Abstract
(1) Background: Juglans neotropica Diels, native to the Andes, is highly valued for its quality wood, medicinal uses, edible fruits, and natural dyes. However, its population has been greatly reduced due to overexploitation, becoming threatened and resulting in genetic stochasticity. Therefore, a prompt ex situ and in situ conservation effort is needed for its conservation and restoration. (2) Methods: A total of 439 trees of J. neotropica Diels were sampled from selected individuals across the northern and central regions of Ecuador. These trees were planted in a randomized complete block design to assess their growth and genetic variability. (3) Results: Annual average tree growth varied significantly among progenies. Based on their dasometric traits, two distinct groups were identified as superior and surveillance. Five trees demonstrated promising traits (TJ182, ChL2314, ChL142, TJ1310, and BSM14), suggesting potential for inclusion in forest genetic improvement programs. (4) Conclusions: Fifteen percent of individuals from the five studied provenances exhibited desirable dasometric characteristics and high-quality wood. In addition, several individuals within the progenies exhibit resistance to biotic agents, indicating a genetic potential for disease.
1. Introduction
Juglans neotropica Diels, a native species of the Andean region, grows in various habitats within the Lower Montane Forest [1,2]. It is an endangered woody angiosperm of tropical origin [3]; fossil records and wood anatomical studies indicate that the taxonomic position of this species originates in the genus Enghelardia Blume, which is closely related to the Juglandaceae family. It may have been a precursor to the evolutionary lineage that includes Alfaroa Standal, Pterocarya Kunt, Carya Nutt, and Juglans L [4]. This lineage involves species such as Juglans australis Grisebach in Argentina, J. neotropica Diels in Ecuador, Colombia, and Peru, and J. boliviana (C. DC.) Dode in Bolivia [5,6].
In Ecuador, Juglans neotropica Diels, locally known as tocte or walnut, is highly adapted to the inter-Andean valley and the eastern and western mountain ranges, growing at elevations ranging from 800 to 2800 m above sea level [4,7,8,9]. Juglans neotropica Diels holds substantial socioeconomic significance and it is valued for its high-quality timber and strong market demand [10,11,12]. In addition to its timber, fruits are used in confectionery [13], and leaves are recognized for medicinal properties [14,15,16]. Juglans neotropica Diels also plays an integral role in ecological [9,17] and economic activities, such as soil reclamation in areas degraded by mining, livestock, or erosion, which enhances secondary forests and improves urban landscapes [18]. Furthermore, it provides shade in pastures and temperature regulations in coffee plantations, protects water reservoirs, sustains wildlife habitats, and acts as a source of juglone—a compound with ichthyotoxic and fungistatic properties [19,20]. J. neotropica Diels also has the potential for producing bioactive substances used in the textile agro-industry as a natural dye source [21], as well as for medicinal and food applications due to the valuable plant-based proteins [2]. Juglans neotropica Diels offers critical environmental services in the ecological restoration of degraded soils and helps maintain air and water quality within agroforestry systems, which also improves habitats and food sources for wildlife [22]. Thus, this species plays a pivotal role in adapting to climate change.
As of today, 52% of Juglans neotropica Diels populations have been overexploited due to unregulated logging practices, severely impacting their natural regeneration [10]. As a result, the species is now classified as endangered in the Andean region [23,24]. However, the literature on the genetic diversity of J. neotropica Diels within its distribution range remains scarce, worsening the challenges in conservation and propagation efforts. Nursery of the species requires prolonged periods to produce viable plants suitable for transplantation [25]. Few studies have addressed the evolutionary history, botanical characteristics, ecological roles, uses of J. neotropica Diels, and proposed strategies for its propagation and sustainable management [2]. These findings highlight its potential in maintaining biodiversity and ecological restoration, particularly in mitigating the impacts of climate change-induced soil degradation. Conversely, research on J. pyriformis Krug has primarily focused on taxonomy, distribution, phenology, productivity, biogeography, and the potential use of its seeds as biofuel [26,27]. In Europe, J. regia L. has received significant attention due to its economic importance and the value of its wood and fruits [11,12,28,29].
In Ecuador, research on the genetic diversity of J. neotropica Diels remains significantly scarce. However, the availability of quantitative data regarding growth, development, and yield in J. neotropica Diels plantations remains restricted [2], limiting informed silvicultural management decisions crucial for optimizing timber production. Forest management such as thinning aims to enhance stand structure and maximize timber yield in final harvests. Thus, evaluating the dasometric traits of J. neotropica Diels trees is essential. This study focuses on the Lower Montano thorny steppe bioclimatic conditions in Tunshi, Ecuador, where seeds from central Ecuadorian provinces are being studied in a genetic trial at the Tunshi Experimental Station of the Higher Educational Polytechnic University of Chimborazo (ESPOCH).
Genetic improvement plays a crucial role in the sustainable management of forest resources [30,31,32,33,34,35], enhancing the production quality and quantity of seeds and wood [36]. Significant genetic studies have been conducted to evaluate progenies from carefully selected mother trees with superior traits, followed by the establishment of sexual or vegetative propagation orchards [32,37]. However, despite the substantial economic and environmental benefits of genetic improvement, there remains a lack of comprehensive data on the genetic diversity of many key species [38,39], including Juglans neotropica Diels. Addressing this gap is essential for future conservation efforts and improving forest health productivity and agro-ecosystems, especially in the Andean region [25].
The genetic diversity within the population of Juglans neotropica Diels as a gene pool is a result of competing environmental variations and promoting species adaptation and resilience [30].
In this context, our goal is to evaluate the dasometric traits of J. neotropica Diels trees under these bioclimatic conditions. More specifically, we aim to identify the best-performing progenies and individual trees suited to these environmental conditions and to establish certified plant orchards to facilitate further propagation of the selected progenies.
2. Materials and Methods
2.1. Study Area
This research was conducted in the genetic trial of Juglans neotropica Diels established at the Tunshi Experimental Station located in the Licto parish, Riobamba canton, Chimborazo province (Figure 1). The geographic coordinates are 01°44′44.4″ S and 78°37′42.8″ W, with an elevation of 2711 m above sea level. The life zone is classified as Lower Montane Thorny Steep (eeMB) [40].
Figure 1.
Study area in central Sierra in Ecuador where the genetic trial of Juglans neotropica Diels took place.
2.2. Data Collection
2.2.1. Plant Collection
A total of 439 trees, grouped into 46 progenies and aged 4.7 years old, were systematically evaluated. Data acquisition of these trees was carried out under the Research Network on Conservation, Domestication and Genetic Improvement of Juglans neotropica Diels project, which has been conducted by the Natural Resources Faculty since April 2018 at the Tunshi Experimental Station. All individuals are from open-pollinated seeds.
The experimental trial was established using a plant frame system of 4 m × 4 m (625 trees/ha), employing a randomized complete block design (RCBD) with unbalanced data. Each repetition featured one tree per family, serving as the experimental unit within the single-tree plot configuration. This research adopts a quasi-experimental approach [41] to evaluate the dasometric traits of individuals belonging to selected genetic progenies. These progenies were collected from designated J. neotropica Diels mother trees, and their relevant ID data are documented in Table 1.
Table 1.
Provenance, progeny, and geographical location of seed collection sites of J. neotropica Diels after collecting different numbers of tree samples of five provenances.
2.2.2. Dasometric Characteristics
A set of dasometric traits for each individual and family/progeny was recorded.
Total plant height was measured using a telescopic ruler graduated in centimeters, from ground level to the terminal bud of the tree [42].
Diameter at breast height (DBH) was measured by marking a horizontal line on each tree with paint at 1.3 m from ground level and the diameter was measured using a diameter tape on a centimeter scale [43].
Living crown height was determined with a telescopic ruler, recording from ground level to the insertion point of the first branch [42].
In addition, dasometric indicators were estimated such as the mean annual increment (MAI) for total height in meters, basal area in quadratic meters, and quadratic diameter (Dg) proposed by [44]. Here, (), where
Dg = root mean square diameter (m);
G = basal area (m2);
N = number of trees on the plot;
π = constant equal to 3.141.
2.2.3. Qualitative Characteristics
The most significant biotic agent issues were identified and recorded using a documentary measurement tool through a dichotomous variable denoting presence (1) or absence (0); log quality was evaluated through a polytomous variable indicating straightness (1), slight curvature (2), or more than one curvature (3); and apical dominance was observed and documented through a documentary measurement instrument, utilizing a polytomous variable representing complete dominance of the initial axis (1), growth in two branches (2), or complete dominance on side branches (3) [43].
2.3. Statistical Analysis
Progenies of trees with complete information on all dasometric characteristics and qualitative characteristics of interest resulted in a sample size of n = 439 trees. We used descriptive analysis and single-criterion analysis of variance (ANOVA) under a randomized complete block design with unbalanced data. Statistical tests were performed with a significance level of α = 0.05. Normality and homogeneity of variances were checked using the Shapiro–Wilk and Levene tests. The Duncan test at 5% was used to separate means.
To achieve a comprehensive analysis and enhance data discrimination, a multivariate approach was adopted, employing the Biplot analysis [45] under principal coordinate analysis for mixed data types with Gower’s similarity coefficient method alongside clustering analysis using the principal coordinate data linkage Ward [46].
The Biplot analysis technique facilitates the simultaneous graphical representation of rows and columns within a matrix, effectively summarizing information from a rank, r, matrix into a lower-dimensional space of dimension, q (where q < r). The Biplot that maximizes the absorption of information, in terms of variability, from a rank r matrix X is derived from the matrix of rank q, representing the low-rank approximation of X. This is obtained through the singular value decomposition of X [44], expressed as follows:
where U(q) is the matrix whose columns contain the first q eigenvectors of XXT, D(q)λ is the diagonal matrix with the first q singular values of X, and V(q) is the matrix containing the first q eigenvectors of XTX. This expression also corresponds to the singular value decomposition of X[q]. There are two classic options to achieve better quality representation of either the columns (GH) or the rows (JK).
Galindo [45] and Galindo [46] propose taking A = U(q)D(q)λ and B = D(q)λ. Thus, the Biplot that was constructed was called HJ-Biplot by its author, respecting the logic of the names proposed by Galindo [45]. Its main characteristic is that both the rows and the columns reach the highest quality of representation. Notably, the internal product of vector markers does not reproduce the original data from the original matrix, even when retaining the q dimensions. However, this discrepancy does not pose an issue as the primary objective typically revolves around obtaining a simultaneous approximation of rows and columns in which both are properly represented. The multivariate analysis employed HJ-Biplot (Principal Component Analysis) and Hierarchical Cluster with the Biplot Coordinate linkage method Ward for mixed data. The analysis was primarily conducted using R Statistical Software [47].
3. Results
3.1. Dasometric Characteristics
Data on the provenances and progenies conformed to a normal distribution, and the null hypothesis of heterogeneity of variance for all seven dasometric characteristics was rejected, allowing the analysis of variance (ANOVA) to proceed (Table 2). There were no significant differences among provenances or progenies except for MAI (p = 0.01) and volume (p = 0.04) among progenies.
Table 2.
Normality and homogeneity tests and analyses of variance by provenance and progeny for six dasometric characteristics of Juglans neotropica Diels.
According to the Duncan test for four dasometric characteristics of progenies, the TJ20 family from Tungurahua provenance presented the best averages, with 85 cm in MAI height, 420 cm in total height, 2.7 (m2/ha) in basal area, and 8.5 m3/ha in volume. In contrast, the ChL19 and BJ42 progenies, which belong to the Chimborazo and Bolívar provenances, had the lowest averages (Table 3). Measurements of central tendency and dispersion of progenies for the dasometric characteristics are shown in Table 4. In Table 5, the average of six dasometric characteristics for five provenances is presented. Tungurahua, Chimborazo, and Bolívar provenances have volumes greater than 4 m3/ha.
Table 3.
Mean value of MAI, total height, basal area, and volume for progenies of Juglans neotropica Diels.
Table 4.
Measurements of central tendency and dispersion of the dasometric characteristics of J. neotropica Diels progenies evaluated in the ESPOCH genetic trail.
Table 5.
The mean ± standard deviation (SD) of dasometric characteristics of genetic progenies of Juglans neotropica Diels.
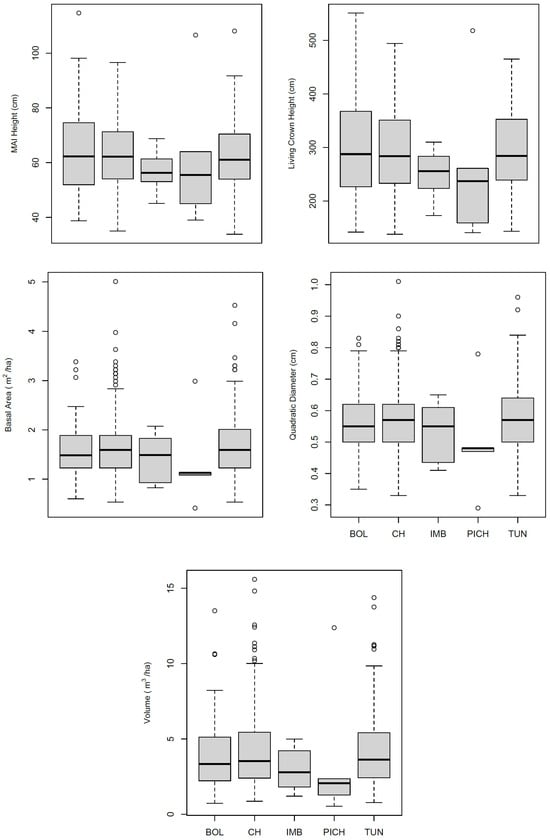
The highest values for the seven dasometric characteristics are found in trees from the Tungurahua, Chimborazo, and Bolívar provenances. In contrast, the lowest values were found in the Imbabura and Pichincha provenances (Figure 2).

Figure 2.
Box-plot representation of seven dasometric characteristics by provenance (BOL = Bolivar; CH = Chimborazo; IMB = Imbabura; PICH = Pichincha; and TUN = Tungurahua).
3.2. Biotic Agents
Some of the trees of the J. neotropica Diels progenies had holes in their stems, a symptom observed both at the basal part and terminal parts of the stem (Figure 3). This issue causes the tree to stop growing and eventually die. As a survival strategy, the trees tend to sprout from the lower part of the damaged area.
Figure 3.
Image of problematic biotic agents affecting individuals of the Juglans neotropica Diels progeny. (a) J. neotropica Diels tree with severe damage. (b) J. neotropica Diels tree with slight damage. (c) J. neotropica Diels tree without damage.
Individuals that presented biotic problems were labeled as trees with severe damage, accounting for 19% (Figure 3a), and were not considered part of the analysis of the dasometric characteristics. In total, 25% of the trees showed slight problems (the presence of insect damage in the tree terminal part on the first log) (Figure 3b), while 56% of the trees did not exhibit any symptoms of the biotic agents (Figure 3c). The Bolívar, Chimborazo, and Tungurahua provenances had around 45% of individuals who were unaffected by biotic agents, whereas the Imbabura and Pichincha provenances had 38% and 20%, respectively, of individuals who were unaffected by biotic agents.
Regarding log quality, the Bolívar, Chimborazo, and Tungurahua provenances had around 30% of their individuals with high-quality or straight logs, 35% of individuals had logs with a slight curvature, and 35% had poor-quality logs. In contrast, the Imbabura provenance had 10% of individuals with quality logs, 70% of trees with logs showing slight curvature, and 20% of trees with logs having more than one curvature (Figure 4). The Bolívar, Chimborazo, and Tungurahua provenances present around 40% of the trees with complete dominance in the main axis, a quality required for producing high-quality wood, while 60% of the trees showed dominance in lateral branches. In contrast, the Imbabura and Pichincha provenances had only about 20% of their studied population displaying complete dominance in the main axis.
Figure 4.
Behavior of categorical variables (biotic agents, log quality, and apical dominance) in J. neotropica by provenance.
3.3. Qualitative and Quantitative Characteristics
The Hj-Biplot analysis explains 83.1% of the total variance, corresponding to 68.2% for the first axis and 14.9% for the second axis (Figure 5).
Figure 5.
HJ-Biplot grouping of individuals of the J. neotropica Diels progenies from Chimborazo, Tungurahua, Bolívar, Pichincha, and Imbabura provenances, and their quantitative and qualitative characteristics.
Cross-Validation
According to this procedure, individuals were classified into two clusters or groups. The first group (red color) consisted of individuals with the best values of the dasometric characteristics (DBH, total height, mean annual increment, living crown height, basal area, quadratic diameter, and wood volume) with the standout trees being provenance Tungurahua, progeny J18 tree 2 (TJ182); provenance Chimborazo, progeny L23 tree 14 (ChL2314); provenance Chimborazo, progeny L14 tree 2 (ChL142); provenance Tungurahua, progeny J13 tree 10 (TJ1310); and provenance Bolivar, progeny SM tree 14 (BSM14). Individuals with lower dasometric characteristics were placed in the second group (blue color).
Similar results were obtained when a heat map was generated for trees exceeding the general average. The top five trees in descending order starting with the best were TJ182, ChL2314, ChL142, TJ1310, and BSM14, based on volume, apical dominance, and tolerance to biotic agents (Figure 6).
Figure 6.
Heat map of the best trees by provenance considering six dasometric characteristics and three qualitative variables.
4. Discussion
The dasometric characteristics of the evaluated progenies, particularly of the J. neotropica Diels species, have been little investigated. The variation coefficients show high variability among individuals of the progenies; similar data were reported by [26] in a dasometric characterization of Juglans pyriformis Kung. The diameter is an essential measurement to determine the growth of a tree to reach desirable dimensions [18,48].
The diameter at breast height (DBH) of the present investigation (5.70 cm) is similar to the average reported by [49] (6.00 cm) and [50] for J. neotropica Diels. This trend probably occurs because the genetic management carried out during the trial of both the present investigation and [49,50] were very similar in the management and care of the plantation. In a study carried out on J. regia L., the authors of [51] indicate that they found minimal diameters given their age, which has also been reported in other studies where the 7-year-old walnut logs had diameters between 8 and 10 cm [52].
Similar trends have been reported by several researchers studying forest species evaluated at juvenile stages. Among them, the authors of [53,54] indicate that the responses of progenies and populations in dasometric variables at an early age tend to show the minimum effect of the environment. For instance, the authors of [55,56], in studies conducted on Balfourodendron riedelianum Engl., and the authors of [57,58,59], in studies of progeny provenance of other tropical tree species, state that these effects become more evident at older ages. This emphasizes the importance of conducting consecutive analyses until the species reaches maturity. For example, Juglans nigra L. can reach a DBH over 50 cm at approximately 25 years [60], and Juglans cinerea L. can reach 40 DBH in the same period [61], in both cases at ages older than those of the study that concerns us, which provides insight into the development of J. neotropica Diels.
The mean annual average increment (MAI) in height of the present investigation (62.8 cm) is similar to that reported by [50] (62.7 cm) and higher than the MAI values in height reported by [62] (55 cm), and [63] (18 cm). This trend probably occurs because the evaluated individuals came from selected mothers with superior morphological characteristics, in contrast to the plants in the trials conducted by the aforementioned authors, in which the seeds are from an unknown source origin. However, several researchers cited in [2] state that height growth rates are 14 cm/year and 200 cm/year. These rates are higher in areas where the species grows naturally under agroforestry systems and in areas with soils degraded by mining or intensive agriculture under silvicultural management.
When conventional descriptive statistical analysis was used, intrinsic numerical differences in the dasometric characteristics of the Junglas neotropica Diels were observed only between progenies, but not among provenances. Using multivariate analysis techniques, two clearly differentiated clusters formed. Cluster 1 includes trees with the highest or superior values. It should be noted that trees of the TJ20 family, which stood out in the descriptive analysis, also performed well in the multivariate analysis. This indicates that the trees belonging to the progenies TJ182, ChL2314, ChL142, TJ1310, and BSM14 have superior characteristics that should be considered in future forest genetic improvement work.
It is important to mention that some studies can contribute to a better understanding of accession characterization, such as the one on J. neotropica Diels in Bhutan, which analyzed the anatomical characteristics of vessels and rings. This allowed for an evaluation of hydraulic adjustment during drought sensitivity, which can affect its presence in different forest patches [64]. A similar study conducted in Bolivia on dendrochronology showed that Juglans boliviana (C. DC.) Dode has the potential to record past climate variability, providing insights into how forest patches respond to anthropogenic activity [65].
Several researchers have reported similar findings to this study in the literature, stating that tropical tree populations tend to show higher levels of genetic variability among individuals within populations than between them [66,67,68]. This trend probably occurs because interbreeding species tend to exhibit high levels of genetic diversity within populations and relatively low levels of divergence between populations [69]. If this pattern is maintained between provenances, the long-term improvement strategy should consider conducting new collections in other provenances to capture the greatest genetic richness that may exist between regions [70], as well as evaluate these materials in other potential environments for the establishment of J. neotropica Diels plantations.
This assertion is consistent with a study where, when evaluating accessions of Juglans regia L., a diversity of morphological and phenological characteristics could be observed that make them have great potential for use in breeding programs [71], which occurs especially in regions that correspond to the places of origin of the species, with varying levels of diversity [71,72]; however, analogous to the diversity of J neotropica Diels in South America [7], particularly in Ecuador, there are not many forest fragments of this species [18].
One way of understanding the diversity of the genus Juglans is from the study by [73], who found that J. sigillata Dode is closely related to J. regia L. according to SSR data (markers used to determine introgression). This methodology can contribute to the characterization of J. neotropica Diels in Ecuador, which, due to its variable climatic characteristics, may support the species throughout Ecuador’s entropized ecosystems [74], particularly in three ecosystems in the south: Evergreen Montane Forest, Evergreen Seasonal Lower Montane Forest, and Semi-Deciduous Foot Montane Forest [72]. Adding the dasometric information from this study would further enrich our understanding of the species diversity.
Beyond the important and rich information provided by this study for conservation and initiating a breeding program, some characteristics detected in J. regia L., such as grain weight, grain percentage, and grain color, should be considered for research [75].
5. Conclusions
Conventional statistical analyses showed similar patterns in all the quantitative variables evaluated regarding provenance, but not in progeny behavior. The HJ-Biplot analysis categorized the individuals into two groups, superiors and surveillance, allowing for the identification of individuals with greater potential to be considered as parent trees in subsequent forest genetic improvement programs.
The most important sanitary issues identified in the individuals of progenies from the studied provenances were likely caused by the Curculionidae family, with 19% of individuals presenting severe problems that affected growth height and diameter at breast height. A total of 25% of individuals showed slight damage, and 56% exhibited no issues. This trend may be related to genetic variability.
The trees, with codes TJ182, ChL2314, ChL142, TJ1310, and BSM14, of J. neotropica Diels from the provinces of Tungurahua, Chimborazo, and Bolívar excelled in the evaluated dasometric characteristics. They represent the top five progenies with superior trees identified in this genetic study, serving as candidates for future genetic improvement programs.
Author Contributions
Conceptualization and methodology, R.A.R.-V.; formal analysis and data curation, R.A.R.-V., M.G.-N. and F.R.-C.; investigation, R.A.R.-V. and M.G.-M.; writing—original draft preparation, R.A.R.-V., F.R.-C. and M.G.-N.; writing—review and editing, R.V.-V. and M.G.-M. All authors have read and agreed to the published version of the manuscript.
Funding
This research received no external funding.
Data Availability Statement
Data are available upon request.
Acknowledgments
We thank the current authorities of the Escuela Superior Politécnica de Chimborazo-Ecuador for trusting the research team of the Juglans research project; Leonardo Gallo from INTA-Argentina for his contribution to the conceptualization of the Juglans genetic trial; and Antonio Fierro, Marlon Avila, and Paul Villegas for help with data collection. Finally, we thank Benjamin Hudock, an American Peace Corps Volunteer in Ecuador, for proofreading the English language version of the manuscript in the correction process sent by the reviewers.
Conflicts of Interest
The authors declare no conflicts of interest.
References
- Nieto, V.M.; Rodríguez, J. Juglandaceae (Walnut Family) Jugans andina Triana y Cortés, Juglans colombiensis Dode, Juglans honorei Dode Cedro Negro, Cedro Nogal, Nogal, Nogal Bogotano; Corporación Nacional de Investigación of Forestal: Bogota, Colombia, 2010; pp. 528–529. [Google Scholar]
- Toro, E.; Roldán, I. Estado del arte, propagación y conservación de Juglans neotropica Diels., en zonas andinas. Madera Bosques 2018, 24, 2411560. [Google Scholar] [CrossRef]
- Ramírez, F. Nut length–weight relationships in the endangered Nogal (Juglans neotropica Diels). Genet. Resour. Crop Evol. 2022, 69, 1731–1736. [Google Scholar] [CrossRef]
- Azas, R.D. Evaluación del Efecto de los Tratamientos Pregerminativos en Semillas de Nogal (Juglans neotropica Diels) en el Recinto Pumin Provincia de Bolívar. Bachelor’s Thesis, Universidad de las Fuerzas Armadas, Santo Domingo de los Tsáchilas, Ecuador, 2016. [Google Scholar]
- Mendez, J.M. Manejo de Semillas de 100 Especies Forestales de América Latina; Serie Técnica, Manual Técnico/CATIE No. 41; CATIE: Turrialba, Costa Rica, 2000; p. 209. Available online: http://orton.catie.ac.cr/REPDOC/A4588E/A4588E.PDF (accessed on 5 April 2023).
- Villota-Guerrón, E.L.; Rosero-Chamorro, E.G.; Farias-Mejía, A.A.; Valencia-Valenzuela, X.G.; Carvajal-Benavides, J.G.; Benalcázar-Villalba, S.M. Propiedades Tecnológicas de la Madera de Nogal Juglans neotropica Diels, en la Provincia Carchi Ecuador. Cienc. Lat. 2024, 8, 1543–1573. [Google Scholar] [CrossRef]
- Tropicos. Juglans neotropica Diels. Missouri Botanical Garden. 2017. Available online: https://www.tropicos.org/Name/16700014 (accessed on 16 May 2023).
- Vásquez, R.; Rojas, R.; Monteagudo, A.L.; Valenzuela, L.; Huamantupa, I. Catálogo de los Árboles del Perú; Número Especial; Revista Q’euña: Cusco, Perú, 2018; Volume 9, Available online: https://www.researchgate.net/publication/326096419 (accessed on 12 February 2024).
- Dueñas, D.; Guevara, O.; Santacruz, S. Valoración económica de los bienes y servicios ecosistémicos del bosque protector Jatumpamba-Jorupe. Rev. Geoespacial 2022, 19, 12–32. [Google Scholar]
- Gómez, M.L.; Toro, J.L.; Piedrahita, E. Propagación y Conservación de Especies Arbóreas Nativas; Corporación Autónoma Regional del Centro de Antioquia—CORANTIOQUIA: Medellín, Colombia, 2013; p. 364. [Google Scholar]
- Hassani, D.; Sarikhani, S.; Dastjerdi, R.; Mahmoudi, R.; Soleimani, A.; Vahdati, K. Situation and recent trends on cultivation and breeding of Persian walnut in Iran. Sci. Hortic. 2020, 270, 109369. [Google Scholar] [CrossRef]
- Vahdati, K.; Sarikhani, S.; Arab, M.M.; Leslie, C.A.; Dandekar, A.M.; Aletà, N.; Bielsa, B.; Gradziel, T.M.; Montesinos, Á.; Rubio-Cabetas, M.J.; et al. Advances in Rootstock Breeding of Nut Trees: Objectives and Strategies. Plants 2021, 10, 2234. [Google Scholar] [CrossRef]
- Valverde, A. Estudio y análisis del fruto seco Tocte (Juglans neotrópica) y su aplicación en la pastelería. Bachelor’s Thesis, Universidad de Guayaquil, Guayaquil, Ecuador, 2016. [Google Scholar]
- Azzurra, S.; Lorenza, M.; Llorent-Martínez, E.J.; Gokhan, Z.; Onur, B.; Rumeysa, D.; Arzu, A.; Omotayo, A.; Foluso, O.O.; Adejoke, Y.O.; et al. Assessment of the in-vitro toxicity and in-vivo therapeutic capabilities of Juglans regia on human prostate cancer and prostatic hyperplasia in rats. Food. Biosci. 2024, 57, 103539. [Google Scholar] [CrossRef]
- Mates, L.; Rusu, M.E.; Popa, D.S. Phytochemicals and biological activities of walnut septum: A systematic review. Antioxidants 2023, 12, 604. [Google Scholar] [CrossRef]
- Jang, Y.G.; Ko, E.B.; Choi, K.C. Gallic acid, a phenolic acid, hinders the progression of prostate cancer by inhibition of histone deacetylase 1 and 2 expression. J. Nutr. Biochem. 2020, 84, 108444. [Google Scholar] [CrossRef]
- Akpamou, G.K.; Adjossou, K.; Egbelou, H.; Akoete, K.K.; Hounkpati, K.; Kokou, K. Flora, Structure and Carbon Sequestration of Vegetation in the Southeast of the Mono Biosphere Reserve in Togo Amidst Environmental Challenges. Open J. For. 2024, 14, 155–181. [Google Scholar] [CrossRef]
- Palacios-Herrera, B.; Pereira-Lorenzo, S.; Pucha-Cofrep, D. Natural and Artificial Occurrence, Structure, and Abundance of Juglans neotropica Diels in Southern Ecuador. Agronomy 2023, 13, 2531. [Google Scholar] [CrossRef]
- Chusquillo, L.A. Diseño de un Proceso para la Obtención de Compuestos Fenólicos del Pericarpio de la Semilla del Nogal (Juglans netropica Diels) y Extracción del Aceite de la Nuez. Bachelor’s Thesis, Escuela Politécnica Nacional, Quito, Ecuador, 2014. [Google Scholar]
- Hurtado, E. Evaluación de la Actividad Gastroprotectora del Extracto Hidroalcohólico de las Hojas de Juglans neotropica Diels “Nogal Peruano”. Bachelor’s Thesis, Universidad Nacional Mayor de San Marcos, Lima, Perú, 2014. [Google Scholar]
- Masías, K. Caracterización de las Propiedades Tintóreas del Extracto de Nogal (Juglans neotropica Diels) Proveniente de la Cuenca Alta del Río Zaña. Bachelor’s Thesis, Universidad Nacional Agraria La Molina, Lima, Perú, 2007. [Google Scholar]
- Álvarez, H.; Vilema, G.; Gómez, C.; García, J.C. Estudio fenológico de Juglans neotropica Diels. En Imbabura—Ecuador. Bosques Latid. Cero 2023, 13, 23–33. [Google Scholar] [CrossRef]
- Gallagher, G. The IUCN Red List of Threatened Species. IUCN Red List of Threatened Species. 2018. Available online: https://www.iucnredlist.org/e (accessed on 12 February 2024).
- Ministerio de Ambiente y Desarrollo Sostenible. Lista de Especies Silvestres Amenazadas de la Diversidad Biológica Continental y Marino-Costera de Colombia; Resolución 1912 de 2017 Expedida por el Ministerio de Ambiente y Desarrollo Sostenible, v2.5; Dataset/Checklist; Ministerio de Ambiente y Desarrollo Sostenible: Bogota, Colombia, 2020. [CrossRef]
- Ramos-Veintimilla, R.A.; Murillo-Gamboa, O.; Gallo, L.A. Potencial de mejoramiento genético en Juglans neotropica Diels, a los 10 meses de edad en Tunshi, Chimborazo. In Proceedings of the VI Congreso Internacional De La Ciencia, Tecnología, Emprendimiento e Innovación, Riobamba, Ecuador, 24–28 June 2019; pp. 562–575. [Google Scholar] [CrossRef]
- Acosta-Hernández, C.C.; Luna-Rodríguez, M.; Noa-Carrazana, J.C.; Galindo-González, J.; Vázquez-Torres, S.M.; Morales-Romero, Z.; Iglesias-Andreu, L.G. Caracterización morfológica y dasométrica de la especie amenazada Juglans pyriformis Liebm. Rev. Chapingo 2011, 17, 59–67. [Google Scholar] [CrossRef]
- Martínez-Pérez, D.; Partida-Sedas, J.G.; Pérez-Portilla, E. Especies vegetales para biocombustibles en sistemas agrícolas diversificados en Veracruz, México. Rev. Bras. Agroecol. 2009, 4, 3438–4342. [Google Scholar]
- Aleta, N.; Ninot, A.; Voltas, J. Caracterización del comportamiento agroforestal de doce genotipos del nogal (Juglans sp) en dos localidades de Cataluña. Investigación Agraria. Sist. Recur. For. 2003, 12, 39–50. [Google Scholar]
- Fady, B.; Ducci, F.; Aleta, N.; Becquey, J.; Díaz-Vázquez, R.; Fernández-Llópez, F.; Jay-Allemand, C.; Lefe’vre, F.; Ninot, A.; Panetsos, K.; et al. Walnut demonstrates strong genetic variability for adaptive and wood quality traits in a network of juvenile field tests across Europe. Kluwer Academic Publishers. New For. 2003, 25, 211–225. [Google Scholar] [CrossRef]
- Alizoti, P.; Bastien, J.C.; Chakraborty, D.; Klisz, M.M.; Kroon, J.; Neophytou, C.; Schueler, S.; Loo, M.V.; Westergren, M.; Konnert, M.; et al. Non-Native Forest Tree Species in Europe: The Question of Seed Origin in Afforestation. Forests 2022, 13, 273. Available online: https://www.researchgate.net/publication/358435118_Non-Native_Forest_Tree_Species_in_Europe_The_Question_of_Seed_Origin_in_Afforestation#fullTextFileContent (accessed on 10 March 2024). [CrossRef]
- Fady, B.; Aravanopoulos, F.; Benavides, R.; González-Martínez, S.; Grivet, D.; Lascoux, M.; Lindner, M.; Rellstab, C.; Valladares, F.; Vinceti, B. Genetics to the rescue: Managing forests sustainably in a changing world. Tree Genet. Genomes 2020, 16, 80. [Google Scholar] [CrossRef]
- López, O. Estudios de Economía Forestal en el Marco de la Misión de Crecimiento Verde en Colombia; Resumen Ejecutivo; INFOANDINA, Global Green Growth Institute, Gobierno de Colombia: Bogota, Colombia, 2018; pp. 1–38. [Google Scholar]
- Murillo, O.; Espitia, M.; Castillo, C. Fuentes Semilleras para la Producción Forestal, 1st ed.; Editorial Domar, S.A.S.: Bogota, Colombia, 2012; p. 184. [Google Scholar]
- Murillo, O. and Guevara, V. Estado de los Recursos Genéticos Forestales de Costa Rica; MINAET/FAO/CONAGEBIO: San Jose, Costa Rica, 2013; p. 143. [Google Scholar]
- Resende, M.V. Software Selegen-REML/BLUP: A useful tool for plant breeding. Crop Breed. Appl. Biotechnol. 2016, 16, 330–339. [Google Scholar] [CrossRef]
- Yuan, H.; Niu, S.; Zhou, X.; Du, Q.; Li, Y.; Li, W. Evaluation of seed production in a first-generation seed orchard of Chinese pine (Pinus tabuliformis). J. For. Res. 2016, 27, 1003–1008. [Google Scholar] [CrossRef]
- Stewart, J.F.; Will, R.; Crane, B.S.; Nelson, C.D. Occurrence of shortleaf x loblolly pine hybrids in shortleaf pine orchards: Implications for ecosystem restoration. For. Sci. 2017, 63, 225–231. [Google Scholar] [CrossRef]
- Montagna, T.; Silva, J.; Bernardi, A.; Steiner, F.; Buzzi, V.; Busarello Lauterjung, M.; Mantovani, A.; Reis, M. Landscape Genetics and Genetic Conservation of Two Keystone Species from Ombrophilous Dense Forest: Euterpe edulis and Ocotea catharinensis. For. Sci. 2018, 64, 618–630. [Google Scholar] [CrossRef]
- Teixeira, J.C.; Huber, C.D. The inflated significance of neutral genetic diversity in conservation genetics. Proc. Natl. Acad. Sci. USA 2021, 118, e2015096118. [Google Scholar] [CrossRef] [PubMed]
- Vera-Vélez, R.; Grijalva-Olmedo, J.; Ramos-Veintimilla, R.; Sigcha-Morales, F.; Limongi-Andrade, R. Respuesta de tres especies maderables de rápido crecimiento a diferentes bioclimas en Ecuador. Trop. Subtrop. Agroecosyst. 2024, 27, 1–10. [Google Scholar] [CrossRef]
- 96Fernández-García, P.; Vallejo-Seco, G.; Livacic-Rojas, P.; Tuero-Herrero, E. Validez Estructurada para una investigación cuasi-experimental de calidad. Se cumplen 50 años de la presentación en sociedad de los diseños cuasi-experimentales. Ann. Psicol. 2014, 30, 756–771. [Google Scholar] [CrossRef]
- Ladrach, W. Manejo Práctico de Plantaciones Forestales en el Trópico y Subtrópico; Editorial Tecnológica de Costa Rica: Cartago, Costa Rica, 2010. [Google Scholar]
- Flores, C.; López, J.; Valencia, S. Manual Técnico para el Establecimeineto de Ensayos de Procedencia y/o Progenie; Comisión Nacional Forestal, CONAFOR: Mexico, City, México, 2014. [Google Scholar]
- Hernández-Salas, J.; Aguirre-Calderón, O.; Alanís-Rodríguezm, E.; Jiménez-Pérez, J.; Treviño-Garza, E.; González-Tagle, M.; Luján-Álvarez, C.; Olivas-García, J.; Domínguez-Pereda, L. Dinámica del crecimiento de un bosque templado bajo manejo en el noroeste de México. Madera Bosques 2018, 24, 24211767. [Google Scholar] [CrossRef]
- Galindo, M.P. Contribuciones a la representación simultánea de datos multidimensionales. Bachelor’s Thesis, Universidad de Salamanca, Valencia, España, 1985. [Google Scholar]
- Galindo, M.P. Una alternativa de representación simultánea. HJ Biplot Qüestiió 1986, 10, 13–23. [Google Scholar]
- R Core Team. R: A Language and Environment for Statistical Computing; R Foundation for Statistical Computing: Vienna, Austria, 2020; Available online: https://www.r-project.org (accessed on 15 February 2024).
- Peterson, C.J.; Ribeiro, G.H.P.D.M.; Negrón-Juárez, R.; Marra, D.M.; Chambers, J.Q.; Higuchi, N.; Lima, A.; Cannon, J.B. Critical wind speeds suggest wind could be an important disturbance agent in Amazonian forests. Forestry 2019, 92, 444–459. [Google Scholar] [CrossRef]
- Cueva, A. Estimación del Turno Biológico de Corta para Juglans neotropica Diels) a Través de Métodos Dendrocronológicos en dos Ecosistemas Forestales Andinos de la Provincia de Loja. Bachelor’s Thesis, Universidad de Loja, Loja, Ecuador, 2018. [Google Scholar]
- Fierro, A. Caracterización Dasométrica de Familias de Junglans neotropica Diels Recolectadas en la Provincia de Tungurahua. Bachelor’s Thesis, Escuela Superior Politécnica de Chimborazo, Riobamba, Ecuador, 2023. [Google Scholar]
- Loewe, V.; Bozo, A.; Jaime, N. Evaluación de aprovechamiento y propuesta de clasificación de madera de desecho de nogal Común (Juglans regia). C. I. For. 2021, 27, 43–54. [Google Scholar] [CrossRef]
- Zanuttini, R.; Cremonini, C.; Brunetti, M.; Berti, S. Caratterizzazione del tondame di noce e ciliegio. Sherwood 2006, 120, 7–13. [Google Scholar]
- Resende, M.D.V. Genética Quantitativa e de Populações; Suprema, Visconde do Rio Branco, Viçosa: Minas Gerais, Brasil, 2015. [Google Scholar]
- Bonfim de Oliveira, S.D.; Gomes de Farias, S.G.; Resende, R.T.; Cardoso, C.R.; Bezerra e Silva, R.; Tambarussi, E.V. Genetic variability and ex situ conservation strategies for the neotropical tree Parkia platycephala Benth. Cienc. For. 2023, 33, e64058. [Google Scholar] [CrossRef]
- Kubota, T.Y.K.; Moraes, M.A.; Silva, E.C.B.; Pupin, S.; Aguiar, A.V.; Moraes, M.L.T.; Freitas, M.L.M.; Sato, A.S.; Machado, J.A.R.; Sebbenn, A.M. Genetic variability of silvicultural traits in opened-pollinated progenies of Balfourodendron riedelianum (Engler). Sci. For. 2015, 43, 407–415. [Google Scholar]
- Aguiar, B.I.; Freitas, M.L.M.; Tavares, Y.R.; Tambarussi, E.V.; Zanatto, B.; Gandara, F.B.; Paludeto, J.G.Z.; Silva, D.Y.B.O.; Silva, J.R.; Moraes, M.L.T.; et al. Genetic control of silvicultural traits in Balfourodendron riedelianum (ENGL.) ENGL. Silvae Genética 2019, 68, 73–78. [Google Scholar] [CrossRef]
- Murillo, O.; de Resende, M.D.V.; Badilla, Y.; Gamboa, J.P. Genotype by environment interaction and teak (Tectona grandis L.f.) selection in Costa Rica. Silvae Genet. 2019, 68, 116–121. [Google Scholar] [CrossRef]
- Hernández, W.; Badilla, Y.; Murillo, O. Selección temprana en ensayos clonales de melina (Gmelina arborea Robx.) en Costa Rica. Agron. Mesoam. 2021, 32, 93–106. [Google Scholar] [CrossRef]
- Rodríguez-Pérez, D.; Moya, R.; Murillo, O. Effect of stem height in variation of bark, heartwood, sapwood and physical properties of wood in Dipteryx panamensis Pittier in a provenance/progeny test. Cienc. Florestais 2022, 32, 141–162. [Google Scholar] [CrossRef]
- Čavlović, J.; Kremer, D.; Božić, M.; Teslak, K.; Vedriš, M.; Goršić, E. Stand growth models for more intensive management of Juglans nigra: A case study in Croatia. Scand. J. For. Res. 2010, 25, 138–147. [Google Scholar] [CrossRef]
- Michler, C.H.; Pijut, P.M.; Jacobs, D.F.; Meilan, R.; Woeste, K.E.; Ostry, M.E. Improving disease resistance of butternut (Juglans cinerea), a threatened fine hardwood: A case for single-tree selection through genetic improvement and deployment. Tree Physiol. 2006, 26, 121–128. [Google Scholar] [CrossRef][Green Version]
- Ortega, H. Estudio del Ataque de Gretchena garai Miller en Nogal (Juglans neotropica Diels) en Plantación Sola y Asociada con Cuatro Especies Forestales en dos Sitios. Bachelor’s Thesis, Universidad Técnica del Norte, Ibarra, Ecuador, 2007. [Google Scholar]
- Montenegro, M.; Pozo, E. Control Integrado del Barrenador (Gretchena sp) del Nogal (Juglans neotropica Diels). Bachelor’s Thesis, Universidad Técnica del Norte Ibarra, Ibarra, Ecuador, 1993. [Google Scholar]
- Dema, J.; Zaw, Z.; Fan, Z.X.; Panthi, S.; Fu, P.L. Sensibilidad climática específica del sitio de la anchura de los anillos de los árboles y las características anatómicas de los vasos de Juglans regia L. en Bután, Himalaya. Glob. Ecology. Conserv. 2024, 53, 03023. [Google Scholar]
- Oelkers, R.C.; Andreu-Hayles, L.; D’Arrigo, R.; Pacheco-Solana, A.; Rodriguez-Caton, M.; Fuentes, A.; Santos, G.M.; Tejedor, E.; Ferrero, M.E.; Maldonado, C. Aumento reciente del crecimiento de Juglans boliviana endémica de los Andes tropicales, Dendrochronologia 2023, 79, 126090. Dendrochronologia 2023, 79, 126090. [Google Scholar] [CrossRef]
- Rossi, F.S.; Rossi, A.A.B.; Dardengo, J.F.E.; Brauwers, L.R.; Silva, M.L.; Sebbenn, A.M. Genetic diversity in natural populations of Mauritia flexuosa (Arecaceae) using ISSR markers. Sci. For. 2014, 42, 631–639. [Google Scholar]
- León, N.; Murillo, O.; Badilla, Y.; Ávila, C.; Murillo, R. Expected genetic gain and genotype by environment interaction in almond (Dipteryx panamensis Pittier Rec. and Mell in Costa Rica. Silvae Genet. 2017, 66, 9–13. [Google Scholar] [CrossRef]
- Quesada, S.; Alfaro, C.; Murillo, O.; Badilla, Y.; Luján, R. Evaluación del comportamiento de clones de Tectona grandis L.f. en suelos vertisoles de la Península de Nicoya, Costa Rica. Kurú 2018, 16, 24–34. [Google Scholar] [CrossRef]
- Kageyama, P.Y.; Sebbenn, A.M.; Ribas, L.A.; Gandara, F.B.; Castellen, M.; Perecim, M.B.; Vencovsky, R. Diversidade genética em espécies arbóreas tropicais de diferentes estágios sucessionais por marcadores genéticos. Sci. For. 2003, 64, 93–107. [Google Scholar]
- Jiménez, A.; Jiménez, D.; Badilla, Y.; Murillo, O. Manejo de una unidad de conservación ex situ de Swietenia macrophylla de diecisiete años de edad ubicado en el CATIE, Turrialba, Costa Rica. In Proceedings of the XII. Simposio Internacional Manejo Sostenible de Recursos Forestales, Los Chiles, Costa Rica, 22–24 November 2023; Facultad Ciencias Forestales y Agropecuarias, Universidad Pinar del Río: Pinar del Rio, Cuba, 2023. [Google Scholar]
- Ye, L.; Shavvon, R.S.; Qi, H.; Wu, H.; Fan, P.; Shalizi, M.N.; Khurram, S.; Davletbek, M.; Turuspekov, Y.; Liu, J. Perspectivas Genéticas Poblacionales Sobre la conservación del nogal común (Juglans regia) en Asia Central. Plant Diversity. 2024. Available online: https://www.sciencedirect.com/science/article/pii/S2468265924000842 (accessed on 18 August 2024).
- Shahi, S.R.; Qi, H.L.; Mafakheri, M.; Fan, P.Z.; Wu, H.Y.; Bazdid-Vahdati, F.; Al-Shmgani, H.S.; Wang, Y.-H.; Liu, J. Unravelling the genetic diversity and population structure of common walnut in the Iranian Plateau. BMC Plant Biol. 2023, 23, 201. [Google Scholar]
- Yuan, X.Y.; Sun, Y.W.; Bai, X.R.; Dang, M.; Feng, X.J.; Zulfiqar, S.; Zhao, P. Population Structure, Genetic Diversity, and Gene Introgression of Two Closely Related Walnuts (Juglans regia and J. sigillata) in Southwestern China Revealed by EST-SSR Markers. Forests 2018, 9, 646. [Google Scholar] [CrossRef]
- Medina, J.; Quizhpe, W.; Déleg, J.; Gonzalez, K.; Aguirre, Z.; Aguirre, N.; Montaño, L.; Benítez, Á. Are Juglans neotropica Plantations Useful as a Refuge of Bryophytes Diversity in Tropical Areas? Life 2021, 11, 434. [Google Scholar] [CrossRef]
- Einollahi, F.; Khadivi, A. Morphological and pomological assessments of seedling-originated walnut (Juglans regia L.) trees to select the promising late-leafing genotypes. BMC Plant Biol. 2024, 24, 253. [Google Scholar] [CrossRef]
Disclaimer/Publisher’s Note: The statements, opinions and data contained in all publications are solely those of the individual author(s) and contributor(s) and not of MDPI and/or the editor(s). MDPI and/or the editor(s) disclaim responsibility for any injury to people or property resulting from any ideas, methods, instructions or products referred to in the content. |
© 2025 by the authors. Licensee MDPI, Basel, Switzerland. This article is an open access article distributed under the terms and conditions of the Creative Commons Attribution (CC BY) license (https://creativecommons.org/licenses/by/4.0/).