitus were retrospectively evaluated and divided into two equal groups: high-frequency gently sloping and ski-slope hearing loss (n = 19 each). Tinnitus pitch, loudness, and edge frequency were assessed. The Mann–Whitney test compared tinnitus characteristics between groups, while the Wilcoxon signed-rank test evaluated pre- and post-treatment THI scores. Spearman correlation was used to explore associations between tinnitus duration, intensity, pitch, and THI outcomes. Results: The Mann–Whitney test showed significant differences in tinnitus pitch, and edge frequency between both groups; no statistically significant differences were found for the tinnitus level. Tinnitus frequency was higher in the high-frequency gently sloping group. The Wilcoxon test confirmed significant improvements in THI scores post-treatment for both groups (p < 0.001). No significant correlations were found between tinnitus duration, level, pitch, and post-treatment THI scores. Conclusions: Hearing aids effectively reduce tinnitus severity in patients with ski-slope and gently sloping hearing loss, supporting their use as a therapeutic option. Larger, multicentric studies are recommended to validate these findings and explore specific auditory profiles and processing strategies. Full article
Show Figures

Figure 1

15 pages, 967 KB  
Article
Cochlear Implants and Adult Patient Experiences, Adaptation and Challenges: A Survey
by Sahar Bin Dehaish, Abdulmalik Bin Marouq, Abdulaziz Almalki, Medhat Yousef, Fida Almuhawas, Abdulrahman Hagr, Jad Mony, Mohammad Albaqeyah, Hala Alferaih, Haifa Alqahtani, Sara Alghuraibi, Deepthi Poovayya, Hassan Yalcouy and Dalal Alrushaydan
Audiol. Res. 2025, 15(6), 166; https://doi.org/10.3390/audiolres15060166 - 30 Nov 2025
Viewed by 712
Abstract
Background: Cochlear implants (CIs) are a life-changing treatment for individuals with severe to profound hearing loss, yet adult CI uptake remains low despite high clinical and economic effectiveness. This study investigates adult patient experiences, adaptation, and barriers to CI access in Saudi Arabia. [...] Read more.
Background: Cochlear implants (CIs) are a life-changing treatment for individuals with severe to profound hearing loss, yet adult CI uptake remains low despite high clinical and economic effectiveness. This study investigates adult patient experiences, adaptation, and barriers to CI access in Saudi Arabia. Methods: A survey of 89 adult CI recipients was conducted across three major CI centers in Saudi Arabia. The electronic questionnaire explored pre- and post-implant experiences, including referral pathways, device choice, adaptation, and satisfaction. Descriptive statistics, ranked correlations, and inferential tests were used to analyze associations between demographic and clinical variables. Results: The median time between hearing loss diagnosis and implantation was 17 years, with most patients using hearing aids beforehand. Healthcare professionals were the primary source of CI interest for 48% of respondents, though younger recipients were more often influenced by peers. Longer daily device use was linked to faster acclimatization (ρ = −0.26, p < 0.05); however, age, wait time, and initial attitude did not affect adaptation. Outcomes exceeded expectations for 54% of participants. Major barriers included lack of awareness (23%) and fear of surgery (18%). Only 4% learned about CI through social media. Advice for future candidates emphasized confidence and proactive action. Conclusions: Despite expanded CI availability in Saudi Arabia, structural and societal barriers persist. Empowering healthcare professionals and utilizing social media for awareness may enhance adult CI uptake and improve hearing health outcomes. Full article
Show Figures

Figure 1

6 pages, 160 KB  
Article
Does Superior Semicircular Canal Dehiscence Surgery Resolve or Exacerbate Positional Vertigo?
by Gerard Joseph Gianoli
Audiol. Res. 2025, 15(6), 165; https://doi.org/10.3390/audiolres15060165 - 28 Nov 2025
Viewed by 469
Abstract
Does Superior Semicircular Canal Dehiscence Surgery Resolve or Exacerbate BPPV? Background/Objectives: BPPV is commonly found to be associated with other inner ear disorders. It has been found to occur with Superior Semicircular Canal Dehiscence (SSCD) as well as postoperatively following SSCD surgical repair. [...] Read more.
Does Superior Semicircular Canal Dehiscence Surgery Resolve or Exacerbate BPPV? Background/Objectives: BPPV is commonly found to be associated with other inner ear disorders. It has been found to occur with Superior Semicircular Canal Dehiscence (SSCD) as well as postoperatively following SSCD surgical repair. This paper will analyze the preoperative and postoperative incidence of positional vertigo in patients undergoing SSCD surgery. Methods: This is a retrospective chart review of 50 consecutive patients with SSCD undergoing surgical repair. They were evaluated preoperatively, at 1 week postoperative, at 6 weeks postoperative, and at 12 weeks postoperative for evidence of BPPV. Information collected included demographics, the semicircular canal involved, type of BPPV, and whether the patient required canalith repositioning. Results: Preoperatively, 33 (66%) patients reported symptoms of positionally induced vertigo with confirmation during VNG testing. No patient was treated for BPPV prior to surgery. At one week postoperative, 17 (35%) patients continued to have symptoms of positionally induced vertigo; at 6 weeks postoperative, 9 (18%), and at 12 weeks postoperative, 5 (10%) patients had positional vertigo requiring canalith repositioning (p < 0.05). Three patients (6%) had no evidence of BPPV preoperatively but had positional vertigo at the one-week postoperative evaluation. At the 6-week post-op visit, only one of the patients had new-onset postoperative positional vertigo. At the 3-month visit, no patient had new-onset postoperative positional vertigo. Conclusions: BPPV and positional vertigo symptoms were found commonly prior to SSCD surgery and in the week after SSCD surgery. However, BPPV resolved by 6 weeks after SSCD surgery without additional intervention for most of these patients, while the others underwent canalith repositioning. A small percentage developed BPPV after surgery who had none preoperatively and in the contralateral ear. Full article
(This article belongs to the Special Issue A Tribute to John M. Epley)
15 pages, 1410 KB  
Article
Tinnitus-Related Functional and Perceptual Impairments Following COVID-19 Vaccination: An Online Multi-Domain Survey Study
by Anusha Yellamsetty, Gianmaris Fortuna, Egbe-Etu Etu and Shaowen Bao
Audiol. Res. 2025, 15(6), 164; https://doi.org/10.3390/audiolres15060164 - 26 Nov 2025
Viewed by 1159
Abstract
Background: Tinnitus has been increasingly reported during the COVID-19 pandemic, following both infection and vaccination. While these reports suggest that pandemic-related factors may influence the onset or worsening of tinnitus, the perceptual characteristics and functional consequences of such cases remain poorly understood. This [...] Read more.
Background: Tinnitus has been increasingly reported during the COVID-19 pandemic, following both infection and vaccination. While these reports suggest that pandemic-related factors may influence the onset or worsening of tinnitus, the perceptual characteristics and functional consequences of such cases remain poorly understood. This study examined the nature, severity, and communication-related impact of self-reported tinnitus following COVID-19 vaccination. Methods: A total of 770 adults who self-reported new or worsened tinnitus after vaccination completed a structured online survey between August 2021 and May 2023. Standardized instruments included the Tinnitus Functional Index (TFI), the Speech, Spatial and Qualities of Hearing Scale (SSQ), and visual analog scales assessing loudness discomfort and hyperacusis-related symptoms. Analyses included descriptive statistics, chi-square tests, t-tests, and correlation matrices. Results: Respondents reported moderate to severe tinnitus-related distress, with the greatest impacts on emotional control, sleep, and relaxation. Many described communication difficulties in noisy or multi-talker environments, despite relatively preserved spatial hearing and sound quality. A substantial subset endorsed hyperacusis symptoms, including sound-induced annoyance, fear, and intolerance. Correlation analyses revealed strong associations between emotional, cognitive, and auditory domains, underscoring the multidimensional burden of tinnitus in this population. Conclusions: Self-reported tinnitus after COVID-19 vaccination was associated with distress, sleep disruption, and communication difficulties, mirroring patterns commonly observed in tinnitus more broadly. Although causality cannot be determined, these findings highlight the importance of comprehensive audiological and psychological assessment for individuals reporting auditory complaints after vaccination and support the inclusion of functional hearing outcomes in tinnitus evaluation protocols. Full article
Show Figures

Figure 1

14 pages, 788 KB  
Article
Binaural Localization Development and the Effect of SmartSound iQ with SCAN in Children with Cochlear Implants
by Abdulaziz Alasmi, Mada Aljabr, Dalal Alrushaydan, Hassan Yalcouy and Fida Almuhawas
Audiol. Res. 2025, 15(6), 163; https://doi.org/10.3390/audiolres15060163 - 24 Nov 2025
Viewed by 590
Abstract
Background: Binaural hearing is crucial for spatial auditory perception, including sound localization. Cochlear implants (CIs) are commonly used in children with congenital deafness to support binaural auditory development, but the extent to which they facilitate effective localization remains unclear. Objective: This study evaluates [...] Read more.
Background: Binaural hearing is crucial for spatial auditory perception, including sound localization. Cochlear implants (CIs) are commonly used in children with congenital deafness to support binaural auditory development, but the extent to which they facilitate effective localization remains unclear. Objective: This study evaluates the impact of CIs on binaural functional auditory development and sound localization in children with congenital deafness, considering factors such as age at implantation, hearing experience, and CI laterality. Methods: Thirty-eight CI-assisted children (aged 4–9 years) underwent directional hearing assessments using the “Erfassung des Richtungshörens bei Kindern (ERKI)” device. Localization accuracy was analyzed across various noise stimuli, and correlations with audiometric parameters and CI history were examined. Results: Localization accuracy improved with age and CI experience. Bilateral CI users outperformed unilateral users, particularly with pulse pink noise stimuli. The use of SmartSound iQ with SCAN technology enhanced localization, especially in younger children. Conclusion: CIs support binaural functional auditory development in children with congenital deafness, with localization skills improving over time. Bilateral implantation and early intervention may further enhance outcomes, warranting continued research. Full article
(This article belongs to the Section Hearing)
Show Figures

Figure 1

9 pages, 633 KB  
Article
A Concept for MRI-Based Cholesteatoma Detection in Cochlear Implant Recipients
by Lukas Woltersdorf, Rayoung Kim, Alexander Rempen, Christoph Pfeiffer, Lars-Uwe Scholtz, Christiane Schimmack, Daniela Eickenjäger, Rüdiger Steinbach and Ingo Todt
Audiol. Res. 2025, 15(6), 162; https://doi.org/10.3390/audiolres15060162 - 21 Nov 2025
Viewed by 479
Abstract
Introduction: Cochlear implantation is the treatment of choice for severe hearing loss and deafness. Cholesteatomas can cause this deafness. A frequently used procedure in the course of surgical rehabilitation is a subtotal petrosectomy combined with a cochlear implant. The clinical follow-up of residual [...] Read more.
Introduction: Cochlear implantation is the treatment of choice for severe hearing loss and deafness. Cholesteatomas can cause this deafness. A frequently used procedure in the course of surgical rehabilitation is a subtotal petrosectomy combined with a cochlear implant. The clinical follow-up of residual cholesteatomas is related to the blind sac closure difficult. Cholesteatoma MRI sequence-related CI magnet artefacts make follow-up challenging. Recent developments in combining cochlear implants and necessary MRI examinations enable the assessment of the internal auditory canal and cochlea. The study aimed to develop a procedure for detecting cholesteatomas in patients with cochlear implants using magnetic resonance imaging (MRI). Methods: Ex vivo MRI examinations were performed on five volunteers with fixed cochlear implants (Medel Synchrony) and swim caps. MRI examinations were performed at 1.5 T and 3 T using EPI, HASTE, and RESOLVE sequences (Siemens). The position of the implant was 12 cm distal to the external auditory canal, with anteversional head position of the volunteers in the MRI. Results: Due to artefact effects, assessment of the ipsilateral and contralateral mastoid is not possible with EPI sequences and a cochlear implant. The combination of cholesteatoma-detecting MARS sequences (HASTE, RESOLVE), a distal implant position, and a specific head position allows the assessment of the ipsilateral mastoid. Conclusions: Postoperative cholesteatoma assessment after CI implantation and subtotal petrosectomy appears to be possible under 1.5 T and 3 T, considering the MRI sequence, implant position, and head position. Full article
(This article belongs to the Section Hearing)
Show Figures

Figure 1

14 pages, 1377 KB  
Article
Machine Learning Versus Simple Clinical Models for Cochlear Implant Outcome Prediction
by Rieke Ollermann, Nils Strodthoff, Andreas Radeloff and Robert Böscke
Audiol. Res. 2025, 15(6), 161; https://doi.org/10.3390/audiolres15060161 - 21 Nov 2025
Viewed by 590
Abstract
Background/Objectives: Cochlear implantation is the most widely used treatment option for patients with severe to profound hearing loss. Despite being a relatively standardized surgical procedure, cochlear implant (CI) outcomes vary considerably among patients. Several studies have attempted to develop predictive models for CI [...] Read more.
Background/Objectives: Cochlear implantation is the most widely used treatment option for patients with severe to profound hearing loss. Despite being a relatively standardized surgical procedure, cochlear implant (CI) outcomes vary considerably among patients. Several studies have attempted to develop predictive models for CI outcomes but achieving accurate and generalizable predictions remains challenging. The present study aimed to evaluate whether simple and complex statistical and machine learning models could outperform the Null model based on various pre-CI implantation variables. Methods: We conducted a retrospective analysis of 236 ears with postlingual profound sensorineural hearing loss (SNHL) and measurable residual hearing (WRSmax > 0%) at the time of implantation. The median postoperative word recognition score with CI (WRS65(CI)) was 75% [Q1: 55%, Q3: 80%]. The dataset was divided using a 70:15:15 split into training (n = 165), validation (n = 35) and test (n = 36) cohorts. We evaluated multiple modeling approaches: different Generalized Linear Model (GLM) approaches, Elastic Net, XGBoost, Random Forest, ensemble methods, and a Null model baseline. Results: All models demonstrated similar predictive performance, with root mean squared errors ranging from 26.28 percentage points (pp) to 30.74 and mean absolute errors ranging from 20.62 pp to 23.75 pp. Coefficients of determination (R2) ranged from −0.468 to −0.073. Bland–Altman analyses revealed wide limits of agreement and consistent negative bias, while Passing–Bablok regression indicated calibration errors. Nonetheless, all models incorporating predictors significantly outperformed the Null model. Conclusions: Increasing model complexity yielded only marginal improvements in predictive accuracy compared with simpler statistical models. Pre-implantation clinical variables showed limited evidence of predictive validity for CI outcomes, although further research is needed. Full article
(This article belongs to the Section Hearing)
Show Figures

Figure 1

13 pages, 3138 KB  
Article
Reuniting and Endolymphatic Duct Macrophages: Localization and Possible Roles
by Elisa Vivado, Daniele Cossellu and Paola Perin
Audiol. Res. 2025, 15(6), 160; https://doi.org/10.3390/audiolres15060160 - 20 Nov 2025
Viewed by 431
Abstract
Background: The inner ear hosts several macrophage populations. Endolymphatic sac macrophages can phagocytose otoconia, and spiral limbus macrophages express genes for fluid shear stress sensing and bone remodeling. Obstruction of endolymph flow by saccular otoconia could be linked to endolymphatic hydrops. Since [...] Read more.
Background: The inner ear hosts several macrophage populations. Endolymphatic sac macrophages can phagocytose otoconia, and spiral limbus macrophages express genes for fluid shear stress sensing and bone remodeling. Obstruction of endolymph flow by saccular otoconia could be linked to endolymphatic hydrops. Since macrophages are strongly affected by inflammatory status, a role for them in otolith removal could provide a link between inflammation and hydrops. However, the distribution of macrophages around the reuniting duct (RD) and endolymphatic duct (ED), which are narrow structures likely prone to blockage, remains unexplored. Methods: We performed tissue clearing and light-sheet imaging on rat temporal bones. Autofluorescence and immunolabeling for collagen IV, smooth muscle actin, and Iba1 were used to visualize inner ear structures, blood vessels, and macrophages. Results: The connective tissue layer underlying the RD extended from the cochlear spiral limbus. The RD and spiral limbus hosted a continuous microvascular network and macrophage population, comprising both ameboid and ramified cells; macrophages also surrounded the underlying vestibulocochlear artery (VCA). A separate macrophage population, continuous with that of the saccular connective tissue, was found around the endolymphatic sinus and utriculo–endolymphatic (Bast’s) valve; macrophage patterns changed in the vestibular aqueduct and endolymphatic sac. Conclusions: Macrophages are observed in positions consistent with potential roles in sensing luminal changes and in the clearance of obstructive material from the RD and ED; functional confirmation will require targeted experiments. Full article
Show Figures

Figure 1

14 pages, 394 KB  
Review
Trigeminal Nerve and Vestibular System: Update on Pathophysiological and Clinical Links
by Mario Faralli, Giuseppe Santopietro, Francesco Frati and Luigi Califano
Audiol. Res. 2025, 15(6), 159; https://doi.org/10.3390/audiolres15060159 - 19 Nov 2025
Viewed by 1123
Abstract
The points of contact between the vestibular system and the trigeminal nerve remain an active area of research. Anatomically, several connections have been clearly identified, and these may play a role in the development of various disorders. Understanding these connections also proves to [...] Read more.
The points of contact between the vestibular system and the trigeminal nerve remain an active area of research. Anatomically, several connections have been clearly identified, and these may play a role in the development of various disorders. Understanding these connections also proves to be extremely valuable from a clinical perspective. It is increasingly evident that the etiopathogenesis of various vestibular disorders is multifactorial. Therefore, knowledge of the points of interaction between the two systems can assist clinicians in patient assessment and, most importantly, in selecting the most appropriate therapeutic approach. This study is presented as a narrative review. A literature search was conducted to identify studies investigating the correlation between the trigeminal system and the vestibular system, as well as their respective characteristics, to provide a comprehensive overview. Since this is a narrative rather than a systematic review, no specific inclusion or exclusion criteria were applied. So, the aim of this study is to analyze these connections through a comprehensive review of the literature, trying to present a multidisciplinary approach to the topic, one that can involve both the neurologist and the otologist, in order to achieve a more refined management of clinical cases. To better understand their anatomical relationships, we begin by examining the embryological development of both the vestibular system and the trigeminal nerve. Finally, we present current knowledge on the trigeminal influence in certain vestibular disorders—particularly vestibular migraine—and, conversely, the vestibular system’s potential impact on trigeminal-related conditions. Full article
Show Figures

Figure 1

14 pages, 1737 KB  
Article
Classification of Speech and Associated EEG Responses from Normal-Hearing and Cochlear Implant Talkers Using Support Vector Machines
by Shruthi Raghavendra, Sungmin Lee and Chin-Tuan Tan
Audiol. Res. 2025, 15(6), 158; https://doi.org/10.3390/audiolres15060158 - 18 Nov 2025
Viewed by 539
Abstract
Background/Objectives: Speech produced by individuals with hearing loss differs notably from that of normal-hearing (NH) individuals. Although cochlear implants (CIs) provide sufficient auditory input to support speech acquisition and control, there remains considerable variability in speech intelligibility among CI users. As a [...] Read more.
Background/Objectives: Speech produced by individuals with hearing loss differs notably from that of normal-hearing (NH) individuals. Although cochlear implants (CIs) provide sufficient auditory input to support speech acquisition and control, there remains considerable variability in speech intelligibility among CI users. As a result, speech produced by CI talkers often exhibits distinct acoustic characteristics compared to that of NH individuals. Methods: Speech data were obtained from eight cochlear-implant (CI) and eight normal-hearing (NH) talkers, while electroencephalogram (EEG) responses were recorded from 11 NH listeners exposed to the same speech stimuli. Support Vector Machine (SVM) classifiers employing 3-fold cross-validation were evaluated using classification accuracy as the performance metric. This study evaluated the efficacy of Support Vector Machine (SVM) algorithms using four kernel functions (Linear, Polynomial, Gaussian, and Radial Basis Function) to classify speech produced by NH and CI talkers. Six acoustic features—Log Energy, Zero-Crossing Rate (ZCR), Pitch, Linear Predictive Coefficients (LPC), Mel-Frequency Cepstral Coefficients (MFCCs), and Perceptual Linear Predictive Cepstral Coefficients (PLP-CC)—were extracted. These same features were also extracted from electroencephalogram (EEG) recordings of NH listeners who were exposed to the speech stimuli. The EEG analysis leveraged the assumption of quasi-stationarity over short time windows. Results: Classification of speech signals using SVMs yielded the highest accuracies of 100% and 94% for the Energy and MFCC features, respectively, using Gaussian and RBF kernels. EEG responses to speech achieved classification accuracies exceeding 70% for ZCR and Pitch features using the same kernels. Other features such as LPC and PLP-CC yielded moderate to low classification performance. Conclusions: The results indicate that both speech-derived and EEG-derived features can effectively differentiate between CI and NH talkers. Among the tested kernels, Gaussian and RBF provided superior performance, particularly when using Energy and MFCC features. These findings support the application of SVMs for multimodal classification in hearing research, with potential applications in improving CI speech processing and auditory rehabilitation. Full article
(This article belongs to the Section Hearing)
Show Figures

Figure 1

17 pages, 943 KB  
Review
What’s in an App? Scoping Review and Quality Assessment of Clinically Available Hearing-Aid-Connected Apps
by Kate Pfingstgraef, Robin O’Hagan, Jana N. Bataineh and Danielle Glista
Audiol. Res. 2025, 15(6), 157; https://doi.org/10.3390/audiolres15060157 - 13 Nov 2025
Viewed by 693
Abstract
Background/Objectives: Mobile health (mHealth) tools, such as smartphone apps, support person-centred care for persons with hearing loss engaging in the hearing aid management process. Hearing-aid-connected apps are increasingly common in audiological care, making it important to evaluate their availability and quality for clinicians, [...] Read more.
Background/Objectives: Mobile health (mHealth) tools, such as smartphone apps, support person-centred care for persons with hearing loss engaging in the hearing aid management process. Hearing-aid-connected apps are increasingly common in audiological care, making it important to evaluate their availability and quality for clinicians, developers, and end-users. This scoping review aimed to identify, summarize, and synthesize information on clinically available hearing-aid-connected apps and evaluate their quality. Methods: A search of the Apple App Store (Canada) was conducted in August 2024 to identify current hearing-aid-connected apps that support hearing aid management. Metadata and features were extracted, and app quality was assessed using the Mobile Application Rating Scale (MARS). Quality was assessed across four objective domains (engagement, functionality, aesthetics, and information) and one subjective domain. Results: Apps had varying levels of metadata detail, including updates, compatibility, and target populations. All apps included common hearing aid controls (e.g., volume adjustment, microphone directionality), while more specialized features (tinnitus management, health tracking, remote clinician support) varied. High-performing apps scored significantly higher in engagement, functionality, aesthetics, and subjective quality, and all apps scored low in information quality, particularly for evidence and credibility. Conclusions: Findings highlight the need for transparent and informative metadata reporting and patient-centred design to improve clinical awareness, usability, and uptake of hearing-aid-connected apps. Full article
Show Figures

Figure 1

23 pages, 502 KB  
Review
Brainstem Stroke and Dysphagia Treatment: A Narrative Review on the Role of Neuromodulation, Skill-Based Swallowing Training and Transient Receptor Potential Agonists
by Ivy Cheng, Wan-Qi Li, Shaheen Hamdy, Emilia Michou, Maggie-Lee Huckabee, Noemí Tomsen, Pere Clavé and Rainer Dziewas
Audiol. Res. 2025, 15(6), 156; https://doi.org/10.3390/audiolres15060156 - 12 Nov 2025
Viewed by 2793
Abstract
Swallowing is mediated by the central nervous system, including cortical and subcortical structures, the cerebellum, and the brainstem. The brainstem contains the swallowing centre that is crucial for initiating and coordinating swallowing. Consequently, brainstem damage due to stroke often leads to severe and [...] Read more.
Swallowing is mediated by the central nervous system, including cortical and subcortical structures, the cerebellum, and the brainstem. The brainstem contains the swallowing centre that is crucial for initiating and coordinating swallowing. Consequently, brainstem damage due to stroke often leads to severe and persistent dysphagia. The aim of the present narrative review is to provide an overview of dysphagia following brainstem stroke and its management. It summarizes the physiology and pathophysiology of dysphagia following brainstem stroke and the available therapeutic options, and evaluate their effectiveness for dysphagia following brainstem stroke, which would promote the development of therapeutic protocols. Neuromodulatory techniques, including pharyngeal electrical stimulation (PES), repetitive transcranial magnetic stimulation (rTMS), and transcranial direct current stimulation (tDCS), modulate the excitability of corticobulbar circuits. These techniques promote neuroplasticity through peripheral or cortical electrical or electromagnetic inputs. Skill-based swallowing training emphasizes cortical involvement in enhancing swallowing skill, offering a targeted approach to behavioural rehabilitation. Finally, transient receptor potential (TRP) agonists increase sensory inputs to the swallowing system by stimulating the sensory receptors in the oropharynx, potentially activating the swallowing network. While these options have shown promise in dysphagia rehabilitation following stroke, most the available data comes from patients with mixed stroke lesions, with limited data focused specifically on brainstem lesions. Therefore, the evidence for their efficacy in patients with brainstem stroke remains underexplored. Therefore, treatment decisions should rely on the understanding of swallowing physiology, neuroplasticity, and clinical evidence from related stroke populations. Full article
Show Figures

Figure 1

12 pages, 1113 KB  
Review
Management of Facial Paralysis Following Skull Base Surgery: A Comprehensive Narrative Review
by Laura Maria De Luca, Sergio Cannova, Sebastiana Lai, Marco Accolla, Alice Barbazza, Lea Calò, Davide Rizzo, Pierangela Tramaloni, Marco Bonali, Ignacio Javier Fernandez and Francesco Bussu
Audiol. Res. 2025, 15(6), 155; https://doi.org/10.3390/audiolres15060155 - 12 Nov 2025
Viewed by 974
Abstract
Objectives: Facial paralysis is a devastating yet frequent complication of skull base surgery, significantly impacting quality of life through functional impairments and psychosocial consequences. Management is complex and requires an individualized approach based on duration of paralysis, etiology and extent of nerve injury, [...] Read more.
Objectives: Facial paralysis is a devastating yet frequent complication of skull base surgery, significantly impacting quality of life through functional impairments and psychosocial consequences. Management is complex and requires an individualized approach based on duration of paralysis, etiology and extent of nerve injury, overall prognosis, and rehabilitative goals. This review provides a comprehensive overview of current strategies for managing post-skull base surgery facial paralysis. Methods: A narrative review of the literature was performed, analyzing surgical reanimation techniques (nerve grafting, nerve transfers, regional and free muscle transfers), static procedures for facial symmetry and ocular protection, and non-surgical interventions such as physical therapy, botulinum toxin injections, and psychological support. Key criteria guiding treatment selection, including muscle viability and timing since injury, were examined. Results: Dynamic surgical approaches remain central to restoring movement. Nerve grafting and transfers are effective when viable musculature is present, whereas regional or free muscle transfers are required in long-standing paralysis with irreversible atrophy. Static procedures provide adjunctive improvements in resting symmetry and eye protection. Non-surgical strategies, including rehabilitation therapy and botulinum toxin, enhance functional outcomes and reduce synkinesis. Psychological counseling addresses the profound emotional burden associated with facial disfigurement. Across modalities, individualized treatment planning is crucial. Conclusions: Management of facial paralysis after skull base surgery demands a multidisciplinary, patient-centered approach. Combining surgical and non-surgical interventions optimizes functional and aesthetic outcomes, helping restore both facial movement and psychosocial well-being. Full article
Show Figures

Figure 1

8 pages, 513 KB  
Article
Mechanisms of VOR Suppression in Brainstem Pathology: Insights from the Absence of Anti-Compensatory Saccades Despite Normal VOR Gain
by Marco Tramontano, Laura Casagrande Conti, Nicola Ferri and Leonardo Manzari
Audiol. Res. 2025, 15(6), 154; https://doi.org/10.3390/audiolres15060154 - 12 Nov 2025
Viewed by 500
Abstract
Background/Objective: The Suppression Head Impulse Paradigm (SHIMP) is a specialized variant of the Head Impulse Test (HIT), designed to evaluate the suppression of the angular Vestibulo-Ocular Reflex (aVOR) by central mechanisms. These mechanisms are primarily mediated by brainstem structures, including the vestibular [...] Read more.
Background/Objective: The Suppression Head Impulse Paradigm (SHIMP) is a specialized variant of the Head Impulse Test (HIT), designed to evaluate the suppression of the angular Vestibulo-Ocular Reflex (aVOR) by central mechanisms. These mechanisms are primarily mediated by brainstem structures, including the vestibular nuclei, their projections to ocular motor nuclei, and modulatory inputs from the cerebellum. Damage to these areas can impair the generation of anti-compensatory saccades (ACs), even when the peripheral vestibular apparatus remains intact. The present study explores this phenomenon in a cohort of patients with neurological disorders known to potentially involve the brainstem, including multiple sclerosis, severe traumatic brain injury, stroke, and Parkinson’s disease. Methods: This cross-sectional study included 119 patients with multiple sclerosis (PwMS), severe traumatic brain injury (PwTBI), stroke (PwS), and Parkinson’s disease (PwPD). The video Head Impulse Test was performed to assess the aVOR gain across all semicircular canals using both the HIMP and SHIMP. The presence, absence, or delay of ACs was systematically recorded. Results: Among the 119 patients evaluated (238 semicircular canals), 24 (20%) demonstrated normal aVOR gain but failed to generate ACs during SHIMP. The absence of ACs was observed in seven PwMS, five with PwTBI, six with PwS, and six with PwPD. Conclusions: The absence of ACs despite normal aVOR gain suggests a potential impairment in the central pathways controlling saccadic responses, independently of peripheral vestibular function. These findings underscore the clinical relevance of integrating the SHIMP into vestibular assessments to improve the identification of central vestibular dysfunction in neurological disorders. Full article
Show Figures

Figure 1

15 pages, 732 KB  
Review
Pathophysiology and Etiology of Brainstem-Related Dysphagia
by Lucia D’Alatri, Maria Raffaella Marchese, Angelo Tizio and Jacopo Galli
Audiol. Res. 2025, 15(6), 153; https://doi.org/10.3390/audiolres15060153 - 11 Nov 2025
Viewed by 1483
Abstract
Background: Brainstem-related dysphagia represents a complex and severe form of neurogenic dysphagia (ND) arising from lesions that disrupt the central pattern generator (CPG) for swallowing located in the medulla oblongata. Methods: This paper explores the physiological basis of swallowing and its disruption in [...] Read more.
Background: Brainstem-related dysphagia represents a complex and severe form of neurogenic dysphagia (ND) arising from lesions that disrupt the central pattern generator (CPG) for swallowing located in the medulla oblongata. Methods: This paper explores the physiological basis of swallowing and its disruption in various brainstem pathologies. Results: The clinical presentation and electrophysiological evaluation of dysphagia are discussed, with a focus on volitional and spontaneous swallowing (SS) and the use of electromyography (EMG)-based assessment techniques. Conclusions: Finally, therapeutic strategies are reviewed, including conventional rehabilitative methods, neuromuscular electrical stimulation, non-invasive brain stimulation, and invasive procedures such as neurobotulinum toxin-A (BoNT-A) injections, balloon dilation, and CP myotomy. Full article
Show Figures

Figure 1

15 pages, 1057 KB  
Article
Acoustic Vowel Metrics as Correlates of Dysphagia and Dysarthria in Brainstem Neurodegenerative Diseases
by Silvia Capobianco, Luca Bastiani, Francesca Forli, Bruno Fattori, Francesco Stomeo, Maria Russo, Maria Rosaria Barillari and Andrea Nacci
Audiol. Res. 2025, 15(6), 152; https://doi.org/10.3390/audiolres15060152 - 8 Nov 2025
Viewed by 758
Abstract
Background/Objectives: Swallowing and speech rely on shared brainstem circuits coordinating oropharyngeal motor functions. In neurodegenerative diseases affecting the brainstem—such as progressive supranuclear palsy (PSP), amyotrophic lateral sclerosis (ALS), and multiple system atrophy (MSA)—bulbar dysfunction often impairs tongue propulsion and motility, affecting both swallowing [...] Read more.
Background/Objectives: Swallowing and speech rely on shared brainstem circuits coordinating oropharyngeal motor functions. In neurodegenerative diseases affecting the brainstem—such as progressive supranuclear palsy (PSP), amyotrophic lateral sclerosis (ALS), and multiple system atrophy (MSA)—bulbar dysfunction often impairs tongue propulsion and motility, affecting both swallowing (dysphagia) and phonation (dysarthria). This study aimed to investigate whether vowel-based acoustic features are associated with swallowing severity in brainstem-related disorders and to explore their potential as surrogate markers of bulbar involvement. Methods: This was a cross-sectional observational study. Thirty-one patients (13 PSP, 12 ALS, 6 MSA) underwent clinical dysarthria assessment, acoustic analysis of the first (F1) and second (F2) formants during sustained phonation of /a/, /i/, /e/, and /u/, and swallowing evaluation using standardized clinical scales (DOSS, FOIS, ASHA-NOMS) and fiberoptic endoscopic evaluation (Pooling Score, Penetration-Aspiration Scale). The vowel space area (tVSA, qVSA) and Formant Centralization Ratio (FCR) were computed. Results: Significant correlations emerged between acoustic vowel metrics and dysphagia severity, especially for liquids. The FCR showed strong correlations with DOSS (ρ = −0.660, p < 0.0001), FOIS (ρ = −0.531, p = 0.002), ASHA-NOMS (ρ = −0.604, p < 0.0001), and instrumental scores for liquids: the Pooling Score (ρ = 0.538, p = 0.002) and PAS (ρ = 0.630, p < 0.0001). VSA measures were also associated significantly with liquid swallowing impairment. F2u correlated with dysarthria severity and all liquid-related dysphagia scores. Conclusions: Vowel-based acoustic parameters, particularly FCR and F2u, reflect the shared neuromotor substrate of articulation and swallowing. Acoustic analysis may support early detection and monitoring of bulbar dysfunction, especially where instrumental assessments are limited. Full article
Show Figures

Figure 1

15 pages, 603 KB  
Article
Music Sound Quality Assessment in Bimodal Cochlear Implant Users—Toward Improved Hearing Aid Fitting
by Khaled H. A. Abdellatif, Horst Hessel, Moritz Wächtler, Verena Müller, Martin Walger and Hartmut Meister
Audiol. Res. 2025, 15(6), 151; https://doi.org/10.3390/audiolres15060151 - 6 Nov 2025
Viewed by 794
Abstract
Background/Objectives: Cochlear implants (CIs) are a common treatment of severe-to-profound hearing loss and provide reasonable speech understanding, at least in quiet situations. However, their limited spectro-temporal resolution restricts sound quality, which is especially crucial for music appraisal. Many CI recipients wear a [...] Read more.
Background/Objectives: Cochlear implants (CIs) are a common treatment of severe-to-profound hearing loss and provide reasonable speech understanding, at least in quiet situations. However, their limited spectro-temporal resolution restricts sound quality, which is especially crucial for music appraisal. Many CI recipients wear a hearing aid (HA) on the non-implanted ear (bimodal users), which may enhance music perception by adding acoustic fine structure cues. Since it is unclear how the HA should be fitted in conjunction with the CI to achieve optimal benefit, this study aimed to systematically vary HA fitting parameters and assess their impact on music sound quality in bimodal users. Methods: Thirteen bimodal CI recipients participated in a listening experiment using a master hearing aid that allowed controlled manipulation of HA settings. Participants evaluated three music excerpts (pop with vocals, pop without vocals, classical) using the multiple-stimulus with hidden reference and anchor (MUSHRA) test. To assess the reliability of individual judgments, each participant repeated the test, and responses were analyzed with the eGauge method. Results: Most participants provided reliable and consistent sound quality ratings. Compared to a standard DSL v5.0 prescriptive fitting, modifications in compression settings and low-frequency gain significantly influenced perceived music quality. The effect of low-frequency gain adjustments was especially pronounced for pop music with vocals, indicating stimulus-dependent benefits. Conclusions: The study demonstrates that HA fitting for bimodal CI users can be optimized beyond standard prescriptive rules to enhance music sound quality by increasing low-frequency gain, particularly for vocal-rich pieces. Additionally, the testing method shows promise for clinical application, enabling individualized HA adjustments based on patient-specific listening preferences, hence fostering personalized audiology care. Full article
Show Figures

Figure 1

20 pages, 1714 KB  
Review
Oculomotor Abnormalities and Nystagmus in Brainstem Disease: A Mini Review
by Augusto Pietro Casani, Mauro Gufoni, Nicola Ducci, Giacinto Asprella Libonati and Giuseppe Chiarella
Audiol. Res. 2025, 15(6), 150; https://doi.org/10.3390/audiolres15060150 - 6 Nov 2025
Viewed by 2372
Abstract
The brainstem plays a pivotal role in the generation and control of eye movements—including saccades, smooth pursuit, the vestibulo-ocular reflex (VOR), vergence, and gaze holding. Beyond its vital physiological functions, it is also essential for the coordination of balance and movement. Consequently, eye [...] Read more.
The brainstem plays a pivotal role in the generation and control of eye movements—including saccades, smooth pursuit, the vestibulo-ocular reflex (VOR), vergence, and gaze holding. Beyond its vital physiological functions, it is also essential for the coordination of balance and movement. Consequently, eye movement disorders of brainstem origin are often accompanied by vertigo, imbalance, unsteady gait, and diplopia, particularly during changes in head or body position. A sound understanding of the neural structures involved in oculomotor and vestibular control is therefore crucial for accurately identifying and localizing a wide variety of brainstem syndromes. However, oculomotor abnormalities resulting from brainstem disease represent a major diagnostic challenge for the neurotologist, owing to the wide spectrum of possible etiologies (vascular, traumatic, degenerative, neoplastic), their variable severity and clinical course (acute, fluctuating, or progressive), and the frequent concomitant involvement of other central structures, particularly the cerebellum. This mini review summarizes the pathophysiological mechanisms and clinical features of oculomotor disorders and nystagmus associated with brainstem disease. Full article
Show Figures

Figure 1

20 pages, 972 KB  
Systematic Review
An Insight into Role of Auditory Brainstem in Tinnitus: A Systematic Review of Diagnostic Assessments
by Giovanni Freda, Andrea Ciorba, Nicola Serra, Rita Malesci, Francesco Stomeo, Chiara Bianchini, Stefano Pelucchi, Pasqualina Maria Picciotti, Luigi Maiolino, Giacinto Asprella Libonati and Anna Rita Fetoni
Audiol. Res. 2025, 15(6), 149; https://doi.org/10.3390/audiolres15060149 - 6 Nov 2025
Viewed by 1388
Abstract
Background/Objectives: Tinnitus is a complex auditory phenomenon with multifactorial origins, often involving both peripheral and central auditory pathways. Given the multifactorial nature of tinnitus, this review specifically focuses on the auditory brainstem as it represents the first central relay for auditory input [...] Read more.
Background/Objectives: Tinnitus is a complex auditory phenomenon with multifactorial origins, often involving both peripheral and central auditory pathways. Given the multifactorial nature of tinnitus, this review specifically focuses on the auditory brainstem as it represents the first central relay for auditory input and a key site of abnormal synchrony and central gain, which may generate or modulate tinnitus even when peripheral hearing appears normal. Several studies suggest a potential role of brainstem dysfunction in its pathogenesis, even among patients with normal hearing thresholds. Although the physiopathological data provide evidence for the role of brainstem in the generation and magnification of tinnitus, the diagnostic tools are still unclear. This systematic review aimed to investigate the diagnostic relevance of brainstem-level abnormalities in individuals with tinnitus. Methods: Following PRISMA guidelines, a literature search was conducted using PubMed, Scopus, and Web of Science from January 2000 to June 2025. Studies were included if they addressed the diagnostic relationship between tinnitus and brainstem involvement. Data on auditory brainstem response (ABR), otoacoustic emissions (used to differentiate peripheral from central auditory abnormalities), neuroimaging, and electrophysiological markers were extracted. Results: Twenty studies were included. Most used ABR as a diagnostic tool, revealing significant amplitude and latency alterations in tinnitus patients compared to controls, particularly in wave V and V/I amplitude ratios. Imaging studies supported altered brainstem–cortical connectivity and localized changes in inferior colliculus (IC) activity. Additional techniques, such as middle-latency evoked potentials and gap-in-noise detection, showed potential but lacked consistent clinical utility. Conclusions: Evidence suggests that brainstem dysfunction may contribute to tinnitus generation or persistence. ABR and advanced imaging represent specific diagnostic tools, though standardization and high-quality studies are still needed to improve clinical applicability. Full article
Show Figures

Figure 1

10 pages, 353 KB  
Review
The Presence of Serotonin in the Vestibular System: Supporting the Use of SSRIs/SNRIs in the Treatment of Vestibular Disorders—A Narrative Review
by Roberto Teggi, Daniela Caldirola, Giampiero Neri, Iacopo Cangiano, Pasquale Viola and Giuseppe Chiarella
Audiol. Res. 2025, 15(6), 148; https://doi.org/10.3390/audiolres15060148 - 6 Nov 2025
Viewed by 2059
Abstract
Background: Serotonin (5-HT) is a neurotransmitter and a hormone that regulates various functions. Serotonin receptors have been studied in animal experiments in the vestibular system, beginning from the inner ear and vestibular nuclei. However, the role of serotonin in the vestibular system and [...] Read more.
Background: Serotonin (5-HT) is a neurotransmitter and a hormone that regulates various functions. Serotonin receptors have been studied in animal experiments in the vestibular system, beginning from the inner ear and vestibular nuclei. However, the role of serotonin in the vestibular system and disorders remains to be clarified. Methods: A review of the literature was performed on different databases according to the PRISMA guidelines. Only publications published on humans and in English have been included. A total of 41 articles were included in this review. Results: There are many publications regarding the use of SSRI/SNRI in vestibular disorders. Regarding persistent postural perceptual dizziness (PPPD) and chronic subjective dizziness (CSD) the available evidence supports multimodality treatment incorporating vestibular rehabilitation, serotonergic medications, and cognitive behavior therapy, although most studies have not included a placebo control group. As for vestibular migraine (VM), SNRI and SSRIs were proposed as preventive therapy and demonstrated a reduction in vertigo attacks in patients with Menière’s Disease (MD), especially when symptoms of anxiety disorder were present. Conclusions: Although SSRIs/SNRIs are considered an off-label therapy for vertigo, several studies have assessed their efficacy in vestibular disorders, as indicated in the data published on PPPD, MD, and VM above all. As some studies report that serotonin receptors are also present in the inner ear and vestibular nuclei, it can be postulated that in cases where the natural levels of serotonin are altered, such as in depression and anxiety, the change in serotonin levels may affect vestibular function and play a role in vestibular disorders. Full article
Show Figures

Figure 1

3 pages, 149 KB  
Reply
Comorbid Anxiety and Depression in Hyperacusis and Misophonia. Reply to Jastreboff, P.J. Comment on “Rodrigues, A.L.M.; Aazh, H. Psychiatric Comorbidities in Hyperacusis and Misophonia: A Systematic Review. Audiol. Res. 2025, 15, 101”
by Hashir Aazh and Ana Luísa Moura Rodrigues
Audiol. Res. 2025, 15(6), 147; https://doi.org/10.3390/audiolres15060147 - 31 Oct 2025
Viewed by 666
Abstract
This systematic review found that depression was reported in 8–80% of patients with hyperacusis and 1 [...] Full article
(This article belongs to the Section Hearing)
Previous Issue
Next Issue
Back to TopTop