Abstract
Verticillium wilt of olive (VWO), caused by Verticillium dahliae (Vd), represents a significant threat to olive cultivation, particularly to the Moroccan cultivar “Picholine Marocaine”, by reducing yield, tree survival, and overall productivity. Current chemical and cultural control strategies provide limited efficacy, highlighting the need for alternative approaches such as biological control. This study investigated the potential of Rhizophagus irregularis (RI) as a biological agent to mitigate VWO over a 10-month period following V. dahliae inoculation. Disease severity, incidence, and defoliation rate as well as oxidant stress markers, antioxidant enzyme activities, and the phenolic pathway were evaluated in a greenhouse experiment. Our results showed that R. irregularis significantly reduced (p < 0.05) disease severity and incidence by about 31% and 26%, respectively, and decreased defoliation rates by 35% in RI-infected plants (RIV). The presence of R. irregularis triggered enhanced antioxidant enzyme activities (e.g., superoxide dismutase, catalase, and polyphenoloxidase), increased lignin deposition, elevated phenylalanine ammonia-lyase activity, and increased total phenol content in olive tissues. These biochemical and structural changes reduced lipid peroxidation, oxidative stress, and physiological damage, resulting in delayed disease progression. Enhanced accumulation of lignin and total phenolic compounds, particularly in aboveground tissues, was observed. This likely reinforced cell walls and enhanced resistance to pathogen infection. This study demonstrates that R. irregularis offers a promising biocontrol agent for combating soil-borne diseases in olives and other susceptible crops by mitigating VWO, boosting antioxidant defenses, and modulating the phenolic pathway with tissue-specific responses.
1. Introduction
The olive cultivar “Picholine Marocaine” constitutes more than 96% of the cultivated area in Morocco and has been proven to be highly susceptible to Verticillium wilt of olive (VWO), a devastating disease caused by the systemic soil-borne pathogen Verticillium dahliae Kleb [1,2,3]. This pathogen invades the root system, colonizes the vascular system, disrupts water and nutrient transport, and decreases photosynthetic rates, resulting in serious symptoms such as yellowing, wilting, chlorosis, necrosis, vascular browning, and eventual tree dieback [4,5,6]. Biological control using arbuscular mycorrhizal fungi (AMF) offers a cost-effective and eco-friendly approach to mitigate VWO. AMF, such as Rhizophagus irregularis, have been widely studied for their ability to enhance plant growth, improve nutrient uptake, and increase photosynthetic efficiency while also conferring resistance or tolerance to different biotic and abiotic stresses [7,8,9,10,11,12,13]. The protective effects of R. irregularis against V. dahliae have been documented in different crops, including olive seedlings [13,14,15], strawberry [16], cotton [17,18], lettuce [19], and tomato [11]. However, its potential for managing VWO and enhancing disease resistance in the “Picholine Marocaine” olive cultivar remains unexplored. Following pathogen infection, the pathogen produces mycotoxins that trigger plant defense responses, including oxidative stress characterized by the accumulation of reactive oxygen species (ROS), such as hydrogen peroxide (H2O2) and lipid peroxidation products like malondialdehyde (MDA) [20]. While ROS play a crucial role in plant defense signaling, excessive accumulation can lead to cellular damage and hypersensitive reactions [14]. AMF, including R. irregularis, modulate ROS levels by inducing scavenging enzymes such as superoxide dismutase (SOD), peroxidase (POD), and catalase (CAT), thereby maintaining cellular homeostasis [11,14,21] and reducing MDA levels [11,21]. Additionally, AMF have been shown to induce systemic resistance, known as AMF-induced resistance, by activating defense-related enzymes such as phenylalanine ammonia-lyase (PAL) and polyphenoloxidase (PPO). These enzymes contribute to the formation of structural barriers and biochemical changes in host plants, including lignin deposition, and phenolic compound biosynthesis, which strengthen plant cell walls and restrict pathogen entry [21,22,23,24,25,26]. The phenylpropanoid pathway, a crucial component of plant defenses, is also influenced by AMF [27,28]. In olive plants inoculated with the AMF consortium “Rhizolive consortium” (RCV), PAL and PPO activity is upregulated, leading to increased phenolic compound accumulation and lignin deposition, thereby enhancing resistance to V. dahliae infection [14,21,26,29,30]. Moreover, RCV-inoculated plants exhibited significantly improved root colonization, reduced VWO symptoms, and induced defense responses, such as increased lignin deposition and the production of phenolic compounds [3,21]. In this context, the present study aims to investigate the effects of R. irregularis on VWO in the “Picholine Marocaine” olive cultivar and assess the induction of defense mechanisms in different plant tissues (leaves, stems, and roots) under V. dahliae inoculation. Specifically, VWO reduction will be determined through disease severity, incidence, and defoliation rates, while defense mechanisms will be evaluated by measuring oxidative stress, antioxidant enzyme activities, and phenolic enzyme pathway responses 10 months after V. dahliae inoculation.
2. Materials and Methods
2.1. Plant Material
Six-month-old healthy olive seedlings of the “Picholine Marocaine” Haouzia cultivar, grown in plastic pots under nursery conditions, were transferred from plastic bags into 2 kg pots containing a soil and peat mix (1:1). Plants were placed in a glasshouse maintained at an average temperature of 25 ± 3 °C, with a light intensity of 330 m−2 s−1 and relative humidity of 60%. The pots were watered regularly with tap water. The substrate was sterilized at 180 °C for 3 h for soil and 1 h for peat.
2.2. Mycorrhizal and Pathogen Inoculum
A reference pure strain, R. irregularis (DAOM 197198, synonym of Glomus intraradices) was provided by the Laboratory of Research Institute of Plant Biology, Quebec University, Canada. The mycorrhizal inoculum was prepared from soil and maize roots cultured for three months, as described by Boutaj et al. [9]. The pathogen V. dahliae (OMV5 isolate, a defoliating pathotype) was obtained from the collection of the Laboratory of Biotechnology and Molecular Bioengineering, Cadi Ayyad University, Marrakesh, Morocco. The inoculum was prepared by punching out 5 mm mycelial disks of V. dahliae using a manual disk puncher and transferring them to potato sucrose agar medium. The pathogen was incubated for 15 days at 25 °C in the dark. Deionized water (10 mL) was added to each plate twice, and the inoculation density was adjusted to 107 conidia mL−1.
2.3. Planting and Infection of the Host Plant by V. dahliae
Inoculation with R. irregularis was performed at the beginning of the experiment using six-month-old olive plants. A block of 124 plants was inoculated with 50 g of mycorrhizal inoculum, prepared from soil and maize roots infected with the pure strain R. irregularis, while another block of non-inoculated plants was used as a control. After three months of pre-inoculation with R. irregularis, 62 plants (nine months old) from each block were inoculated with V. dahliae by stem puncture. Holes (5 cm deep) were drilled into the upper part of their main stem, and 10 mL of inoculum was injected into the hole using a test tube. Control olive plants were inoculated with 10 mL of sterile distilled water.
Four treatments were established; Block 1: non-inoculated olive plants (control); Block 2: olive plants inoculated with V. dahliae; Block 3: olive plants inoculated with R. irregularis; Block 4: olive plants pre-inoculated with R. irregularis followed by post-inoculated with V. dahliae. The plants were arranged in a complete randomized design and incubated in a glasshouse. They were sprayed with tap water twice weekly.
2.4. Disease Assessment
Symptoms of VWO were monitored weekly for ten months by calculating disease severity, disease incidence, and defoliation. Disease severity was determined as described by Boutaj et al. [6].
where n is the number of plants in each category.
A = Healthy plants or no symptoms (score 0).
B = Onset of yellowing, chlorosis, necrosis, dieback, no defoliation (score 1).
C = Average yellowing, chlorosis, necrosis, dieback or wilting (score 2).
D = Severe yellowing, chlorosis, necrosis, dieback or wilting (score 3).
E = Dead plants (score 4).
The disease incidence was calculated using the following formula:
The area under the disease progress curve (AUDPC) [31] and the final mean severity (FMS) were calculated at the end of the experiment using the following formula:
where t is the interval in days between observations, Si is the final mean severity, 4 is the maximum disease rating, and n is the number of observations.
2.5. Antioxidant Determination
2.5.1. Enzyme Extraction and Essays
The leaves, stems, and roots of olive plants from non-mycorrhizal and R. irregularis treatments (infected or not with V. dahliae) were immediately ground into fine powder in the presence of liquid nitrogen. A 100 mg aliquot was added to 2 mL potassium buffer (pH 7, 0.1 M) containing 1 mM of ethylenediaminetetraacetic acid (EDTA) and 1% polyvinyl polypyrrolidone (PVPP). The homogenate was centrifuged at 15,000× g and 4 °C for 20 min, and the supernatant was used to determine polyphenoloxidase (PPO), peroxidase (POD), catalase (CAT), and proteins [32]. Enzyme assays were conducted monthly for ten months post-inoculation, using five replicates per treatment.
2.5.2. Antioxidant Enzyme Determination
POD activity was determined as described by Tejera et al. [33]. The reaction was initiated by adding 500 µL of H2O2 (0.3%) to a mixture of 1 mL of gaïacol 20 mM, 2 mL of phosphate buffer (pH 6, 0.1 M), and 100 µL of enzyme extract. POD activity was determined at 470 nm, and the reaction proceeded for 3 min by measuring the formation of tetragaïacol.
PPO activity was measured following Hori et al. [34]. The assay mixture consisted of 2 mL of catechol 10 mM in phosphate buffer (pH 6, 0.1 M) and 100 µL of enzyme extract. PPO activity was determined at 410 nm, and the reaction proceeded for 3 min by monitoring the oxidation of catechol.
CAT activity was evaluated following the Aebi method [35]. The mixture consisted of 2 mL of H2O2 10 mM in phosphate buffer (pH 6, 0.1 M) and 200 µL of enzyme extract. CAT activity was determined at 240 nm by measuring the disappearance of H2O2.
SOD activity was measured according to Ahn et al. [36] using the nitro blue tetrazolium (NBT) method based on photoreduction of 50% NBT by superoxide radicals. The mixture contained 50 mM of phosphate buffer (pH 7.8), 15 mM of L-Methionine, 80 µM of NBT, 0.1 mM of EDTA, 0.1 mL of enzyme extract, and 2 µM of Riboflavine. The reaction tubes were placed in a chamber with fluorescent lamps (26 W) for 10 min, while control tubes were kept in the dark. Absorbance was measured at 560 nm. Results were expressed in U min−1 mg−1 of protein.
2.6. Oxidative Enzyme Determination
Hydrogen peroxide (H2O2) levels were measured following Junglee et al. [37], with some modifications. A 100 mg aliquot of frozen leaves, stems, and roots was ground in the presence of liquid nitrogen, followed by the addition of 2 mL of Trichloroacetic acid (TCA) at 0.1% (w/v). The homogenate was centrifuged at 4 °C for 10 min at 12,000× g. The assay mixture consisted of 0.25 mL of enzyme extract, 0.25 mL of phosphate buffer (10 mM, pH 7), and 0.5 mL of potassium iodique (1 M). The reaction was incubated for 20 min in the dark, and absorbance was measured at 350 nm.
Malonyldialdehyde (MDA) content was evaluated as reported by Hernández and Almansa [38]. A measure of 100 mg of frozen leaves, stems, and roots was homogenized in 2 mL of 0.1% (w/v) TCA, followed by centrifugation at 4 °C for 10 min at 15,000× g. A 0.5 mL aliquot of the supernatant was mixed with 1.5 mL of 0.5% (w/v) thiobarbituric acid in 20% (w/v) TCA. The reaction mixture was heated for 20 min at 95 °C and then rapidly cooled in an ice bath to stop the reaction. The mixture was centrifuged for 5 min at 10,000× g. Absorbance was measured at 532 and 600 nm to subtract non-specific turbidity. H2O2 and MDA contents were expressed as nmol g−1 fresh weight (FW).
2.7. Determination of Lignin Content
Lignin content was determined as reported by El Modafar and El Boustani [22], with slight modifications in accordance with Boutaj et al. [21]. Lignin solubilization occurred in an alkaline medium, followed by its reaction with thioglycolic acid. Aliquots of 200 mg from the leaves, stems, and roots were homogenized in 2 mL of ethanol and centrifuged for 10 min at 10,000× g; then, the pellet was dried overnight at 30 °C. The pellet (25 mg) was treated with 2.5 mL of HCl (2 M) and 0.5 mL of thioglycolic acid, heated at 100 °C for 8 h, cooled on ice, and centrifuged again. The supernatant was treated with 5 mL of NaOH (1 M) and stirred for 18 h at 25 °C. The thioglycolic acid–lignin complex was precipitated with 1 mL of HCl (12 M) for 4 h at 4 °C. The absorbance was measured at 280 nm against NaOH blank. Lignin content was expressed as mg of lignin–thioglycolic acid per g−1 of dry weight (DW).
2.8. Assays of Phenylalanine Ammonia-Lyase Activity
Phenylalanine ammonia-lyase (PAL) activity was determined as described by Liu et al. [39]. The increase in PAL activity within the phenylpropanoid pathway is indicative of the synthesis of phenolic compounds and the activation of the plant immune system. PAL activity was quantified spectrophotometrically at 290 nm by measuring the amount of cinnamic acid produced from the reaction between PAL and phenylalanine. Frozen aliquots (100 mg) of leaf, stem, and root tissue were crushed in the presence of liquid nitrogen and then homogenized in 2 mL of sodium borate buffer (100 mM, pH 8.8) containing 5% (w/v) PVPP and 1 mM of EDTA. The homogenate was centrifuged at 10,000× g for 30 min. The supernatant was collected and used as the enzyme extract to measure PAL activity, and 250 µL of 20 mM L-phenylalanine and 200 µL of enzyme extract were incubated in 2 mL of sodium borate buffer (100 mM, pH 8.8) for 1 h at 30 °C. The reaction was stopped by adding 100 µL of 6 M HCl, and absorbance was measured at 290 nm. A blank tube containing only sodium borate buffer was used for comparison. The results were expressed as mmol of trans-cinnamic acid min−1 mg−1 of protein. The total soluble protein content was determined using Bradford’s colorimetric method [40], with bovine serum albumin as the standard.
2.9. Estimation of Total Phenol Content
Total phenolic compounds were quantified by extracting 100 mg of finely ground powder frozen leaf, stem, and root tissue in 2 mL of 80% methanol. The samples were sonicated in an ultrasonic bath (Elma, Germany) for 30 min, followed by centrifugation at 10,000× g for 20 min at 4 °C. The supernatant (phenolic extract) was tested with and without 1% (w/v) PVPP, which specifically adsorbs polyphenols [41]. The homogenate was then used for total phenol content determination as suggested by Singleton et al. [42] with slight modifications. A 100 µL aliquot of phenolic extract was mixed with 100 µL of Folin reagent and stirred, and then 200 µL of 20% (w/v) sodium carbonate was added. The mixture was incubated in the dark for 30 min at 37 °C. Absorbance was measured at 760 nm and corrected for non-specific absorbance by subtracting the value obtained from the sample treated with PVPP. The total phenol content was expressed in mg of gallic acid equivalents/g of fresh weight (mg GAE g−1 FW). All measurements were conducted in triplicate.
2.10. Statistical Analysis
Data were analyzed using one-way ANOVA (using SPSS, version 25.0) to determine the effect of time for each treatment, and two-way ANOVA to examine interactions between mycorrhizae, pathogen, and time. Means and standard deviations (SDs) were calculated. After confirming the normality and homogeneity of the data with Bartlett’s test, Tukey’s honestly significant difference (HSD) post hoc test (p < 0.05) was applied to compare the mean values. Percentage values of AUDPC were arc-sin transformed before statistical analysis. Principal component analyses (PCA) and Pearson’s correlation coefficients (XLSTAT 2016 version 2016.02.28451) were performed to explore relationship among parameters.
3. Results
3.1. Effect of R. irregularis on VWO Disease Symptoms
The impact of R. irregularis application on VWO was monitored every week for 10 months following V. dahliae inoculation (Figure 1, Figure 2 and Figure 3). Olive plants were pre-inoculated with R. irregularis for three months before being infected with V. dahliae (Vd). Early symptoms, including chlorosis and yellowing, appeared within one month post-inoculation in the Vd treatment. These symptoms were followed by defoliation, wilting, and necrosis. This result demonstrates the significant mitigating effect of R. irregularis (RI) on disease severity, incidence, and defoliation rate. The development of symptoms in plants pre-inoculated with R. irregularis and later infected with V. dahliae (RIV) was delayed by approximately 44 days post-inoculation, whereas control plants grew normally and produced new leaves and twigs (Figure 1). In contrast, extensive and progressive yellowing and chlorosis were recorded in the Vd treatment, affecting 98% of the total olive plants (Figure 2). The most noticeable symptoms were chlorosis in the oldest leaves and defoliation, which began in the first month post-inoculation and increased over time. Six months post-inoculation, VWO symptoms stabilized, indicating a significant difference between RIV and Vd-inoculated plants. At the end of the experiment, the RIV treatment exhibited significantly lower disease severity than the Vd treatment. This reduction remained consistent throughout the evaluation period, with disease severity and incidence values of 68% and 1.03, respectively (Figure 1 and Figure 2). Moreover, R. irregularis application significantly delayed the onset of disease symptoms and reduced overall incidence. Ten months post-inoculation, disease incidence in the RIV treatment was markedly lower than in the Vd-inoculated plants, highlighting the protective role of R. irregularis. Additionally, RIV treatment exhibited significantly lower values (p < 0.01) for AUDPC and FMS (33.66% and 0.65, respectively) (Table 1).
Figure 1.
Kinetic of disease severity of the “Picholine Marocaine” olive cultivar under different treatments. Olive plants were pre-inoculated with R. irregularis for three months and then post-inoculated with V. dahliae for 10 months. Means (n = 62).
Figure 2.
Kinetic of disease incidence of the “Picholine Marocaine” olive cultivar under different treatments. Olive plants were pre-inoculated with R. irregularis for three months and then post-inoculated with V. dahliae for 10 months. Means (n = 62).
Figure 3.
Kinetic of defoliation rate of the “Picholine Marocaine” olive cultivar under different treatments. Olive plants were pre-inoculated with R. irregularis for three months and then post-inoculated with V. dahliae for 10 months. Means (n = 10) and SDs are compared using Tukey’s HSD test at 5% level. Different letters indicate significant differences.
Table 1.
Final symptomatological traits of the “Picholine Marocaine” olive cultivar pre-inoculated with R. irregularis for three months and then post-inoculated with V. dahliae for 10 months.
Defoliation was a key symptom of VW progression (Figure 3). In Vd-inoculated plants, defoliation rates increased sharply over time, reaching nearly 25% by 10 months post-inoculation (Figure 3). The presence of R. irregularis significantly mitigated defoliation rates. Statistical analysis (p < 0.05) revealed significantly lower defoliation in the RIV treatment compared to Vd treatment, particularly from month 5 onward. This suggests that R. irregularis application reduced the physiological damage associated with pathogen infection.
3.2. Effect of R. irregularis on Oxidative Stress in Response to V. dahliae
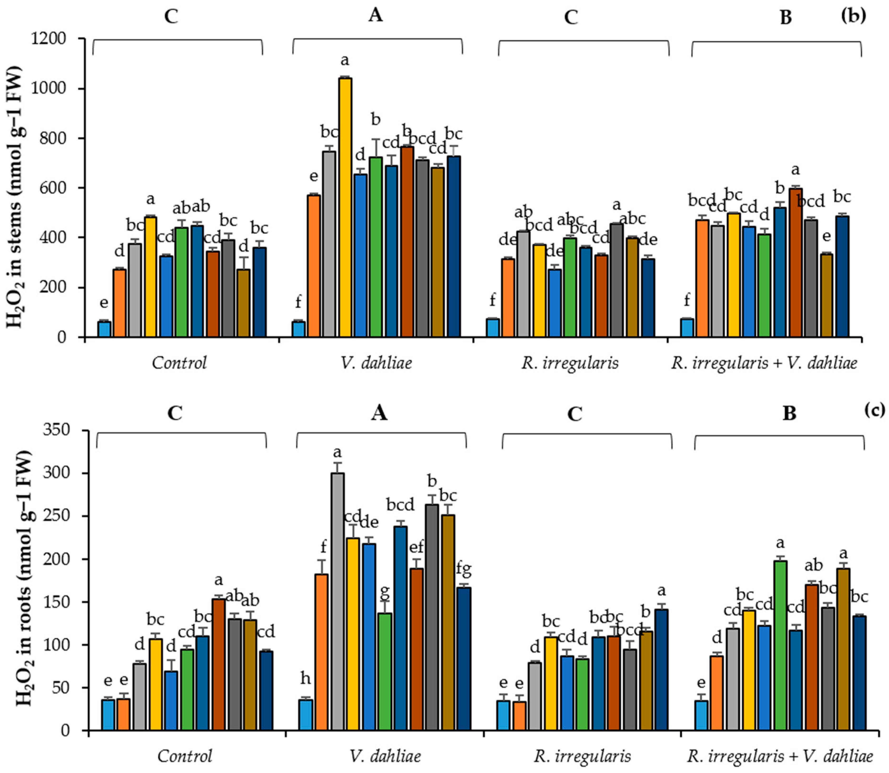
The accumulation of hydrogen peroxide (H2O2) and malondialdehyde (MDA), indicators of oxidative stress, was evaluated in the leaves, stems, and roots of the olive cultivar “Picholine Marocaine” under different treatments. These included pre-inoculation with R. irregularis and post-inoculation with V. dahliae over a 10-month period (Figure 4 and Figure 5). The results showed significant differences in H2O2 and MDA levels based on treatment, time, and plant organ (p < 0.05). In Vd-inoculated plants, H2O2 and MDA levels increased significantly in all organs compared to control plants. The accumulation was more pronounced in leaves and stems than in roots, reflecting organ-specific responses to pathogen-induced oxidative stress. Compared to the control, V. dahliae infection led to a 94% increase in H2O2 content in leaves and 54% increase in stems by the third month post-inoculation (Figure 4a,b), as well as a 74% increase in roots by the second month post-inoculation (Figure 4c). Similarly, MDA levels followed a comparable trend, rising by 81% in leaves (10 months post-inoculation), 55% and 67% in stems (6 and 10 months post-inoculation, respectively), and 67% in roots (2 months post-inoculation; p < 0.001) (Figure 5a–c), indicating severe oxidative stress. In contrast, RI treatment showed no significant changes in oxidative stress levels relative to control plants, suggesting that R. irregularis alone did not induce oxidative stress. However, plants under RIV treatment exhibited a substantial reduction in H2O2 and MDA levels compared to Vd-inoculated plants. The RIV treatment decreased the H2O2 content by approximately 69% in leaves, 52% in stems, and 38% in roots by the third-month post-inoculation (Figure 4). Similarly, MDA levels dropped by 46% in leaves, 48% in stems, and 31% in roots by the tenth-month post-inoculation (p < 0.05).

Figure 4.
Kinetic of hydrogen peroxide (H2O2) content in the leaves (a), stems (b), and roots (c) of the “Picholine Marocaine” olive cultivar under different treatments. Olive plants were pre-inoculated with R. irregularis for three months and subsequently post-inoculated with V. dahliae for 10 months. Means ± SDs were compared within each month. Bars with the same lowercase letter do not differ significantly over time (0–10 months) within each treatment, according to Tukey’s HSD test (p < 0.05). Uppercase letters (A, B, C, and D) indicate significant differences between treatments.

Figure 5.
Kinetic of malonyldialdehyde (MDA) content in the leaves (a), stems (b), and roots (c) of the “Picholine Marocaine” olive cultivar under different treatments. Olive plants were pre-inoculated with R. irregularis for three months and subsequently post-inoculated with V. dahliae for 10 months. Means ± SDs were compared within each month. Bars with the same lowercase letter do not differ significantly over time (0–10 months) within each treatment, according to Tukey’s HSD test (p < 0.05). Uppercase letters (A, B, C, and D) indicate significant differences between treatments.
Over the 10-month experimental period, H2O2 and MDA accumulation was most pronounced during the first two months post-inoculation in roots, six months post-inoculation in stems, and later in leaves of the Vd treatment. Oxidative stress levels peaked at six months post-inoculation in the RIV treatment before stabilizing, particularly in leaves and roots. This temporal regulation of oxidative stress suggests an early and dynamic protective role of R. irregularis.
3.3. Effect of R. irregularis on Antioxidative Enzyme Activities in Response to V. dahliae
The effect of R. irregularis on antioxidant enzyme activities (SOD, PPO, POD, and CAT) was monitored in the leaves, stems, and roots of olive cultivar “Picholine Marocaine” under different treatments over a 10-month period (Figure 6, Figure 7, Figure 8 and Figure 9). These enzymes play crucial roles in neutralizing ROS such as H2O2, thereby mitigating oxidative stress. Our results revealed significant differences in enzyme activities across treatments, time, and plant organs (p < 0.05). The strongest enzyme activity induction was recorded within the first to seventh months post-inoculation. Vd-inoculated plants displayed the highest enzyme activities, particularly in leaves and stems, reflecting a strong stress-induced response. Compared to RIV treatment, SOD, POD, and CAT increased by 37% (five months post-inoculation), 34%, and 38% (four months post-inoculation) in stems. In leaves, SOD and PPO increased by approximately 65% and 51%, respectively, at two and four months post-inoculation.
Figure 6.
Kinetic of superoxide dismutase (SOD) activity in the leaves (a), stems (b), and roots (c) of the “Picholine Marocaine” olive cultivar under different treatments. Olive plants were pre-inoculated with R. irregularis for three months and subsequently post-inoculated with V. dahliae for 10 months. Means ± SDs were compared within each month. Bars with the same lowercase letter do not differ significantly over time (0–10 months) within each treatment, according to Tukey’s HSD test (p < 0.05). Uppercase letters (A, B, C, and D) indicate significant differences between treatments.
Figure 7.
Kinetic of polyphenol oxidase (PPO) activity in the leaves (a), stems (b), and roots (c) of the “Picholine Marocaine” olive cultivar under different treatments. Olive plants were pre-inoculated with R. irregularis for three months and subsequently post-inoculated with V. dahliae for 10 months. Means ± SDs were compared within each month. Bars with the same lowercase letter do not differ significantly over time (0–10 months) within each treatment, according to Tukey’s HSD test (p < 0.05). Uppercase letters (A, B, C, and D) indicate significant differences between treatments.
Figure 8.
Kinetic of peroxidase (POD) activity in the leaves (a), stems (b), and roots (c) of the “Picholine Marocaine” olive cultivar under different treatments. Olive plants were pre-inoculated with R. irregularis for three months and subsequently post-inoculated with V. dahliae for 10 months. Means ± SDs were compared within each month. Bars with the same lowercase letter do not differ significantly over time (0–10 months) within each treatment, according to Tukey’s HSD test (p < 0.05). Uppercase letters (A, B, C, and D) indicate significant differences between treatments.
Figure 9.
Kinetic of catalase (CAT) activity in the leaves (a), stems (b), and roots (c) of the “Picholine Marocaine” olive cultivar under different treatments. Olive plants were pre-inoculated with R. irregularis for three months and subsequently post-inoculated with V. dahliae for 10 months. Means ± SDs were compared within each month. Bars with the same lowercase letter do not differ significantly over time (0–10 months) within each treatment, according to Tukey’s HSD test (p < 0.05). Uppercase letters (A, B, C, and D) indicate significant differences between treatments.
Compared to the control, the RI treatment exhibited enhanced SOD and POD activities, particularly in leaves and roots, while PPO levels increased more in RI-treated roots. Additionally, the RIV treatment significantly increased SOD, CAT, PPO, and POD activities in all plant parts (except for SOD in roots) compared to RI and control plants. These enhancements were associated with the modulation of H2O2 and MDA levels, supporting the enzymes’ roles in mitigating oxidative damage. Under the RIV treatment, SOD, PPO, and CAT activities in stems increased by approximately 37%, 46%, and 38%, respectively, at five months post-inoculation. Despite the induction of antioxidant defenses, enzyme activities in the RIV treatment remained significantly lower than in Vd-inoculated plants but consistently higher than in controls throughout the experimental period. Analysis of variance confirmed significant treatment × time interactions for all enzymes across plant organs (p < 0.05).
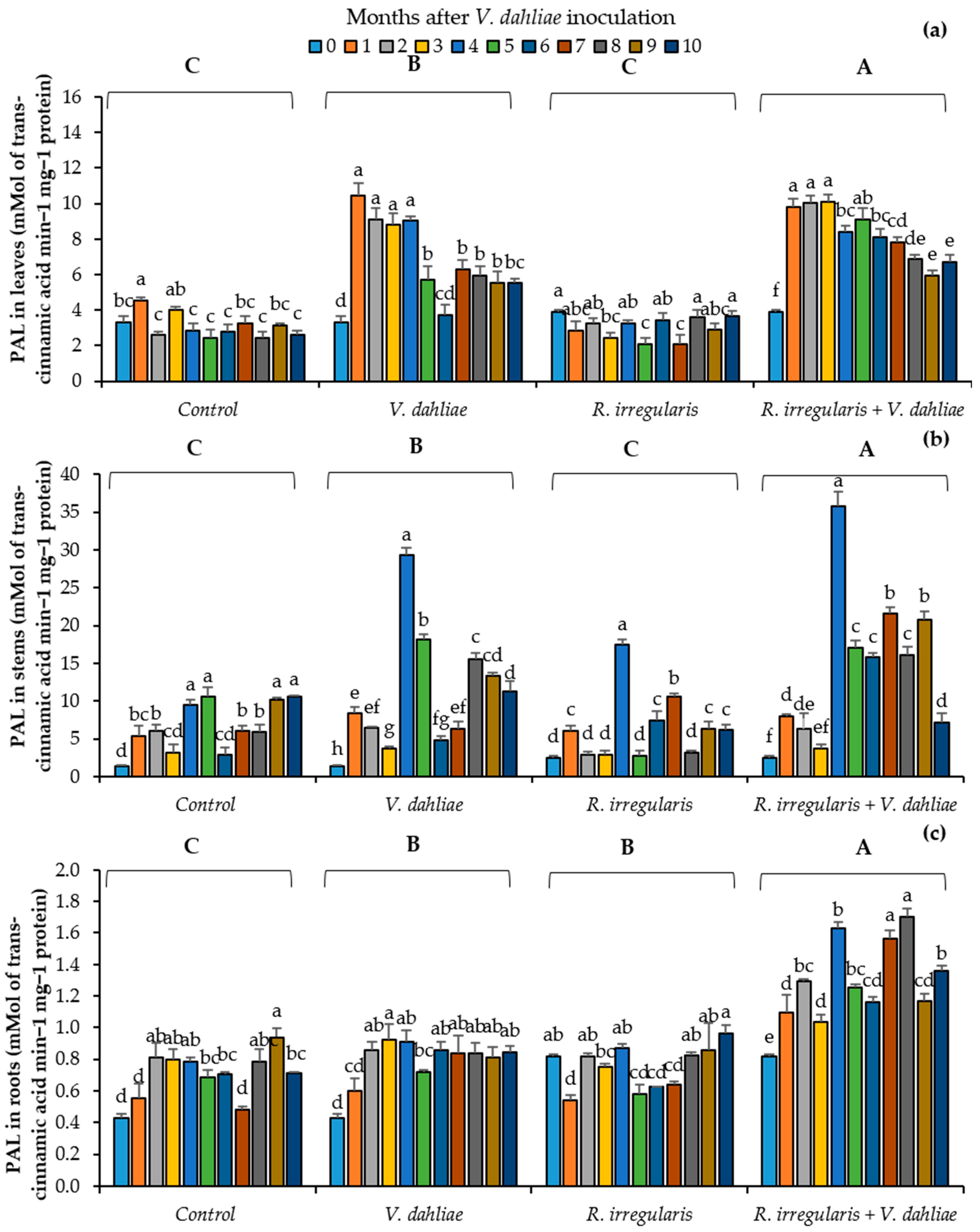
3.4. Effect of R. irregularis on Lignin, PAL, and Total Phenol Accumulation in Response to V. dahliae
Lignin, PAL, and total phenol accumulation were evaluated in the leaves, stems, and roots of the olive cultivar “Picholine Marocaine” under different treatments over 10 months post-inoculation (Figure 10, Figure 11 and Figure 12). The results demonstrated a significant interaction between treatment and time (p < 0.05). Lignin content was consistently higher in stems compared to other plant parts across all treatments (Figure 10b). In the RIV treatment, pronounced lignin accumulation was observed in different plant parts. Compared to the Vd treatment, lignin content increased significantly in leaves, roots, and stems under the RIV treatment, with values of 16%, 54%, and 42% respectively, at one, four, and six months post-inoculation (Figure 10a–c). By the end of the experiment, lignin levels remained higher in RIV-inoculated plants compared to other treatments. Additionally, RI-inoculated samples did not show significant differences in root lignin content compared to the controls but exhibited increased lignin accumulation in stems and leaves.
Figure 10.
Kinetic of lignin content in the leaves (a), stems (b), and roots (c) of the “Picholine Marocaine” olive cultivar under different treatments. Olive plants were pre-inoculated with R. irregularis for three months and subsequently post-inoculated with V. dahliae for 10 months. Means ± SDs were compared within each month. Bars with the same lowercase letter do not differ significantly over time (0–10 months) within each treatment, according to Tukey’s HSD test (p < 0.05). Uppercase letters (A, B, C, and D) indicate significant differences between treatments.
Figure 11.
Kinetic of phenylalanine ammonia-lyase (PAL) activity in the leaves (a), stems (b), and roots (c) of the “Picholine Marocaine” olive cultivar under different treatments. Olive plants were pre-inoculated with R. irregularis for three months and subsequently post-inoculated with V. dahliae for 10 months. Means ± SDs were compared within each month. Bars with the same lowercase letter do not differ significantly over time (0–10 months) within each treatment, according to Tukey’s HSD test (p < 0.05). Uppercase letters (A, B, C, and D) indicate significant differences between treatments.
Figure 12.
Kinetic of total phenol content in the leaves (a), stems (b), and roots (c) of the “Picholine Marocaine” olive cultivar under different treatments. Olive plants were pre-inoculated with R. irregularis for three months and subsequently post-inoculated with V. dahliae for 10 months. Means ± SDs were compared within each month. Bars with the same lowercase letter do not differ significantly over time (0–10 months) within each treatment, according to Tukey’s HSD test (p < 0.05). Uppercase letters (A, B, C, and D) indicate significant differences between treatments.
PAL activity, a key enzyme in the phenylpropanoid pathway, was significantly influenced by treatment and time (p < 0.05) (Figure 11). In RIV-inoculated plants, PAL activity in stems peaked early, reaching 35.80 mmol min−1 mg−1 protein at four months post-inoculation (Figure 11b). In contrast, the Vd and RI treatments also induced increases in PAL activity, peaking at 29.27 and 17.47 mmol min−1 mg−1 protein, respectively. In roots, the highest PAL activity was observed in RIV-inoculated plants, with values of 1.56 and 1.70 mmol min−1 mg−1 protein at seven and eight months post-inoculation, respectively (Figure 11c). Additionally, Vd-inoculated plants exhibited significant PAL activation in both leaves and stems compared to controls. However, in roots, activity levels in RI and Vd treatments were similar.
The total phenol content showed significant variation among treatments over time (p < 0.05) (Figure 12). Polyphenol levels in roots were generally lower than in stems and leaves across treatments. The RIV treatment led to the highest polyphenol accumulation across different plant parts and time points. In stems, the highest accumulation was observed in RIV-inoculated plants, reaching 764.62 mg of GAE g−1 FW within seven months post-inoculation (Figure 12b). In contrast, stems and roots of RI and Vd treatments resulted in similar accumulation patterns (Figure 12b,c). In roots, no significant differences in phenol accumulation were observed among Vd, RI, and control treatments compared to RIV treatment (Figure 12c).
3.5. Correlation Analysis and PCA of Biochemical Parameters
3.5.1. Correlations Among Biochemical Parameters
In leaves, strong positive correlations (p < 0.01) were observed between oxidative and antioxidative enzymes, such as H2O2 and MDA (r = 0.982), SOD with H2O2 and MDA (r = 0.980 and r = 0.984, respectively), and POD with H2O2, MDA, and SOD (r = 0.944, r = 0.964 and r = 0.945, respectively) (Table 2). Enzymes like PPO and CAT showed very high correlations with oxidative and antioxidative enzymes, e.g., PPO correlated with CAT (r = 0.995). Moderate correlations were observed between PAL activity and oxidative markers (r = 0.750 and r = 0.876 for H2O2 and POD, respectively). Phenols showed significant positive correlations with POD (r = 0.839) and PAL (r = 0.908).
Table 2.
Pearson’s correlation matrix (r values) between oxidative enzymes, antioxidative enzymes, and phenolic enzymes in the leaves of the “Picholine Marocaine” olive cultivar.
In stems, strong correlations (p < 0.01) were observed among oxidative and antioxidative enzymes. H2O2 showed a strong correlation with MDA and SOD (r = 0.961 and r = 0.973, respectively) (Table 3). CAT and MDA displayed a near-perfect correlation (r = 0.991), while PPO and CAT were also highly correlated (r = 0.984). Phenol exhibited a strong association with PAL and lignin (r = 0.822 and r = 0.876, respectively), but showed weaker correlations with oxidative enzymes. In roots, oxidative enzymes, such as H2O2 and MDA, exhibited strong positive correlations (p < 0.01; r = 0.974) (Table 4). SOD displayed a moderate correlation with H2O2 (r = 0.774) but showed weaker associations with phenolic enzymes such as PAL (r = −0.294). Lignin and phenol were strongly correlated with PAL activity (r = 0.974 and 0.989, respectively). Negative or weak correlations were observed between phenols and oxidative enzymes like H2O2 and MDA.
Table 3.
Pearson’s correlation matrix (r values) between oxidative enzymes, antioxidative enzymes, and phenolic enzymes in the stems of the “Picholine Marocaine” olive cultivar.
Table 4.
Pearson’s correlation matrix (r values) between oxidative enzymes, antioxidative enzymes, and phenolic enzymes in the roots of the “Picholine Marocaine” olive cultivar.
3.5.2. Principal Component Analysis (PCA)
To evaluate the biochemical responses of olive plants to R. irregularis, V. dahliae, and their combination, principal component analysis (PCA) was performed on key parameters, including lipid peroxidation (MDA), hydrogen peroxide (H2O2), antioxidant enzyme activities (SOD, POD, PPO, and CAT), and phenolic pathway enzymes (PAL as well as lignin and total phenol contents) (Figure 13). The PCA biplot illustrates the distribution of treatments across the whole plant system.
Figure 13.
Principal component analysis (PCA) of different plant parts of the “Picholine Marocaine” olive cultivar under different treatments. Olive plants were pre-inoculated with R. irregularis for three months and subsequently post-inoculated with V. dahliae for 10 months. Oxidative stress, antioxidant defense, and phenolic enzyme pathway variables are represented in red, while the four treatments are shown in blue. Abbreviations: SOD: superoxide dismutase, H2O2: hydrogen peroxide, PPO: polyphenol oxidase, POD: peroxidase, CAT: catalase, and PAL: phenylalanine ammonia-lyase.
In olive leaves, parameters such as H2O2, MDA, and antioxidant enzyme activities were major distributors to the separation of treatments along PC1. The RIV treatment clustered distinctly from other treatments, suggesting its synergistic effect in reducing oxidative stress and enhancing enzymatic activities. The Vd treatment was associated with elevated oxidative stress markers (H2O2 and MDA), whereas R. irregularis alone or in combination mitigated some of these effects through enhanced antioxidant activity. In stems, PAL, lignin synthesis, and antioxidant activities were the main contributors to variation along PC1. The RI treatment exhibited a distinct biochemical profile, reflecting its role in reinforcing structural and metabolic resilience. The RIV treatment moderately alleviated stress-induced lipid peroxidation and enhanced phenolic pathway activity compared to V. dahliae alone, indicating a protective effect. In roots, MDA, H2O2, and antioxidant enzyme activities dominated the observed variability. The RIV treatment formed a distinct cluster, suggesting its ability to activate biochemical responses, such as increased lignin and phenol contents, indicative of enhanced defense mechanisms. The oxidative stress induced by the pathogen was evident in the separation of Vd treatment from the control and RI treatments, while the RIV treatment demonstrated stress alleviation through biochemical modulation. Overall, the PCA results highlight the biochemical modulation induced by R. irregularis and its combination with V. dahliae. Specifically, the RIV treatment enhanced antioxidant enzyme activities and phenolic metabolism while reducing lipid peroxidation across all tissues, thereby mitigating the detrimental effects of the pathogen. These findings underline the potential of R. irregularis as a bioprotective agent against fungal pathogens like V. dahliae in olive plants.
4. Discussion
This study investigated the effects of R. irregularis on VW in the olive cultivar “Picholine Marocaine”, focusing on disease symptoms and associated biochemical responses. Our results demonstrate that R. irregularis significantly mitigated disease severity, incidence, and defoliation rate, confirming the potential of AMF-mediated bioprotection against this devastating disease [43]. Previous studies have shown the efficacy of R. irregularis in suppressing VW in various crops [11,13,15,16,17,18,19]. Notably, this is the first study to explore the specific defense mechanisms induced by R. irregularis against VW in this important olive cultivar. Our findings indicate that RIV-inoculated plants exhibited reduced disease symptoms compared to Vd treatment. The validation of pathogen infection was confirmed through the isolation of V. dahliae from stem and root tissues of infected plants, as described in our recent study [13]. This approach, based on standard microbiological protocols, ensured the reliability of our disease assessment. These results align with previous findings, where the autochthonous AMF “Rhizolive consortium” (RCV) significantly reduced VW symptoms in the olive cultivar “Picholine Marocaine” [3,6]. Additionally, Gharbi et al. [28] reported that VW symptoms appeared at the early stage of V. dahliae infection in the cultivar Chemlali, with rapid lesion progression in the roots. In contrast, the cultivar Sayali remained symptom-free for 45 days before wilt symptoms appeared on the leaves. Sanei and Razavi [44] also reported that first symptoms developed on susceptible cultivars, with the maximum disease severity ranging from 0.83 to 3.67 and frequent defoliation three weeks after V. dahliae inoculation. Other studies have demonstrated that pre-inoculation with AMF significantly reduced disease severity and incidence caused by Fusarium solani in infected bean seedlings, leading to improved plant vigor and better resistance to pathogen attacks [45,46,47].
In such circumstances, olive plants likely activate a range of constitutive and biochemical mechanisms to overcome the detrimental effects of V. dahliae. Increased ROS production triggers various signaling pathways and upregulates the activities of antioxidative enzymes such as CAT, POD, PPO, and SOD [48,49,50], which play crucial role in detoxifying ROS produced during plant–pathogen interactions [51]. Compared to control plants, at the early stage of V. dahliae inoculation, the Vd and RIV treatments exhibited higher H2O2 bursts in different olive tissues. This result suggests that early oxidative bursts may serve as an effective defense mechanism against V. dahliae [11,26]. This finding is consistent with the study by Shetty et al. [52], who reported that high levels of H2O2 accumulated at the site of infection constitute the first defense mechanism, preventing pathogen invasion. The accelerated senescence observed in infected plants, especially those inoculated with AMF, may be attributed to this early defense response [11,21]. This observation may also explain the high accumulation of MDA and H2O2 in stems and leaves at an early stage of pathogen infection compared to roots. One month after V. dahliae inoculation, we recorded low scavenging system activity, which may have contributed to increased MDA and H2O2 accumulation in the stems of RIV-inoculated plants. This finding aligns with the studies by Tayal et al. [53] and Soussani et al. [11], who reported that maximum MDA content was observed in tomato roots challenged with V. dahliae. Richter et al. [54] also observed that MDA accumulation was higher in mycorrhizal-pathogen-inoculated plants than in non-mycorrhizal ones. However, in contrast, lipid peroxidation was delayed in mycorrhizal plants.
Mycorrhizal olive plants consistently exhibited lower H2O2 and MDA contents than RIV-inoculated plants [55]. This suggests that ROS bursts are immediately detoxified in mycorrhizal plants, correlating with balanced SOD and CAT activities in the leaves of mycorrhizal-infected plants [11,21,56]. Other studies have revealed that some pathogens, including V. dahliae, can induce hypersensitive cell death via ROS production, facilitating AM colonization [25,57,58]. Pre-inoculation of olive plants with R. irregularis resulted in significantly higher SOD, POD, and CAT activities in the stems compared to roots and leaves. This increase may be associated with the hyphal transport of micronutrient ions [59]. The induction of SOD activity in mycorrhizal beans with Glomus clarum has been attributed to the higher amounts of H2O2 observed in cells containing well-developed arbuscules or hyphae tips attempting penetration [60]. By contrast, the significant upregulation of POD and CAT activities in the roots of RIV-inoculated plants may explain the low ROS burst observed. This aligns with another study where R. irregularis regulated POD and CAT activities in tomato seedlings post-V. dahliae inoculation [11]. The increase in CAT activity may be associated with a decrease in MDA concentration, reflecting reduced lipid peroxidation and enhanced cell membrane protection [11,58]. During root colonization by R. irregularis, olive plants likely undergo a genetic shift leading to enhanced signaling systems for defense against V. dahliae. Our findings revealed significant differences between RIV and control treatments. When comparing V. dahliae-inoculated plants with their healthy counterparts in the first month, there was increased SOD activity in roots and enhanced CAT activity in the stems and roots of pathogen-infected plants. Meanwhile, mycorrhizal plants infected with V. dahliae showed increased CAT activity in the roots. Garmendia et al. [56] observed similar increases in SOD and CAT activities in the leaves of pepper plants inoculated with V. dahliae and in double-inoculated plants with Glomus deserticola and V. dahliae. Between the first and fifth months, increases in CAT and SOD activities were more pronounced in Vd-inoculated plants than in the RIV treatment, which may have been early enough to prevent disease symptoms development in olive plants. Similarly, increased SOD and CAT activities in barley cultivars were associated with reduced ROS bursts and increased tolerance to physiological leaf spot formation [61]. Additionally, CAT activity in RIV-inoculated plants increased fivefold in the stems compared to the roots. The increased activity of antioxidative enzymes in RIV treatment was inversely proportional to MDA and H2O2 concentrations [53,58]. R. irregularis appears to enhance plant tolerance to oxidative stress and reduce lipid peroxidation [62,63]. High and constitutive MDA concentrations have been correlated to increased CAT and APX activities, enhancing tolerance in mycorrhizal peppers inoculated with V. dahliae [56]. The detoxification of H2O2 may explain the slower development of VW observed in RIV-inoculated plants compared to control plants. Ten months post-inoculation, significant increases in CAT and POD levels in RIV-inoculated plants likely induced antioxidant systems, maintaining ROS at manageable levels and preventing cell death. Meanwhile, PPO and POD contributed to lignin biosynthesis, further strengthening plant defenses against V. dahliae. Hao et al. [50] also noted increased PPO activity with mycorrhizal inoculation as a plant defense mechanism. Similar results were reported by Al-Askar and Rashad [46] and Abdel-Fattah et al. [64], showing significant increases in PPO acti Abdel-Fattah ity in mycorrhizal-infected plants.
The integrated response observed in RIV-inoculated plants—including lignin deposition, phenolic compound accumulation, and antioxidative enzyme activation—demonstrates a robust AMF-mediated defense mechanism. The observed temporal dynamics, with peak responses occurring at different intervals, reflect a coordinated defense strategy adapting to V. dahliae progression. These findings align with previous studies showing that AMF enhances plant tolerance by modulating multiple defense pathways simultaneously [55,58]. Higher lignin content in the stems and roots of RIV-inoculated plants throughout the experiment suggests that AMF reinforced the cell wall, serving as a defense barrier against infection [14]. Two months post-inoculation, lignin content was approximately fourteen times higher in stems than in leaves of RIV-inoculated plants. Eynck et al. [65] suggested that lignin deposition reduces the diffusion of toxins and enzymes released by pathogenic fungal hyphae. The role of lignin in plant resistance to pathogens has been widely confirmed [22,23,64,65]. Our results indicated that R. irregularis, in the presence of V. dahliae, led to a significant increase in PAL activity across different olive tissues. The induction of the phenylpropanoid pathway through enhanced PAL activity contributed to changes in the total polyphenol content. These responses were more pronounced in RIV than in Vd treatments, but their timing and intensity varied among organs. Other studies suggest that PAL activity is crucial for inducing the phenylpropanoid pathway and might even suppress pathogen gene expression within this pathway [21,28,66]. This induction may be linked to the salicylic acid (SA) pathway, where PAL play a key role in SA biosynthesis [18]. The suppression of pathogen genes might also explain the higher virulence of V. dahliae in the absence of mycorrhizal colonization [27].
Beyond PAL activity, AMF application stimulated total phenol levels in stems and roots of RIV-inoculated plants, particularly one month post-inoculation. By three months post-inoculation, polyphenol levels were higher in the RIV treatment than in other treatments. Polyphenol accumulation depended on PAL activity induction and has been linked to enhanced resistance in previous studies [26,28,29,30,67]. Chérif et al. [68] reported that polyphenols synthesized in response to pathogen infection act as active defense compounds that control VW. In this study, phenolic compound exudation was greater in RIV-inoculated plants, especially in stems and leaves, compared to roots. This might reflect tissue-specific defense mechanisms, where polyphenol leakage due to pathogen-induced cell membrane damage has been observed [69,70]. The increase in the activities of key defense enzymes—PAL, lignin, and polyphenol—in olive plants represents another defense mechanism induced by AMF colonization against V. dahliae. This finding aligns with similar observations in cotton plants [18,71]. This study demonstrated that R. irregularis inoculation suppressed disease symptoms caused by the pathogen and induced bioactive effects against V. dahliae attacks. Antioxidant enzyme activities indicated metabolic shifts in leaves, stems, and roots of pathogen-inoculated olive plants before symptom onset. This aligns with Garmendia et al. [56], who stated that V. dahliae releases toxic substances that alter the metabolism and physiology of pepper seedlings even when the pathogen is localized in the roots.
Differences in biochemical compound induction across plant organs were also observed. Stems exhibited the highest lignin content, likely fortifying vascular tissues and impeding pathogen spread. Polyphenol accumulation was more pronounced in stems and leaves than in roots, suggesting a tissue-specific defense prioritization against V. dahliae. In contrast, antioxidative enzyme activities (SOD, CAT, and POD) were significantly higher in stems, followed by leaves and roots, reflecting differential oxidative stress responses. This pattern could be attributed to localized pathogen challenges and the systemic nature of AMF-mediated defense signaling. Additionally, this variation might arise from the unique physiological roles of plant tissues. Yadeta and Thomma [72] reported that the root system serves as the primary entry point for most of soil-borne pathogens, while stems and xylem vessels represent the major interaction sites for pathogen multiplication and distribution inside the host. Furthermore, stems are reported as major sites for ROS production due to their chloroplast activity [73], whereas roots, being non-photosynthetic tissue, receive comparatively lower fluxes. AMF colonization also induces morphological, physiological, and biochemical changes in roots, reinforcing their role in plant protection against microbial pathogens, including soil-borne ones [74]. Pre-inoculation with R. irregularis led to a pronounced increase in SOD, POD, PPO, and CAT activities in infected olive plants, with these parameters being implicated in enhanced disease tolerance. Furthermore, AMF-mediated bioprotection likely results from phenolic compound accumulation in cell walls, promoting higher lignification as a barrier to pathogen invasion [47,75,76]. The induction of immune responses in olive plants to pathogen attacks is a key mechanism in AMF-mediated biological control [77].
5. Conclusions
The present study demonstrated that pre-inoculation with R. irregularis significantly mitigated VW in the olive cultivar “Picholine Marocaine”. Over a 10-month period post-inoculation, R. irregularis colonization effectively reduced the disease severity, incidence, and defoliation rate. This disease suppression was accompanied by the induction of strong defense mechanisms. RIV-inoculated plants exhibited enhanced antioxidant enzyme activities, including SOD, POD, PPO, and CAT. Additionally, R. irregularis significantly increased lignin and phenolic compound accumulation in leaves and stems. These results highlight both systemic and organ-specific defense responses induced by R. irregularis. PCA revealed that the biochemical modulation induced by R. irregularis not only alleviated oxidative damage but also strengthened structural barriers through increased lignification and phenolic metabolism. This study provides strong evidence for the potential of R. irregularis as a sustainable biocontrol agent against soil-borne pathogens including V. dahliae. Future research should focus on field-scale applications of R. irregularis and investigate its interactions with other beneficial microorganisms under variable environmental conditions. By promoting plant growth and reducing reliance on chemical inputs, R. irregularis represents a promising approach for the sustainable and resilient cultivation of olives.
Author Contributions
Conceptualization, H.B., A.M. and C.E.M.; methodology, H.B.; software, H.B.; validation, H.B., A.M. and C.E.M.; formal analysis, H.B.; investigation, H.B.; resources, S.W., Z.E.A.-T., A.D. and A.F.-M.; data curation, H.B.; writing—original draft preparation, H.B.; writing—review and editing, A.M. and C.E.M.; visualization, H.B., S.W., Z.E.A.-T., A.D. and A.F.-M.; supervision, A.M. and C.E.M. All authors have read and agreed to the published version of the manuscript.
Funding
This research was supported by the project ArimNet “Pestolive” and the project “Rhizolive” funded by the “Académie Hassan II des Sciences et Techniques”, Morocco.
Data Availability Statement
Data are contained within the article.
Conflicts of Interest
The authors declare no conflicts of interest.
References
- Bouymajane, A.; Oulad El Majdoub, Y.; Cacciola, F.; Russo, M.; Salafia, F.; Trozzi, A.; Rhazi Filali, F.; Dugo, P.; Mondello, L. Characterization of phenolic compounds, vitamin E and fatty acids from monovarietal virgin olive oils of “Picholine marocaine” cultivar. Molecules 2020, 25, 5428. [Google Scholar] [CrossRef] [PubMed]
- Ben Salah, I.; Aghrouss, S.; Douira, A.; Aissam, S.; El Alaoui-Talibi, Z.; Filali-Maltouf, A.; El Modafar, C. Seaweed polysaccharides as bio-elicitors of natural defenses in olive trees against Verticillium wilt of olive. J. Plant Interact. 2018, 13, 248–255. [Google Scholar] [CrossRef]
- Boutaj, H.; Chakhchar, A.; Meddich, A.; Wahbi, S.; El Alaoui-Talibi, Z.; Douira, A.; Filali-Maltouf, A.; El Modafar, C. Bioprotection of olive tree from Verticillium wilt by autochthonous endomycorrhizal fungi. J. Plant Dis. Prot. 2020, 127, 349–357. [Google Scholar] [CrossRef]
- Goicoechea, N. Verticillium-induced wilt in pepper: Physiological disorders and perspectives for controlling the disease. Plant Pathol. J. 2006, 5, 258–265. [Google Scholar] [CrossRef]
- Pozo, M.J.; Verhage, A.; García-Andrade, J.; García, J.M.; Azcón-Aguilar, C. Priming Plant Defence Against Pathogens by Arbuscular Mycorrhizal Fungi. Mycorrhizas-Functional Processes and Ecological Impact; Springer: Berlin/Heidelberg, Germany, 2009; pp. 123–135. [Google Scholar]
- Boutaj, H.; Meddich, A.; Wahbi, S.; Moukhli, A.; El Alaoui-Talibi, Z.; Douira, A.; Filali-Maltouf, A.; El Modafar, C. Effect of Arbuscular Mycorrhizal Fungi on Verticillium wilt development of olive trees caused by Verticillium dahliae. Res. J. Biotechnol. 2019, 14, 79–88. [Google Scholar]
- Garg, N.; Singh, S. Arbuscular mycorrhiza Rhizophagus irregularis and silicon modulate growth, proline biosynthesis and yield in Cajanus cajan L. Millsp. (pigeonpea) genotypes under cadmium and zinc stress. J. Plant Growth Regul. 2018, 37, 46–63. [Google Scholar] [CrossRef]
- Boutaj, H.; Meddich, A.; Chakhchar, A.; Wahbi, S.; El Alaoui-Talibi, Z.; Douira, A.; Filali-Maltouf, A.; El Modafar, C. Arbuscular mycorrhizal fungi improve mineral nutrition and tolerance of olive tree to Verticillium wilt. Arch. Phytopathol. Plant Prot. 2020, 53, 673–689. [Google Scholar] [CrossRef]
- Boutaj, H.; Meddich, A.; Wahbi, S.; Moukhli, A.; El Alaoui-Talibi, Z.; Douira, A.; Filali-Maltouf, A.; El Modafar, C. Improvement of growth and development of olive tree by mycorrhizal autochthonous inoculum. Res. J. Biotechnol. 2020, 15, 76–84. [Google Scholar]
- Soufiani, M.; Aissam, S.; Boutaj, H.; Ferradous, A.; Douira, A.; Meddich, A.; El Modafar, C. Effectiveness of indigenous arbuscular mycorrhizal consortium on the growth and mineral nutrition of Argania spinosa (L.) skeels. Plant Biosyst. 2022, 156, 1365–1372. [Google Scholar] [CrossRef]
- Soussani, F.E.; Rahou, Y.A.; Ikan, C.; Douira, A.; Benkirane, R.; Barka, E.A.; Lahlali, R.; Meddich, A. Comparative Effectiveness of Rhizophagus irregularis and Compost vs. Conventional Chemical Fertilizers in Managing Verticillium dahliae: A Sustainable Agriculture Approach. Phyton 2024, 93, 2415–2438. [Google Scholar] [CrossRef]
- Basiru, S.; Ait Si Mhand, K.; Elfermi, R.; Khatour, I.; Errafii, K.; Legeay, J.; Hijri, M. Enhancing chickpea growth through arbuscular mycorrhizal fungus inoculation: Facilitating nutrient uptake and shifting potential pathogenic fungal communities. Mycorrhiza 2025, 35, 1–15. [Google Scholar] [CrossRef]
- Boutaj, H.; Meddich, A.; Wahbi, S.; El Alaoui-Talibi, Z.; Douira, A.; Filali-Maltouf, A.; El Modafar, C. Mycorrhizal fungus Rhizophagus irregularis mitigates symptoms of Verticillium wilt and enhances growth of olive trees (Olea europaea L.). Eur. J. Plant Pathol. 2025. [Google Scholar] [CrossRef]
- Porras-Soriano, A.; Marcilla-Goldaracena, I.; Soriano-Martin, M.L.; Porras-Piedra, A.; Universitaria, E.; Mancha, C.; Real, C.; Soriano-Martín, M.L. Development and resistance to Verticillium dahliae of olive plantlets inoculated with mycorrhizal fungi during the nursery period. J. Agric. Sci. 2006, 144, 151–157. [Google Scholar] [CrossRef]
- Espinosa, F.; Garrido, I.; Ortega, A.; Casimiro, I.; Álvarez-Tinaut, M.C. Redox activities and ROS, NO and phenylpropanoids production by axenically cultured intact olive seedling roots after interaction with a mycorrhizal or a pathogenic fungus. PLoS ONE 2014, 9, e100132. [Google Scholar] [CrossRef] [PubMed]
- Sowik, I.; Borkowska, B.; Markiewicz, M. The activity of mycorrhizal symbiosis in suppressing Verticillium wilt in susceptible and tolerant strawberry (Fragaria x ananassa Duch.) genotypes. Appl. Soil Ecol. 2016, 101, 152–164. [Google Scholar] [CrossRef]
- Kobra, N.; Jalil, K.; Youbert, G. Effects of three Glomus species as biocontrol agents against Verticillium-induced wilt in cotton. J. Plant Prot. Res. 2009, 49, 186–189. [Google Scholar] [CrossRef]
- Zhang, Q.; Gao, X.; Ren, Y.; Ding, X.; Qiu, J.; Li, N.; Zeng, F.; Chu, Z. Improvement of Verticillium wilt resistance by applying arbuscular mycorrhizal fungi to a cotton variety with high symbiotic efficiency under field conditions. Int. J. Mol. Sci. 2018, 19, 241. [Google Scholar] [CrossRef] [PubMed]
- Ibiang, S.R.; Usami, T.; Sakamoto, K.; Ibiang, Y.B. Lettuce tolerance to verticillium wilt after inoculation with Penicillium pinophilum and Rhizophagus intraradices. Physiol. Mol. Plant Pathol. 2023, 128, 102171. [Google Scholar] [CrossRef]
- Apel, K.; Hirt, H. Reactive oxygen species: Metabolism, oxidative stress, and signal transduction. Annu. Rev. Plant Biol. 2004, 55, 373–399. [Google Scholar] [CrossRef]
- Boutaj, H.; Chakhchar, A.; Meddich, A.; Wahbi, S.; El Alaoui-talibi, Z.; Douira, A.; Filali-Maltouf, A.; El Modafar, C. Mycorrhizal autochthonous consortium induced defense-related mechanisms of olive trees against Verticillium dahliae. J. Plant Dis. Prot. 2021, 128, 225–237. [Google Scholar] [CrossRef]
- El Modafar, C.; El Boustani, E. Cell wall-bound phenolic acid and lignin contents in date palm as related to its resistance to Fusarium oxysporum. Biol. Plant. 2001, 44, 125–130. [Google Scholar] [CrossRef]
- Saldajeno, M.G.B.; Chandanie, W.A.; Kubota, M.; Hyakumachi, M. Effects of interactions of arbuscular mycorrhizal fungi and beneficial saprophytic mycoflora on plant growth and disease protection. In Mycorrhizae: Sustainable Agriculture and Forestry; Springer: Dordrecht, The Netherlands, 2008; pp. 211–226. [Google Scholar]
- Garmendia, I.; Aguirreolea, J.; Goicoechea, N. Defence-related enzymes in pepper roots during interactions with arbuscular mycorrhizal fungi and/or Verticillium dahliae. BioControl 2006, 51, 293–310. [Google Scholar] [CrossRef]
- Pusztahelyi, T.; Holb, I.J.; Pócsi, I. Secondary metabolites in fungus-plant interactions. Front. Plant Sci. 2015, 6, 573. [Google Scholar] [CrossRef]
- Boutaj, H.; Meddich, A.; Chakhchar, A.; Wahbi, S.; El Alaoui-Talibi, Z.; Douira, A.; Filali-Maltouf, A.; El Modafar, C. Induction of early oxidative events in mycorrhizal olive tree in response to Verticillium wilt. Arch. Phytopathol. Plant Prot. 2021, 54, 1323–1345. [Google Scholar] [CrossRef]
- Bibi, N.; Ahmed, I.M.; Fan, K.; Dawood, M.; Li, F.; Yuan, S.; Wang, X. Role of brassino steroids in alleviating toxin-induced stress of Verticillium dahliae on cotton callus growth. Environ. Sci. Pollut. Res. 2017, 24, 12281–12292. [Google Scholar] [CrossRef]
- Gharbi, Y.; Barkallah, M.; Bouazizi, E.; Gdoura, R.; Triki, M.A. Differential biochemical and physiological responses of two olive cultivars differing by their susceptibility to the hemibiotrophic pathogen Verticillium dahliae. Physiol. Mol. Plant Pathol. 2017, 97, 30–39. [Google Scholar] [CrossRef]
- Markakis, E.A.; Tjamos, S.E.; Antoniou, P.P.; Roussos, P.A.; Paplomatas, E.J.; Tjamos, E.C. Phenolic responses of resistant and susceptible olive cultivars induced by defoliating and non-defoliating Verticillium dahliae pathotypes. Plant Dis. 2010, 94, 1156–1162. [Google Scholar] [CrossRef]
- Bubici, G.; Cirulli, M. Control of Verticillium wilt of olive by resistant rootstocks. Plant Soil 2012, 352, 363–376. [Google Scholar] [CrossRef]
- Campbell, C.L.; Madden, L.V. Introduction to Plant Disease Epidemiology; Wiley: New York, NY, USA, 1990; p. 532. [Google Scholar]
- Latef, A.A.H.A.; Chaoxing, H. Effect of arbuscular mycorrhizal fungi on growth, mineral nutrition, antioxidant enzymes activity and fruit yield of tomato grown under salinity stress. Sci. Hortic. 2011, 127, 228–233. [Google Scholar] [CrossRef]
- Tejera, N.A.; Campos, R.; Sanjuan, J.; Lluch, C. Nitrogenase and antioxidant enzyme activities in Phaseolus vulgaris nodules formed by Rhizobium tropici isogenic strains with varying tolerance to salt stress. J. Plant Physiol. 2004, 161, 329–338. [Google Scholar] [CrossRef]
- Hori, K.; Wada, A.; Shibuta, T. Changes in phenoloxidase activities of the galls on leaves of Ulmus davidana formed by Tetraneura fuslformis (Homoptera: Eriosomatidae). Appl. Entomol. Zool. 1997, 32, 365–371. [Google Scholar] [CrossRef]
- Aebi, H. Catalase in vitro. In Methods in Enzymology; Academic Press: Cambridge, MA, USA, 1984; Volume 105, pp. 121–126. [Google Scholar]
- Ahn, T.; Paliyath, G.; Murr, D.P. Antioxidant enzyme activities in apple varieties and resistance to superficial scald development. Food Res. Int. 2007, 40, 1012–1019. [Google Scholar] [CrossRef]
- Junglee, S.; Urban, L.; Sallanon, H.; Lopez-Lauri, F. Optimized assay for hydrogen peroxide determination in plant tissue using potassium iodide. Am. J. Anal. Chem. 2014, 5, 730–736. [Google Scholar] [CrossRef]
- Hernández, J.A.; Almansa, M.S. Short-term effects of salt stress on antioxidant systems and leaf water relations of pea leaves. Physiol. Plant. 2002, 115, 251–257. [Google Scholar] [CrossRef]
- Liu, H.; Jiang, W.; Bi, Y.; Luo, Y. Postharvest BTH treatment induces resistance of peach (Prunus persica L. cv. Jiubao) fruit to infection by Penicillium expansum and enhances activity of fruit defense mechanisms. Postharvest Biol. Technol. 2005, 35, 263–269. [Google Scholar] [CrossRef]
- Bradford, M.M. A rapid and sensitive method for the quantitation of microgram quantities of protein utilizing the principle of protein-dye binding. Anal. Biochem. 1976, 72, 248–254. [Google Scholar] [CrossRef]
- Bridi, R.; Troncoso, M.J.; Folch-Cano, C.; Fuentes, J.; Speisky, H.; López-Alarcón, C. A polyvinylpolypyrrolidone (PVPP)-assisted folin–ciocalteu assay to assess total phenol content of commercial beverages. Food Anal. Methods 2014, 7, 2075–2083. [Google Scholar] [CrossRef]
- Singleton, V.L.; Orthofer, R.; Lamuela-Raventós, R.M. Analysis of total phenols and other oxidation substrates and antioxidants by means of folin-ciocalteu reagent. In Methods in Enzymology; Academic Press: Cambridge, MA, USA, 1999; Volume 299, pp. 152–178. [Google Scholar]
- Garcia-Garrido, J.M.G. Arbuscular mycorrhizae as Defense against Pathogens. In Defensive Mutualism in Microbial Symbiosis; CRC Press: Boca Raton, FL, USA, 2009; pp. 201–216. [Google Scholar]
- Sanei, S.J.; Razavi, S.E. Resistance and vegetative growth analysis of some olive cultivars in response to a defoliating pathotype of Verticillium dahliae Kleb. Int. J. Hortic. Sci. Technol. 2017, 4, 239–250. [Google Scholar]
- Harrier, L.A.; Watson, C.A. The potential role of arbuscular mycorrhizal (AM) fungi in the bioprotection of plants against soil-borne pathogens in organic and/or other sustainable farming systems. Pest Manag. Sci. Former. Pestic. Sci. 2004, 60, 149–157. [Google Scholar] [CrossRef] [PubMed]
- Al-Askar, A.; Rashad, Y. Arbuscular mycorrhizal fungi: A biocontrol agent against common. Plant Pathol. J. 2010, 9, 31–38. [Google Scholar] [CrossRef]
- Eke, P.; Chatue, G.C.; Wakam, L.N.; Kouipou, R.M.T.; Fokou, P.V.T.; Boyom, F.F. Mycorrhiza consortia suppress the fusarium root rot (Fusarium solani f. sp. Phaseoli) in common bean (Phaseolus vulgaris L.). Biol. Control 2016, 103, 240–250. [Google Scholar] [CrossRef]
- Able, A.J. Role of reactive oxygen species in the response of barley to necrotrophic pathogens. Protoplasma 2003, 221, 137–143. [Google Scholar] [CrossRef]
- Rolke, Y.; Liu, S.; Quidde, T.; Williamson, B.; Schouten, A.; Weltring, K.M.; Siewers, V.; Tenberge, K.B.; Tudzynski, B.; Tudzynski, P. Functional analysis of H2O2-generating systems in Botrytis cinerea: The major Cu-Zn-superoxide dismutase (BCSOD1) contributes to virulence on French bean, whereas a glucose oxidase (BCGOD1) is dispensable. Mol. Plant Pathol. 2004, 5, 17–27. [Google Scholar] [CrossRef] [PubMed]
- Hao, Z.; Christie, P.; Qin, L.; Wang, C.; Li, X. Control of fusarium wilt of cucumber seedlings by inoculation with an arbuscular mycorrhical fungus. J. Plant Nutr. 2005, 28, 1961–1974. [Google Scholar] [CrossRef][Green Version]
- Mittler, R. Oxidative stress, antioxidants and stress tolerance. Trends Plant Sci. 2002, 7, 405–410. [Google Scholar] [CrossRef] [PubMed]
- Shetty, N.P.; Mehrabi, R.; Lütken, H.; Haldrup, A.; Kema, G.H.; Collinge, D.B.; Jørgensen, H.J.L. Role of hydrogen peroxide during the interaction between the hemibiotrophic fungal pathogen Septoria tritici and wheat. New Phytol. 2007, 174, 637–647. [Google Scholar] [CrossRef] [PubMed]
- Tayal, P.; Kapoor, R.; Bhatnagar, A.K. Functional synergism among Glomus fasciculatum, Trichoderma viride and Pseudomonas fluorescens on Fusarium wilt in tomato. J. Plant Pathol. 2011, 93, 745–750. [Google Scholar]
- Richter, J.; Baltruschat, H.; Kabrodt, K.; Schellenberg, I. Impact of arbuscular mycorrhiza on the St. John’s wort (Hypericum perforatum) wilt disease induced by Colletotrichum cf. gloeosporioides. J. Plant Dis. Prot. 2011, 118, 109–118. [Google Scholar] [CrossRef]
- Wu, Q.S.; Zou, Y.N. Mycorrhiza has a direct effect on reactive oxygen metabolism of drought-stressed citrus. Plant Soil Environ. 2009, 55, 436–442. [Google Scholar] [CrossRef]
- Garmendia, I.; Goicoechea, N.; Aguirreolea, J. Antioxidant metabolism in asymptomatic leaves of Verticillium-infected pepper associated with an arbuscular mycorrhizal fungus. J. Phytopathol. 2004, 152, 593–599. [Google Scholar] [CrossRef]
- Mayer, A.M.; Staples, R.C.; Gil-ad, N.L. Mechanisms of survival of necrotrophic fungal plant pathogens in hosts expressing the hypersensitive response. Phytochemistry 2001, 58, 33–41. [Google Scholar] [CrossRef] [PubMed]
- Mandal, S.; Mitra, A.; Mallick, N. Biochemical characterization of oxidative burst during interaction between Solanum lycopersicum and Fusarium oxysporum f. sp. lycopersici. Physiol. Mol. Plant Pathol. 2008, 72, 56–61. [Google Scholar] [CrossRef]
- Subramanian, K.S.; Virgine Tenshia, J.S.; Jayalakshmi, K.; Ramachandran, V. Antioxidant enzyme activities in arbuscular mycorrhizal (Glomus intraradices) fungus inoculated and non-inoculated maize plants under zinc deficiency. Indian J. Microbiol. 2011, 51, 37–43. [Google Scholar] [CrossRef] [PubMed]
- Salzer, P.; Corbière, H.; Boller, T. Hydrogen peroxide accumulation in Medicago truncatula roots colonized by the arbuscular mycorrhiza-forming fungus Glomus intraradices. Planta 1999, 208, 319–325. [Google Scholar] [CrossRef]
- Wu, Y.X.; von Tiedemann, A. Evidence for oxidative stress involved in physiological leaf spot formation in winter and spring barley. Phytopathology 2002, 92, 145–155. [Google Scholar] [CrossRef] [PubMed]
- Guo, X.; Li, K.; Guo, Y.; Zhang, L.; Sun, Y.; Xie, H. Effect of Arbuscular mycorrhizal fungi (AMF) strains on growth and root exudation characteristics of grapevine. J. Shenyang Agric. Univ. 2009, 40, 392–395. [Google Scholar] [CrossRef]
- Wu, Q.S.; Zou, Y.N. Beneficial roles of arbuscular mycorrhizas in citrus seedlings at temperature stress. Sci. Hortic. 2010, 125, 289–293. [Google Scholar] [CrossRef]
- Abdel-Fattah, G.M.; El-Haddad, S.A.; Hafez, E.E.; Rashad, Y.M. Induction of defense responses in common bean plants by arbuscular mycorrhizal fungi. Microbiol. Res. 2011, 166, 268–281. [Google Scholar] [CrossRef]
- Eynck, C.; Koopmann, B.; Karlovsky, P.; Von Tiedemann, A. Internal resistance in winter oilseed rape inhibits systemic spread of the vascular pathogen Verticillium longisporum. Phytopathology 2009, 99, 802–811. [Google Scholar] [CrossRef]
- Kara, Z.; Arslan, D.; Güler, M.; Güler, Ş. Inoculation of arbuscular mycorrhizal fungi and application of micronized calcite to olive plant: Effects on some biochemical constituents of olive fruit and oil. Sci. Hortic. 2015, 185, 219–227. [Google Scholar] [CrossRef]
- Báidez, A.G.; Gómez, P.; Del Río, J.A.; Ortuño, A. Dysfunctionality of the xylem in Olea europaea L. plants associated with the infection process by Verticillium dahliae Kleb. Role of phenolic compounds in plant defense mechanism. J. Agric. Food Chem. 2007, 55, 3373–3377. [Google Scholar] [CrossRef] [PubMed]
- Chérif, M.; Arfaoui, A.; Rhaiem, A. Phenolic compounds and their role in bio-control and resistance of chickpea to fungal pathogenic attacks. Tunis. J. Plant Prot. 2007, 2, 7–21. [Google Scholar]
- Tai, L.M.; Xu, Y.L.; Yan, F.Y. Effects of Fusarium oxysporum toxin on the ultrastructure of soybean ridicule tissue. Acta Phytopathol. Sin. 2006, 36, 512–516. [Google Scholar]
- Zhang, G.; Raza, W.; Wang, X.; Ran, W.; Shen, Q. Systemic modification of cotton root exudates induced by arbuscular mycorrhizal fungi and Bacillus vallismortis HJ-5 and their effects on Verticillium wilt disease. Appl. Soil Ecol. 2012, 61, 85–91. [Google Scholar] [CrossRef]
- Xu, L.; Zhu, L.; Tu, L.; Liu, L.; Yuan, D.; Jin, L.; Long, L.; Zhang, X. Lignin metabolism has a central role in the resistance of cotton to the wilt fungus Verticillium dahliae as revealed by RNA-Seq-dependent transcriptional analysis and histochemistry. J. Exp. Bot. 2011, 62, 5607–5621. [Google Scholar] [CrossRef] [PubMed]
- Yadeta, K.A.; J. Thomma, B.P. The xylem as battleground for plant hosts and vascular wilt pathogens. Front. Plant Sci. 2013, 4, 1–12. [Google Scholar] [CrossRef]
- Hasanuzzaman, M.; Bhuyan, M.B.; Zulfiqar, F.; Raza, A.; Mohsin, S.M.; Mahmud, J.A.; Fujita, M.; Fotopoulos, V. Reactive oxygen species and antioxidant defense in plants under abiotic stress: Revisiting the crucial role of a universal defense regulator. Antioxidants 2020, 9, 681. [Google Scholar] [CrossRef]
- Maya, M.A.; Matsubara, Y.I. Tolerance to Fusarium wilt and anthracnose diseases and changes of antioxidative activity in mycorrhizal cyclamen. Crop Prot. 2013, 47, 41–48. [Google Scholar] [CrossRef]
- El-Modafar, C.; El-Boustani, E.S. The role of phenols in plant defence mechanisms. In Biopesticides of Plant Origin; Regnault-Roger, C., Philogène, B.J.R., Vincent, C., Eds.; Springer: Andover, UK, 2005; pp. 157–172. [Google Scholar] [CrossRef]
- Song, Y.; Chen, D.; Lu, K.; Sun, Z.; Zeng, R. Enhanced tomato disease resistance primed by arbuscular mycorrhizal fungus. Front. Plant Sci. 2015, 6, 786. [Google Scholar] [CrossRef] [PubMed]
- Parafati, L.; Cirvilleri, G.; Restuccia, C.; Wisniewski, M. Potential role of exoglucanase genes (WaEXG1 and WaEXG2) in the biocontrol activity of Wickerhamomyces anomalus. Microb. Ecol. 2017, 73, 876–884. [Google Scholar] [CrossRef]
Disclaimer/Publisher’s Note: The statements, opinions and data contained in all publications are solely those of the individual author(s) and contributor(s) and not of MDPI and/or the editor(s). MDPI and/or the editor(s) disclaim responsibility for any injury to people or property resulting from any ideas, methods, instructions or products referred to in the content. |
© 2025 by the authors. Licensee MDPI, Basel, Switzerland. This article is an open access article distributed under the terms and conditions of the Creative Commons Attribution (CC BY) license (https://creativecommons.org/licenses/by/4.0/).














