The Impact of DSO Grid-Integration Measures on EV Users in Germany
Abstract
1. Introduction
- a flat-rate grid fee reduction (Module 1),
- a flat-rate energy price reduction in the grid fee (Module 2),
- an optional time-variable grid fee tariff replacing the static energy price of the grid fee (Module 3).
2. Methods
2.1. Optimization Model eFlame
2.1.1. Unmanaged Charging in eFlame
2.1.2. Smart Charging in eFlame
2.1.3. Implementation of the Remuneration Mechanism of the § 14a Framework into the Optimization Model eFlame
2.1.4. Implementation of Sudden Power Reduction of the § 14a Framework
- Using , each time step can be identified when a signal arrives: .
- If this time step coincides with the start of a rolling optimization time window, no new rolling optimization is initiated. Otherwise, a new rolling optimization is created.
- If a power reduction spans multiple time steps, it is treated as a single signal, resulting in only one new rolling optimization.
2.2. Case Study (And Parametrization)
3. Results
3.1. Impact of Variable Grid Fee Tariffs on Electricity Costs
3.2. Impact of Power Reduction on Costs and Charging Profile
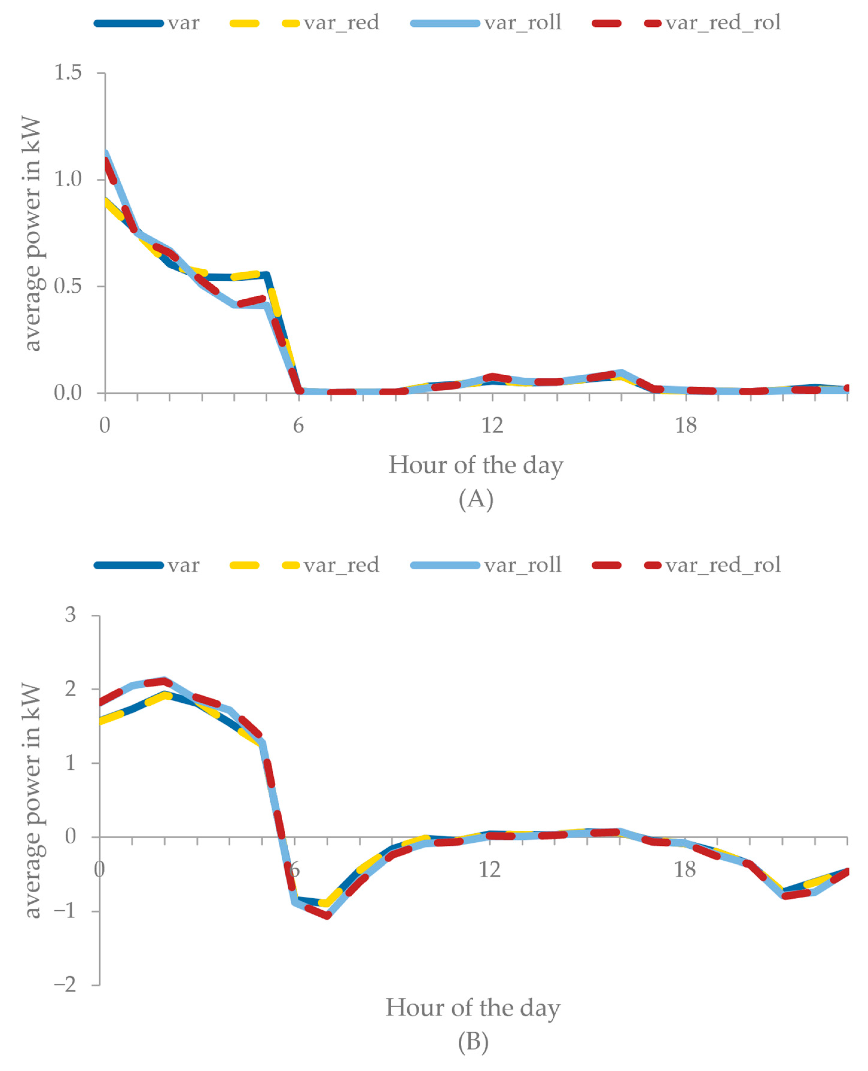
3.2.1. Impact of Rolling Horizon Compared to Yearly Optimization
3.2.2. Impact of Power Reduction on Costs and Charging Profile for Different Grids
4. Discussion and Conclusions
- Electricity Prices: The impact of the § 14a framework on the yearly costs is highly dependent on the selected electricity price. The electricity prices used in this study are relatively flat with long periods at the same price, as they are modeled prices from an energy system model. This reduces the impact on the yearly costs. In further work, different price scenarios should be tested. In this study, we were limited to these prices as they were also used to create the power reduction time series.
- Power Reduction Time Series: The impact of power reduction is small due to the limited number of time steps with a power reduction signal (between 0.4% and 2.6%, depending on the grid). The impact would be larger if more time steps were affected. This could be achieved by selecting extreme simulations instead of average simulations from the Agora study [14]. While extreme simulations might yield more interesting results, they could also be less realistic or less common. Next year, when more real data are available, future work should address this.
- Simplifications: There are some simplifications in this study, such as considering only one vehicle class, omitting any restrictions on the amount of discharging, calculating only one year, and only performing the direct control of the EVs and no indirect control via an EMS. The highest impact of these simplifications might be the simulation year, as the electricity price characteristic significantly impact the smart EV charging behavior. For different years, a shift towards midday or night charging might occur. Additionally, we use linear optimization, as high (discharging) power does not require variable efficiency and no Mixed-Integer Linear Programming. However, if more hours with power reduction and, therefore, more hours with reduced charging power exist, this simplification should be reconsidered. For the current study, it is not necessary.
- Impact of variable grid fee tariffs on EV users: Significant cost savings for smart charging for EV users in 2035 can be achieved when variable grid fee tariffs are introduced. Cost savings for smart unidirectional charging range from 44 to 105 EUR/a, while for smart bidirectional charging, from 225 to 273 EUR/a, resulting in almost no costs for charging at all for bidirectional charging. This is possible as no cycle restriction was considered, increasing the discharging energy from 80 kWh/a for a constant grid fee to over 2000 kWh/a for a variable grid fee tariff. Only a small cost increase of up to 17 EUR/a for unmanaged charging for variable grid fee tariffs occurs.
- Impact of a power reduction signal on EV users: When a power reduction signal is considered in the evaluation of EV users in the § 14a framework, only a marginal effect on the costs and the charging behavior could be observed. Even if different grid types or a rolling horizon are considered, this general statement does not change. The small impact on EV users is determined because a power reduction signal exists only for a few hours, resulting in even fewer relevant hours when the charging power is actually reduced. In the case power is actually shifted, no impact on the costs occurs, as the selected electricity prices are characterized by long periods with the same price level.
- Rolling optimization: The impact of the type of modeling (whether rolling optimization is used or not) on the costs and charging behavior of EV users is stronger than the impact of the power reduction signal.
- Overall impact of the power reduction measures of the § 14a framework on Germany from a system perspective: Aggregating the effect of the power reduction measures for Germany, no high impact on the total load profile is expected on average, as for all selected grids, no large impact of the power reduction measures could be identified.
Author Contributions
Funding
Data Availability Statement
Conflicts of Interest
Nomenclature
| BNetzA | Federal Network Agency |
| DSO | Distribution grid operator |
| EMS | Energy management system |
| EV | Electric vehicle |
| EVSE | Charging station |
| HP | Heat pump |
| HT | High pricing tariff |
| iMSys | Intelligent metering system |
| NT | Low pricing tariff |
| PV | Photovoltaic |
| SIPs | State-induced price components |
| SOC | State of Charge (SOC) |
| ST | Standard pricing tariff |
| Binary timeseries if timestep of departure | |
| Sample time | |
| Timeseries with consumption while driving | |
| Maximal EV battery capacity | |
| Charging efficiency | |
| Discharging efficiency | |
| Binary timeseries if the EV is connected | |
| Maximal charging power | |
| Maximal discharging power | |
| Timeseries with power reduction | |
| Timeseries with electricity prices for electricity procurement containing SIP and grid fee | |
| Timeseries with electricity prices for selling electricity and the compensation of SIP components for temporarily stored electricity | |
| Safety SOC | |
| SOC at departure | |
| Timeseries with public charged energy | |
| Battery charge level of EV battery | |
| Charging power of EV | |
| Discharging power of EV |
References
- Zahler, J.; Vollmuth, P.; Ostermann, A. Unlocking the Potential: An In-Depth Analysis of Factors Shaping the Success of Smart and Bidirectional Charging in a Cross-Country Comparison. Energies 2024, 17, 3637. [Google Scholar] [CrossRef]
- Beschluss zur Integration von Steuerbaren Verbrauchseinrichtungen und Steuerbaren Netzanschlüssen nach § 14a, E.n.W.G. Available online: https://www.bundesnetzagentur.de/DE/Beschlusskammern/1_GZ/BK6-GZ/2022/BK6-22-300/Beschluss/BK6-22-300_Beschluss_20231127.pdf?__blob=publicationFile&v=1 (accessed on 5 November 2024).
- Beschluss zur Festlegung von Netzentgelten für Steuerbare Anschlüsse und Verbrauchseinrichtungen (NSAVER) nach § 14a, E.n.W.G. Available online: https://www.bundesnetzagentur.de/DE/Beschlusskammern/1_GZ/BK8-GZ/2022/2022_4-Steller/BK8-22-0010/BK8-22-0010-A_Festlegung_Download.pdf?__blob=publicationFile&v=5 (accessed on 5 November 2024).
- Meier, H.; Fünfgeld, C.; Adam, T.; Schieferdecker, B. Repräsentative VDEW-Lastprofile; VDEW: Frankfurt, Germany, 1999. [Google Scholar]
- Variable Netzentgelte als Option für Steuerbare Verbrauchseinrichtungen nach § 14a. Available online: https://www.ffe.de/veroeffentlichungen/variable-netzentgelte-als-option-fuer-steuerbare-verbrauchseinrichtungen-nach-%C2%A714a/ (accessed on 1 December 2024).
- Meese, J.; Schnittmann, E.; Schmidt, R.; Zdrallek, M.; Armoneit, T. Optimized Charging of Electrical Vehicles Based on the Day-Ahead Auction and Continuous Intraday Market. In Proceedings of the E-Mobility Power System Integration Symposium, Wuppertal, Germany, 15 October 2018. [Google Scholar]
- Schmidt, R.; Schnittmann, E.; Meese, J.; Dahlmann, B.; Zdrallek, M.; Armoneit, T. Revenue-optimized Marketing of electric Vehicles’ Flexibility Options. In Proceedings of the International ETG-Congress 2019, Esslingen, Germany, 8–9 May 2019; ISBN 978-3-8007-4954-6. [Google Scholar]
- Wang, M.; Craig, M.T. The value of vehicle-to-grid in a decarbonizing California grid. J. Power Sources 2021, 513, 230472. [Google Scholar] [CrossRef]
- Ziemsky, V.; Biedenbach, F. Attractiveness and Business Model Potential of the Spot Market Optimized Charging of Electric Vehicles. Transp. Res. Procedia 2023, 70, 99–106. [Google Scholar] [CrossRef]
- von Bonin, M.; Dörre, E.; Al-Khzouz, H.; Braun, M.; Zhou, X. Impact of Dynamic Electricity Tariff and Home PV System Incentives on Electric Vehicle Charging Behavior: Study on Potential Grid Implications and Economic Effects for Households. Energies 2022, 15, 1079. [Google Scholar] [CrossRef]
- Mueller, N.A.; Reinkoester, N.; Schuster, M.; Engel, B. Simulation-aided evaluation of regulatory requirements for control in the low-voltage grid. In Proceedings of the NEIS 2023 Conference on Sustainable Energy Supply and Energy Storage Systems, Braunschweig, Germany, 4–5 September 2023; ISBN 978-3-8007-6134-0. [Google Scholar]
- Steffen, T.; Wiegel, B.; Becker, C. Beitrag zur Transformation des deutschen Verteilnetzes und Auswirkungen gesetzlicher Änderungen. In Proceedings of the 18, Symposium Energieinnovation EnInnov 2024, Hamburg, Germany, 14–16 February 2024. [Google Scholar]
- Ganz, K.; Vollmuth, P.; Hinterstocker, M. The Impact of Variable Grid Fee Tariffs on the Electricity Costs of EV Users in Germany. In Proceedings of the 8th E-Mobility Power System Integration Symposium, Helsinki, Finland, 7–8 October 2024. [Google Scholar] [CrossRef]
- Godron, P.; Herrndorff, M.; Müller, S.; Schaber, K.; Zackariat, M.; Jooß, N.; Köppl, S.; Müller, M.; Reinhard, J.; von Roon, S.; et al. Haushaltsnahe Flexibilitäten Nutzen. Wie Elektrofahrzeuge, Wärmepumpen und Co. Die Stromkosten für Alle Senken Können; Agora Energiewende: Berlin, Germany, 2023. [Google Scholar]
- Vanselow, A.; Krahl, S.; Moser, A.; Fröhlich, C.; Wirth, C. Simulation and analysis of congestion management utilizing load-side flexibilities within the distribution grid. In Proceedings of the 2023 IEEE PES Innovative Smart Grid Technologies Europe (ISGT EUROPE), Aachen, Germany, 23–26 October 2023. [Google Scholar] [CrossRef]
- Zeitvariable Netztarife und Intelligentes Energiemanagement für flexible Netzkunden—Innovatives Konzept zur Förderung und Nutzung von Flexibilitätspotenzialen im Verteilnetz und Dessen Praktische Umsetzung; E-Bridge Consulting GmbH: Bonn, Germany, 2020.
- Talmond, F.; Becker, C.; Zdrallek, M.; Hetzel, S.; Dietzler, U. Modeling and application of a load management system for controllable appliances for low-voltages network planning. In Proceedings of the CIRED 2024 Vienna Workshop: Increasing Distribution Network Hosting Capacity, Wien, Austria, 19–20 June 2024. [Google Scholar]
- Barta, V.; Gebert, A.; Baumgartner, S.; Uhrig, S.; Witzmann, R. Behaviour of Grid-Oriented Controlled Heat Pumps. In Proceedings of the CIRED 2024 Vienna Workshop: Increasing Distribution Network Hosting Capacity, Wien, Austria, 19–20 June 2024. [Google Scholar]
- Integration von Steuerbaren Verbrauchseinrichtungen. Available online: https://www.bundesnetzagentur.de/DE/Vportal/Energie/SteuerbareVBE/start.html (accessed on 16 February 2025).
- Kern, T.; Dossow, P.; Morlock, E. Revenue opportunities by integrating combined vehicle-to-home and vehicle-to-grid applications in smart homes. Appl. Energy 2021, 307, 118187. [Google Scholar] [CrossRef]
- Vollmuth, P.; Wohlschlager, D.; Wasmeier, L.; Kern, T. Prospects of electric vehicle V2G multi-use—Profitability and GHG emissions for use case combinations of smart and bidirectional charging today and 2030. Appl. Energy 2024, 371, 123679. [Google Scholar] [CrossRef]
- Ganz, K.; Kern, T.; Hinterstocker, M. Systemic Evaluation of PV Self-Consumption Optimization Using Electric Vehicles. World Electr. Veh. J. 2024, 15, 98. [Google Scholar] [CrossRef]
- Biedenbach, F.; Ziemsky, V. Opportunity or Risk? Model-based Optimization of Electric Vehicle Charging Costs for Different Types of Variable Tariffs from a Consumer Perspective. In Proceedings of the CIRED Porto Workshop 2022, Porto, Portugal, 2–3 June 2022. [Google Scholar]
- Biedenbach, F.; Blume, Y. Multi-Use Optimization of a Depot for Battery-Electric Heavy-Duty Trucks. World Electr. Veh. J. 2024, 15, 84. [Google Scholar] [CrossRef]
- Preis, V.; Biedenbach, F. Assessing the incorporation of battery degradation in vehicle-to-grid optimization models. Energy Inform. 2023, 23 (Suppl. S1), 33. [Google Scholar] [CrossRef]
- eFlame—Electric Flexibility Assessment Modeling Environment. Available online: https://www.ffe.de/tools/eflame-electric-flexibility-assessment-modeling-environment/ (accessed on 7 November 2024).
- Jooß, N.; Blume, Y.; Papke, A.; Hilpert, J. Einfluss der Befreiung von Strompreisbestandteilen auf den Use Case vehicle to grid. In Proceedings of the ETG Kongress 2023, Kassel, Germany, 25–26 May 2023. [Google Scholar]
- Althoff, E.; Dambeck, H.; Falkenberg, H.; Wünsch, A.; Wünsch, M.; Ziegenhagen, I.; Maurer, C.; Willemsen, S.; Dröscher, T.; Heilmann, F.; et al. Klimaneutrales Stromsystem 2035. Wie der Deutsche Stromsektor bis zum Jahr 2035 Klimaneutral Werden Kann; Agora Energiewende: Berlin, Germany, 2022. [Google Scholar]
- Dossow, P.; Kern, T.; von Roon, S. Entwicklungsrahmen der Haushaltsstrompreise in Deutschland; FfE: Munich, Germany, 2021. [Google Scholar]
- Stedem, P.; Ganz, K.; Vollmuth, P. Konsistente Parameterbereiche zur Modellierung Intelligenter Elektrofahrzeuge im Energiesystem; FfE: Munich, Germany, 2024. [Google Scholar]
- BMVI: Mobilität in Deutschland—MiD Ergebnisbericht. Available online: https://www.bmvi.de/SharedDocs/DE/Artikel/G/mobilitaet-in-deutschland.html (accessed on 20 April 2020).
- Fattler, S. Economic and Environmental Assessment of Electric Vehicle Charging Strategies. Ph.D. Thesis, TU Munich, Munich, Germany, 2021. [Google Scholar]
- Project Webpage: unIT-e2: Reallabor für verNETZe E-Mobilität—Wir Mobilisieren die Digitale Energiewende. Available online: https://unit-e2.de/ (accessed on 29 November 2024).
- Weiß, A.; Wendlinger, E.; Hecker, M.; Praktiknjo, A. Determination, Evaluation, and Validation of Representative Low-Voltage Distribution Grid Clusters. Energies 2024, 17, 4433. [Google Scholar] [CrossRef]
- Ganz, K.; Helmer, N. Assessing the Impact of Smart Charging Electric Vehicles in the Future German Energy System. In Proceedings of the 272024 International Conference on Smart Energy Systems and Technologies (SEST), Torino, Italy, 10–12 September 2024. [Google Scholar] [CrossRef]
- Regener, V.; Köppl, S.; Klarmann, T.; Hilpert, J. Der unIT-e2 KOALA—Ein Anreizbasierter Mechanismus zur Koordination Netzorientierter Steuerungsvorgänge; FfE: Munich, Germany, 2024. [Google Scholar]




| Scenario Name | Grid Fee | Power Reduction | Optimization Type |
|---|---|---|---|
| const | Constant grid fee | No | No rolling horizon |
| var | Variable grid fee (‘base’ and ‘PV’) | No | No rolling horizon |
| var_red | Variable grid fee (‘base’ and ‘PV’) | Yes (10 grids) | No rolling horizon |
| var_roll | Variable grid fee (‘base’) | No | Rolling horizon |
| var_red_roll | Variable grid fee (‘base’) | Yes (1 grid) | Rolling horizon |
| Parameter | Values |
|---|---|
| Simulation year | 2035 |
| Electricity price | Hourly energy system model price, average 8.14 ct/kWh |
| Constant grid fee, or ST level | 10.83 ct/kWh |
| SIPs | 4.52 ct/kWh |
| Exemption from SIPs for discharging | 3.26 ct/kWh |
| VAT | 19% |
| EV type | Medium class |
| EV battery capacity | 60 kWh |
| Maximum (discharging) power | 11 kW |
| Charging strategies | (1) unmanaged, (2) smart uni, (3) smart bidirectional charging |
| Roundtrip efficiency | 0.89 |
| Minimal SOC | 0.31 |
| SOC at departure | 0.70 |
| EV profiles | 999 driving profiles |
| Name | NT | HT | Quarters with Variable Tariffs |
|---|---|---|---|
| Base | 0–6 am 25% of standard | 5–9 pm 136% of standard | 4 quarters |
| PV | 10 am–2 pm 10% of standard | 5–9 pm 185% of standard | 2 summer quarters |
| Grid | Number of Hours with Power Reduction | Average Length of Signal | Share of Signal with a Duration of 15 min |
|---|---|---|---|
| (1) Low-density residential | 108.50 h | 44 min | 32% |
| (2) Medium-density residential | 231.50 h | 49 min | 28% |
| (3) High-density residential | 138.25 h | 44 min | 32% |
| (4) Low-density multi-family residential | 83.00 h | 45 min | 32% |
| (5) Multi-family residential | 35.00 h | 45 min | 28% |
| (6) High-density multi-family residential | 123.75 h | 58 min | 31% |
| (7) Urban multi-family residential | 82.25 h | 35 min | 46% |
| (8) High-rise | 54.25 h | 31 min | 57% |
| (9) Scattered settlement mixed-use | 63.75 h | 41 min | 33% |
| (10) Medium-density mixed-use | 30.75 h | 46 min | 25% |
| Charging Strategy | Hours with Signal with no Charging Planned | Hours with Signal with Reduced Charging Power | Shifted Energy |
|---|---|---|---|
| DIRECT | 105.2 h | 2.3 h | 9.3 kWh/a |
| UNI | 93.8 h | 9.1 h | 36.4 kWh/a |
| BIDI | 85.1 h | 15.9 h | 61.6 kWh/a |
Disclaimer/Publisher’s Note: The statements, opinions and data contained in all publications are solely those of the individual author(s) and contributor(s) and not of MDPI and/or the editor(s). MDPI and/or the editor(s) disclaim responsibility for any injury to people or property resulting from any ideas, methods, instructions or products referred to in the content. |
© 2025 by the authors. Published by MDPI on behalf of the World Electric Vehicle Association. Licensee MDPI, Basel, Switzerland. This article is an open access article distributed under the terms and conditions of the Creative Commons Attribution (CC BY) license (https://creativecommons.org/licenses/by/4.0/).
Share and Cite
Ganz, K.; Vollmuth, P. The Impact of DSO Grid-Integration Measures on EV Users in Germany. World Electr. Veh. J. 2025, 16, 110. https://doi.org/10.3390/wevj16020110
Ganz K, Vollmuth P. The Impact of DSO Grid-Integration Measures on EV Users in Germany. World Electric Vehicle Journal. 2025; 16(2):110. https://doi.org/10.3390/wevj16020110
Chicago/Turabian StyleGanz, Kirstin, and Patrick Vollmuth. 2025. "The Impact of DSO Grid-Integration Measures on EV Users in Germany" World Electric Vehicle Journal 16, no. 2: 110. https://doi.org/10.3390/wevj16020110
APA StyleGanz, K., & Vollmuth, P. (2025). The Impact of DSO Grid-Integration Measures on EV Users in Germany. World Electric Vehicle Journal, 16(2), 110. https://doi.org/10.3390/wevj16020110

