A Clinical Prediction Model for Genetic Risk in Children with GDD/ID: A Retrospective Study
Abstract
1. Introduction
2. Materials and Methods
2.1. Study Design and Population
2.2. Data Collection
2.2.1. Diagnostic Criteria and Developmental Assessment
2.2.2. Clinical Data Collection and Phenotyping
2.2.3. Whole Exome Sequencing and Data Analysis
2.2.4. Variant Filtering and Pathogenicity Assessment
2.3. Statistical Analysis
2.3.1. Data Processing and Descriptive Analysis
2.3.2. Model Development and Validation
2.3.3. Performance Evaluation and Clinical Utility
3. Results
3.1. General Characteristics
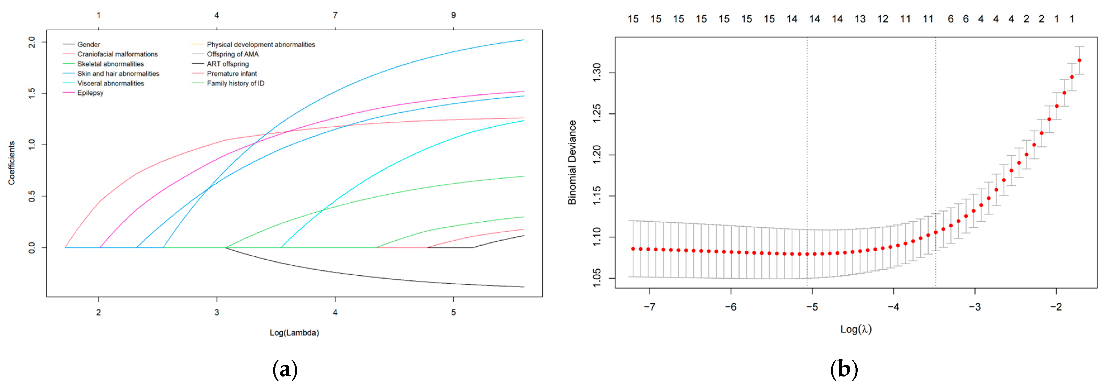
3.2. Screening for Predictive Factors
3.3. Risk Prediction Nomogram Development
abnormality + 2.07 × family history of ID
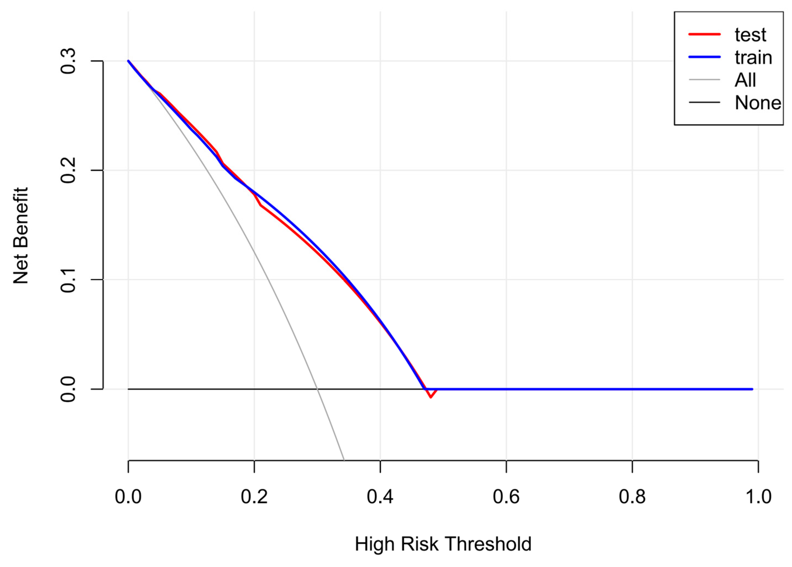
3.4. Predictive Accuracy and Net Benefit of the Nomogram
4. Discussion
4.1. Genetic Heterogeneity of GDD/ID and the Necessity of Risk Assessment
4.2. Biological Basis of Model Predictors
4.3. Potential Predictive Factors Not Included
4.4. Comparative Advantages over Existing Prediction Tools
4.5. Theoretical Basis and Clinical Significance of Excluding ASD Comorbid Patients
4.6. Clinical Implementation Pathway and Recommendations
5. Conclusions
6. Limitations and Perspectives
Supplementary Materials
Author Contributions
Funding
Institutional Review Board Statement
Informed Consent Statement
Data Availability Statement
Conflicts of Interest
Abbreviations
| GDD | Global developmental delay |
| ID | Intellectual disability |
| ASD | Autism spectrum disorder |
| AUC | Area under the curve |
| CNVs | Copy number variations |
| PWS | Prader–Willi syndrome |
| DSM-5 | Diagnostic and Statistical Manual of Mental Disorders, Fifth Edition |
| WES | Whole Exome Sequencing |
| DQ | Developmental quotient |
| IQ | Intellectual quotient |
| AMA | Advanced maternal age |
| ART | Assisted reproductive technology |
| LM-PCR | Ligation-mediated Polymerase Chain Reaction |
| SNVs | Single nucleotide variants |
| Indels | Insertions/deletions |
| MAF | Minor Allele Frequency |
| HGMD | Human Gene Mutation Database |
| ACMG | American College of Medical Genetics and Genomics |
| VUS | Variants of uncertain significance |
| ROC | Receiver operating characteristic |
| PR | Precision–recall |
| DCA | Decision curve analysis |
| DDD | Deciphering Developmental Disorders |
| CNS | Central nervous system |
| SHH | Sonic hedgehog |
| FGF | Fibroblast growth factor |
| BMP | Bone morphogenetic protein |
| CHD | Congenital heart disease |
| NDD | Neurodevelopmental disorder |
| ABC | Aberrant Behavior Checklist |
| CARS | Childhood Autism Rating Scale |
| ADOS | Autism Diagnostic Observation Schedule |
References
- The Subspecialty Group of Neurology; Chinese Society of Pediatrics; Chinese Medical Association Project Expert Group of Childhood Neuropathy; China Neurologist Association. Experts’ consensus on the diagnostic strategies of etiology for intellectual disability or global developmental delay in children. Chin. J. Pediatr. 2018, 56, 806–810. [Google Scholar] [CrossRef]
- Moeschler, J.B.; Shevell, M.; Committee on Genetics. Comprehensive evaluation of the child with intellectual disability or global developmental delays. Pediatrics 2014, 134, e903–e918. [Google Scholar] [CrossRef] [PubMed]
- Srour, M.; Shevell, M. Genetics and the investigation of developmental delay/intellectual disability. Arch. Dis. Child. 2014, 99, 386–389. [Google Scholar] [CrossRef] [PubMed]
- Van, B.H. Genetic and epigenetic networks in intellectual disabilities. Annu. Rev. Genet. 2011, 45, 81–104. [Google Scholar] [CrossRef]
- Wu, D.; Chen, R.; Zhang, J.; Yan, W.; Chen, M.; Xia, D.; Li, X.; Dai, Y.; Chen, Y.; Li, R. DNA copy number variations and craniofacial abnormalities in 1,457 children with neurodevelopmental disorders. Ital. J. Pediatr. 2025, 51, 9. [Google Scholar] [CrossRef]
- Richards, S.; Aziz, N.; Bale, S.; Bick, D.; Das, S.; Gastier-Foster, J.; Grody, W.W.; Hegde, M.; Lyon, E.; Spector, E.; et al. Standards and guidelines for the interpretation of sequence variants: A joint consensus recommendation. Genet. Med. 2015, 17, 405–424. [Google Scholar] [CrossRef]
- Zhang, J.; Xu, Y.; Liu, Y.; Yue, L.; Jin, H.; Chen, Y.; Wang, D.; Wang, M.; Chen, G.; Yang, L.; et al. Genetic testing for global developmental delay in early childhood. JAMA Netw. Open 2024, 7, e2415084. [Google Scholar] [CrossRef]
- To, K.; Fei, L.; Pett, J.P.; Roberts, K.; Blain, R.; Polański, K.; Li, T.; Yayon, N.; He, P.; Xu, C.; et al. A multi-omic atlas of human embryonic skeletal development. Nature 2024, 635, 657–667. [Google Scholar] [CrossRef]
- Rengasamy, V.S.; Van, O.E. The skull’s girder: A brief review of the cranial base. J. Dev. Biol. 2021, 9, 3. [Google Scholar] [CrossRef]
- Ruiz-Heiland, G.; Lenz, S.; Bock, N.; Ruf, S. Prevalence of WNT10A gene mutations in non-syndromic oligodontia. Clin. Oral Investig. 2019, 23, 3103–3113. [Google Scholar] [CrossRef]
- Von, B.H. BDNF effects on dendritic spine morphology and hippocampal function. Cell Tissue Res. 2018, 373, 729–741. [Google Scholar] [CrossRef] [PubMed]
- Mu, X.F.; Bao, N.; Liang, P. Expert consensus on diagnosing and treating craniosynostosis in children. Chin. J. Pediatr. Surg. 2021, 42, 769–773. [Google Scholar] [CrossRef]
- Zhang, H.; Gong, X.; Xu, X.; Wang, X.; Sun, Y. Tooth number abnormality: From bench to bedside. Int. J. Oral Sci. 2023, 15, 5. [Google Scholar] [CrossRef] [PubMed]
- Yao, Z.; Mich, J.K.; Ku, S.; Menon, V.; Krostag, A.-R.; Martinez, R.A.; Furchtgott, L.; Mulholland, H.; Bort, S.; Fuqua, M.A.; et al. A single-cell roadmap of lineage bifurcation in human ESC models of embryonic brain development. Cell Stem Cell 2017, 20, 120–134. [Google Scholar] [CrossRef]
- Winkler, C.C.; Franco, S.J. Loss of Shh signaling in the neocortex reveals heterogeneous cell recovery responses. Dev. Biol. 2019, 452, 55–65. [Google Scholar] [CrossRef]
- Manzari-Tavakoli, A.; Babajani, A.; Farjoo, M.H.; Hajinasrollah, M.; Bahrami, S.; Niknejad, H. The cross-talks among bone morphogenetic protein (BMP) signaling and other prominent pathways involved in neural differentiation. Front. Mol. Neurosci. 2022, 15, 827275. [Google Scholar] [CrossRef]
- Wu, Q.F.; Yang, L.; Li, S.; Wang, Q.; Yuan, X.B.; Gao, X.; Bao, L.; Zhang, X. Fibroblast growth factor 13 regulates neuronal polarization and migration. Cell 2012, 149, 1549–1564. [Google Scholar] [CrossRef]
- Blue, G.M.; Ip, E.; Walker, K.; Kirk, E.P.; Loughran-Fowlds, A.; Sholler, G.F. Genetic burden and neurodevelopment in neonates with CHD. Am. Heart J. 2018, 201, 33–39. [Google Scholar] [CrossRef]
- Homsy, J.; Zaidi, S.; Shen, Y.; Ware, J.S.; Samocha, K.E.; Karczewski, K.J.; DePalma, S.R.; McKean, D.; Wakimoto, H.; Gorham, J.; et al. De novo mutations in CHD with neurodevelopmental and other congenital anomalies. Science 2015, 350, 1262–1266. [Google Scholar] [CrossRef]
- Zaidi, S.; Brueckner, M. Genetics and genomics of congenital heart disease. Circ. Res. 2017, 120, 923–940. [Google Scholar] [CrossRef]
- Antonarakis, S.E. Down syndrome. Nat. Rev. Dis. Primers 2020, 6, 9. [Google Scholar] [CrossRef] [PubMed]
- LaCombe, J.M.; Sloan, K.; Thomas, J.R.; Blackwell, M.P.; Crawford, I.; Bishop, F.; Wallace, J.M.; Roper, R.J. Sex-specific Dyrk1a-related skeletal phenotypes in Down syndrome model. Dis. Model. Mech. 2023, 17, dmm050914. [Google Scholar] [CrossRef] [PubMed]
- Wang, P.; Zhou, W.; Yuan, W.; Huang, L.; Zhao, N.; Chen, X. Prader–Willi syndrome in neonates: Twenty cases in Southern China. BMC Pediatr. 2016, 16, 124. [Google Scholar] [CrossRef] [PubMed][Green Version]
- Butler, M.G.; Manzardo, A.M.; Heinemann, J.; Loker, C.; Loker, J. Causes of death in Prader–Willi syndrome: 40-year mortality survey. Genet. Med. 2017, 19, 635–642. [Google Scholar] [CrossRef]
- Lichtenstein, P.; Tideman, M.; Sullivan, P.F.; Serlachius, E.; Larsson, H.; Kuja-Halkola, R.; Butwicka, A. Familial risk and heritability of intellectual disability: A population-based cohort study in Sweden. J. Child Psychol. Psychiatry 2022, 63, 1092–1102. [Google Scholar] [CrossRef]
- de Vries, B.B.; White, S.M.; Knight, S.J.L.; Regan, R.; Homfray, T.; Young, I.D.; Super, M.; McKeown, C.; Splitt, M.; Quarrell, O.W.J.; et al. Clinical studies on submicroscopic subtelomeric rearrangements: A checklist. J. Med. Genet. 2001, 38, 145–150. [Google Scholar] [CrossRef]
- Dingemans, A.J.M.; Hinne, M.; Jansen, S.; van Reeuwijk, J.; de Leeuw, N.; Pfundt, R.; van Bon, B.W.; Vulto-van Silfhout, A.T.; Kleefstra, T.; Koolen, D.A.; et al. Phenotype based prediction of exome sequencing outcome using machine learning for neurodevelopmental disorders. Genet. Med. 2022, 24, 645–653. [Google Scholar] [CrossRef]
- Djuwantono, T.; Aviani, J.K.; Permadi, W.; Achmad, T.H.; Halim, D. Risk of neurodevelopmental disorders in ART children: A meta-analysis. J. Neurodev. Disord. 2020, 12, 33. [Google Scholar] [CrossRef]
- Wang, T.H.; Li, T.; Ou, J.P. Effects of ART on offspring epigenetics. Chin. J. Reprod. Contracept. 2022, 42, 296–300. [Google Scholar]
- Allen, E.G.; Freeman, S.B.; Druschel, C.; Hobbs, C.A.; O’Leary, L.A.; Romitti, P.A.; Royle, M.H.; Torfs, C.P.; Sherman, S.L. Maternal age and risk for trisomy 21: Nondisjunction origin analysis. Hum. Genet. 2008, 125, 41–52. [Google Scholar] [CrossRef]
- Maenner, M.J.; Shaw, K.A.; Bakian, A.V.; Bilder, D.A.; Durkin, M.S.; Esler, A.; Furnier, S.M.; Hallas, L.; Hall-Lande, J.; Hudson, A.; et al. Prevalence and characteristics of autism spectrum disorder among children aged 8 years—Autism and Developmental Disabilities Monitoring Network, 11 sites, United States, 2018. MMWR Surveill. Summ. 2021, 70, 1–16. [Google Scholar] [CrossRef]
- Tonnsen, B.L.; Boan, A.D.; Bradley, C.C.; Charles, J.; Cohen, A.; Carpenter, L.A. Prevalence of autism spectrum disorders among children with intellectual disability. Am. J. Intellect. Dev. Disabil. 2016, 121, 487–500. [Google Scholar] [CrossRef]
- Lakhan, R. The coexistence of psychiatric disorders and intellectual disability in children aged 3–18 years in the Barwani district, India. ISRN Psychiatry 2013, 2013, 875873. [Google Scholar] [CrossRef]
- Schieve, L.A.; Clayton, H.B.; Durkin, M.S.; Wingate, M.S.; Drews-Botsch, C. Comparison of perinatal risk factors associated with autism spectrum disorder (ASD), intellectual disability (ID), and co-occurring ASD and ID. J. Autism Dev. Disord. 2015, 45, 2361–2372. [Google Scholar] [CrossRef]







| Clinical Characteristics | Description |
|---|---|
| Gender | female, male |
| Abnormal head circumference | macrocephaly, microcephaly |
| Eyebrow abnormalities | arched eyebrows, unibrow, thick eyebrows, sparse eyebrows, et al. |
| Eye abnormalities | hypertelorism, epicanthus, strabismus, ptosis, exophthalmos, enophthalmos, heterochromatic sclera, et al. |
| Ear abnormalities | prominent ears, low-set ears, posteriorly rotated ears, large ears, auricular deformities, pointed ears, accessory auricles, et al. |
| Nasal abnormalities | low nasal bridge, high nasal bridge, upturned nostrils, wide nasal root, et al. |
| Lip and palate abnormalities | cleft palate, high arched palate, thin upper lip, thick upper lip, cleft lip, long philtrum, downturned mouth corners, et al. |
| Dental abnormalities | malocclusion, geminated teeth, tooth agenesis, et al. |
| Mandibular abnormalities | micrognathia, et al. |
| Trunk skeletal abnormalities | pectus carinatum, pectus excavatum, shield chest, scoliosis, rickets, et al. |
| Limb skeletal abnormalities | polydactyly, brachydactyly, clinodactyly, limb asymmetry, et al. |
| Skin and hair abnormalities | simian crease, Mongolian spots, café-au-lait spots, hypertrichosis, alopecia, abnormal hair color, et al. |
| Visceral abnormalities | cardiovascular, urinary, reproductive, gastrointestinal abnormalities, et al. |
| Epilepsy | - |
| Physical development abnormalities | short stature, tall stature, low body weight, obesity |
| Offspring of AMA | born to a mother who is typically aged 35 years or older at the time of childbirth |
| ART offspring | born through assisted reproductive technology |
| Premature infant | born before 37 weeks of gestation |
| Family history of ID | in immediate family members (such as parents and siblings) |
| Variables | Values | |
|---|---|---|
| Gender | Female | Male |
| Craniofacial malformations | None | Yes |
| Skeletal abnormalities | None | Yes |
| Skin and hair abnormalities | None | Yes |
| Visceral abnormalities | None | Yes |
| Epilepsy | No | Yes |
| Physical development abnormalities | No | Yes |
| Offspring of AMA | No | Yes |
| ART offspring | No | Yes |
| Premature infant | No | Yes |
| Family history of ID | No | Yes |
| Variables | Negative Group (n = 588) | Positive Group (n = 340) | χ2-Value | p-Value | |
|---|---|---|---|---|---|
| Gender | Male | 445 | 208 | 21.733 | <0.001 |
| Female | 143 | 132 | |||
| Craniofacial malformations | + | 72 | 155 | 129.622 | <0.001 |
| - | 516 | 185 | |||
| Skeletal abnormalities | + | 9 | 18 | 10.802 | 0.001 |
| - | 579 | 322 | |||
| Skin and hair abnormalities | + | 11 | 41 | 42.275 | <0.001 |
| - | 577 | 299 | |||
| Visceral abnormalities | + | 12 | 53 | 60.701 | <0.001 |
| - | 576 | 287 | |||
| Epilepsy | + | 2 | 7 | 6.626 | 0.014 |
| - | 586 | 333 | |||
| Physical development abnormalities | + | 22 | 80 | 86.223 | <0.001 |
| - | 566 | 260 | |||
| Offspring of AMA | + | 3 | 3 | 0.464 | 0.674 |
| - | 585 | 337 | |||
| ART offspring | + | 4 | 5 | 1.401 | 0.300 |
| - | 584 | 355 | |||
| Premature infant | + | 6 | 9 | 3.585 | 0.058 |
| - | 582 | 331 | |||
| Family history of ID | + | 7 | 28 | 29.459 | <0.001 |
| - | 581 | 258 | |||
| Variables | Training Set (n = 649) | Validation Set (n = 279) | χ2-Value | p-Value | |
|---|---|---|---|---|---|
| Genetic test result | Positive | 243 | 97 | 0.602 | 0.438 |
| Negative | 406 | 182 | |||
| Gender | Male | 459 | 194 | 0.133 | 0.716 |
| Female | 190 | 85 | |||
| Craniofacial malformations | + | 163 | 64 | 0.500 | 0.479 |
| - | 486 | 215 | |||
| Skeletal abnormalities | + | 15 | 12 | 2.735 | 0.098 |
| - | 634 | 267 | |||
| Skin and hair abnormalities | + | 38 | 14 | 0.259 | 0.611 |
| - | 611 | 265 | |||
| Visceral abnormalities | + | 46 | 19 | 0.023 | 0.879 |
| - | 603 | 260 | |||
| Epilepsy | + | 7 | 2 | 0.266 | 0.732 |
| - | 642 | 277 | |||
| Physical development abnormalities | + | 64 | 38 | 2.818 | 0.093 |
| - | 585 | 241 | |||
| Offspring of AMA | + | 5 | 1 | 0.516 | 0.675 |
| - | 644 | 278 | |||
| ART offspring | + | 6 | 3 | 0.046 | 1.000 |
| - | 643 | 276 | |||
| Premature infant | + | 12 | 3 | 0.735 | 0.572 |
| - | 637 | 276 | |||
| Family history of ID | + | 23 | 12 | 0.308 | 0.579 |
| - | 626 | 267 | |||
| Variables | β (SE) | OR (95% CI) | p-Value |
|---|---|---|---|
| Craniofacial abnormalities | 1.51 (0.21) | 4.55 (2.78–7.44) | <0.0001 |
| Visceral abnormalities | 1.56 (0.44) | 4.79 (2.02–11.38) | 0.0003 |
| Physical development abnormalities | 1.67 (0.36) | 5.31 (2.69–10.47) | <0.0001 |
| Family history of ID | 2.07 (0.54) | 7.90 (2.79–22.40) | 0.0001 |
| Metric | Training Set | Validation Set |
|---|---|---|
| True Negative | 339 | 145 |
| False Negative | 98 | 37 |
| False Positive | 67 | 37 |
| True Positive | 145 | 60 |
| Accuracy | 0.745 | 0.735 |
| Sensitivity | 0.597 | 0.619 |
| Specificity | 0.835 | 0.797 |
| Positive Predictive Value | 0.684 | 0.619 |
| Negative Predictive Value | 0.776 | 0.797 |
| AUC (95% CI) | 0.734 (0.698–0.771) | 0.738 (0.679–0.796) |
| PR-AUC | 0.7133 | 0.7137 |
| Threshold | 0.395 | — |
| Metric | Training Set | Validation Set |
|---|---|---|
| Brier | 0.180 | 0.175 |
| Calibration Intercept | 1.64 × 10−14 | −0.199 |
| Calibration Slope | 1.000 | 0.994 |
| 95% CI of Slope | 0.817–1.196 | 0.726–1.288 |
Disclaimer/Publisher’s Note: The statements, opinions and data contained in all publications are solely those of the individual author(s) and contributor(s) and not of MDPI and/or the editor(s). MDPI and/or the editor(s) disclaim responsibility for any injury to people or property resulting from any ideas, methods, instructions or products referred to in the content. |
© 2025 by the authors. Licensee MDPI, Basel, Switzerland. This article is an open access article distributed under the terms and conditions of the Creative Commons Attribution (CC BY) license.
Share and Cite
Jiang, Y.; Chen, R.; Chen, M.; Peng, L.; Zhao, Y.; Li, R.; Li, X. A Clinical Prediction Model for Genetic Risk in Children with GDD/ID: A Retrospective Study. Pediatr. Rep. 2026, 18, 1. https://doi.org/10.3390/pediatric18010001
Jiang Y, Chen R, Chen M, Peng L, Zhao Y, Li R, Li X. A Clinical Prediction Model for Genetic Risk in Children with GDD/ID: A Retrospective Study. Pediatric Reports. 2026; 18(1):1. https://doi.org/10.3390/pediatric18010001
Chicago/Turabian StyleJiang, Yunshu, Ran Chen, Mengyin Chen, Luting Peng, Yuchen Zhao, Rong Li, and Xiaonan Li. 2026. "A Clinical Prediction Model for Genetic Risk in Children with GDD/ID: A Retrospective Study" Pediatric Reports 18, no. 1: 1. https://doi.org/10.3390/pediatric18010001
APA StyleJiang, Y., Chen, R., Chen, M., Peng, L., Zhao, Y., Li, R., & Li, X. (2026). A Clinical Prediction Model for Genetic Risk in Children with GDD/ID: A Retrospective Study. Pediatric Reports, 18(1), 1. https://doi.org/10.3390/pediatric18010001
