Study of an Electric Vehicle Charging Strategy Considering Split-Phase Voltage Quality
Abstract
1. Introduction
2. Electric Vehicle Charging Strategy
3. EV Charging Strategy Accounting for Voltage Quality
3.1. Voltage Quality Analysis
3.2. Objective Function
3.2.1. Three-Phase Voltage Unbalance
3.2.2. Three-Phase Voltage Deviation
3.2.3. Three-Phase Voltage Harmonic
3.2.4. Objective Function Finding Based on Fuzzy Affiliation Function
3.3. Constraint Conditions
3.3.1. Power Flow Calculation Balance Constraints
3.3.2. EV Charging Constraints
- (1)
- Charging power constraintwhere and are charging power and charging power limit for the EV in phase of node , and and are the moment of access and departure for the EV in phase of node , which are known values that have been recorded by the charging station. is the maximum charging power of the EV in phase of the node .
- (2)
- Battery capacity constraintswhere and are the minimum and maximum remaining battery capacity of the EV , respectively.
- (3)
- Power balance constraintwhere and are the EV charging efficiency and battery capacity in the phase of the node , and are the SOC of the EV in the phase of the node in the and periods, respectively.
3.3.3. Other Constraints
- (1)
- Voltage constraintwhere and are the minimum and maximum permissible voltage amplitudes at the node , respectively.
- (2)
- Current constraintwhere is the maximum permissible current amplitudes at the node .
- (3)
- Constraint on the number of charging pileswhere is the quantity of EVs linked to the node in phase , and is the maximum quantity of charging piles at node in the phase .
4. EV Charging Strategy Accounting for Voltage Quality
4.1. The Outer Layer of the Algorithm
- (1)
- Establish the system’s starting state: The daily load size of EVs output of wind power is obtained by MCS, given the system grid lines, load characteristics, and the amount of EVs access to the grid.
- (2)
- Create three-sequence node admittance matrices (, , and ) based on the PDN’s basic line. Assign the three-phase sequence , , and to be the starting sequence voltage of node . Suppose that 1.0 p.u. is the amplitude of the positive sequence voltage and the remaining value is 0.
- (3)
- The method for the calculation of the injection node current is as follows:where represents the positive, negative, and zero sequence current vector, denotes the three-phase current vector (, , ), is the phase sequence transformation matrix, is the three-phase load matrix, and stands for the three-phase voltage matrix.
- (4)
- The injection current and power can be updated as follows:where and are the load and line sequence injection current, respectively.where and are the load and line sequence injection power, respectively.
- (5)
- Iterative generation of voltage: Single-phase forward–back generation uses an iterative process to calculate positive-sequence, then node voltage method produces negative-sequence and zero-sequence voltages, respectively. Thus, the three-phase voltage at time of each node is obtained.
- (6)
- Assess Convergence: Utilize the maximum voltage difference in each phase in the time and time iteration as the convergence criterion. Results are then output if the prerequisites for the subsequent iteration are satisfied. If not, go through steps (3)–(6) again.
- (7)
- Voltage quality indicator computation: The voltage quality indicator results are computed from the node voltages of each phase and sent to the inner layer of the algorithm.
4.2. The Inner Layer of the Algorithm
- (1)
- Population initialization: Equations (2), (4) and (5) are used to calculate the fitness of the multi-objective function, which is based on the initial access to the EV and the outcomes of the voltage quality transfer in the algorithm’s outer layers.
- (2)
- Genetic evolution: Calculate crowded and non-dominated ordering distances for populations. Then, merge offspring and parents and create new populations of size 2 N by crossover, mutation, and elite selection.
- (3)
- Non-dominated sorting selection: Hold onto individuals in decreasing order until it becomes impossible to hold onto them all at the current level. Furthermore, intercept the final subset of individuals with a greater crowding distance to generate a new parent population of size N.
- (4)
- Control iteration: Verify whether the number of iterations specified has been finished. If not, return different EV charging strategies to the outer layer to continue the three-phase power flow calculation, go back and do steps (1) through (3) until the prerequisites are satisfied.
- (5)
- Acquire the last outcomes: Using the affiliation function, determine the best phase strategy in the Pareto solution set.
5. Example Analysis
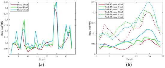
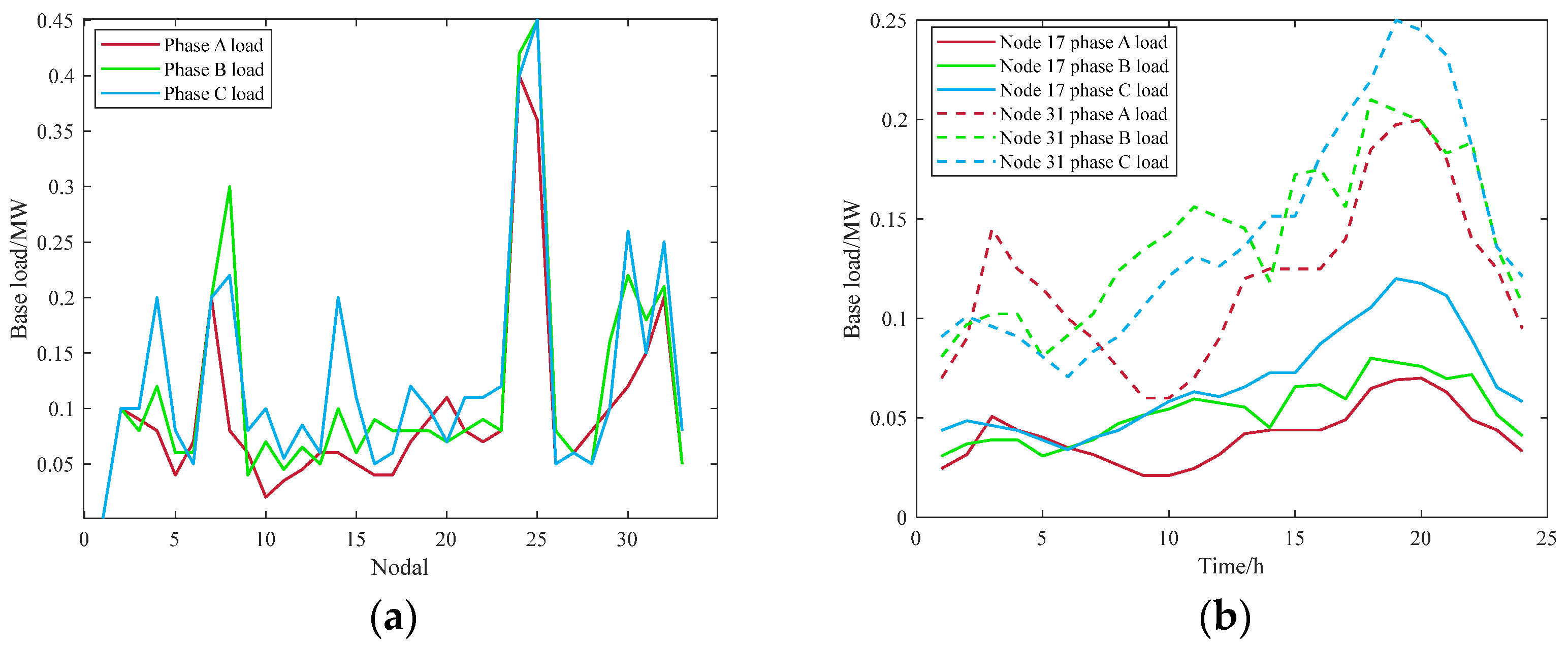
5.1. Basic Load of Power Grid
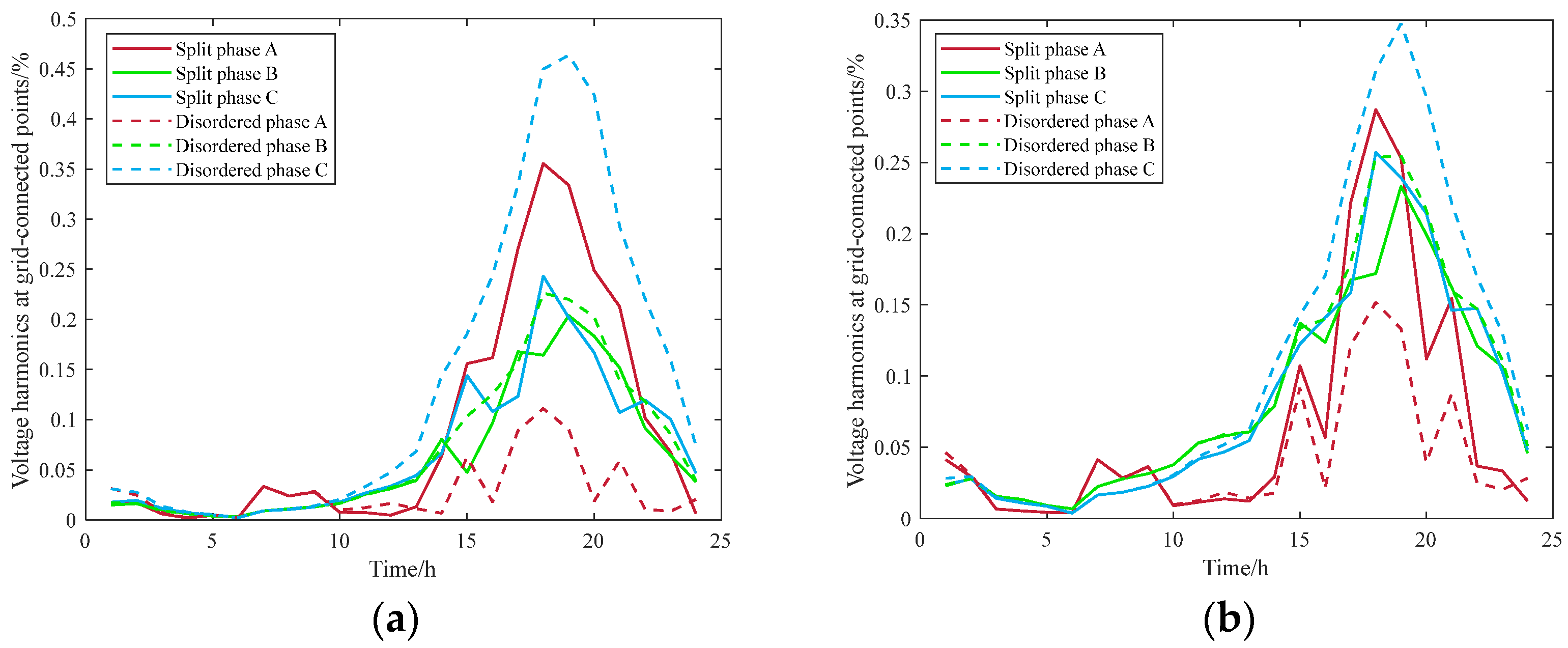
5.2. Results of Phase Selection and Grid Connection of EV
- Scenario 1: EVs have average access to three-phase charging.
- Scenario 2: EVs have disorderly access to three-phase charging.
- Scenario 3: split-phase charging access in accordance with the three voltage quality minimums in this paper as the goal.
- Scenario 4: only considering the minimum three-phase VU.
- Scenario 5: only considering the minimum maximum VD of the split-phase.
- Scenario 6: solely taking into account the lowest VH distortion rate of the parallel network point.
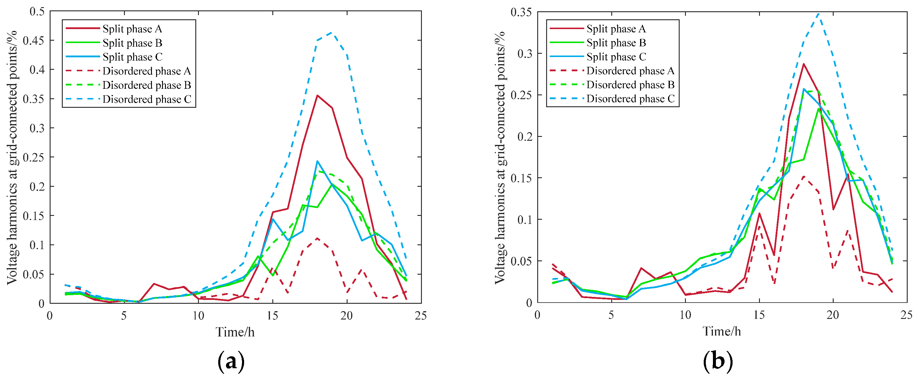
5.3. Improvement of Voltage Quality at Access Points
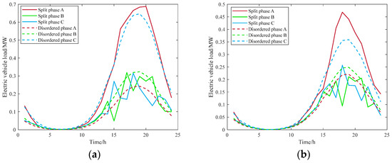
5.4. Effects of Charging Schemes for Varying Numbers of EVs
6. Conclusions
- (1)
- In this paper, we propose an electric vehicle charging strategy that takes into account the voltage quality of each phase and design a two-layer algorithm to solve it.
- (2)
- The inner layer of the algorithm applies the NSGA-II algorithm with an elite strategy to calculate the grid-connected power of each stage of the EV, while the outer layer repeatedly solves the node voltage in each phase using the forward–backward generation method.
- (3)
- The simulation results indicate that the proposed EV charging technique greatly reduces the split-phase maximum VD, three-phase VU, and VH while making sure the electricity system operates safely and steadily.
Author Contributions
Funding
Data Availability Statement
Conflicts of Interest
References
- Huang, L.; Jia, Y.; Han, X.; Wang, P. Tri-level dynamic pricing for charging network operator in coupled power-transportation networks. IEEE Trans. Smart Grid, 2024; early access. [Google Scholar] [CrossRef]
- Iqbal, M.N.; Kütt, L.; Daniel, K.; Asad, B.; Shams, G.P. Estimation of Harmonic Emission of Electric Vehicles and Their Impact on Low Voltage Residential Network. Sustainability 2021, 13, 8551. [Google Scholar] [CrossRef]
- Kütt, L.; Saarijärvi, E.; Lehtonen, M.; Heigo, M.; Jaan, N. A review of the harmonic and unbalance effects in electrical distribution networks due to EV charging. In Proceedings of the 12th International Conference on Environment and Electrical Engineering, Wroclaw, Poland, 5–8 May 2013. [Google Scholar]
- Jorge, N.; Hugo, M.; Rosa, M.D.C.; Jaime, R.A. Strategies Comparison for Voltage Unbalance Mitigation in LV Distribution Networks Using EV Chargers. Electronics 2019, 8, 289. [Google Scholar] [CrossRef]
- Wei, H.; Liang, J.; Li, C.; Zhang, Y. Real-time Locally Optimal Schedule for Electric Vehicle Load via Diversity-maximization NSGA-II. J. Mod. Power Syst. Clean Energy 2021, 9, 940–950. [Google Scholar] [CrossRef]
- Giuditta, P.; Simona, R.; Gian, G.S.; Davide, F.; Grillo, S.; Francesco, G.; Fabrizio, P. Impact of Electrical Vehicle Private Charging Stations on the Quality of the Low Voltage Network Supply. IEEE Open Access J. Power Energy 2023, 10, 351–362. [Google Scholar]
- Liang, H.; Liu, Y.; Li, F.; Shen, Y. Dynamic Economic/Emission Dispatch Including PEVs for Peak Shaving and Valley Filling. IEEE Trans. Ind. Electron. 2019, 66, 2880–2890. [Google Scholar] [CrossRef]
- Qu, Z.; Song, J.; Liu, Y.; Lv, H.; Wang, W. Optimization Model of EV Charging and Discharging Price Considering Vehicle Owner Response and Power Grid Cost. J. Electr. Eng. Technol. 2019, 14, 2251–2261. [Google Scholar] [CrossRef]
- Gerres, T.; Lukszo, Z. Mitigating production uncertainties of renewables by adjustable load scheduling. In Proceedings of the 2017 IEEE 14th International Conference on Networking, Sensing and Control (ICNSC), Calabria, Italy, 16–18 May 2017. [Google Scholar]
- Xu, X.; Li, K.; Wang, F.; Mi, Z.; Jia, Y.; Wei, W.; Jing, Y. Evaluating Multitimescale Response Capability of EV Aggregator Considering Users’ Willingness. IEEE Trans. Ind. Appl. 2021, 57, 3366–3376. [Google Scholar] [CrossRef]
- Sergejus, M.; Katarina, K.; Mattia, M. Management of Power Quality Issues in Low Voltage Networks Using Electric Vehicles: Experimental Validation. IEEE Trans. Power Deliv. 2017, 32, 971–979. [Google Scholar]
- Lenka, R.; Panda, A.; Patel, R.; Guerrero, J. PV Integrated Multifunctional Off-Board EV Charger With Improved Grid Power Quality. IEEE Trans. Ind. Appl. 2022, 58, 5520–5532. [Google Scholar] [CrossRef]
- Shahnia, F.; Wolfs, P.J.; Ghosh, A. Voltage Unbalance Reduction in Low Voltage Feeders by Dynamic Switching of Residential Customers Among Three Phases. IEEE Trans. Smart Grid 2014, 5, 1318–1327. [Google Scholar] [CrossRef]
- Nasim, J.; Arindam, G. Online Centralized Coordination of Charging and Phase Switching of PEVs in Unbalanced LV Networks with High PV Penetrations. IEEE Syst. J. 2021, 15, 1015–1025. [Google Scholar]
- Zimann, F.J.; Batschauer, A.L.; Mezaroba, M.; Neves, F.A.S. Energy storage system control algorithm for voltage regulation with active and reactive power injection in low-voltage distribution network. Electr. Power Syst. Res. 2019, 174, 105825.1–105825.9. [Google Scholar] [CrossRef]
- Ciuceanu, R.M.; Nemoianu, I.V.; Paltanea, V.M.; Paltanea, G. On professor tugulea’s visionary power theory: A review, recent advances and perspectives. Rev. Roum. Des Sci. Tech. 2018, 63, 123–127. [Google Scholar]
- Jesus, C.H.; Langella, R.; Cano, A.; Testa, A. Unbalance characteristics of fundamental and harmonic currents of three-phase electric vehicle battery chargers. IET Gener. Transm. Distrib. 2020, 25, 6220–6229. [Google Scholar]
- Breda, D.F.J.; Vieira, M.C.J.; Oleskovicz, M. Power Quality Monitor Allocation Based on Singular Value Decomposition and Genetic Algorithm. J. Control Autom. Electr. Syst. 2020, 32, 175–185. [Google Scholar] [CrossRef]
- Huang, J.; Wang, X.; Wang, Y.; Shao, C.; Chen, G.; Wang, P. A game-theoretic approach for electric vehicle aggregators participating in phase balancing considering network topology. IEEE Trans. Smart Grid 2024, 15, 743–756. [Google Scholar] [CrossRef]











| Literature | Target of Control | Optimization Objective | |||
|---|---|---|---|---|---|
| Peak-to- Valley | Voltage Unbalance | Voltage Deviation | Voltage Harmonic | ||
| [7] | Electric Vehicle | √ | × | × | × |
| [8] | Electric Vehicle | √ | × | × | × |
| [9] | Electric Vehicle | √ | × | × | × |
| [10] | Electric Vehicle | √ | × | × | × |
| [11] | Control device | × | √ | × | × |
| [12] | Control device | × | × | × | √ |
| [13] | Control device | × | √ | × | × |
| [14] | Control device | × | √ | × | × |
| This article | Electric Vehicle | √ | √ | √ | √ |
| Scenario | Three-Phase Voltage Unbalance/% | Maximum Voltage Deviation by Phase/% | Voltage Harmonics at Grid-Connected Points/% | |||
|---|---|---|---|---|---|---|
| Average Value | Maximum Value | Average Value | Maximum Value | Average Value | Maximum Value | |
| 1 | 0.57 | 2.54 | 3.88 | 7.64 | 0.15 | 0.31 |
| 2 | 0.64 | 3.36 | 4.06 | 9.39 | 0.16 | 0.46 |
| 3 | 0.43 | 1.86 | 3.69 | 6.57 | 0.15 | 0.36 |
| 4 | 0.38 | 1.78 | 3.68 | 6.65 | 0.15 | 0.39 |
| 5 | 0.42 | 1.89 | 3.62 | 6.53 | 0.15 | 0.41 |
| 6 | 0.47 | 1.92 | 3.76 | 6.59 | 0.15 | 0.29 |
Disclaimer/Publisher’s Note: The statements, opinions and data contained in all publications are solely those of the individual author(s) and contributor(s) and not of MDPI and/or the editor(s). MDPI and/or the editor(s) disclaim responsibility for any injury to people or property resulting from any ideas, methods, instructions or products referred to in the content. |
© 2024 by the authors. Licensee MDPI, Basel, Switzerland. This article is an open access article distributed under the terms and conditions of the Creative Commons Attribution (CC BY) license (https://creativecommons.org/licenses/by/4.0/).
Share and Cite
Yan, F.; Hua, M.; Zhao, F.; Liang, X. Study of an Electric Vehicle Charging Strategy Considering Split-Phase Voltage Quality. World Electr. Veh. J. 2024, 15, 315. https://doi.org/10.3390/wevj15070315
Yan F, Hua M, Zhao F, Liang X. Study of an Electric Vehicle Charging Strategy Considering Split-Phase Voltage Quality. World Electric Vehicle Journal. 2024; 15(7):315. https://doi.org/10.3390/wevj15070315
Chicago/Turabian StyleYan, Fulu, Mian Hua, Feng Zhao, and Xuan Liang. 2024. "Study of an Electric Vehicle Charging Strategy Considering Split-Phase Voltage Quality" World Electric Vehicle Journal 15, no. 7: 315. https://doi.org/10.3390/wevj15070315
APA StyleYan, F., Hua, M., Zhao, F., & Liang, X. (2024). Study of an Electric Vehicle Charging Strategy Considering Split-Phase Voltage Quality. World Electric Vehicle Journal, 15(7), 315. https://doi.org/10.3390/wevj15070315
