Biocontrol Potential of Bacillus Strains from Grapevine Rhizosphere Against Allorhizobium vitis, Causal Agent of Crown Gall Disease in Moroccan Vineyards
Abstract
1. Introduction
2. Materials and Methods
2.1. Sampling
2.2. Isolation and Purification of Bacterial Isolates
2.3. Pathogenicity Test of Isolated Bacteria
2.4. Biocontrol Efficacy of Selected Bacteria Against Allorhizobium vitis: In Vitro Bioassays
2.5. Characterisation of Bacterial Traits
2.6. Assessment of Antagonistic Strain Compatibility
2.7. Biocontrol Efficacy of Selected Microbial Consortia Against Allorhizobium vitis: In Vitro
2.8. Molecular Identification of Antagonistic Strains
2.9. Biocontrol Efficacy of Selected Bacteria and Microbial Consortia Against Allorhizobium vitis: In Planta Bioassays
2.10. Statistical Analysis
3. Results
3.1. Sampling, Isolation, and Purification of Bacterial Isolates
3.2. Biocontrol Efficacy Against Allorhizobium vitis: In Vitro Bioassays
3.3. Characterisation of Some Biocontrol-Related Traits of Selected Bacteria
3.4. Assessment of Compatibility Between Antagonistic Bacteria
3.5. Molecular Identification of Antagonistic Bacteria
3.6. Phylogenetic Analysis of Antagonistic Bacteria
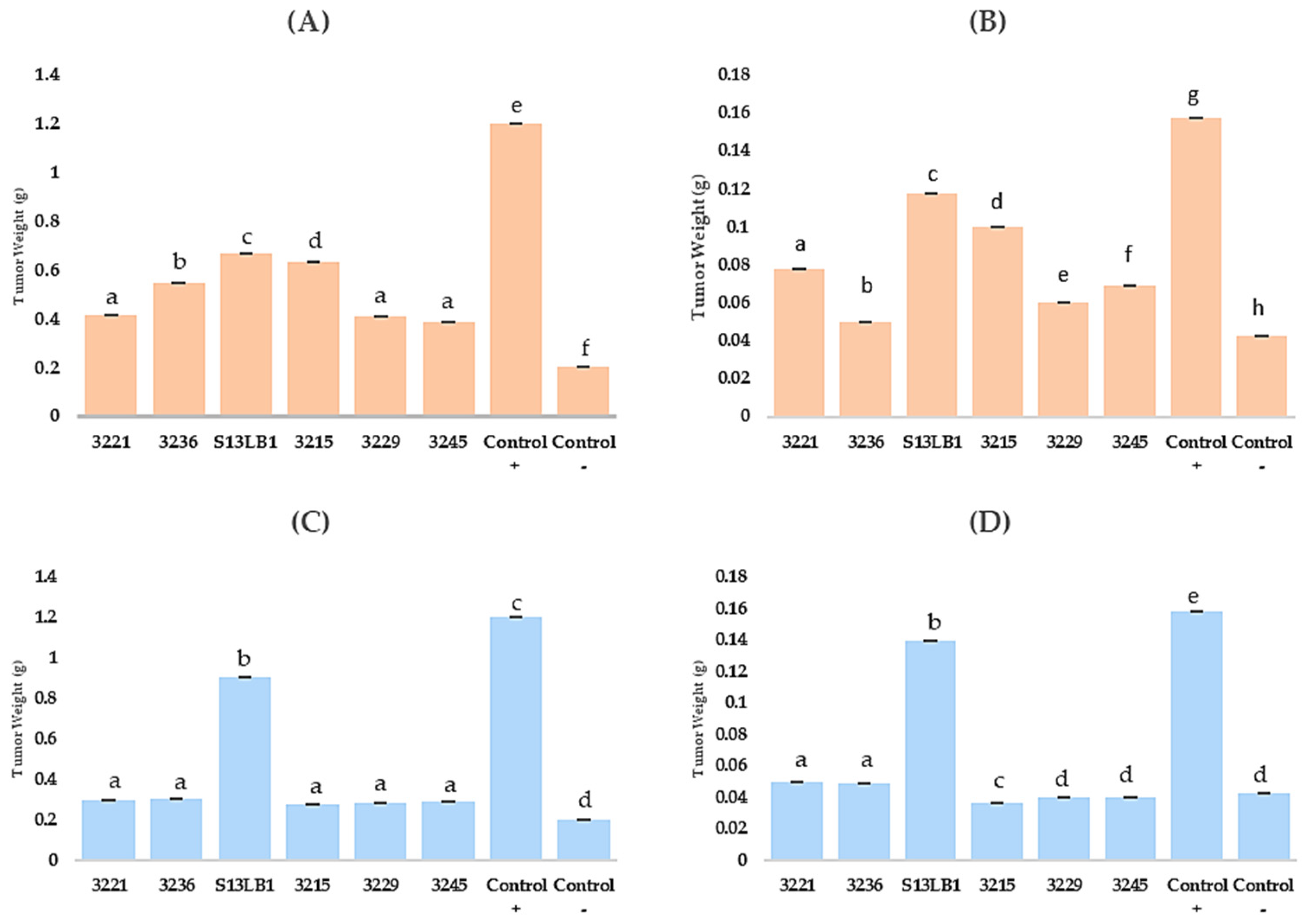
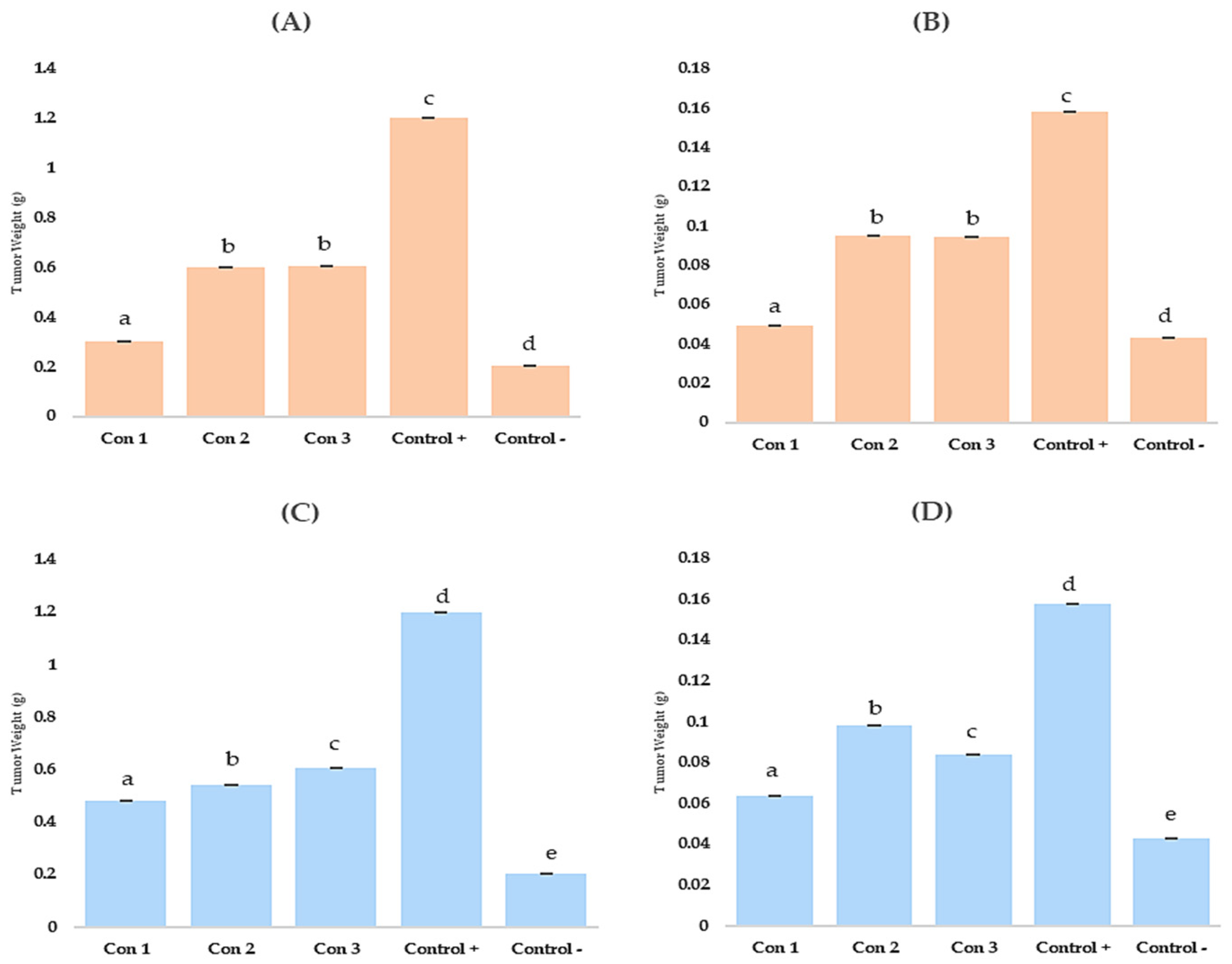
3.7. Biocontrol Efficacy of Selected Bacteria Against Allorhizobium vitis: In Planta Bioassays
4. Discussion
5. Conclusions and Perspectives
Supplementary Materials
Author Contributions
Funding
Institutional Review Board Statement
Data Availability Statement
Acknowledgments
Conflicts of Interest
References
- Organisation Internationale de la Vigne et du Vin. 2022. Available online: https://www.oiv.int/fr/what-we-do/global-report?oiv (accessed on 14 March 2024).
- The Plant List. Version 1.1. 2013. Available online: http://www.theplantlist.org/ (accessed on 10 December 2023).
- Burr, T.J.; Bazzi, C.; Süle, S.; Otten, L. Crown gall of grape: Biology of Agrobacterium vitis and the development of disease control strategies. Plant Dis. 1998, 82, 1288–1297. [Google Scholar] [CrossRef]
- Kawaguchi, A. Biological Control for Grapevine Crown Gall. In Grapevines: Varieties, Cultivation and Management; Szabo, P.V., Shojania, J., Eds.; Nova Science Publishers: New York, NY, USA, 2012; pp. 153–167. [Google Scholar]
- Kawaguchi, A.; Inoue, K.; Tanina, K.; Nita, M. Biological control for grapevine crown gall using nonpathogenic Rhizobium vitis strain ARK-1. Proc. Jpn. Acad. Ser. B Phys. Biol. Sci. 2017, 93, 547–560. [Google Scholar] [CrossRef]
- Habbadi, K.; Duplay, Q.; Chapulliot, D.; Kerzaon, I.; Benkirane, R.; Benbouazza, A.; Vial, L. Characterization and phylogenetic diversity of Allorhizobium vitis isolated from grapevine in Morocco. J. App. Microbiol. 2020, 128, 828–839. [Google Scholar] [CrossRef]
- Kawaguchi, A. Risk assessment of inferior growth and death of grapevines due to crown gall. Eur. J. Plant Pathol. 2022, 164, 613–618. [Google Scholar] [CrossRef]
- Kawaguchi, A. Biocontrol of grapevine crown gall performed using Allorhizobium vitis strain ARK-1. Appl. Microbiol. 2022, 2, 981–991. [Google Scholar] [CrossRef]
- Donley, N. The USA lags behind other agricultural nations in banning harmful pesticides. Environ. Health 2019, 18, 44. [Google Scholar] [CrossRef]
- Kerr, A.; Bullard, G. Biocontrol of crown gall by Rhizobium rhizogenes: Challenges in biopesticide commercialization. Agronomy 2020, 20, 1126. [Google Scholar] [CrossRef]
- Kawaguchi, A.; Inoue, K. New antagonistic strains of non-pathogenic Agrobacterium vitis to control grapevine crown gall. J. Phytopathol. 2012, 160, 509–518. [Google Scholar] [CrossRef]
- Kawaguchi, A.; Inoue, K.; Nasu, H. Biological control of grapevine crown gall by nonpathogenic Agrobacterium vitis strain VAR03-1. J. Gen. Plant Pathol. 2007, 73, 133–138. [Google Scholar] [CrossRef]
- Kawaguchi, A.; Noutoshi, Y. Insight into inducing disease resistance with Allorhizobium vitis strain ARK-1, a biological control agent against grapevine crown gall disease. Eur. J. Plant Pathol. 2022, 162, 981–987. [Google Scholar] [CrossRef]
- Kumari, B.; Mallick, M.A.; Solanki, M.K.; Solanki, A.C.; Hora, A.; Guo, W. Plant growth promoting rhizobacteria (PGPR): Modern prospects for sustainable agriculture. In Plant Health Under Biotic Stress; Springer: Berlin/Heidelberg, Germany, 2019; Volume 2, pp. 109–127. [Google Scholar]
- Ludwig-Müller, J. Plants and endophytes: Equal partners in secondary metabolite production? Biotechnol. Lett. 2015, 37, 1325–1334. [Google Scholar] [CrossRef] [PubMed]
- Parnell, J.J.; Berka, R.; Young, H.A.; Sturino, J.M.; Kang, Y.; Barnhart, D.M.; Dileo, M.V. From the lab to the farm: An industrial perspective of plant beneficial microorganisms. Front. Plant Sci. 2016, 7, 1110. [Google Scholar] [CrossRef] [PubMed]
- Syed Ab Rahman, S.F.; Singh, E.; Pieterse, C.M.J.; Schenk, P.M. Emerging microbial biocontrol strategies for plant pathogens. Plant Sci. 2018, 267, 102–111. [Google Scholar] [CrossRef] [PubMed]
- Dean, R.; Van Kan, J.A.L.; Pretorius, Z.A.; Hammond-Kosack, K.E.; Di Pietro, A.; Spanu, P.D.; Rudd, J.J.; Dickman, M.; Kahmann, R.; Ellis, J.; et al. The Top 10 fungal pathogens in molecular plant pathology. Mol. Plant Pathol. 2012, 13, 414–430. [Google Scholar] [CrossRef]
- Le Cocq, K.; Gurr, S.J.; Hirsch, P.R.; Mauchline, T.H. Exploitation of endophytes for sustainable agricultural intensification. Mol. Plant Pathol. 2017, 18, 469–473. [Google Scholar] [CrossRef]
- Pal, K.; Gardener, B. Biological control of plant pathogens. Plant Health Instr. 2006, 2, 1117–1142. [Google Scholar] [CrossRef]
- Bardin, M.; Ajouz, S.; Comby, M.; Lopez-Ferber, M.; Graillot, B.; Siegwart, M.; Nicot, P.C. Is the efficacy of biological control against plant diseases likely to be more durable than that of chemical pesticides? Front. Plant Sci. 2015, 6, 566. [Google Scholar] [CrossRef]
- Santoyo, G.; Moreno-Hagelsieb, G.; del Carmen Orozco-Mosqueda, M.; Glick, B.R. Plant growth-promoting bacterial endophytes. Microbiol. Res. 2016, 183, 92–99. [Google Scholar] [CrossRef]
- Zhang, Y.; Yu, X.; Zhang, W.; Lang, D.; Zhang, X.; Cui, G.; Zhang, X. Interactions between endophytes and plants: Beneficial effect of endophytes to ameliorate biotic and abiotic stresses in plants. J. Plant Biol. 2019, 62, 1–13. [Google Scholar] [CrossRef]
- Carbú, M.; González-Rodriguez, V.; Garrido, C.; Husaini, C.; Cantoral, J. New biocontrol strategies for strawberry fungal pathogens. In Strawberry: Growth, Development and Disease; Amjad, H., Neri, D., Eds.; CABI: Boston, MA, USA, 2016; pp. 196–211. [Google Scholar]
- Ji, X.; Lu, G.; Gai, Y.; Zheng, C.; Mu, Z. Biological control against bacterial wilt and colonization of mulberry by an endophytic Bacillus subtilis strain. FEMS Microbiol. Ecol. 2008, 65, 565–573. [Google Scholar] [CrossRef]
- Chowdhury, S.P.; Hartmann, A.; Gao, X.; Borriss, R. Biocontrol mechanism by root-associated Bacillus amyloliquefaciens FZB42–a review. Front. Microbiol. 2015, 6, 780. [Google Scholar] [CrossRef] [PubMed]
- Fan, B.; Blom, J.; Klenk, H.P.; Klenk, H.P.; Borriss, R. Bacillus amyloliquefaciens, Bacillus velezensis, and Bacillus siamensis form an “Operational Group B. amyloliquefaciens” within the B. subtilis Species Complex. Front. Microbiol. 2017, 8, 22. [Google Scholar] [CrossRef] [PubMed]
- Rudrappa, T.; Czymmek, K.J.; Paré, P.W.; Bais, H.P. Root-secreted malic acid recruits beneficial soil bacteria. Plant Physiol. 2008, 148, 1547–1556. [Google Scholar] [CrossRef] [PubMed]
- Nagorska, K.; Bikowski, M.; Obuchowski, M. Multicellular behaviour and production of a wide variety of toxic substances support usage of Bacillus subtilis as a powerful biocontrol agent. Acta Biochim. Pol. 2007, 54, 495–508. [Google Scholar] [CrossRef] [PubMed]
- Wang, W.; Wu, Z.; He, Y.; Huang, Y.; Li, X.; Ye, B.C. Plant growth promotion and alleviation of salinity stress in Capsicum annuum L. by Bacillus isolated from saline soil in Xinjiang. Ecotoxicol. Environ. Saf. 2018, 164, 520–529. [Google Scholar] [CrossRef]
- Wu, L.; Li, X.; Ma, L.; Borriss, R.; Wu, Z.; Gao, X. Acetoin and 2,3-butanediol from Bacillus amyloliquefaciens induce stomatal closure in Arabidopsis thaliana and Nicotiana benthamiana. J. Exp. Bot. 2018, 69, 5625–5635. [Google Scholar] [CrossRef]
- Jamali, H.; Sharma, A.; Roohi, N.; Srivastava, A.K. Biocontrol potential of Bacillus subtilis RH5 against sheath blight of rice caused by Rhizoctonia solani. J. Basic Microbiol. 2020, 60, 268–280. [Google Scholar] [CrossRef]
- Arnaouteli, S.; Bamford, N.C.; Stanley-Wall, N.R.; Kovács, Á.T. Bacillus subtilis biofilm formation and social interactions. Nat. Rev. Microbiol. 2021, 19, 600–614. [Google Scholar] [CrossRef]
- Dimopoulou, A.; Theologidis, I.; Benaki, D.; Koukounia, M.; Zervakou, A.; Tzima, A.; Skandalis, N. Direct antibiotic activity of bacillibactin broadens the biocontrol range of Bacillus amyloliquefaciens MBI600. mSphere 2021, 6, e0037621. [Google Scholar] [CrossRef]
- Ghazy, N.; El-Nahrawy, S. Siderophore production by Bacillus subtilis MF497446 and Pseudomonas koreensis MG209738 and their efficacy in controlling Cephalosporium maydis in maize plants. Arch. Microbiol. 2021, 203, 1195–1209. [Google Scholar] [CrossRef]
- Blake, C.; Christensen, M.N.; Kovács, Á.T. Molecular aspects of plant growth promotion and protection by Bacillus subtilis. Mol. Plant-Microbe Interact. 2021, 34, 15–25. [Google Scholar] [CrossRef] [PubMed]
- Klement, Z. Rapid detection of the pathogenicity of phytopathogenic pseudomonads. Nature 1963, 199, 299–300. [Google Scholar] [CrossRef] [PubMed]
- Taktek, S. Dissolution Biologique des Phosphates: Interaction Bactéries-Mycorhizes. Ph.D. Thesis, Université Laval, Québec, QC, Canada, 2015. [Google Scholar]
- Kumar, V.; Menon, S.; Agarwal, H.; Gopalakrishnan, D. Characterization and optimization of bacterium isolated from soil samples for the production of siderophores. Resour.-Effic. Technol. 2017, 3, 434–439. [Google Scholar] [CrossRef]
- Teather, R.N.; Wood, P.J. Use of Congo Red-Polysaccharide Interactions in Enumeration and Characterization of Cellulolytic Bacteria from the Bovine Rumen. Appl. Environ. Microbiol. 1982, 43, 777–780. [Google Scholar] [CrossRef] [PubMed]
- Bradner, J.R.; Gillings, M.; Nevalainen, K.M.H. Qualitative assessment of hydrolytic activities in Antarctic microfungi grown at different temperatures on solid media. World J. Microbiol. Biotechnol. 1999, 15, 131–132. [Google Scholar] [CrossRef]
- Bakker, A.W.; Schippers, B. Microbial cyanide production in the rhizosphere in relation to potato yield reduction and Pseudomonas spp.-mediated plant growth stimulation. Soil Biol. Biochem. 1987, 19, 451–457. [Google Scholar] [CrossRef]
- Faist, H.; Ankenbrand, M.J.; Sickel, W.; Hentschel, U.; Keller, A.; Deeken, R. Opportunistic bacteria of grapevine crown galls are equipped with the genomic repertoire for opine utilization. Genome Biol. Evol. 2023, 15, evad228. [Google Scholar] [CrossRef]
- Irabor, A.; Mmbaga, M.T. Evaluation of selected bacterial endophytes for biocontrol potential against Phytophthora blight of bell pepper (Capsicum annuum L.). J. Plant Pathol. Microbiol. 2017, 8, 424. [Google Scholar] [CrossRef]
- Tabacchioni, S.; Passato, S.; Ambrosino, P.; Huang, L.; Caldara, M.; Cantale, C.; Bevivino, A. Identification of beneficial microbial consortia and bioactive compounds with potential as plant biostimulants for a sustainable agriculture. Microorganisms 2021, 9, 426. [Google Scholar] [CrossRef]
- Gouy, M.; Guindon, S.; Gascuel, O. SeaView version 4: A multiplatform graphical user interface for sequence alignment and phylogenetic tree building. Mol. Biol. Evol. 2010, 27, 221–224. [Google Scholar] [CrossRef]
- Logan, N.A.; Vos, P.D. Bacillus. In Bergey’s Manual of Systematics of Archaea and Bacteria; John Wiley & Sons, Inc.: Hoboken, NJ, USA, 2015; pp. 1–163. [Google Scholar]
- Aguilar-Paredes, A.; Valdés, G.; Nuti, M. Ecosystem functions of microbial consortia in sustainable agriculture. Agronomy 2020, 10, 1902. [Google Scholar] [CrossRef]
- Farri, K.; Khezri, M. Integrate management method of plants crown gall disease. Univ. Yasouj Plant Pathol. Sci. 2021, 10, 116–127. [Google Scholar] [CrossRef]
- Jung, S.M.; Hur, Y.Y.; Preece, J.E.; Fiehn, O.; Kim, Y.H. Profiling of disease-related metabolites in grapevine internode tissues infected with Agrobacterium vitis. Plant Pathol. J. 2016, 32, 489–499. [Google Scholar] [CrossRef] [PubMed]
- Burr, T.J.; Otten, L. Crown gall of grape: Biology and disease management. Annu. Rev. Phytopathol. 1999, 37, 53–80. [Google Scholar] [CrossRef] [PubMed]
- Chen, F.; Guo, Y.B.; Wang, J.H.; Li, J.Y.; Wang, H.M. Biological control of grape crown gall by Rahnella aquatilis HX2. Plant Dis. 2007, 91, 957–963. [Google Scholar] [CrossRef]
- Eastwell, K.C.; Sholberg, P.L.; Sayler, R.J. Characterizing potential bacterial biocontrol agents for suppression of Rhizobium vitis, causal agent of crown gall disease in grapevines. Crop Prot. 2006, 25, 1191–1200. [Google Scholar] [CrossRef]
- Rosenberg, E.; Zilber-Rosenberg, I. Microbes drive evolution of animals and plants: The hologenome concept. mBio 2016, 7, e01395. [Google Scholar] [CrossRef]
- Bulgarelli, D.; Schlaeppi, K.; Spaepen, S.; Van Themaat, E.V.L.; Schulze-Lefert, P. Structure and functions of the bacterial microbiota of plants. Annu. Rev. Plant Biol. 2013, 64, 807–838. [Google Scholar] [CrossRef]
- Berendsen, R.L.; Pieterse, C.M.; Bakker, P.A. The rhizosphere microbiome and plant health. Trends Plant Sci. 2012, 17, 478–486. [Google Scholar] [CrossRef]
- Chowdhury, F.T.; Islam, M.R.; Islam, M.; Khan, H. Diversity of plant endophytic volatile organic compounds (VOCs) and their potential applications. In Endophytes and Secondary Metabolites; Springer: Berlin/Heidelberg, Germany, 2019; pp. 307–333. [Google Scholar]
- Asghari, S.; Harighi, B.; Mozafari, A.A.; Esmaeel, Q.; Ait Barka, E. Screening of endophytic bacteria isolated from domesticated and wild growing grapevines as potential biological control agents against crown gall disease. Biocontrol 2019, 64, 723–735. [Google Scholar] [CrossRef]
- Asghari, S.; Harighi, B.; Ashengroph, M.; Clement, C.; Aziz, A.; Esmaeel, Q.; Ait Barka, E. Induction of systemic resistance to Agrobacterium tumefaciens by endophytic bacteria in grapevine. Plant Pathol. 2020, 69, 827–837. [Google Scholar] [CrossRef]
- Andreolli, M.; Lampis, S.; Zapparoli, G.; Angelini, E.; Vallini, G. Diversity of bacterial endophytes in 3- and 15-year-old grapevines of Vitis vinifera cv. Corvina and their potential for plant growth promotion and phytopathogen control. Microbiol. Res. 2016, 183, 42–52. [Google Scholar] [CrossRef] [PubMed]
- Dries, L.; Bussotti, S.; Pozzi, C.; Kunz, R.; Schnell, S.; Löhnertz, O.; Vortkamp, A. Rootstocks shape their microbiome: Bacterial communities in the rhizosphere of different grapevine rootstocks. Microorganisms 2021, 9, 822. [Google Scholar] [CrossRef] [PubMed]
- Hernandez, M.M.; Menéndez, C.M. Influence of seasonality and management practices on diversity and composition of fungal communities in vineyard soils. Appl. Soil Ecol. 2019, 135, 113–119. [Google Scholar] [CrossRef]
- Bulgari, D.; Casati, P.; Quaglino, F.; Bianco, P.A. Endophytic bacterial community of grapevine leaves influenced by sampling date and phytoplasma infection process. BMC Microbiol. 2014, 14, 198. [Google Scholar] [CrossRef]
- Novello, G.; Gamalero, E.; Bona, E.; Boatti, L.; Mignone, F.; Massa, N.; Berta, G. The rhizosphere bacterial microbiota of Vitis vinifera cv. Pinot Noir in an integrated pest management vineyard. Front. Microbiol. 2017, 8, 1528. [Google Scholar] [CrossRef]
- Habbadi, K.; Benkirane, R.; Benbouazza, A.; Bouaichi, A.; Maafa, I.; Chapulliot, D.; Achbani, E.H. Biological control of grapevine crown gall caused by Allorhizobium vitis using bacterial antagonists. Int. J. Sci. Res. 2017, 6, 1390–1397. [Google Scholar]
- Caulier, S.; Nannan, C.; Gillis, A.; Licciardi, F.; Bragard, C.; Mahillon, J. Overview of the antimicrobial compounds produced by members of the Bacillus subtilis group. Front. Microbiol. 2019, 10, 302. [Google Scholar] [CrossRef]
- Turnbull, P.C.B.; Hutson, R.A.; Ward, M.J.; Jones, M.N.; Quinn, C.P.; Finnie, N.J.; Duggleby, C.J.; Kramer, J.M.; Melling, J. Bacillus anthracis but not always anthrax. J. Appl. Bacteriol. 1992, 72, 21–28. [Google Scholar] [CrossRef]
- Venkateswaran, K.; Singh, N.K.; Checinska Sielaff, A.; Pope, R.K.; Bergman, N.H.; van Tongeren, S.P.; Patel, N.B.; Lawson, P.A.; Satomi, M.; Williamson, C.H.D.; et al. Non-toxin-producing Bacillus cereus strains belonging to the B. anthracis clade isolated from the International Space Station. Msystems 2017, 2, e00021. [Google Scholar] [CrossRef]
- Helgason, E.; Økstad, O.A.; Caugant, D.A.; Johansen, H.A.; Fouet, A.; Mock, M.; Hegna, I.; Kolstø, A.B. Bacillus anthracis, Bacillus cereus, and Bacillus thuringiensis—One species on the basis of genetic evidence. Appl. Environ. Microbiol. 2000, 66, 2627–2630. [Google Scholar] [CrossRef] [PubMed]
- Romero, D.; De Vicente, A.; Olmos, J.L.; Dávila, J.C.; Pérez-García, A. Effect of lipopeptides of antagonistic strains of Bacillus subtilis on the morphology and ultrastructure of the cucurbit fungal pathogen Podosphaera fusca. J. Appl. Microbiol. 2007, 103, 969–976. [Google Scholar] [CrossRef] [PubMed]
- Garcia-Gutierrez, L.; Zeriouh, H.; Romero, D.; Cubero, J.; De Vicente, A.; Pérez-García, A. The antagonistic strain Bacillus subtilis UMAF6639 also confers protection to melon by activation of jasmonate- and salicylic acid-dependent responses. Microb. Biotechnol. 2013, 6, 264–274. [Google Scholar] [CrossRef] [PubMed]
- Magno-Pérez-Bryan, M.C.; Martinez-Garcia, P.M.; Hierrezuelo, J.; Rodriguez-Palenzuela, P.; Arrebola, E.; Ramos, C.; Romero, D. Comparative genomics within the Bacillus genus reveal the singularities of two robust Bacillus amyloliquefaciens biocontrol strains. Mol. Plant-Microbe Interact. 2015, 28, 1102–1116. [Google Scholar] [CrossRef] [PubMed]
- Dimopoulou, A.; Theologidis, I.; Liebmann, B.; Kalantidis, K.; Vassilakos, N.; Skandalis, N. Bacillus amyloliquefaciens MBI600 differentially induces tomato defense signaling pathways depending on plant part and dose of application. Sci. Rep. 2019, 9, 19120. [Google Scholar] [CrossRef]
- Ley-López, N.; Heredia, J.B.; Martín-Hernández, C.S.; Cruz-Lachica, I.; Márquez-Zequera, I.; Medina-López, R.; García-Estrada, R.S. Identification and quantification of lipopeptide homologues induced and produced by Bacillus amyloliquefaciens. Fermentation 2023, 9, 944. [Google Scholar] [CrossRef]
- Wang, W.Y.; Kong, W.L.; Liao, Y.C.Z.; Zhu, L.H. Identification of Bacillus velezensis SBB and its antifungal effects against Verticillium dahliae. J. Fungi 2022, 8, 1021. [Google Scholar] [CrossRef]
- Sun, L.; Wang, W.; Zhang, X.; Gao, Z.; Cai, S.; Wang, S.; Li, Y. Bacillus velezensis BVE7 as a promising agent for biocontrol of soybean root rot caused by Fusarium oxysporum. Front. Microbiol. 2023, 14, 1275986. [Google Scholar] [CrossRef]
- Shleeva, M.O.; Kondratieva, D.A.; Kaprelyants, A.S. Bacillus licheniformis: A producer of antimicrobial substances, including antimycobacterial agents, feasible for medical applications. Pharmaceutics 2023, 15, 1893. [Google Scholar] [CrossRef]
- Stoica, R.M.; Moscovici, M.; Tomulescu, C.; Cășărică, A.; Băbeanu, N.; Popa, O.; Kahraman, H. Antimicrobial compounds of the genus Bacillus: A review. Rom. Biotechnol. Lett. 2019, 24, 1111–1119. [Google Scholar] [CrossRef]
- Chen, X.H.; Koumoutsi, A.; Scholz, R.; Eisenreich, A.; Schneider, K.; Heinemeyer, I.; Borriss, R. Comparative analysis of the complete genome sequence of the plant growth–promoting bacterium Bacillus amyloliquefaciens FZB42. Nat. Biotechnol. 2007, 25, 1007–1014. [Google Scholar] [CrossRef] [PubMed]
- Van Loon, L.C.; Bakker, P.A.H.M. Induced systemic resistance as a mechanism of disease suppression by rhizobacteria. In PGPR: Biocontrol and Biofertilization; Springer: Berlin/Heidelberg, Germany, 2006; pp. 39–66. [Google Scholar]
- Ray, S.; Trivedi, U. Production, Purification, and Characterization of Cellulase as Biotic Elicitor. In Biotic Elicitors; Amin, D., Amaresan, N., Ray, S., Eds.; Springer Protocols Handbooks, Humana: New York, NY, USA, 2022; pp. 1–26. [Google Scholar] [CrossRef]
- Souza, C.D.A.; Li, S.; Lin, A.Z.; Boutrot, F.; Grossmann, G.; Zipfel, C.; Somerville, S.C. Cellulose-derived oligomers act as damage-associated molecular patterns and trigger defense-like responses. Plant Physiol. 2017, 173, 2383–2398. [Google Scholar] [CrossRef] [PubMed]
- Ngalimat, M.S.; Yahaya, R.S.R.; Baharudin, M.M.A.A.; Yaminudin, S.M.; Karim, M.; Ahmad, S.A.; Sabri, S. A review on the biotechnological applications of the operational group Bacillus amyloliquefaciens. Microorganisms 2021, 9, 614. [Google Scholar] [CrossRef] [PubMed]
- Gamez, R.; Cardinale, M.; Montes, M.; Ramirez, S.; Schnell, S.; Rodriguez, F. Screening, plant growth promotion, and root colonization pattern of two rhizobacteria (Pseudomonas fluorescens Ps006 and Bacillus amyloliquefaciens Bs006) on banana cv. Williams (Musa acuminata Colla). Microbiol. Res. 2019, 220, 12–20. [Google Scholar] [CrossRef] [PubMed]
- Duan, Y.; Chen, R.; Zhang, R.; Jiang, W.; Chen, X.; Yin, C.; Mao, Z. Isolation, identification, and antibacterial mechanisms of Bacillus amyloliquefaciens QSB-6 and its effect on plant roots. Front. Microbiol. 2021, 12, 746799. [Google Scholar] [CrossRef]
- Singh, J.; Faull, J.L. Antagonism and Biological Control. In Biocontrol of Plant Diseases; CRC Press: Boca Raton, FL, USA, 2020; pp. 167–177. [Google Scholar]
- Shafi, J.; Tian, H.; Ji, M. Bacillus species as versatile weapons for plant pathogens: A review. Biotechnol. Biotechnol. Equip. 2017, 31, 446–459. [Google Scholar] [CrossRef]
- Ku, Y.; Xu, G.; Tian, X.; Xie, H.; Yang, X.; Cao, C. Root colonization and growth promotion of soybean, wheat, and Chinese cabbage by Bacillus cereus YL6. PLoS ONE 2018, 13, e0200181. [Google Scholar]
- Rolfe, S.A.; Griffiths, J.; Ton, J. Crying out for help with root exudates: Adaptive mechanisms by which stressed plants assemble health-promoting soil microbiomes. Curr. Opin. Microbiol. 2019, 49, 73–82. [Google Scholar] [CrossRef]
- Chen, X.; Zhang, Y.; Fu, X.; Li, Y.; Wang, Q. Isolation and characterization of Bacillus amyloliquefaciens PG12 for the biological control of apple ring rot. Postharvest Biol. Technol. 2016, 115, 113–121. [Google Scholar] [CrossRef]
- Inam-ul-Haq, M.; Javed, N.; Ahmad, R.; Rehman, A. Evaluation of different strains of Pseudomonas fluorescens for the biocontrol of Fusarium wilt of chickpea. Plant Pathol. J. 2023, 2, 65–74. [Google Scholar] [CrossRef]
- Lang, J.; Faure, D. Functions and regulation of quorum-sensing in Agrobacterium tumefaciens. Front. Plant Sci. 2014, 5, 14. [Google Scholar] [CrossRef] [PubMed]
- Faure, D.; Dessaux, Y. Quorum sensing as a target for developing control strategies for the plant pathogen Pectobacterium. Eur. J. Plant Pathol. 2007, 119, 353–365. [Google Scholar] [CrossRef]
- Kachhadia, R.; Kapadia, C.; Singh, S.; Gandhi, K.; Jajda, H.; Alfarraj, S.; Datta, R. Quorum sensing inhibitory and quenching activity of Bacillus cereus RC1 extracts on Soft Rot-Causing Bacteria Lelliottia amnigena. ACS Omega 2022, 7, 25291–25308. [Google Scholar] [CrossRef] [PubMed]
- Grandclément, C.; Tannières, M.; Moréra, S.; Dessaux, Y.; Faure, D. Quorum quenching: Role in nature and applied developments. FEMS Microbiol. Rev. 2016, 40, 86–116. [Google Scholar] [CrossRef]
- Zhu, X.; Chen, W.J.; Bhatt, K.; Zhou, Z.; Huang, Y.; Zhang, L.H.; Wang, J. Innovative microbial disease biocontrol strategies mediated by quorum quenching and their multifaceted applications: A review. Front. Plant Sci. 2023, 13, 1063393. [Google Scholar] [CrossRef]
- Dong, Y.H.; Gusti, A.R.; Zhang, Q.; Xu, J.L.; Zhang, L.H. Identification of quorum-quenching N-acyl homoserine lactonases from Bacillus species. Appl. Environ. Microbiol. 2002, 68, 1754–1759. [Google Scholar] [CrossRef]
- Huma, N.; Shankar, P.; Kushwah, J.; Bhushan, A.; Joshi, J.; Mukherjee, T.; Kalia, V.C. Diversity and polymorphism in AHL-lactonase gene (aiiA) of Bacillus. J. Microbiol. Biotechnol. 2011, 21, 1001–1011. [Google Scholar] [CrossRef]
- O’Brien, P.A. Biological control of plant diseases. Aust. Plant Pathol. 2017, 46, 293–304. [Google Scholar] [CrossRef]
- Niu, B.; Wang, W.; Yuan, Z.; Sederoff, R.R.; Sederoff, H.; Chiang, V.L.; Borriss, R. Microbial interactions within multiple-strain biological control agents impact soil-borne plant disease. Front. Microbiol. 2020, 11, 585404. [Google Scholar] [CrossRef]
- Compant, S.; Samad, A.; Faist, H.; Sessitsch, A. A Review on the Plant Microbiome: Ecology, Functions, and Emerging Trends in Microbial Application. J. Adv. Res. 2019, 19, 29–37. [Google Scholar] [CrossRef]
- Che, S.; Men, Y. Synthetic Microbial Consortia for Biosynthesis and Biodegradation: Promises and Challenges. J. Ind. Microbiol. Biotechnol. 2019, 46, 1343–1358. [Google Scholar] [CrossRef] [PubMed]
- Armanhi, J.S.L.; de Souza, R.S.C.; de Brito Damasceno, N.; de Araújo, L.M.; Imperial, J.; Arruda, P. A Community-Based Culture Collection for Targeting Novel Plant Growth-Promoting Bacteria from the Sugarcane Microbiome. Front. Plant Sci. 2018, 8, 2191. [Google Scholar] [CrossRef] [PubMed]
- Guetsky, R.; Shtienberg, D.; Elad, Y.; Dinoor, A. Combining biocontrol agents to reduce the variability of biological control. Biol. Control 2001, 91, 621–627. [Google Scholar] [CrossRef] [PubMed]
- Guetsky, R.; Shtienberg, D.; Elad, Y.; Fischer, E.; Dinoor, A. Improving biological control by combining biocontrol agents each with several mechanisms of disease suppression. Biol. Control 2002, 92, 976–985. [Google Scholar] [CrossRef]
- Singh, A.; Sarma, B.K.; Upadhyay, R.S.; Singh, H.B. Compatible rhizosphere microbes mediated alleviation of biotic stress in chickpea through enhanced antioxidant and phenylpropanoid activities. Microbiol. Res. 2013, 168, 33–40. [Google Scholar] [CrossRef]
- Elliott, M.; Shamoun, S.F.; Sumampong, G.; James, D.; Masri, S.; Varga, A. Evaluation of several commercial biocontrol products on European and North American populations of Phytophthora ramorum. Biocontrol Sci. Technol. 2009, 19, 1007–1021. [Google Scholar] [CrossRef]








| Test | 3221 | 3236 | S13LB1 | 3215 | 3229 | 3245 |
|---|---|---|---|---|---|---|
| Colony Morphology | Rounded Creamy white Opaque Smooth margin | Rounded Creamy white Opaque Rough margin | Rounded Creamy white Opaque Rough margin | Rounded Creamy white Opaque Rough margin | Rounded Yellowish white Opaque Smooth margin | Rounded Creamy white Opaque Rough margin |
| Gram stain | + | + | + | + | + | + |
| ONPG | − | − | + | − | + | − |
| ADH | − | − | + | − | − | + |
| LDC | − | − | + | − | − | + |
| ODC | − | − | + | − | − | + |
| CIT | − | − | − | − | − | − |
| H2S | − | − | − | − | − | − |
| URE | − | − | − | − | − | + |
| TDA | − | − | − | − | − | − |
| IND | − | − | − | − | − | − |
| VP | − | − | − | − | − | − |
| GEL | + | + | + | + | + | + |
| GLU | + | + | − | + | + | − |
| MAN | + | + | − | + | + | − |
| INO | + | + | − | + | + | − |
| SOR | + | + | − | + | + | − |
| RHA | + | − | − | + | + | − |
| SAC | + | + | − | + | + | − |
| MEL | + | + | − | + | + | − |
| AMY | + | + | − | + | + | − |
| ARA | + | + | + | + | + | + |
| HCN | − | − | − | − | − | − |
| Bacterial Strain | Siderophore Qualitative Analysis | Siderophore Quantitative Analysis (%SU) | Cellulolytic Index (CI) |
|---|---|---|---|
| 3221 | ++ | 35.7% | 4 ± 0.09 |
| 3236 | + | 14.5% | 3.16 ± 0.09 |
| S13LB1 | ++ | 22.6% | 3.5 ± 0.16 |
| 3215 | ++ | 27.0% | 3.33 ± 0.09 |
| 3229 | + | 13.8% | 2.66 ± 0.09 |
| 3245 | ++ | 34.3% | 3.66 ± 0.09 |
| Antagonists Strains | Identified Species | Accession | Per. Identity |
|---|---|---|---|
| 3221 | Bacillus amyloliquefaciens | OK605890.1 | 99.81% |
| 3215 | Bacillus velezensis | OR514235.1 | 99.61% |
| 3236 | Bacillus velezensis | CP128992.1 | 99.74% |
| S13LB1 | Bacillus subtilis licheniformis | KU904288.1 | 99.81% |
| 3245 | Bacillus halotolerans | KU374973.1 | 100.00% |
| 3229 | Bacillus anthracis | CP133649.1 | 99.45% |
Disclaimer/Publisher’s Note: The statements, opinions and data contained in all publications are solely those of the individual author(s) and contributor(s) and not of MDPI and/or the editor(s). MDPI and/or the editor(s) disclaim responsibility for any injury to people or property resulting from any ideas, methods, instructions or products referred to in the content. |
© 2025 by the authors. Licensee MDPI, Basel, Switzerland. This article is an open access article distributed under the terms and conditions of the Creative Commons Attribution (CC BY) license (https://creativecommons.org/licenses/by/4.0/).
Share and Cite
Yahyaoui, H.; El Allaoui, N.; Batbat, A.; Aziz, A.; Aoujil, F.; Hafidi, M.; Habbadi, K. Biocontrol Potential of Bacillus Strains from Grapevine Rhizosphere Against Allorhizobium vitis, Causal Agent of Crown Gall Disease in Moroccan Vineyards. Int. J. Plant Biol. 2025, 16, 27. https://doi.org/10.3390/ijpb16010027
Yahyaoui H, El Allaoui N, Batbat A, Aziz A, Aoujil F, Hafidi M, Habbadi K. Biocontrol Potential of Bacillus Strains from Grapevine Rhizosphere Against Allorhizobium vitis, Causal Agent of Crown Gall Disease in Moroccan Vineyards. International Journal of Plant Biology. 2025; 16(1):27. https://doi.org/10.3390/ijpb16010027
Chicago/Turabian StyleYahyaoui, Hiba, Nadia El Allaoui, Amine Batbat, Aziz Aziz, Faical Aoujil, Majida Hafidi, and Khaoula Habbadi. 2025. "Biocontrol Potential of Bacillus Strains from Grapevine Rhizosphere Against Allorhizobium vitis, Causal Agent of Crown Gall Disease in Moroccan Vineyards" International Journal of Plant Biology 16, no. 1: 27. https://doi.org/10.3390/ijpb16010027
APA StyleYahyaoui, H., El Allaoui, N., Batbat, A., Aziz, A., Aoujil, F., Hafidi, M., & Habbadi, K. (2025). Biocontrol Potential of Bacillus Strains from Grapevine Rhizosphere Against Allorhizobium vitis, Causal Agent of Crown Gall Disease in Moroccan Vineyards. International Journal of Plant Biology, 16(1), 27. https://doi.org/10.3390/ijpb16010027

