Advancing Dual-Active-Bridge DC–DC Converters with a New Control Strategy Based on a Double Integral Super Twisting Sliding Mode Control
Abstract
1. Introduction
- This work presents a new DI-STSMC technology aimed at improving power electronic converter control performance in EV chargers. We have shown, by thorough Lyapunov stability analysis, that the proposed DI-STSMC guarantees zero steady-state error, offering strong system stability without requiring the conventional Bode analysis that is usually used for linear systems. This breakthrough in methodology establishes a new benchmark for preserving exact control in intricate, nonlinear systems.
- Comparing the DI-STSMC methodology to conventional SMC and ISMC techniques, our research demonstrates a considerable improvement in ripple performance. The robustness of the DI-STSMC under various load situations and step changes in reference voltage is validated by thorough simulations and Hardware-in-the-Loop (HIL) evaluations, underscoring its usefulness in preserving stability and optimum performance in real-world scenarios. These validations attest to the DI-STSMC methodology’s applicability and dependability for EV charging applications.
- This work utilizes Typhoon HIL for plant simulations and the Imperix controller for the practical operation of DI-STSMC, which offers a useful framework that highlights the viability of our methodology. While in-depth loss evaluations were not the focus of this study, we describe future work that will integrate loss modeling and thorough analysis to further improve the usefulness of the DI-STSMC technique. This research contributes to theoretical understanding and offers useful direction for the design and implementation of sophisticated control systems in EV chargers by providing these in-depth insights and recommendations.
2. Modeling of DAB Converter
3. Design of Controllers
3.1. Sliding Mode Control Design
Lyapunov Stability of SMC
3.2. Integral SMC
Lyapunov Stability of Integral SMC
3.3. Double Integral Sliding Mode Control Design
Lyapunov Stability of Double Integral SMC
3.4. Design of Double Integral Super Twisting SMC
Lyapunov Stability of Double Integral Supertwisting SMC
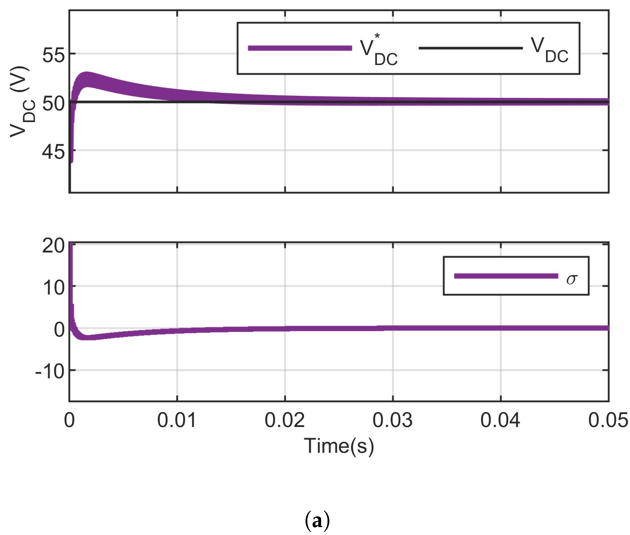
4. Results and Discussions
5. Experimental Results
Practical Implementation and Limitations
6. Conclusions
Author Contributions
Funding
Institutional Review Board Statement
Data Availability Statement
Acknowledgments
Conflicts of Interest
References
- Min, J.; Ordonez, M. Bidirectional Resonant CLLC Charger for Wide Battery Voltage Range: Asymmetric Parameters Methodology. IEEE Trans. Power Electron. 2021, 36, 6662–6673. [Google Scholar] [CrossRef]
- Deshmukh, S.; Iqbal, A.; Islam, S.; Khan, I.; Marzband, M.; Rahman, S.; Al-Wahedi, A.M.A.B. Review on classification of resonant converters for electric vehicle application. Energy Rep. 2022, 8, 1091–1113. [Google Scholar] [CrossRef]
- Narasipuram, R.P.; Mopidevi, S.; Dianov, A.; Tandon, A.S. Analysis of Scalable Resonant DC–DC Converter using GaN switches for xEV Charging Stations. World Electr. Veh. J. 2024, 15, 218. [Google Scholar] [CrossRef]
- Kheraluwala, M.H.; Gasgoigne, R.W.; Divan, D.M.; Bauman, E. Performance characterization of a high power dual active bridge DC/DC converter. In Proceedings of the Conference Record of the 1990 IEEE Industry Applications Society Annual Meeting, Seattle, WA, USA, 7–12 October 1990; pp. 3920–3924. [Google Scholar]
- Hou, N.; Li, Y.W. Overview and comparison of modulation and control strategies for a nonresonant single-phase dual-active-bridge DC–DC converter. IEEE Trans. Power Electron. 2019, 35, 3148–3172. [Google Scholar] [CrossRef]
- Shao, S.; Chen, H.; Wu, X.; Zhang, J.; Sheng, K. Circulating current and ZVS-on of a dual active bridge DC–DC converter: A review. IEEE Access 2019, 7, 50561–50572. [Google Scholar] [CrossRef]
- De Doncker, R.W.A.A.; Divan, D.M.; Kheraluwala, M.H. A three-phase soft-switched high-power-density DC/DC converter for high-power applications. IEEE Trans. Ind. Appl. 1991, 27, 63–73. [Google Scholar] [CrossRef]
- Zhao, B.; Yu, Q.; Sun, W. Extended-phase-shift control of isolated bidirectional DC–DC converter for power distribution in microgrid. IEEE Trans. Power Electron. 2011, 27, 4667–4680. [Google Scholar] [CrossRef]
- Shi, H.; Wen, H.; Chen, J.; Hu, Y.; Jiang, L.; Chen, G.; Ma, J. Minimum-backflow-power scheme of DAB-based solid-state transformer with extended-phase-shift control. IEEE Trans. Ind. Appl. 2018, 54, 3483–3496. [Google Scholar] [CrossRef]
- An, F.; Song, W.; Yang, K.; Luo, S.; Feng, X. Optimised power control and balance scheme for the output parallel dual-active-bridge DC–DC converters in power electronic traction transformer. IET Power Electron. 2019, 12, 2295–2303. [Google Scholar] [CrossRef]
- Zhao, B.; Song, Q.; Liu, W.; Sun, W. Current-stress-optimized switching strategy of isolated bidirectional DC–DC converter with dual-phaseshift control. IEEE Trans. Ind. Electron. 2013, 60, 4458–4467. [Google Scholar] [CrossRef]
- Zhao, B.; Song, Q.; Liu, W. Efficiency characterization and optimization of isolated bidirectional DC–DC converter based on dualphase-shift control for DC distribution application. IEEE Trans. Power Electron. 2013, 28, 1711–1727. [Google Scholar] [CrossRef]
- Wen, H.; Su, B. Reactive power and soft-switching capability analysis of dual-active-bridge DC–DC converters with dual-phase-shift control. J. Power Electron. 2015, 15, 18–30. [Google Scholar] [CrossRef]
- Hou, N.; Song, W.; Wu, M. Minimum-current-stress scheme of dual active bridge DC–DC converter with unified phase-shift control. IEEE Trans. Power Electron. 2016, 31, 8552–8561. [Google Scholar] [CrossRef]
- Noroozi, N.; Emadi, A.; Narimani, M. Performance evaluation of modulation techniques in single-phase dual active bridge converters. IEEE Open J. Ind. Electron. Soc. 2021, 2, 410–427. [Google Scholar] [CrossRef]
- Li, Z.; Li, M.; Zhao, Y.; Wang, Z.; Yu, D.; Xu, R. An Optimized Control Method of Soft-Switching and No Backflow Power for LLC Resonant-Type Dual-Active-Bridge DC-DC Converters. Mathematics 2023, 11, 287. [Google Scholar] [CrossRef]
- Chen, L.; Lin, L.; Shao, S.; Gao, F.; Wang, Z.; Wheeler, P.W.; Dragicevic, T. Moving discretized control set model-predictive control for dual-active bridge with the triple-phase shift. IEEE Trans. Power Electron. 2020, 35, 8624–8637. [Google Scholar] [CrossRef]
- Shao, S.; Jiang, M.; Ye, W.; Li, Y.; Zhang, J.; Sheng, K. Optimal phase-shift control to minimize reactive power for a dual active bridge DC–DC converter. IEEE Trans. Power Electron. 2019, 34, 10193–10205. [Google Scholar] [CrossRef]
- Xu, F.; Liu, J.; Dong, Z. Minimum backflow power and ZVS design for dual-active-bridge DC–DC converters. IEEE Trans. Ind. Electron. 2022, 70, 474–484. [Google Scholar] [CrossRef]
- Das, D.; Basu, K. Optimal design of a dual-active-bridge DC–DC converter. IEEE Trans. Ind. Electron. 2021, 68, 12034–12045. [Google Scholar] [CrossRef]
- Bez, F.; Scandola, L.; Corradini, L.; Saggini, S.; Spiazzi, G. Twodimensional online efficiency optimization technique for dual active bridge converters. In Proceedings of the IEEE 17th Workshop on Control and Modeling for Power Electronics (COMPEL), Trondheim, Norway, 27–30 June 2016; pp. 1–8. [Google Scholar] [CrossRef]
- Bhattacharjee, A.K.; Batarseh, I. Optimum hybrid modulation for improvement of efficiency over wide operating range for triplephase-shift dual-active-bridge converter. IEEE Trans. Power Electron. 2020, 35, 4804–4818. [Google Scholar] [CrossRef]
- Li, X.; Zhang, X.; Lin, F.; Sun, C.; Mao, K. Artificial-intelligencebased triple phase shift modulation for dual active bridge converter with minimized current stress. IEEE J. Emerg. Sel. Top. Power Electron. 2023, 11, 4430–4441. [Google Scholar] [CrossRef]
- An, F.; Song, W.; Yang, K.; Hou, N.; Ma, J. Improved dynamic performance of dual active bridge DC–DC converters using MPC scheme. IET Power Electron. 2018, 11, 1756–1765. [Google Scholar] [CrossRef]
- Samad, T.; Bauer, M.; Bortoff, S.; Di Cairano, S.; Fagiano, L.; Odgaard, P.F.; Rhinehart, R.R.; Sánchez-Peña, R.; Serbezov, A.; Ankersen, F.; et al. Industry engagement with control research: Perspective and messages. Annu. Rev. Control. 2020, 49, 1–14. [Google Scholar] [CrossRef]
- Song, C.; Sangwongwanich, A.; Yang, Y.; Blaabjerg, F. A modelfree capacitor voltage balancing method for multilevel DAB converters. IEEE Trans. Power Electron. 2023, 38, 79–84. [Google Scholar] [CrossRef]
- Shao, S.; Chen, L.; Shan, Z.; Gao, F.; Chen, H.; Sha, D.; Dragičević, T. Modeling and advanced control of dual-active-bridge DC–DC converters: A review. IEEE Trans. Power Electron. 2022, 37, 1524–1547. [Google Scholar] [CrossRef]
- An, F.; Song, W.; Yu, B.; Yang, K. Model predictive control with power self-balancing of the output parallel DAB DC–DC converters in power electronic traction transformer. IEEE J. Emerg. Sel. Top. Power Electron. 2018, 6, 1806–1818. [Google Scholar] [CrossRef]
- Meng, X.; Jia, Y.; Xu, Q.; Ren, C.; Han, X.; Wang, P. A novel intelligent nonlinear controller for dual active bridge converter with constant power loads. IEEE Trans. Ind. Electron. 2023, 70, 2887–2896. [Google Scholar] [CrossRef]
- Jeung, Y.-C.; Lee, D.-C. Voltage and current regulations of bidirectional isolated dual-active-bridge DC–DC converters based on a doubleintegral sliding mode control. IEEE Trans. Power Electron. 2019, 34, 6937–6946. [Google Scholar] [CrossRef]
- Lee, S.; Jeung, Y.-C.; Lee, D.-C. Voltage balancing control of IPOS modular dual active bridge DC/DC converters based on hierarchical sliding mode control. IEEE Access 2019, 7, 9989–9997. [Google Scholar] [CrossRef]
- Tiwary, N.; Panda, A.K.; Lenka, R.K.; Narendra, A. Super twisting sliding mode control of dual active bridge DC–DC converter. In Proceedings of the IEEE International Conference on Power Electronics, Drives and Energy Systems (PEDES), Jaipur, India, 16–19 December 2020; pp. 1–5. [Google Scholar] [CrossRef]
- Bagheri, F.; Guler, N.; Komurcugil, H. Sliding mode current observer for a bidirectional dual active bridge converter. In Proceedings of the 47th Annual Conference of the IEEE Industrial Electronics Society, Toronto, ON, Canada, 13–16 October 2021; pp. 1–6. [Google Scholar] [CrossRef]
- Abdelkarim, E.; Kadi, S. Super twisted sliding mode control of isolated bidirectional DC–DC converter in electric vehicle. In Proceedings of the 22nd International Middle East Power Systems Conference (MEPCON), Assiut, Egypt, 14–16 December 2021; pp. 389–394. [Google Scholar] [CrossRef]
- Tiwary, N.; Naik, V.R.N.; Panda, A.K.; Lenka, R.K.; Narendra, A. Sliding mode and current observer-based direct power control of dual active bridge converter with constant power load. Int. Trans. Electr. Energy Syst. 2021, 31, e12879. [Google Scholar] [CrossRef]
- Ullah, N.; Farooq, Z.; Zaman, T.; Sami, I.; Ibeas, A.; Techato, K.; Chowdhury, S.; Muyeen, S. A computationally efficient robust voltage control for a single phase dual active bridge. Energy Rep. 2020, 6, 3346–3356. [Google Scholar] [CrossRef]
- Deng, L.; Zhou, G.; Bi, Q.; Xu, N. Online reactive power minimization and soft switching algorithm for triple-phase-shift modulated dual active bridge converter. IEEE Trans. Ind. Electron. 2023, 70, 2543–2555. [Google Scholar] [CrossRef]











| Parameters | Value |
|---|---|
| Rated power | 230 |
| Input voltage | 50 |
| Output voltage | 30 V to 60 |
| 20 | |
| 100 , 200 | |
| Transformers, turn ration | 1 |
| 30 | |
| Variable load () | 1.1 × 10 watts |
| Method | Parameters | Value |
|---|---|---|
| PI | 8.514 | |
| 16 | ||
| SMC | 0.8 | |
| 10 | ||
| ISMC | 0.8 | |
| 12 | ||
| 4 | ||
| 2 | ||
| DISMC | 6.328 | |
| 7 | ||
| 3.567 | ||
| DI-STSMC | 1.6 | |
| 8 | ||
| 7.54 |
Disclaimer/Publisher’s Note: The statements, opinions and data contained in all publications are solely those of the individual author(s) and contributor(s) and not of MDPI and/or the editor(s). MDPI and/or the editor(s) disclaim responsibility for any injury to people or property resulting from any ideas, methods, instructions or products referred to in the content. |
© 2024 by the authors. Licensee MDPI, Basel, Switzerland. This article is an open access article distributed under the terms and conditions of the Creative Commons Attribution (CC BY) license (https://creativecommons.org/licenses/by/4.0/).
Share and Cite
Sami, I.; Alhosaini, W.; Khan, D.; Ahmed, E.M. Advancing Dual-Active-Bridge DC–DC Converters with a New Control Strategy Based on a Double Integral Super Twisting Sliding Mode Control. World Electr. Veh. J. 2024, 15, 348. https://doi.org/10.3390/wevj15080348
Sami I, Alhosaini W, Khan D, Ahmed EM. Advancing Dual-Active-Bridge DC–DC Converters with a New Control Strategy Based on a Double Integral Super Twisting Sliding Mode Control. World Electric Vehicle Journal. 2024; 15(8):348. https://doi.org/10.3390/wevj15080348
Chicago/Turabian StyleSami, Irfan, Waleed Alhosaini, Danish Khan, and Emad M. Ahmed. 2024. "Advancing Dual-Active-Bridge DC–DC Converters with a New Control Strategy Based on a Double Integral Super Twisting Sliding Mode Control" World Electric Vehicle Journal 15, no. 8: 348. https://doi.org/10.3390/wevj15080348
APA StyleSami, I., Alhosaini, W., Khan, D., & Ahmed, E. M. (2024). Advancing Dual-Active-Bridge DC–DC Converters with a New Control Strategy Based on a Double Integral Super Twisting Sliding Mode Control. World Electric Vehicle Journal, 15(8), 348. https://doi.org/10.3390/wevj15080348

