Next Article in Journal
Performance Evaluation and Accuracy Analysis of a Chassis Dynamometer for Light Electric Vehicles
Next Article in Special Issue
Research on Efficient Prediction and Suppression of Electromagnetic Interference in Electric Drive Systems
Previous Article in Journal
LSTM-Based State-of-Charge Estimation and User Interface Development for Lithium-Ion Battery Management
Previous Article in Special Issue
Optimal Design of Interior Permanent Magnet Synchronous Motor Considering Various Sources of Uncertainty
 
 
Font Type:
Arial Georgia Verdana
Font Size:
Aa Aa Aa
Line Spacing:
Column Width:
Background:
Article

Optimization of Tesla Valve Cooling Channels for High-Efficiency Automotive PMSM

1
Hubei Longzhong Laboratory, Xiangyang 441000, China
2
Hubei Key Laboratory of Power System Design and Test for Electrical Vehicle, Hubei University of Arts and Science, Xiangyang 441053, China
*
Author to whom correspondence should be addressed.
World Electr. Veh. J. 2025, 16(3), 169; https://doi.org/10.3390/wevj16030169
Submission received: 26 February 2025 / Revised: 6 March 2025 / Accepted: 7 March 2025 / Published: 14 March 2025

Abstract

Efficient heat dissipation remains a critical challenge in the research and development of automotive permanent magnet synchronous motors. In this study, a Tesla valve cooling channel is innovatively designed, and a corresponding flow model is established using computational fluid dynamics (CFD) simulations. The effects of the spacing between adjacent Tesla valves, the number of stages, and inlet velocities on motor temperature rise and pressure drop within the channel are analyzed under varying flow directions. A comprehensive evaluation of 25 simulation samples reveals that the reverse flow Tesla valve-type channel, with an inlet velocity of 1 m/s, 90 mm spacing, and 16 stages, achieves an optimal balance between cooling performance and energy consumption. Compared to the conventional spiral waterway design, this configuration reduces the maximum temperature and temperature difference by 1.5% and 2.2%, respectively, while maintaining a relatively low pressure drop. Additionally, the structure enhances the coolant’s heat exchange capacity, effectively lowering the peak temperature of the motor. These findings provide valuable insights for advancing motor cooling technologies.

1. Introduction

In recent years, permanent magnet synchronous motors (PMSMs) have been widely adopted in the electric drive systems of new energy vehicles due to their high power density and simple structure. As the performance demands of electric vehicles continue to rise, higher power density is required of PMSMs, which consequently increases the internal heat generation. Elevated motor temperatures negatively impact efficiency, as excessive heating of the windings and permanent magnets (PMs) can result in insulation failure and local demagnetization, respectively [1]. Therefore, effective temperature management is crucial for enhancing the power and torque density of PMSMs.
Drive motors in new energy vehicles are commonly cooled using air-cooled, liquid-cooled, or hybrid methods incorporating heat pipes and phase change materials [2,3]. Traditional water-cooled motor housings typically utilize spiral or axial water channel structures. Wu et al. [4] analyzed the motor’s temperature distribution under various cooling methods, including air cooling, axial and radial ventilation cooling, and spiral waterway cooling. Chen et al. [5] investigated the impact of spiral waterway cooling on the motor’s temperature distribution, demonstrating a significant reduction in temperature rise compared to air cooling. Pei et al. [6] designed different cooling water circuit structures and, using thermal network and multi-physics coupling models, identified significant improvements in cooling performance for water-cooled motors. Xie et al. [7] described how, for a 53 kW permanent magnet synchronous motor (PMSM) for hybrid electric vehicles (HEVs), oil cooling technology is adopted to enhance thermal efficiency. A novel nozzle design is proposed by optimizing the number of injection pipes and nozzle structure. The MPS method simulates fluid flow for optimal cooling. A hairpin winding model verifies improved thermal performance. Liang et al. [8] addressed the optimization of water channel configurations in water-cooled motors, proposing a method to enhance thermal performance by adjusting jacket parameters and shapes. Marco et al. [9] extensively investigated water jacket designs using CFD analysis and analytical thermal modeling, presenting correlations for optimizing cooling piping parameters. Zhao et al. [10] proposed a cooling structure where a water-cooled plate is positioned between the axial laminations of the motor stator. Their study examined the effects of water flow rate, plate thickness, and motor loss density, demonstrating that the design meets the cooling requirements for high-loss-density motors. Li et al. [11] proposed a cooling system for an EV’s PMSM. LHS sampling, BP neural network modeling, and six MOOAs are used for optimization. The motor’s heat dissipation is effectively improved, proving the framework’s effectiveness and reliability, offering a new approach for motor heat dissipation design optimization.
The Tesla valve, a purely mechanical structure characterized by its unique asymmetric design and curved channels, is primarily utilized in microchannel heat sinks [12,13]. Porwal et al. [14] investigated the flow integrity and thermal enhancement capabilities of multi-stage Tesla valves using computational fluid dynamics and kinetics, with simulation results confirming their effectiveness as microchannel heat sinks. Liu et al. [15] developed a model of a symmetric Tesla valve piping system and validated its flow characteristics through parametric analysis and computational fluid dynamics methods. Lu et al. [16] applied Tesla valve structures to the thermal management of electric vehicle power batteries, demonstrating that the bifurcated structure of the valve enhances fluid perturbation, improves heat exchange, and ensures better temperature distribution uniformity.
Researchers Albana et al. [17] have proposed a novel cooling method for in-wheel motors (IWMs) in electric vehicles, which involves installing heat sinks on the IWM housing. Experimental and simulation tests have demonstrated that the use of heat sinks can reduce the temperature of IWM components by 13.1%, while simultaneously increasing torque by 0.14%, increasing power by 0.64%, and improving efficiency by 0.6%. Ni et al. [18] designed forward and reverse Tesla valve capillary cooling channels for NEV fuel cell liquid cold plates. Forward channels reduced pressure loss, while reverse channels enhanced heat transfer. Optimizing the valve-to-branch ratio (1.13–1.6) in reverse channels achieved high cooling with low pumping power. Zhao et al. [19] proposed Tesla valve thermal management for PV/T systems, analyzing factors via simulation. Reverse MSTV-PV/T enhanced the panel efficiency and reduced the stress. Optimal eight-channel design maximized thermal/exergy outputs and electrical energy to 1376.34 W, 76.74 W, and 432.86 W, respectively.
Current cooling mechanisms for electric vehicle motors include air cooling, liquid cooling, phase change materials (PCMs), and hybrid systems. Air cooling offers simplicity and low cost but suffers from limited heat dissipation capacity, making it unsuitable for high-power-density motors. Liquid cooling (e.g., spiral or axial channels) provides higher efficiency but requires complex plumbing and increased energy consumption. PCM-based cooling leverages latent heat absorption to stabilize temperatures but faces challenges in long-term stability and heat dissipation rates. Hybrid systems combining liquid cooling with heat pipes or PCMs aim to balance these trade-offs. In contrast, the Tesla valve cooling channel proposed in this study enhances turbulent mixing through its asymmetric geometry, improving heat transfer efficiency without significantly increasing the pressure drop compared to conventional spiral channels. This innovation addresses the critical need for high-efficiency thermal management in next-generation electric vehicles.
The novelty of this study lies in the innovative integration of Tesla valve structures into the cooling channels of permanent magnet synchronous motors (PMSMs) for electric vehicles. While Tesla valves have been extensively studied in microfluidics and battery thermal management, their application in motor cooling systems remains underexplored. This work addresses this gap by optimizing the geometric parameters of Tesla valve cooling channels (e.g., spacing, number of stages, inlet velocity) to achieve a balance between cooling performance and energy efficiency. Furthermore, the proposed design leverages the asymmetric flow characteristics of Tesla valves to enhance turbulent mixing and heat transfer, offering a significant improvement over traditional spiral cooling channels. This approach not only reduces the maximum motor temperature by 7.73% but also maintains a relatively low pressure drop, making it a promising solution for high-power-density electric vehicle motors.
The remainder of this paper is organized as follows: Section 2 establishes the thermal model of the PMSM, including motor parameter definitions and mathematical formulations. Section 3 details the design principles of the Tesla valve cooling channel and its structural parameters. Section 4 analyzes the simulation results, focusing on the effects of inlet velocity, valve spacing, and staging on cooling performance. A sensitivity analysis is performed to evaluate the effects of three key parameters (spacing L, number of stages M, and inlet velocity V) on cooling performance. Finally, Section 5 summarizes the key conclusions.

2. Motor Thermal Modeling

2.1. Motor Structure and Parameters

The motor analyzed in this study is a permanent magnet synchronous motor (PMSM) designed for a commercial vehicle, featuring 8 poles, 48 slots, and a rated power of 40 kW. The magnetic poles are arranged in a V-shaped configuration, and the rotor core includes weight-reduction holes. Water cooling is employed as the cooling method, with a spiral flow channel used for the coolant. The three-dimensional model and key parameters of the motor are presented in Figure 1 and Table 1.
During motor operation, losses in various components contribute to an increase in internal temperature. Heat conduction and convection occur between these components; however, the effects of temperature variations on heat transfer within the motor are neglected in this study [20]. The losses were analyzed using the electromagnetic simulation software ANSYS Maxwell to quantify the values. The loss distribution and heat generation rates for each component under rated operating conditions are summarized in Table 2.
Accurate modeling of fluid flow and heat transfer phenomena requires the determination of material properties, including the thermal conductivity of various motor components [21]. Most motor parts, such as the housing, exhibit isotropic thermal conductivity. However, the stator and rotor display anisotropic thermal conductivity along the axial direction due to their construction from laminated sheets. The in-plane conductivity (x/y-directions) is 35 W/m·K; the through-thickness conductivity (z-direction) is 1.21 W/m·K. This anisotropy significantly impacts the temperature distribution, particularly in the axial direction, where heat transfer is restricted by insulation coatings and air gaps between laminations. In the motor’s physical model, the winding within the stator slots—composed of copper conductors, slot insulation, varnish, and other materials—is simplified into a single entity for analysis, with its thermal conductivity assumed to be constant. The material properties of the motor are summarized in Table 3.

2.2. Mathematical Model

The motor cooling system primarily consists of cooling water circulating through runners within the motor casing, where heat exchange occurs with the internal structure. To accurately analyze fluid flow and heat transfer phenomena, the methodology is based on the heat exchange control equation, the continuity equation, and the energy conservation equation [22,23].
  • Heat exchange control equation
Based on the law of energy conservation and the fundamental principles of heat transfer, the thermal conductivity is assumed constant for isotropic media when variations in conductivity across different positions in the motor are neglected. In a rectangular coordinate system, the motor’s temperature field can be described by the governing differential equation for thermal conductivity, expressed as Equation (1):
x ( λ x T x ) + y ( λ y T y ) + z ( λ z T z ) = q v T n s 1 = 0 λ T n s 2 = α f ( T T f )
where λ is the thermal conductivity of the medium in the system; λx, λy, and λz are the thermal conductivity in the x, y, and z directions; qv is the density of the heat source body; T is the temperature of the solid in the system; Tf is the temperature of the surrounding fluid; and s1, s2 are the adiabatic and heat sink surfaces in the system.
  • Mass conservation equation
In fluid dynamics, the mass conservation equation states that the rate of mass increase within a fluid microelement is equal to the net mass flow into the microelement over the same time interval. In the Cartesian coordinate system, the velocity components along the x, y, and z axes are represented by u, v, and w, respectively, as defined in Equation (2).
u x + v y + w z = 0
  • Energy conservation equation
For incompressible fluids, the energy conservation equation can be defined as Equation (3):
( ρ T ) t + ( ρ T u j ) x j = x j ( λ c p T x j )
where cp is the specific heat capacity of the fluid, J/(kg K); λ is the thermal conductivity of the fluid, W/(m K).
The Reynolds number, a critical parameter in fluid mechanics, is used to determine the state of fluid motion. For the flow at the inlet of the cooling runner, the Reynolds number is calculated using Equation (4). According to fluid mechanics principles, a Reynolds number below 2000 indicates laminar flow, while a value exceeding 4000 signifies turbulence. When the Reynolds number falls between 2000 and 4000, the fluid is in a transitional state.
Re = ρ   D v μ
where Re is the Reynolds number; ρ is the fluid density, kg/m3; D is the characteristic length, m; and µ is the viscous coefficient of the fluid, Pa⋅s.
In the motor cooling system, the pressure drop (∆P) of the cooling medium between the inlet and outlet of the runners within the casing, representing the flow resistance of the cooling runners, is defined by Equation (5):
Δ P = ν 2 f l ρ 2 D = P inlet   P outlet
where D is the hydraulic diameter of the runner, m; f represents the friction coefficient; Pinlet and Poutlet are the inlet and outlet cooling medium pressures of the runner, Pa, respectively.
Losses during the operation of the motor are the main cause of its temperature increase, and the losses of the motor include many aspects such as iron core losses, permanent magnet eddy current losses, winding losses, and mechanical losses [24,25]. These losses are eventually converted into heat energy and transferred inside the motor, which significantly affects the temperature field distribution of the motor. Therefore, to ensure the normal operation of the motor and prolong its service life, the calculated losses are defined as Equation (6):
P = P e + P h + P a P a = K a f 1.5 B m 1.5 P h = K h f B m α P e = K e f 2 B m 2
where P is the total core loss; Pa is the additional loss; Ph is the hysteresis loss; Pe is the eddy current loss; Ka is the additional loss coefficient; Kh is the hysteresis loss coefficient; Ke is the hysteresis loss coefficient; f is the frequency; Bm is the magnetic density amplitude; and a is the constant factor.
To evaluate the overall performance of the Tesla-valved runner, the Comprehensive Evaluation Indicator (CEI) [26] is introduced. This metric accounts for both heat transfer and pressure drop within the cooling runners, providing a more holistic analysis. A higher CEI value indicates superior overall performance. The CEI is defined by Equation (7).
C E I = N u / N u 0 P / P 0
where Nu and Nu0 denote the Nusselt number and the runner pressure drop of the base model.
In the motor temperature field analysis, water and air are treated as incompressible fluids, and their flow is assumed to be turbulent. Prior to the temperature field simulation, mesh independence is verified to ensure that the number of mesh elements does not affect the simulation results. To simplify the simulated motor model, components with minimal impact on cooling, such as the rotor shaft, bearings, and front and rear end caps, are excluded [27]. The analysis is conducted using ANSYS Fluent, Convergence criteria (residuals < 1× 10−5), with polyhedral meshing selected for its superior computational accuracy, reduced memory requirements, and improved convergence. The cooling waterway inlet is defined as a velocity inlet with a flow velocity of 1 m/s, while the cooling water temperature is set to 35 °C. The outlet boundary is defined as a pressure outlet with a pressure of 0 Pa. All heat sources within the motor are modeled as volumetric heat sources.

3. Tesla-Valved Runner Design

The motor cooling system consists of the motor body, cooling runners with a Tesla valve structure, and coolant. The cooling runner is modeled using simulation software, and the structural parameters of the Tesla valve are presented in Figure 2. The cooling runner’s inlet and outlet directions define two distinct flow modes: forward flow and reverse flow. The multi-stage Tesla valve comprises multiple single-stage Tesla valves, with the pitch of each valve defined as L. In this study, the Tesla valve structure is incorporated into a conventional spiral flow channel, achieved by varying the pitch L and the number of stages M. The impact of these design variations on the motor’s cooling performance is explored, as illustrated in Figure 3. The spiral channel’s measurements are as follows: outer diameter = 100 mm, channel width = 20 mm. The basic structural dimensions of the traditional spiral flow channels and Tesla valve flow channels are all consistent.
The Tesla valve cooling channel is designed with three key parameters: spacing (L), number of stages (M), and inlet velocity (V). Table 4 summarizes their ranges and selection criteria. The spacing (L) is constrained by the motor housing dimensions, while the number of stages (M) is determined by the channel length and valve geometry. The inlet velocity (V) is optimized to balance energy efficiency and cooling performance.
The asymmetric channel design of the Tesla valve enhances heat transfer via turbulent mixing, with the curvature radius (R = 2.5 mm) and bifurcation angle (θ = 25°) optimized based on microfluidic studies [14]. The multi-stage design (Figure 2) extends the coolant residence time for improved heat exchange.
The parameter ranges (L = 10–90 mm, M = 4–60) were determined based on motor housing dimensions and flow path length and valve geometry: L < 10 mm drastically increases the flow resistance, while M > 60 exceeds the motor housing limits. The inlet velocity (V = 0.8–1.6 m/s) aligns with industrial motor cooling practices.

4. Results and Discussion

The results of the temperature field simulation for a motor cooled by a spiral water channel under rated operating conditions are presented in Figure 4. As shown in Figure 4a, the temperature distribution of the motor reveals a maximum temperature of 118 °C and a minimum temperature of 35 °C at the inlet of the coolant to the casing, resulting in a temperature difference of 83 °C. The highest temperatures are primarily concentrated in the motor windings and the interior of the rotor, where direct contact with the coolant is absent. Figure 4b demonstrates that the coolant temperature increases along the flow path. Additionally, Figure 4c shows a pressure drop of 9878.4 Pa within the spiral flow channel.
Under the rated operating conditions, identical boundary conditions were applied, and simulation analyses were conducted to compare the maximum temperature, temperature difference, and pressure drop between the inlet and outlet of the motor’s cooling channel under two flow modes, as shown in the figures. In both flow modes, the motor’s maximum temperature and temperature difference were lower than those observed with the traditional spiral flow channel. Specifically, the maximum motor temperature was 113.08 °C in the forward flow (Figure 5a) and 111.2 °C in the reverse flow (Figure 5b). The corresponding temperature differences were 78.08 °C and 76.2 °C, as shown in Figure 6a and Figure 6b, respectively. In contrast to the spiral watercourse, the Tesla-valve-type watercourse exhibited a larger pressure drop under reverse flow, resulting in higher energy consumption, as illustrated in Figure 7.
Compared to the traditional spiral channel, the Tesla valve configuration reduces the maximum temperature by 1.84 °C and the temperature difference by 1.84 °C, albeit with a higher pressure drop (29.53 kPa vs. 9.88 kPa). This trade-off highlights the Tesla valve’s superior cooling performance at the cost of increased energy consumption.
The internal structure of the cooling channel influences the distribution of the turbulent kinetic energy in the coolant flow. As shown in Figure 8, the maximum turbulent kinetic energy of the reverse flow in the Tesla-valve-type channel reaches 0.58 m2/s2. The higher kinetic energy is primarily concentrated in the cross-sectional structure of the Tesla valve, which serves to redirect and disrupt the flow, thereby enhancing the heat exchange capacity of the coolant. Although the turbulent kinetic energy of the reverse flow is greater, leading to improved cooling performance, the flow resistance of the reverse flow is also increased.

4.1. Influence of Coolant Inlet Velocity

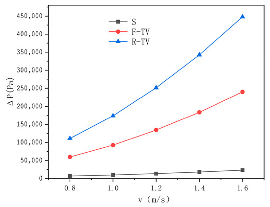
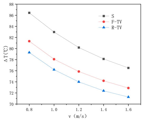
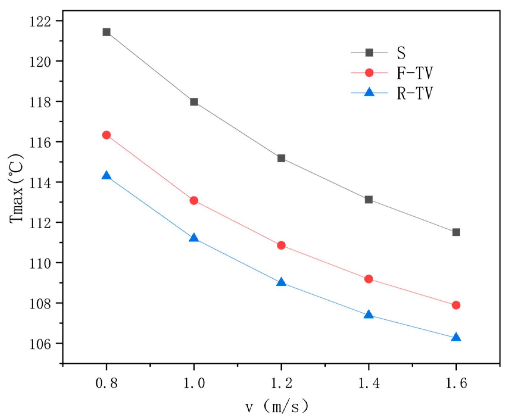
The cooling effects of the forward flow Tesla valve type (F-TV) and reverse flow Tesla valve type (R-TV) differ significantly. To emphasize the advantages of the Tesla valve configurations over the conventional spiral runner (S), this section analyzes the cooling performance of various coolant inlet velocities, ranging from 0.8 m/s to 1.6 m/s, with a Tesla valve spacing (L) of 30 and 45 stages. The impact of the different inlet velocities and orientations on the motors’ cooling effect is also assessed. Comparative results with the conventional spiral runner cooling system are presented in Figure 9, Figure 10 and Figure 11.
At varying inlet velocities, the maximum temperature of the reverse flow is consistently lower than that of the forward flow, suggesting that the direction of the coolant inlet in the Tesla valve cooling channel significantly affects cooling performance. Specifically, the maximum temperature in the reverse flow Tesla valve channel at a coolant velocity of 1 m/s is reduced by 1.88 °C and 6.8 °C compared to the forward flow Tesla valve and the conventional spiral flow channel, respectively. Additionally, the temperature difference is reduced by 2.4% and 10.4%. However, the reverse flow results in a higher differential pressure, which increases energy consumption. The differential pressure for forward flow is consistently lower than that of reverse flow across all inlet velocities, confirming the unidirectional conductivity of the Tesla valve.
The coolant inlet velocity significantly affects the motor’s cooling performance. With velocities ranging from 0.8 m/s to 1.6 m/s, the motor’s maximum temperature decreases by 8.11 °C and 8.02 °C, respectively, while the temperature difference reduces by 10.38% and 10.11%. Concurrently, the pressure difference increases by 75.09% and 75.19% for forward and reverse flow conditions, respectively. These results suggest that the coolant inlet velocity has a more pronounced impact on the energy consumption of the Tesla valve runner under reverse flow. Under identical conditions, the pressure drop for reverse flow can be up to twice that of forward flow, further indicating that the coolant inlet velocity exerts a greater influence on the energy consumption of the Tesla valve flow path under reverse flow.

4.2. Influence of Tesla Valve Spacing

The spacing between adjacent Tesla valve structures in the motor flow path reflects the density of the arrangement, influencing both the heat dissipation performance and the pressure drop in the cooling path. In this study, all spiral flow paths within the motor are designed using Tesla valve structures, with the spacing (L) between them set at 10, 30, 50, 70, and 90 mm, respectively. The impact of this spacing on the motor’s cooling performance under different inlet directions is analyzed. The cooling effect and pressure drop are illustrated in Figure 12 and Figure 13.
As the spacing (L) increases, the maximum motor temperature decreases gradually. For the same spacing (L), both the maximum temperature and temperature difference are lower in reverse flow compared to forward flow. Under reverse flow, the arrangement of Tesla valve structures becomes sparser as the pitch increases. The optimal heat dissipation is observed when the pitch is 30 mm, resulting in a maximum motor temperature of 111.2 °C. The pressure drop also decreases with increasing pitch, showing a reduction of approximately 41.1% in reverse flow. This reduction in pressure drop, associated with a larger pitch (L), leads to a decrease in flow resistance within the cooling path, contributing to energy savings in the cooling system.

4.3. Influence of the Number of Tesla Valve Stages

For the traditional motor spiral runner, the length from the coolant inlet to the outlet is considerable. Thus, it is essential to analyze the effect of the number of Tesla valves on the cooling performance. The structure of the Tesla valves is kept constant, and a spacing of L = 0 is considered to examine the influence of varying Tesla valve stages on the cooling performance under both forward and reverse flow conditions. The number of stages is varied at 15, 30, 45, 60, and 75. As shown in Figure 14 and Figure 15, the cooling performance and energy consumption change with the number of stages. With an increase in the number of Tesla valve stages, the maximum temperature decreases gradually for both flow cases. Under forward flow, the maximum temperature decreases from 118.49 °C to 112.46 °C, and the temperature difference drops from 83.49 °C to 77.46 °C. However, the pressure drop increases by 73.48%. Under reverse flow, the maximum temperature decreases from 116.67 °C to 112.48 °C, with the temperature difference dropping from 81.67 °C to 77.48 °C. The pressure drop increases by 69.15%. As the number of Tesla valve stages increases, the Tesla valve structure reduces the motor’s maximum temperature; however, the pressure drop in the flow channel rises, leading to higher energy consumption.
The analysis of the effect of spacing L on the cooling performance reveals that a spacing of L = 30 yields relatively optimal results. Based on this finding, an examination was conducted by keeping other parameters constant and varying the number of stages to 8, 16, 24, 32, and 40, with the results presented in Figure 16 and Figure 17. As the number of stages increased, the maximum temperature under forward flow decreased from 117.15 °C to 112.21 °C, the temperature difference reduced from 82.15 °C to 77.21 °C, and the pressure drop increased by 70.41%. Similarly, under reverse flow, the maximum temperature decreased from 116.1 °C to 111.56 °C, the temperature difference dropped from 81.1 °C to 76.56 °C, and the pressure drop increased by 72.98%. Compared to the cooling performance at L = 0, when the Tesla valve structure fills the entire flow channel, the motor with 40 stages at L = 30 exhibits a lower maximum temperature, smaller temperature difference, and lower pressure drop, resulting in an improved cooling effect.

4.4. Sensitivity Analysis of Design Parameters

The analysis of individual factors reveals that varying the spacing and the number of stages influences the motor’s thermal performance. Within a certain range, there exists an equilibrium point for the design parameters’ evaluation index. To investigate the effects of spacing and the number of stages in the Tesla valve cooling channel on both the cooling efficiency and energy consumption of the motor, these two parameters are selected as analysis objectives. Given a fixed cooling channel length, the results show minimal changes when the spacing is reduced, while the number of stages varies significantly with larger spacing changes. In this study, the maximum numbers of stages for Tesla valve channels with reverse flow, corresponding to spacings of 10, 30, 50, 70, and 90, are taken to be 60, 40, 30, 25, and 20, respectively. Twenty-five sets of data are simulated and analyzed, as detailed in Table 5. All samples are tested under identical boundary conditions, with an inlet velocity set at 1 m/s. A comparison of the simulation results is shown in Figure 18.
In this study, the cooling channel width of the basic structure is 20 mm, and when the inlet velocity is 1 m/s, the Reynolds number is 10,000, indicating that the flow is in a turbulent state. Turbulence is characterized by highly disordered fluid motion and strong mixing properties, which significantly enhance the efficiency of the transfer of momentum, heat, and mass. At this time, the Nusselt number is 68, reflecting the high convective heat transfer intensity. There is a close relationship between the Nusselt number and the Reynolds number and Prandtl number, and for turbulent flows, the Nusselt number usually increases with the Reynolds number, which is consistent with the observed results. The correlation between these data shows that there is a clear physical link between the flow state and the heat transfer performance.
The CEI (Equation (7)) balances heat transfer (via Nu/Nu0) and hydraulic efficiency (via ΔP/ΔP0). A higher CEI indicates superior overall performance. In this study, CEI prioritizes temperature reduction over pressure drop, aligning with the motor’s thermal safety requirements.
The analysis indicates that increasing the number of stages reduces the maximum temperature but simultaneously increases the pressure drop. At the same number of stages, larger spacings also lower the maximum temperature, although they also lead to a higher pressure drop. Therefore, after analyzing the 25 sets of data, it is clear that maintaining an optimal balance between the cooling effect and minimizing the pressure drop is critical to reducing energy consumption. Based on the comprehensive evaluation indexes, the 21st set of data exhibits the highest CEI value, suggesting it offers the best overall performance. This configuration ensures a better balance between the motor’s cooling efficiency and energy consumption, with a lower pressure drop in the runners. The motor’s maximum temperature is 116.16 °C, the temperature difference is 81.16 °C, and the runner pressure drop is 29.53 kPa.
As observed in Table 5, designs with fewer stages exhibit higher CEI values and lower pressure drops, but at the cost of increased maximum temperatures. This trade-off arises because reducing the number of stages decreases flow resistance, thereby improving energy efficiency (higher CEI). However, having fewer stages also reduces the coolant’s turbulence and heat exchange efficiency, leading to higher motor temperatures. This highlights the need for a balanced design that optimizes both thermal performance and energy consumption.

5. Conclusions

To enhance the cooling performance of the permanent magnet motor cooling system for new energy vehicles, this study introduces a cooling runner featuring a Tesla valve structure. By simulating the loss distribution of the conventional motor, the temperature distribution of the motor with a spiral cooling flow channel was evaluated. Subsequently, the Tesla valve structure was incorporated into the spiral flow channel, and the temperature distribution of the motor was compared under different flow directions. Finally, the effects of pitch, number of stages, and inlet flow rate on the motor’s temperature rise were analyzed individually, and 25 simulation samples were used for sensitivity analysis. The key findings are as follows:
  • Compared to the traditional spiral flow channel, the cooling channel with a Tesla valve structure exhibits superior cooling performance, with variations in the cooling effect depending on the inlet direction; the Tesla valve design reduces the maximum temperature by 7.73% (from 118 °C to 111.2 °C) and the temperature difference by 10.94% (from 83 °C to 76.2 °C), while increasing the pressure drop by 6.5 times (from 9.88 kPa to 64.1 kPa). The reverse flow configuration of the Tesla valve results in a lower maximum temperature but a higher pressure drop.
  • The spacing (L) and number of stages (M) of the Tesla valve structure, along with the inlet flow rate, significantly influence the cooling efficiency. Increasing the number of stages reduces the maximum temperature while raising the pressure drops. A larger spacing, with the same number of stages, also lowers the maximum temperature but leads to an increase in the pressure drop.
  • The sensitivity analysis of the Tesla valve design parameters under reverse flow conditions reveals a balanced trade-off between cooling effectiveness and energy consumption. The optimal configuration, with a spacing of 90 mm and four stages at an inlet velocity of 1 m/s, results in a maximum temperature of 116.16 °C, a temperature difference of 81.16 °C, and a pressure drop of 29.53 kPa. Therefore, the Tesla valve cooling runner offers valuable insights for advancing motor cooling systems.
In addition, this study has certain limitations. For example, only simulation analysis was conducted to investigate the impact of the Tesla valve structure on motor cooling performance, without experimental validation. Future research could consider further validating the accuracy of the simulation results through experimental means and exploring the impact of more design parameters on cooling performance.

Author Contributions

Conceptualization, N.Z.; data curation, N.Z.; funding acquisition, H.W.; investigation, S.L.; methodology, N.Z. and H.W.; software, N.Z.; supervision, H.W., Z.L., and Y.M.; visualization, N.Z.; writing—original draft, N.Z.; writing—review and editing, H.W., Z.L., Y.M., and S.L. All authors have read and agreed to the published version of the manuscript.

Funding

This work was supported by the National Natural Science Foundation of China (Grant Nos. 52472405), the Hubei Province Central Guiding Local Science and Technology Development Special Project (2024CSA081), the Natural Science Foundation of Hubei Province (Grant Nos, 2024AFB219, 2024AFD042, 2024AFD045), and the Special Fund of Hubei Longzhong Laboratory of Xiangyang Science and Technology Plan (2024KF-22).

Institutional Review Board Statement

Not applicable.

Data Availability Statement

The original contributions presented in the study are included in the article, further inquiries can be directed to the corresponding author.

Conflicts of Interest

The authors declare no conflicts of interest.

References

  1. Li, S.; Li, Y.; Choi, W.; Sarlioglu, B. High-Speed Electric Machines: Challenges and Design Considerations. IEEE Trans. Transp. Electrif. 2016, 2, 2–13. [Google Scholar] [CrossRef]
  2. Chen, W.; Ju, Y.; Yan, D.; Guo, L.; Geng, Q.; Shi, T. Design and optimization of dual-cycled cooling structure for fully-enclosed permanent magnet motor. Appl. Therm. Eng. 2019, 152, 338–349. [Google Scholar] [CrossRef]
  3. Fang, G.; Yuan, W.; Yan, Z.; Sun, Y.; Tang, Y. Thermal management integrated with three-dimensional heat pipes for air-cooled permanent magnet synchronous motor. Appl. Therm. Eng. 2019, 152, 594–604. [Google Scholar] [CrossRef]
  4. Wu, Y.; Wang, C.; Chen, Y.; Cui, B. Influence of spacer insulator material temperature characteristics on its electric properties. Glob. Energy Interconnect. 2019, 2, 71–77. [Google Scholar] [CrossRef]
  5. Chen, Q.; Shao, H.; Huang, J.; Sun, H.; Xie, J. Analysis of Temperature Field and Water Cooling of Outer Rotor In-Wheel Motor for Electric Vehicle. IEEE Access 2019, 7, 140142–140151. [Google Scholar] [CrossRef]
  6. Pei, Z.; Zhao, J.; Song, J.; Zong, K.; He, Z.; Zhou, Y. Temperature Field Calculation and Water-Cooling Structure Design of Coreless Permanent Magnet Synchronous Linear Motor. IEEE Trans. Ind. Electron. 2021, 68, 1065–1076. [Google Scholar] [CrossRef]
  7. Xie, Y.; Zhao, X.; Cai, W.; Qi, G.; Wang, Z.; Zhang, Y.; Yang, Y. Design and optimisation of oil injection pipe cooling structure for permanent magnet synchronous motors in hybrid electric vehicles. IET Electr. Power Appl. 2024, 18, 345–355. [Google Scholar] [CrossRef]
  8. Liang, P.; Chai, F.; Shen, K.; Liu, W. Water Jacket and Slot Optimization of a Water-Cooling Permanent Magnet Synchronous In-Wheel Motor. IEEE Trans. Ind. Appl. 2021, 57, 2431–2439. [Google Scholar] [CrossRef]
  9. Satrústegui, M.; Martinez-Iturralde, M.; Ramos, J.C.; Gonzalez, P.; Astarbe, G.; Elosegui, I. Design criteria for water cooled systems of induction machines. Appl. Therm. Eng. 2017, 114, 1018–1028. [Google Scholar] [CrossRef]
  10. Zhao, X.; Cui, H.; Teng, Y.; Chen, Z.; Liu, G. Design and analysis of a high loss density motor cooling system with water cold plates. Glob. Energy Interconnect. 2023, 6, 343–354. [Google Scholar] [CrossRef]
  11. Li, Y.; Li, C.; Garg, A.; Gao, L.; Li, W. Heat dissipation analysis and multi-objective optimization of a permanent magnet synchronous motor using surrogate assisted method. Case Stud. Therm. Eng. 2021, 27, 101203. [Google Scholar] [CrossRef]
  12. Purwidyantri, A.; Prabowo, B.A. Tesla Valve Microfluidics: The Rise of Forgotten Technology. Chemosensors 2023, 11, 256. [Google Scholar] [CrossRef]
  13. Sun, L.; Li, J.; Xu, H.; Ma, J.; Peng, H. Numerical study on heat transfer and flow characteristics of novel microchannel heat sinks. Int. J. Therm. Sci. 2022, 176, 107535. [Google Scholar] [CrossRef]
  14. Porwal, P.R.; Thompson, S.M.; Walters, D.K.; Jamal, T. Heat transfer and fluid flow characteristics in multistaged Tesla valves. Numer. Heat Transf. Part A Appl. 2018, 73, 347–365. [Google Scholar] [CrossRef]
  15. Liu, Z.; Shao, W.; Sun, Y.; Sun, B.-H. Scaling law of the one-direction flow characteristics of symmetric Tesla valve. Eng. Appl. Comput. Fluid Mech. 2022, 16, 441–452. [Google Scholar] [CrossRef]
  16. Lu, Y.; Wang, J.; Liu, F.; Liu, Y.; Wang, F.; Yang, N.; Lu, D.; Jia, Y. Performance optimisation of Tesla valve-type channel for cooling lithium-ion batteries. Appl. Therm. Eng. 2022, 212, 118583. [Google Scholar] [CrossRef]
  17. Albana, M.H.; Putra, A.B.K.; Guntur, H.L. The Impact of Wafters on the Thermal Properties and Performance of In-Wheel Motor. World Electr. Veh. J. 2024, 15, 542. [Google Scholar] [CrossRef]
  18. Ni, T.; Si, J.; Li, F.; Pan, C.; Li, D.; Pan, M.; Guan, W. Performance analysis on the liquid cooling plate with the new Tesla valve capillary channel based on the fluid solid coupling simulation. Appl. Therm. Eng. 2023, 232, 120977. [Google Scholar] [CrossRef]
  19. Zhao, Y.; Wang, R.; Gao, D.; Chen, H.; Zhang, H. Numerical investigation and optimization of a multi-stage Tesla-valve channel based photovoltaic/thermal module. Renew. Energy 2024, 228, 120573. [Google Scholar] [CrossRef]
  20. Kang, M.; Wang, H.; Guo, L.; Shi, T.; Xia, C. Self-circulation cooling structure design of permanent magnet machines for electric vehicle. Appl. Therm. Eng. 2020, 165, 114593. [Google Scholar] [CrossRef]
  21. Wang, H.; Zhang, C.; Guo, L.; Li, X. Novel revolving heat pipe cooling structure of permanent magnet synchronous motor for electric vehicle. Appl. Therm. Eng. 2024, 236, 121641. [Google Scholar] [CrossRef]
  22. Albana, M.H.; Guntur, H.L.; Putra, A.B.K. Modification of the In-Wheel Motor Housing and Its Effect on Temperature Reduction. World Electr. Veh. J. 2024, 15, 78. [Google Scholar] [CrossRef]
  23. Ding, S.; Liu, J.; Zhang, L. Fan characteristics of the self-support components of rotor ends and its performance matching. Int. J. Heat Mass Transf. 2017, 108, 1917–1923. [Google Scholar] [CrossRef]
  24. Lu, Q.; Zhang, X.; Chen, Y.; Huang, X.; Ye, Y.; Zhu, Z.Q. Modeling and Investigation of Thermal Characteristics of a Water-Cooled Permanent-Magnet Linear Motor. IEEE Trans. Ind. Appl. 2015, 51, 2086–2096. [Google Scholar] [CrossRef]
  25. Huang, C.; Xiong, L.; Hu, L.; Gong, Y. Thermal Design and Analysis of Oil-Spray-Cooled In-Wheel Motor Using a Two-Phase Computational Fluid Dynamics Method. World Electr. Veh. J. 2023, 14, 184. [Google Scholar] [CrossRef]
  26. Khan, M.Z.U.; Younis, M.Y.; Akram, N.; Akbar, B.; Rajput, U.A.; Bhutta, R.A.; Uddin, E.; Jamil, M.A.; Márquez, F.P.G.; Bin Zahid, F. Investigation of heat transfer in wavy and dual wavy micro-channel heat sink using alumina nanoparticles. Case Stud. Therm. Eng. 2021, 28, 101515. [Google Scholar] [CrossRef]
  27. Liu, X.; Yu, H.; Shi, Z.; Xia, T.; Hu, M. Electromagnetic-fluid-thermal field calculation and analysis of a permanent magnet linear motor. Appl. Therm. Eng. 2018, 129, 802–811. [Google Scholar] [CrossRef]
Figure 1. The 3D model of the motor.
Figure 1. The 3D model of the motor.
Wevj 16 00169 g001
Figure 2. Parametric design of the Tesla-valved flow channel.
Figure 2. Parametric design of the Tesla-valved flow channel.
Wevj 16 00169 g002
Figure 3. Tesla-valved cooling runner.
Figure 3. Tesla-valved cooling runner.
Wevj 16 00169 g003
Figure 4. Temperature distribution of the motor components.
Figure 4. Temperature distribution of the motor components.
Wevj 16 00169 g004
Figure 5. Motor temperature distribution.
Figure 5. Motor temperature distribution.
Wevj 16 00169 g005
Figure 6. Comparison of the surface temperature distribution of the cooling channels.
Figure 6. Comparison of the surface temperature distribution of the cooling channels.
Wevj 16 00169 g006
Figure 7. Comparison of cooling channels indicating pressure distribution.
Figure 7. Comparison of cooling channels indicating pressure distribution.
Wevj 16 00169 g007
Figure 8. Turbulent kinetic energy distribution.
Figure 8. Turbulent kinetic energy distribution.
Wevj 16 00169 g008
Figure 9. Variation in maximum temperature with inlet velocity for three cooling runners.
Figure 9. Variation in maximum temperature with inlet velocity for three cooling runners.
Wevj 16 00169 g009
Figure 10. Variation in temperature difference with inlet velocity for three cooling runners.
Figure 10. Variation in temperature difference with inlet velocity for three cooling runners.
Wevj 16 00169 g010
Figure 11. Variation in pressure drop with inlet velocity for three cooling runners.
Figure 11. Variation in pressure drop with inlet velocity for three cooling runners.
Wevj 16 00169 g011
Figure 12. Effect of L on the cooling effectiveness and energy consumption under forward flow.
Figure 12. Effect of L on the cooling effectiveness and energy consumption under forward flow.
Wevj 16 00169 g012
Figure 13. Effect of L on the cooling effectiveness and energy consumption under reverse flow.
Figure 13. Effect of L on the cooling effectiveness and energy consumption under reverse flow.
Wevj 16 00169 g013
Figure 14. Influence of the number of stages on the cooling effectiveness and energy consumption under forward flow.
Figure 14. Influence of the number of stages on the cooling effectiveness and energy consumption under forward flow.
Wevj 16 00169 g014
Figure 15. Influence of the number of stages on the cooling effect and energy consumption under reverse flow.
Figure 15. Influence of the number of stages on the cooling effect and energy consumption under reverse flow.
Wevj 16 00169 g015
Figure 16. Influence of the number of stages on the cooling effect and energy consumption under forward flow spacing L = 30.
Figure 16. Influence of the number of stages on the cooling effect and energy consumption under forward flow spacing L = 30.
Wevj 16 00169 g016
Figure 17. Influence of the number of stages on the cooling effect and energy consumption under reverse flow spacing L = 30.
Figure 17. Influence of the number of stages on the cooling effect and energy consumption under reverse flow spacing L = 30.
Wevj 16 00169 g017
Figure 18. Sensitivity analysis results for cooling channel configurations.
Figure 18. Sensitivity analysis results for cooling channel configurations.
Wevj 16 00169 g018
Table 1. Main parameters of the motor.
Table 1. Main parameters of the motor.
ParametersDate
power40 kW
rotation speed5000 r·min−1
number of stator slots48
number of poles8
outer diameter of stator100 mm
outer diameter of rotor65 mm
Table 2. Values of motor component losses.
Table 2. Values of motor component losses.
PartsLosses (W)Heat Production Rate (W·m−3)
stator580362,500
rotor785759
winding420680,148
permanent magnet188564
Table 3. Basic material parameters of the motor components.
Table 3. Basic material parameters of the motor components.
PartsMaterialThermal Conductivity (W/m/°C)Thermal Specific Capacity (J/kg/°C)Density (kg/m3)
HousingAluminum Alloy1688302700
Stator and Rotor CoreSilicon Steel Sheet Lamination35/35/1.214607800
MagnetsN40UH94207600
WindingsCopper384.94008954
CoolantWater0.642001000
Note: The anisotropic thermal conductivity of the laminated cores is specified as λxyz.
Table 4. Design parameters of the Tesla valve cooling channel.
Table 4. Design parameters of the Tesla valve cooling channel.
ParameterSymbolRangeSelection Basis
Spacing between valvesL10–90 mmBased on motor housing dimensions and flow path length
Number of stagesM4–60Determined by channel length and valve geometry (Section 4.3)
Inlet velocityV0.8–1.6 m/sOptimized for energy efficiency and cooling performance
Table 5. Simulation samples.
Table 5. Simulation samples.
NumberDesign ParametersEvaluation IndexCEI
Distance L(mm)Number of Stages MMaximum Temperature (°C)Temperature Difference (°C)Pressure Drop (kPa)
11012115.8480.8447.241.00
21024115.3780.3771.770.62
31036113.6578.6583.550.54
41048112.9678.9597.870.45
51060111.6476.64172.690.26
6308116.181.144.021.09
73016114.279.273.620.64
83024113.0478.04106.090.45
93032112.6177.61129.680.36
103040111.5676.56162.930.29
11506116.281.237.421.28
125012114.5979.5958.140.82
135018113.9378.9380.420.60
145024113.1178.11102.660.47
155030111.6676.66136.690.35
16705116.1281.1233.191.45
177010114.579.551.360.94
187015113.9678.9668.540.70
197020113.2378.2389.110.54
207025112.2177.21117.670.41
21904116.1681.1629.531.63
22908114.8479.8442.071.14
239012114.5379.5357.760.84
249016113.5178.5173.290.66
259020112.5177.51101.710.48
Disclaimer/Publisher’s Note: The statements, opinions and data contained in all publications are solely those of the individual author(s) and contributor(s) and not of MDPI and/or the editor(s). MDPI and/or the editor(s) disclaim responsibility for any injury to people or property resulting from any ideas, methods, instructions or products referred to in the content.

Share and Cite

MDPI and ACS Style

Zhou, N.; Wu, H.; Li, Z.; Ma, Y.; Lu, S. Optimization of Tesla Valve Cooling Channels for High-Efficiency Automotive PMSM. World Electr. Veh. J. 2025, 16, 169. https://doi.org/10.3390/wevj16030169

AMA Style

Zhou N, Wu H, Li Z, Ma Y, Lu S. Optimization of Tesla Valve Cooling Channels for High-Efficiency Automotive PMSM. World Electric Vehicle Journal. 2025; 16(3):169. https://doi.org/10.3390/wevj16030169

Chicago/Turabian Style

Zhou, Ning, Huawei Wu, Zhi Li, Yubo Ma, and Shaokang Lu. 2025. "Optimization of Tesla Valve Cooling Channels for High-Efficiency Automotive PMSM" World Electric Vehicle Journal 16, no. 3: 169. https://doi.org/10.3390/wevj16030169

APA Style

Zhou, N., Wu, H., Li, Z., Ma, Y., & Lu, S. (2025). Optimization of Tesla Valve Cooling Channels for High-Efficiency Automotive PMSM. World Electric Vehicle Journal, 16(3), 169. https://doi.org/10.3390/wevj16030169

Article Metrics

Back to TopTop