Snap Back Versus Traditional Aspiration in Bone Marrow Harvesting: Quality Assessment and Clinical Outcomes
Abstract
1. Introduction
2. Materials and Methods
2.1. Study Design and Data Source
- A total of 21 patients underwent tibial BMA using the traditional aspiration technique (TT group);
- A total of 9 patients underwent tibial BMA using the Snap Back technique (ST group);
- A total of 15 patients underwent iliac crest BMA using the traditional aspiration technique (TC group);
- A total of 15 patients underwent iliac crest BMA using the Snap Back technique (SC group).
2.2. Study Outcomes and Comparisons
2.3. Clinical Outcome Assessment
2.4. Inclusion and Exclusion Criteria
2.5. Bone Marrow Aspiration Technique
2.6. Traditional Aspiration Technique
2.7. Snap Back Aspiration Technique
2.8. Flow Cytometric Analysis
2.9. Statistical Analysis
3. Results
3.1. Study Population
3.2. Iliac Crest: Comparison Between Traditional and Snap Back Aspiration
3.3. Tibia: Comparison Between Traditional and Snap Back Aspiration
3.4. Traditional Aspiration: Comparison Between Iliac Crest and Tibia
3.5. Snap-Back Aspiration: Comparison Between Iliac Crest and Tibia
3.6. Adjusted Analyses of 6-Month Clinical Outcomes
4. Discussion
5. Conclusions
Author Contributions
Funding
Institutional Review Board Statement
Informed Consent Statement
Data Availability Statement
Acknowledgments
Conflicts of Interest
Abbreviations
| AAOS | American Academy of Orthopaedic Surgeons |
| BMA | bone marrow aspirate |
| BMAC | bone marrow aspirate concentrate |
| BMI | body mass index |
| BM | bone marrow |
| %BM | bone marrow fraction |
| HCT | hematocrit |
| HKA | hip–knee–ankle angle |
| IA | intra-articular |
| IQR | interquartile range |
| IRB | Institutional Review Board |
| KL | Kellgren–Lawrence |
| MNCs | mononuclear cells |
| MSCs | mesenchymal stromal cells |
| OA | osteoarthritis |
| PLT | platelets |
| PRP | platelet-rich plasma |
| ROM | range of motion |
| TKA | total knee arthroplasty |
| UKA | unicompartmental knee arthroplasty |
| VAS | Visual Analog Scale |
| WOMAC | Western Ontario and McMaster Universities Osteoarthritis Index |
References
- Kan, H.; Chan, P.; Chiu, K.; Yan, C.; Yeung, S.; Ng, Y.; Shiu, K.; Ho, T. Non-surgical treatment of knee osteoarthritis. Hong Kong Med. J. 2019, 25, 127–133. [Google Scholar] [CrossRef] [PubMed]
- Cross, M.; Smith, E.; Hoy, D.; Nolte, S.; Ackerman, I.; Fransen, M.; Bridgett, L.; Williams, S.; Guillemin, F.; Hill, C.L.; et al. The global burden of hip and knee osteoarthritis: Estimates from the Global Burden of Disease 2010 study. Ann. Rheum. Dis. 2014, 73, 1323–1330. [Google Scholar] [CrossRef] [PubMed]
- Dainese, P.; Wyngaert, K.; De Mits, S.; Wittoek, R.; Van Ginckel, A.; Calders, P. Association between knee inflammation and knee pain in patients with knee osteoarthritis: A systematic review. Osteoarthr. Cartil. 2022, 30, 516–534. [Google Scholar] [CrossRef]
- Runge, N.; Aina, A.; May, S. The Benefits of Adding Manual Therapy to Exercise Therapy for Improving Pain and Function in Patients with Knee or Hip Osteoarthritis: A Systematic Review with Meta-analysis. J. Orthop. Sports Phys. Ther. 2022, 52, 675–684. [Google Scholar] [CrossRef]
- Wesseling, J.; Boers, M.; A Viergever, M.; Hilberdink, W.K.; Lafeber, F.P.; Dekker, J.; Bijlsma, J.W. Cohort profile: Cohort Hip and Cohort Knee (CHECK) study. Int. J. Epidemiol. 2016, 45, 36–44. [Google Scholar] [CrossRef]
- Eckstein, F.; Kwoh, C.K.; Link, T.M. Imaging research results from the Osteoarthritis Initiative (OAI): A review and lessons learned 10 years after start of enrolment. Ann. Rheum. Dis. 2014, 73, 1289–1300. [Google Scholar] [CrossRef]
- Roemer, F.W.; Collins, J.E.; Neogi, T.; Crema, M.D.; Guermazi, A. Association of knee OA structural phenotypes to risk for progression: A secondary analysis from the Foundation for National Institutes of Health Osteoarthritis Biomarkers study (FNIH). Osteoarthr. Cartil. 2020, 28, 1220–1228. [Google Scholar] [CrossRef] [PubMed]
- van Helvoort, E.M.; van Spil, W.E.; Jansen, M.P.; Welsing, P.M.J.; Kloppenburg, M.; Loef, M.; Blanco, F.J.; Haugen, I.K.; Berenbaum, F.; Bacardit, J.; et al. Cohort profile: The Applied Public-Private Research enabling OsteoArthritis Clinical Headway (IMI-APPROACH) study: A 2-year, European, cohort study to describe, validate and predict phenotypes of osteoarthritis using clinical, imaging and biochemical markers. BMJ Open 2020, 10, e035101. [Google Scholar]
- Roemer, F.W.; Zhang, Y.; Niu, J.; Lynch, J.A.; Crema, M.D.; Marra, M.D.; Nevitt, M.C.; Felson, D.T.; Hughes, L.B.; El-Khoury, G.Y.; et al. Tibiofemoral joint osteoarthritis: Risk factors for MR-depicted fast cartilage loss over a 30-month period in the multicenter osteoarthritis study. Radiology 2009, 252, 772–780. [Google Scholar] [CrossRef] [PubMed]
- Billesberger, L.M.; Fisher, K.M.; Qadri, Y.J.; Boortz-Marx, R.L. Procedural Treatments for Knee Osteoarthritis: A Review of Current Injectable Therapies. Pain Res. Manag. 2020, 2020, 3873098. [Google Scholar] [CrossRef]
- Waters, P.; Anderson, R.; Anderson, J.M.; Scott, J.; Detweiler, B.; Streck, S.; Hartwell, M.; Torgerson, T.; Vassar, M. Analysis of the Evidence Underpinning the American Academy of Orthopedic Surgeons Knee Osteoarthritis Clinical Practice Guidelines. Sports Health 2023, 15, 11–25. [Google Scholar] [CrossRef]
- Zhu, C.; Wu, W.; Qu, X. Mesenchymal Stem Cells in Osteoarthritis Therapy: A Review. Am. J. Transl. Res. 2021, 13, 448–461. [Google Scholar]
- Hernigou, P.H.; Poignard, A.; Beaujean, F.; Rouard, H. Percutaneous Autologous Bone-Marrow Grafting for Nonunions Influence of the Number and Concentration of Progenitor Cells. J. Bone Jt. Surg. 2005, 87, 1430–1437. [Google Scholar] [CrossRef]
- Shapiro, S.A.; Arthurs, J.R. Bone marrow aspiration for regenerative orthopedic intervention: Technique with ultrasound guidance for needle placement. Regen. Med. 2017, 12, 917–928. [Google Scholar] [CrossRef]
- Brozovich, A.; Sinicrope, B.J.; Bauza, G.; Niclot, F.B.; Lintner, D.; Taraballi, F.; McCulloch, P.C. High Variability of Mesenchymal Stem Cells Obtained via Bone Marrow Aspirate Concentrate Compared with Traditional Bone Marrow Aspiration Technique. Orthop. J. Sports Med. 2021, 9, 23259671211058459. [Google Scholar] [CrossRef]
- Mormone, E.; Savastano, L.; Rossi, G.; Maruccia, F.; Di Maggio, G.; Sinisi, N.P.; Sandri, M.; Copetti, M.; De Santis, E.; Guerra, V.; et al. Posterior iliac crest vs. proximal tibia: Distinct sources of anti-inflammatory and regenerative cells with comparable 6-month clinical outcomes in treatment of osteoarthritis. J. Transl. Med. 2024, 22, 1101. [Google Scholar] [CrossRef]
- Hernigou, P.; Homma, Y.; Lachaniette, C.H.F.; Poignard, A.; Allain, J.; Chevallier, N.; Rouard, H. Benefits of small volume and small syringe for bone marrow aspirations of mesenchymal stem cells. Int. Orthop. 2013, 37, 2279–2287. [Google Scholar] [CrossRef] [PubMed]
- Grønkjær, M.; Hasselgren, C.F.; Østergaard, A.S.L.; Johansen, P.; Korup, J.; Bøgsted, M.; Bilgrau, A.E.; Jensen, P. Bone Marrow Aspiration: A Randomized Controlled Trial Assessing the Quality of Bone Marrow Specimens Using Slow and Rapid Aspiration Techniques and Evaluating Pain Intensity. Acta Haematol. 2016, 135, 81–87. [Google Scholar] [CrossRef] [PubMed]
- Mormone, E.; Savastano, L.; Guerra, V.; Sandri, M.; Maruccia, F.; Rossi, G.; Di Maggio, G.; Sinisi, N.P.; Gorgoglione, F.L. A randomised controlled trial confirms the non-superiority of bone marrow aspirate (BMA) from the posterior iliac crest and proximal tibia compared to platelet rich plasma (PRP) in the treatment of knee osteoarthritis. J. Exp. Orthop. 2025, 12, e70442. [Google Scholar] [CrossRef] [PubMed] [PubMed Central]
- Knapik, D.M.; Evuarherhe, A.; Frank, R.M.; Steinwachs, M.; Rodeo, S.; Mumme, M.; Cole, B.J. Nonoperative and Operative Soft-Tissue and Cartilage Regeneration and Orthopaedic Biologics of the Knee: An Orthoregeneration Network (ON) Foundation Review. Arthrosc. J. Arthrosc. Relat. Surg. 2021, 37, 2704–2721. [Google Scholar] [CrossRef]
- Kon, E.; Di Matteo, B. Editorial Commentary: Minimally Invasive Strategies for Osteoarthritis: From Platelets to Mesenchymal Stem Cells. Arthrosc. J. Arthrosc. Relat. Surg. 2021, 37, 2258–2261. [Google Scholar] [CrossRef]
- Dulic, O.; Rasovic, P.; Lalic, I.; Kecojevic, V.; Gavrilovic, G.; Abazovic, D.; Maric, D.; Miskulin, M.; Bumbasirevic, M. Bone marrow aspirate concentrate versus platelet rich plasma or hyaluronic acid for the treatment of knee osteoarthritis. Medicina 2021, 57, 1193. [Google Scholar] [CrossRef] [PubMed]
- Oliver, K.; Awan, T.; Bayes, M. Single- versus multiple-site harvesting techniques for bone marrow concentrate: Evaluation of aspirate quality and pain. Orthop. J. Sports Med. 2017, 5, 2325967117724398. [Google Scholar] [CrossRef] [PubMed]
- Chahla, J.; Mannava, S.; Cinque, M.E.; Geeslin, A.G.; Codina, D.; LaPrade, R.F. Bone Marrow Aspirate Concentrate Harvesting and Processing Technique. Arthrosc. Tech. 2017, 6, e441–e445. [Google Scholar] [CrossRef] [PubMed]
- Oyadomari, S.; Ranawat, A.; Wang, D. Centrifuge-Free Bone Marrow Aspirate Harvest for Orthopaedic Applications. Arthrosc. Tech. 2025, 14, 103721. [Google Scholar] [CrossRef]
- Pabinger, C.; Dammerer, D.; Lothaller, H.; Kobinia, G.S. Reorientation technique has benefits in bone marrow aspiration of stem cells. Sci. Rep. 2022, 12, 11637. [Google Scholar] [CrossRef]
- Holdrinet, R.S.G. Flow Cytometric Studies of Human Hematopoietic Cells; Radboud University: Nijmegen, The Netherlands, 1981. [Google Scholar]
- Cavallo, C.; Boffa, A.; de Girolamo, L.; Merli, G.; Kon, E.; Cattini, L.; Santo, E.; Grigolo, B.; Filardo, G. Bone marrow aspirate concentrate quality is affected by age and harvest site. Knee Surg. Sports Traumatol. Arthrosc. 2023, 31, 2140–2151. [Google Scholar] [CrossRef]
- Che, X.; Kim, H.-J.; Jin, X.; Kim, J.-W.; Park, K.-H.; Lim, J.-O.; Kyung, H.-S.; Oh, C.-W.; Choi, J.-Y. Bone Marrow Stem Cell Population in Single- and Multiple-Level Aspiration. Biomedicines 2024, 12, 2731. [Google Scholar] [CrossRef]
- Epah, J.; Spohn, G.; Preiß, K.; Müller, M.M.; Dörr, J.; Bauer, R.; Daqiq-Mirdad, S.; Schwäble, J.; Bernas, S.N.; Schmidt, A.H.; et al. Small volume bone marrow aspirates with high progenitor cell concentrations maximize cell therapy dose manufacture and substantially reduce donor hemoglobin loss. BMC Med. 2023, 21, 360. [Google Scholar] [CrossRef]
- Jeyaraman, M.; Bingi, S.K.; Muthu, S.; Jeyaraman, N.; Packkyarathinam, R.P.; Ranjan, R.; Sharma, S.; Jha, S.K.; Khanna, M.; Rajendran, S.N.S.; et al. Impact of the Process Variables on the Yield of Mesenchymal Stromal Cells from Bone Marrow Aspirate Concentrate. Bioengineering 2022, 9, 57. [Google Scholar] [CrossRef]
- Nallakumarasamy, A.; Shrivastava, S.; Ravi, V.; Jeyaraman, N.; Devadas, A.G.; Ramasubramanian, S.; Jeyaraman, M.; Rangarajan, R.V. Optimizing bone marrow harvesting sites for enhanced mesenchymal stem cell yield and efficacy in knee osteoarthritis treatment. World J. Methodol. 2025, 15, 101458. [Google Scholar] [CrossRef]
- Hernigou, P.; Desroches, A.; Queinnec, S.; Lachaniette, C.H.F.; Poignard, A.; Allain, J.; Chevallier, N.; Rouard, H. Morbidity of graft harvesting versus bone marrow aspiration in cell regenerative therapy. Int. Orthop. 2014, 38, 1855–1860. [Google Scholar] [CrossRef]
- Pabinger, C.; Lothaller, H.; Kobinia, G.S. Intra-articular injection of bone marrow aspirate concentrate (mesenchymal stem cells) in KL grade III and IV knee osteoarthritis: 4 year results of 37 knees. Sci. Rep. 2024, 14, 2665. [Google Scholar] [CrossRef]
- Shapiro, S.A.; Kazmerchak, S.E.; Heckman, M.G.; Zubair, A.C.; O’Connor, M.I. A Prospective, Single-Blind, Placebo-Controlled Trial of Bone Marrow Aspirate Concentrate for Knee Osteoarthritis. Am. J. Sports Med. 2017, 45, 82–90. [Google Scholar] [CrossRef]
- Anz, A.W.; Hubbard, R.; Rendos, N.K.; Everts, P.A.; Andrews, J.R.; Hackel, J.G. Bone Marrow Aspirate Concentrate Is Equivalent to Platelet-Rich Plasma for the Treatment of Knee Osteoarthritis at 2 Years: A Prospective Randomized Trial. Am. J. Sports Med. 2022, 50, 618–629. [Google Scholar] [CrossRef]
- Im, G. Considerations in modern regenerative medicine for osteoarthritis. EFORT Open Rev. 2025, 10, 336–344. [Google Scholar] [CrossRef] [PubMed]
- Xue, Z.; Liao, Y.; Li, Y. Effects of microenvironment and biological behavior on the paracrine function of stem cells. Genes Dis. 2024, 11, 135–147. [Google Scholar] [CrossRef] [PubMed]
- Zhang, X.; Liu, T.; Ran, C.; Wang, W.; Piao, F.; Yang, J.; Tian, S.; Li, L.; Zhao, D. Immunoregulatory paracrine effect of mesenchymal stem cells and mechanism in the treatment of osteoarthritis. Front. Cell Dev. Biol. 2024, 12, 1411507. [Google Scholar] [CrossRef] [PubMed]
- Shimomura, K.; Wong, K.L.; Saseendar, S.; Muthu, S.; Concaro, S.; Fernandes, T.L.; Mahmood, A. Exploring the potential of mesenchymal stem/stromal cell-derived extracellular vesicles as cell-free therapy for osteoarthritis: A narrative review. J. Cartil. Jt. Preserv. 2024, 4, 100184. [Google Scholar] [CrossRef]
- Muthu, S.; Ramanathan, K.; Alagar Yadav, S.; Jha, S.K.; Ranjan, R. Increased Cellular Dosage of Bone Marrow Aspiration Concentrate Does Not Translate to Increased Clinical Effectiveness in Knee Osteoarthritis: A Phase I Dose Escalation Study. Indian J. Orthop. 2024, 58, 1001–1008. [Google Scholar] [CrossRef]
- Berveglieri, L.; Vannini, F.; Ramponi, L.; Boffa, A.; Cavallo, C.; Cenacchi, A.; Filardo, G.; Buda, R.; Faldini, C. The influence of cell and platelet number on clinical outcomes provided by a one-step scaffold transplantation with bone marrow concentrate for the treatment of osteochondral lesions of the talus. Foot Ankle Surg. 2025, 31, 486–491. [Google Scholar] [CrossRef] [PubMed]
- Zhu, M.; Cao, L.; Melino, S.; Candi, E.; Wang, Y.; Shao, C.; Melino, G.; Shi, Y.; Chen, X. Orchestration of Mesenchymal Stem/Stromal Cells and Inflammation During Wound Healing. Stem Cells Transl. Med. 2023, 12, 576–587. [Google Scholar] [CrossRef] [PubMed] [PubMed Central]
- Rasovic, P.; Dulic, O.; Lalic, I.; Matijevic, R.; Janjic, N.; Tosic, M.; Aleksandric, D.; Abazovic, D.; Miskulin, M.; Matijevic, S.; et al. The role of osteoarthritis severity, BMI and age on clinical efficacy of bone marrow aspirate concentrate in the treatment of knee osteoarthritis. Regen. Med. 2023, 18, 735–747. [Google Scholar] [CrossRef] [PubMed]
- Park, D.; Koh, H.S.; Choi, Y.H.; Park, I. Bone Marrow Aspirate Concentrate (BMAC) for Knee Osteoarthritis: A Narrative Review of Clinical Efficacy and Future Directions. Medicina 2025, 61, 853. [Google Scholar] [CrossRef]
- Eckstein, F.; Wirth, W.; Culvenor, A.G. Osteoarthritis year in review 2020: Imaging. Osteoarthr. Cartil. 2021, 29, 170–179. [Google Scholar] [CrossRef]
- Im, G.I.; Henrotin, Y. Regenerative medicine for early osteoarthritis. Ther. Adv. Musculoskelet. Dis. 2023, 15, 1759720X231194813. [Google Scholar] [CrossRef]
- Jo, C.H.; Chai, J.W.; Jeong, E.C.; Oh, S.; Shin, J.S.; Shim, H.; Yoon, K.S. Intra-articular Injection of Mesenchymal Stem Cells for the Treatment of Osteoarthritis of the Knee: A 2-Year Follow-up Study. Am. J. Sports Med. 2017, 45, 2774–2783. [Google Scholar] [CrossRef] [PubMed]


| Characteristic | Summary |
|---|---|
| Number of patients | 60 |
| Harvesting technique | |
| Traditional | 36 (60.0%) |
| Snap Back | 24 (40.0%) |
| Arm | |
| Crest | 30 (50.0%) |
| Tibia | 30 (50.0%) |
| Sex (male) | 30 (50.0%) |
| Age (years) | 56 (47.5–59) |
| BMI (kg/m2) | 26.4 (24.7–28.2) |
| Side (left) | 27 (45.0%) |
| K-L classification | |
| I–II | 34 (56.7%) |
| III–IV | 26 (43.3%) |
| HKA (°) | 0.1 (−0.9–1.1) |
| %BM | 56 (41–81) |
| MSCs (103 cells × %) | 6 (0–80) |
| MNCs (×106/mL) | 6.8 (5.0–11.7) |
| Monocytes (×106/mL) | 1.6 (1–2.5) |
| PLT (×106/mL) | 196 (140–267) |
| %HCT | 39.3 (36–42.9) |
| Iliac Crest | Tibia | |||||
|---|---|---|---|---|---|---|
| Characteristic | Traditional Technique | Snap Back Technique | p-Value | Traditional Technique | Snap Back Technique | p-Value |
| Patients (n) | 15 | 15 | 21 | 9 | ||
| Sex (male) | 8 (53.3%) | 5 (33.3%) | 0.269 | 11 (52.4%) | 6 (66.7%) | 0.469 |
| Age (year) | 57 (48–58) | 56 (50–59) | 0.950 | 58 (51–61) | 47 (45–51) | 0.077 |
| BMI (kg/m2) | 26.4 (24.8–29.4) | 25.8 (24.6–29.5) | 0.619 | 27.3 (24.3–28.1) | 26.5 (25.9–28) | 0.635 |
| Side (left) | 5 (33.3%) | 6 (40.0%) | 0.705 | 11 (52.4%) | 5 (55.6%) | 0.873 |
| HKA (°) | 0 (−2.2–0.4) | 0 (−1.3–1) | 0.604 | 0.5 (−0.8–1.5) | −0.2 (−0.8–0.8) | 0.377 |
| K-L classification | ||||||
| I–II | 10 (66.7%) | 8 (53.3%) | 0.456 | 11 (52.4%) | 5 (55.6%) | 0.873 |
| III–IV | 5 (33.3%) | 7 (46.7%) | 10 (47.6%) | 4 (44.4%) | ||
| Iliac Crest | Tibia | |||||
|---|---|---|---|---|---|---|
| Characteristics | Traditional Technique | Snap Back Technique | p-Value | Traditional Technique | Snap Back Technique | p-Value |
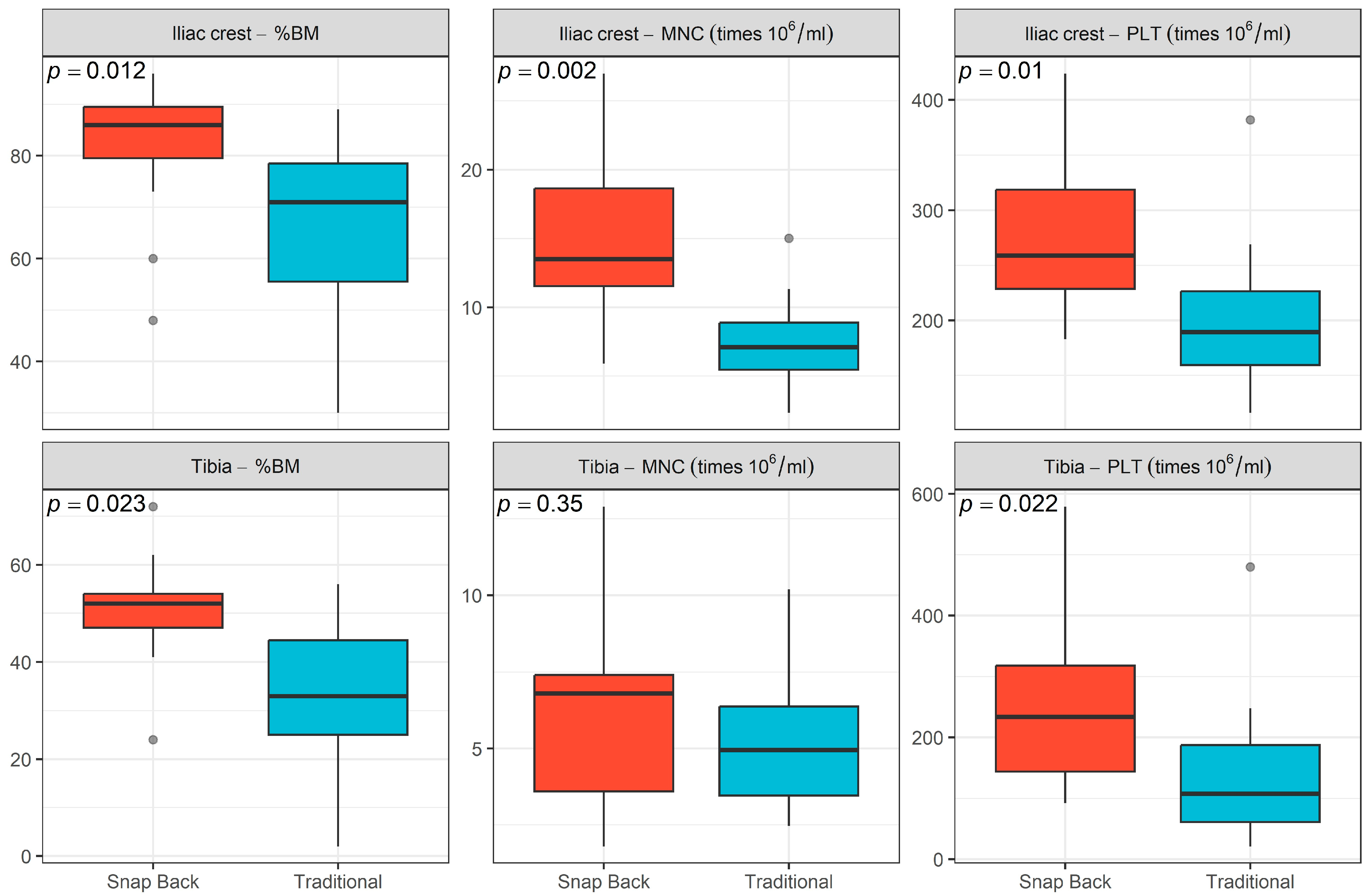
| %BM | 71 (53–80) | 86 (78–91) | 0.012 | 33 (20–48) | 52 (47–54) | 0.023 |
| MSCs (103 cells × %) | 58 (18–275) | 94 (64–235) | 0.263 | 0 (0–4) | 0 (0–0) | 0.169 |
| MNCs (×106/mL) | 7.1 (5.3–8.9) | 13.5 (11.5–21.4) | 0.002 | 5.0 (3.5–6.45) | 6.8 (3.6–7.4) | 0.350 |
| Monocytes (×106/mL) | 1.6 (1.2–2.2) | 2.5 (1.9–4.9) | 0.057 | 1.2 (0.95–2.0) | 1.0 (0.6–1.2) | 0.156 |
| PLT (×106/mL) | 190 (157–239) | 259 (220–322) | 0.010 | 108 (59–191) | 234 (144–318) | 0.022 |
| %HCT | 41.1 (39.1–42.9) | 37.1 (35.9–39.6) | 0.023 | 40.9 (36.8–43.9) | 36.4 (32.6–42.0) | 0.295 |
| Iliac Crest | Tibia | |||||
|---|---|---|---|---|---|---|
| Characteristics | Traditional Technique | Snap Back Technique | p-Value | Traditional Technique | Snap Back Technique | p-Value |
| VAS T0 | 10 (10–10) | 7 (6–8) | <0.001 | 7 (7–8) | 8 (7–8) | 0.692 |
| VAS T6 | 5 (1–8) | 5 (3–7) | 0.802 | 4 (2–6) | 5 (3–7) | 0.143 |
| ΔVAS T6-T0 | −5 (−9–−2) | −3 (−4–0) | 0.046 | −4 (−6–−2) | −2 (−4–−1) | 0.228 |
| WOMAC T0 | 37 (28–71) | 42 (29–58) | 0.771 | 40 (31–62) | 41 (28–47) | 0.769 |
| WOMAC T6 | 23 (9–49) | 28 (8–43) | 0.868 | 24 (17–29) | 33 (28–49) | 0.085 |
| ΔWOMAC T6–T0 | −14 (−20–0) | −11 (−26–−5) | 0.709 | −16 (−30–−6) | 1 (−14–9) | 0.070 |
| WOMAC pain T0 | 8 (6–13) | 9 (5–12) | 0.884 | 8 (6–11) | 8 (7–10) | 0.733 |
| WOMAC pain T6 | 5 (3–7) | 5 (2–8) | 0.917 | 4 (4–6) | 7 (7–10) | 0.003 |
| ΔWOMAC pain T6–T0 | −2 (−5–0) | −2 (−5–−1) | 0.819 | −3 (−6–−2) | −1 (−3–1) | 0.073 |
| WOMAC stiffness T0 | 3 (2–6) | 5 (2–6) | 0.690 | 4 (2–6) | 3 (2–4) | 0.292 |
| WOMAC stiffness T6 | 2 (1–4) | 2 (0–3) | 0.536 | 2 (1–3) | 3 (2–4) | 0.230 |
| ΔWOMAC stiffness T6–T0 | −1 (−3–0) | −2 (−3–0) | 0.310 | −2 (−3–0) | 0 (−1–2) | 0.058 |
| WOMAC physical function T0 | 24 (19–49) | 33 (22–41) | 0.724 | 31 (21–43) | 29 (19–34) | 0.586 |
| WOMAC physical function T6 | 17 (3–37) | 20 (7–32) | 0.967 | 17 (12–20) | 25 (18–35) | 0.154 |
| ΔWOMAC physical func. T6–T0 | −13 (−17–0) | −8 (−16–−4) | 0.934 | −11 (−21–−4) | −1 (−9–6) | 0.067 |
| Knee extension T0 (°) | 0 (0–0) | 0 (0–0) | 0.781 | 0 (0–0) | 0 (0–0) | 0.599 |
| Knee extension T6 (°) | 0 (0–0) | 0 (0–0) | 0.705 | 0 (0–0) | 0 (0–10) | 0.199 |
| ΔKnee extension T6–T0 (°) | 0 (0–0) | 0 (0–0) | – | 0 (0–0) | 0 (0–0) | – |
| Knee flexion T0 (°) | 110 (110–110) | 110 (110–115) | 0.379 | 110 (110–115) | 110 (110–110) | 0.464 |
| Knee flexion T6 (°) | 120 (115–125) | 120 (115–120) | 0.687 | 120 (115–120) | 120 (120–120) | 1.000 |
| ΔKnee flexion T6–T0 (°) | 10 (0–10) | 5 (5–10) | 0.438 | 5 (0–10) | 10 (10–10) | 0.222 |
| ROM T0 (°) | 110 (100–110) | 110 (110–115) | 0.710 | 110 (110–115) | 110 (110–110) | 0.470 |
| ROM T6 (°) | 115 (110–120) | 120 (105–120) | 0.831 | 120 (110–120) | 110 (110–120) | 0.329 |
| ΔROM T6–T0 (°) | 10 (0–10) | 5 (5–10) | 0.438 | 5 (0–10) | 10 (10–10) | 0.222 |
| Iliac Crest | Tibia | |||||
|---|---|---|---|---|---|---|
| Characteristic | Traditional Technique | Snap Back Technique | p-Value | Traditional Technique | Snap Back Technique | p-Value |
| ΔVAS T6–T0 | −3.6 (−5.6–−1.7) | −2.6 (−4.6–−0.7) | 0.536 | −3.9 (−5.7–−2.2) | −2.4 (−5.2–0.4) | 0.393 |
| ΔWOMAC T6–T0 | −12.2 (−22.4–−2.0) | −12.0 (−22.2–−1.8) | 0.973 | −17.6 (−26.5–−8.8) | −7.9 (−21.9–6.1) | 0.276 |
Disclaimer/Publisher’s Note: The statements, opinions and data contained in all publications are solely those of the individual author(s) and contributor(s) and not of MDPI and/or the editor(s). MDPI and/or the editor(s) disclaim responsibility for any injury to people or property resulting from any ideas, methods, instructions or products referred to in the content. |
© 2026 by the authors. Licensee MDPI, Basel, Switzerland. This article is an open access article distributed under the terms and conditions of the Creative Commons Attribution (CC BY) license.
Share and Cite
Maruccia, F.; Savastano, L.; Sandri, M.; Bisceglia, M.; Gorgoglione, F.L.; Mormone, E. Snap Back Versus Traditional Aspiration in Bone Marrow Harvesting: Quality Assessment and Clinical Outcomes. Surg. Tech. Dev. 2026, 15, 8. https://doi.org/10.3390/std15010008
Maruccia F, Savastano L, Sandri M, Bisceglia M, Gorgoglione FL, Mormone E. Snap Back Versus Traditional Aspiration in Bone Marrow Harvesting: Quality Assessment and Clinical Outcomes. Surgical Techniques Development. 2026; 15(1):8. https://doi.org/10.3390/std15010008
Chicago/Turabian StyleMaruccia, Francesco, Leonardo Savastano, Marco Sandri, Michele Bisceglia, Franco Lucio Gorgoglione, and Elisabetta Mormone. 2026. "Snap Back Versus Traditional Aspiration in Bone Marrow Harvesting: Quality Assessment and Clinical Outcomes" Surgical Techniques Development 15, no. 1: 8. https://doi.org/10.3390/std15010008
APA StyleMaruccia, F., Savastano, L., Sandri, M., Bisceglia, M., Gorgoglione, F. L., & Mormone, E. (2026). Snap Back Versus Traditional Aspiration in Bone Marrow Harvesting: Quality Assessment and Clinical Outcomes. Surgical Techniques Development, 15(1), 8. https://doi.org/10.3390/std15010008

