A Digitalized Methodology for Co-Design Structural and Performance Optimization of Battery Modules †
Abstract
1. Introduction
2. Experimental Setup
2.1. Li-Ion Cell Properties
2.2. BTMS Configuration
2.3. Test Bench
3. Model Development
3.1. The Physics-Based FOC Electro-Thermal Model
3.1.1. Electrical Part
3.1.2. Thermal Part
3.1.3. Coupled Electro-Thermal Model
3.2. 3D Numerical Model
4. Experimental and Numerical Studies
4.1. Maximum Static Discharge
4.1.1. Cell-Level Static Evaluation
4.1.2. Module-Level Static Validation
4.2. Discharge–Charge Cycle
4.2.1. Cell-Level Cycle Evaluation
4.2.2. Module-Level Cycle Validation
4.3. Dynamic Loading—WLTC
4.3.1. Cell-Level WLTC Evaluation
4.3.2. Module-Level WLTC Validation
5. BTMS Cost-Effectiveness Study
5.1. The Inlet Coolant Flow Rate
5.2. Channel Size
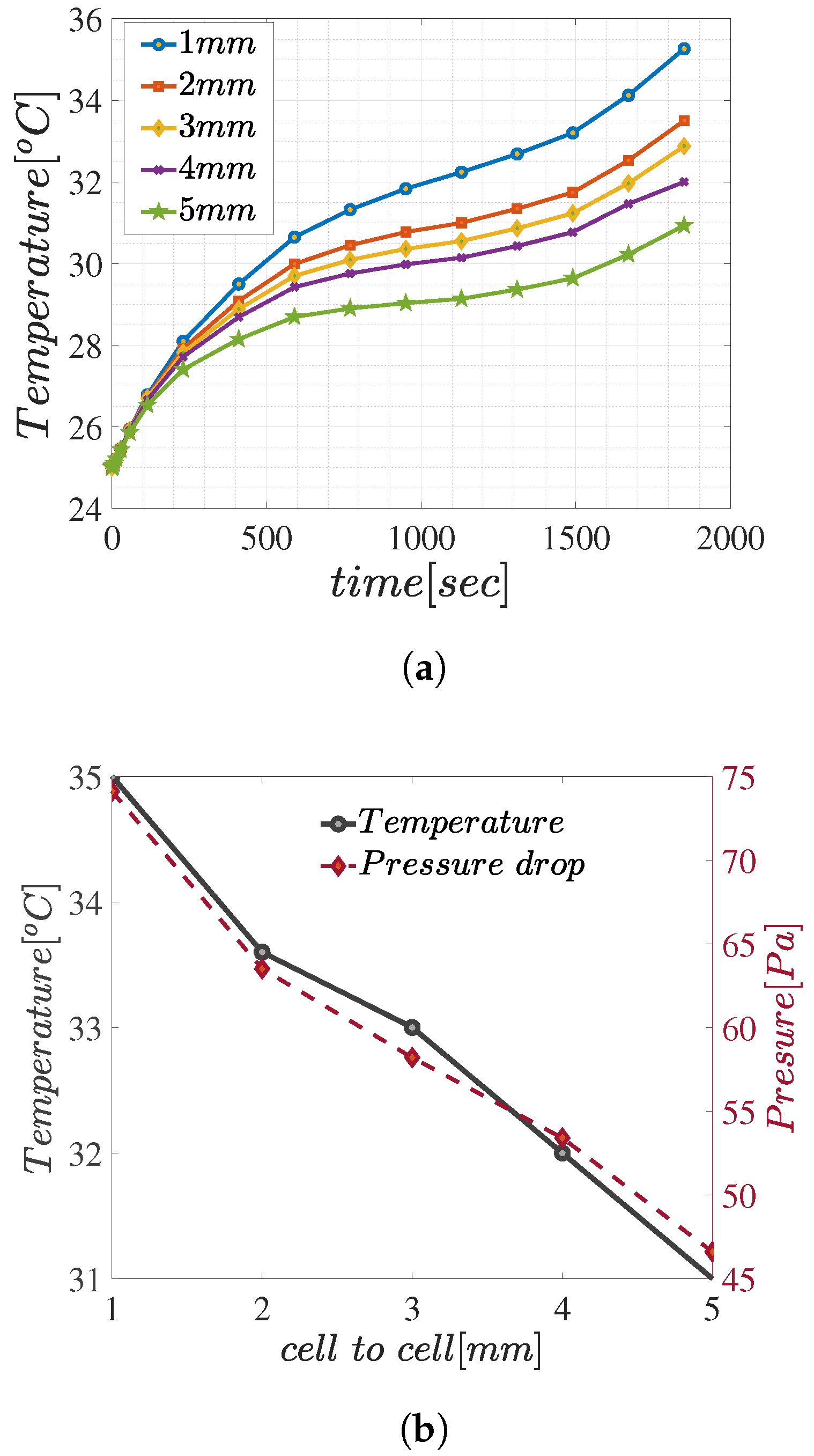
5.3. Cell-to-Cell Space
6. Discussion
7. Conclusions and Future Work
Author Contributions
Funding
Data Availability Statement
Conflicts of Interest
References
- Deng, J.; Bae, C.; Denlinger, A.; Miller, T. Electric Vehicles Batteries: Requirements and Challenges. Joule 2020, 4, 511–515. [Google Scholar] [CrossRef]
- Kebede, A.A.; Hosen, M.S.; Kalogiannis, T.; Behabtu, H.A.; Assefa, M.Z.; Jemal, T.; Ramayya, V.; Van Mierlo, J.; Coosemans, T.; Berecibar, M. Optimal sizing and lifetime investigation of second life lithium-ion battery for grid-scale stationary application. J. Energy Storage 2023, 72, 108541. [Google Scholar] [CrossRef]
- Peters, J.F.; Baumann, M.; Zimmermann, B.; Braun, J.; Weil, M. The environmental impact of Li-Ion batteries and the role of key parameters—A review. Renew. Sustain. Energy Rev. 2017, 67, 491–506. [Google Scholar]
- Balali, Y.; Stegen, S. Review of energy storage systems for vehicles based on technology, environmental impacts, and costs. Renew. Sustain. Energy Rev. 2021, 135, 110185. [Google Scholar] [CrossRef]
- Gandoman, F.H.; Jaguemont, J.; Goutam, S.; Gopalakrishnan, R.; Firouz, Y.; Kalogiannis, T.; Omar, N.; Van Mierlo, J. Concept of reliability and safety assessment of lithium-ion batteries in electric vehicles: Basics, progress, and challenges. Appl. Energy 2019, 251, 113343. [Google Scholar]
- Rezvanizaniani, S.M.; Liu, Z.; Chen, Y.; Lee, J. Review and recent advances in battery health monitoring and prognostics technologies for electric vehicle (EV) safety and mobility. J. Power Sources 2014, 256, 110–124. [Google Scholar] [CrossRef]
- Song, W.; Chen, M.; Bai, F.; Lin, S.; Chen, Y.; Feng, Z. Non-uniform effect on the thermal/aging performance of Lithium-ion pouch battery. Appl. Therm. Eng. 2018, 128, 1165–1174. [Google Scholar] [CrossRef]
- Iraola, U.; Aizpuru, I.; Gorrotxategi, L.; Segade, J.M.C.; Larrazabal, A.E.; Gil, I. Influence of voltage balancing on the temperature distribution of a Li-ion battery module. IEEE Trans. Energy Convers. 2015, 30, 507–514. [Google Scholar] [CrossRef]
- Arora, S. Selection of thermal management system for modular battery packs of electric vehicles: A review of existing and emerging technologies. J. Power Sources 2018, 400, 621–640. [Google Scholar] [CrossRef]
- Xie, P.; Jin, L.; Qiao, G.; Lin, C.; Barreneche, C.; Ding, Y. Thermal energy storage for electric vehicles at low temperatures: Concepts, systems, devices and materials. Renew. Sustain. Energy Rev. 2022, 160, 112263. [Google Scholar] [CrossRef]
- Akinlabi, A.A.; Solyali, D. Configuration, design, and optimization of air-cooled battery thermal management system for electric vehicles: A review. Renew. Sustain. Energy Rev. 2020, 125, 109815. [Google Scholar] [CrossRef]
- Peng, X.; Cui, X.; Liao, X.; Garg, A. A thermal investigation and optimization of an air-cooled lithium-ion battery pack. Energies 2020, 13, 2956. [Google Scholar] [CrossRef]
- Park, H. A design of air flow configuration for cooling lithium ion battery in hybrid electric vehicles. J. Power Sources 2013, 239, 30–36. [Google Scholar] [CrossRef]
- Chen, K.; Wang, S.; Song, M.; Chen, L. Configuration optimization of battery pack in parallel air-cooled battery thermal management system using an optimization strategy. Appl. Therm. Eng. 2017, 123, 177–186. [Google Scholar] [CrossRef]
- Xie, J.; Ge, Z.; Zang, M.; Wang, S. Structural optimization of lithium-ion battery pack with forced air cooling system. Appl. Therm. Eng. 2017, 126, 583–593. [Google Scholar] [CrossRef]
- Chen, K.; Song, M.; Wei, W.; Wang, S. Structure optimization of parallel air-cooled battery thermal management system with U-type fl ow for cooling ef fi ciency improvement. Energy 2018, 145, 603–613. [Google Scholar] [CrossRef]
- Liu, Y.; Zhang, J. Design a J-type air-based battery thermal management system through surrogate-based optimization. Appl. Energy 2019, 252, 1–13. [Google Scholar] [CrossRef]
- Chen, K.; Wu, W.; Yuan, F.; Chen, L.; Wang, S. Cooling efficiency improvement of air-cooled battery thermal management system through designing the flow pattern. Energy 2019, 167, 781–790. [Google Scholar] [CrossRef]
- Li, M.; Liu, Y.; Wang, X.; Zhang, J. Modeling and optimization of an enhanced battery thermal management system in electric vehicles. Front. Mech. Eng. 2019, 14, 65–75. [Google Scholar] [CrossRef]
- Kalogiannis, T.; Akbarzadeh, M.; Hosen, M.S.; Behi, H.; De Sutter, L.; Jin, L.; Jaguemont, J.; Van Mierlo, J.; Berecibar, M. Effects analysis on energy density optimization and thermal efficiency enhancement of the air-cooled Li-ion battery modules. J. Energy Storage 2022, 48, 103847. [Google Scholar] [CrossRef]
- Kalogiannis, T.; Hosen, M.S.; Gandoman, F.H.; Sokkeh, M.A.; Jaguemont, J.; Berecibar, M.; Van Mierlo, J. Multi-objective particle swarm optimization and training of datasheet-based load dependent lithium-ion voltage models. Int. J. Electr. Power Energy Syst. 2021, 133, 107312. [Google Scholar] [CrossRef]
- Barai, A.; Uddin, K.; Dubarry, M.; Somerville, L.; McGordon, A.; Jennings, P.; Bloom, I. A comparison of methodologies for the non-invasive characterisation of commercial Li-ion cells. Prog. Energy Combust. Sci. 2019, 72, 1–31. [Google Scholar]
- Akbarzadeh, M.; Kalogiannis, T.; Jaguemont, J.; He, J.; Jin, L.; Berecibar, M.; Van Mierlo, J. Thermal modeling of a high-energy prismatic lithium-ion battery cell and module based on a new thermal characterization methodology. J. Energy Storage 2020, 32, 101707. [Google Scholar] [CrossRef]
- Wang, B.; Li, S.E.; Peng, H.; Liu, Z. Fractional-order modeling and parameter identification for lithium-ion batteries. J. Power Sources 2015, 293, 151–161. [Google Scholar] [CrossRef]
- Brivio, C.; Musolino, V.; Merlo, M.; Ballif, C. A Physically-Based Electrical Model for Lithium-Ion Cells. IEEE Trans. Energy Convers. 2019, 34, 594–603. [Google Scholar] [CrossRef]
- Wang, Y.N.; Chen, Y.Q.; Liao, X.Z. State-of-art survey of fractional order modeling and estimation methods for lithium-ion batteries. Fract. Calc. Appl. Anal. 2020, 22, 1449–1479. [Google Scholar] [CrossRef]
- Xiong, R.; Tian, J.; Shen, W.; Sun, F. A Novel Fractional Order Model for State of Charge Estimation in Lithium Ion Batteries. IEEE Trans. Veh. Technol. 2019, 68, 4130–4139. [Google Scholar] [CrossRef]
- Xiong, R.; Tian, J. A comparative study on fractional order models for voltage simulation of lithium ion batteries. In Proceedings of the 2019 IEEE 89th Vehicular Technology Conference, Kuala Lumpur, Malaysia, 28 April–1 May 2019; pp. 1–5. [Google Scholar] [CrossRef]
- Mawonou, K.S.; Eddahech, A.; Dumur, D.; Beauvois, D.; Godoy, E. Improved state of charge estimation for Li-ion batteries using fractional order extended Kalman filter. J. Power Sources 2019, 435, 226710. [Google Scholar] [CrossRef]
- Petras, I. Fractional-Order Nonlinear Systems. Modeling, Analysis and Simulation; Higher Education Press: Beijing, China; Springer: Berlin/Heidelberg, Germany, 2011. [Google Scholar]
- Zhu, J.; Sun, Z.; Wei, X.; Dai, H. Studies on the medium-frequency impedance arc for Lithium-ion batteries considering various alternating current amplitudes. J. Appl. Electrochem. 2016, 46, 157–167. [Google Scholar] [CrossRef]
- Farmann, A.; Sauer, D.U. Comparative study of reduced order equivalent circuit models for on-board state-of-available-power prediction of lithium-ion batteries in electric vehicles. Appl. Energy 2018, 225, 1102–1122. [Google Scholar] [CrossRef]
- Kalogiannis, T.; Jaguemont, J.; Omar, N.; Van Mierlo, J.; Van den Bossche, P. A comparison of internal and external preheat methods for NMC batteries. World Electr. Veh. J. 2019, 10, 18. [Google Scholar] [CrossRef]
- Chen, K.; Chen, Y.; Li, Z.; Yuan, F.; Wang, S. Design of the cell spacings of battery pack in parallel air-cooled battery thermal management system. Int. J. Heat Mass Transf. 2018, 127, 393–401. [Google Scholar] [CrossRef]
- Akbarzadeh, M.; Jaguemont, J.; Kalogiannis, T.; Karimi, D.; He, J.; Jin, L.; Xie, P.; Van Mierlo, J.; Berecibar, M. A novel liquid cooling plate concept for thermal management of lithium-ion batteries in electric vehicles. Energy Convers. Manag. 2021, 231, 113862. [Google Scholar] [CrossRef]
- Gantenbein, S.; Weiss, M.; Ivers-Tiffée, E. Impedance based time-domain modeling of lithium-ion batteries: Part I. J. Power Sources 2018, 379, 317–327. [Google Scholar] [CrossRef]



















| Main Characteristics | Value | Unit |
|---|---|---|
| Chemistry | NMC/C | (-) |
| Shape | Prismatic | (-) |
| Nominal voltage | 3.65 | (V) |
| Nominal capacity * | 43 | (Ah) |
| End-of-charge maximum voltage | 4.2 | (V) |
| End-of-discharge cut-off voltage | 3 | (V) |
| Volumetric energy density * | 424 | (Wh/L) |
| Specific energy density * | 186.8 | (Wh/kg) |
| Specific power * | >1200 | (W/kg) |
| AC impedance (1 kHz) | <1 | (mOhms) |
| Recommended charge | 1 C | (-) |
| current rate (continuous) * | ||
| Maximum charge C-rate | 2 C | (-) |
| Cell dimensions | 148 × 91 × 27.5 | (mm) |
| Positive tab | 6 × 18 × 22 | (mm) |
| Negative tab | 6 × 18 × 38 | (mm) |
| Weight | 0.840 | (kg) |
| Main Parameter | Implemented Value | Unit |
|---|---|---|
| 201.2 | (mm) | |
| 412.9 | (mm) | |
| 26.6 | (mm) | |
| 152.6 | (mm) | |
| 20 | (mm) | |
| 30.8 | (mm) | |
| 3.9 | (mm) |
Disclaimer/Publisher’s Note: The statements, opinions and data contained in all publications are solely those of the individual author(s) and contributor(s) and not of MDPI and/or the editor(s). MDPI and/or the editor(s) disclaim responsibility for any injury to people or property resulting from any ideas, methods, instructions or products referred to in the content. |
© 2024 by the authors. Licensee MDPI, Basel, Switzerland. This article is an open access article distributed under the terms and conditions of the Creative Commons Attribution (CC BY) license (https://creativecommons.org/licenses/by/4.0/).
Share and Cite
Kalogiannis, T.; Hosen, M.S.; Van Mierlo, J.; Van Den Bossche, P.; Berecibar, M. A Digitalized Methodology for Co-Design Structural and Performance Optimization of Battery Modules. World Electr. Veh. J. 2024, 15, 115. https://doi.org/10.3390/wevj15030115
Kalogiannis T, Hosen MS, Van Mierlo J, Van Den Bossche P, Berecibar M. A Digitalized Methodology for Co-Design Structural and Performance Optimization of Battery Modules. World Electric Vehicle Journal. 2024; 15(3):115. https://doi.org/10.3390/wevj15030115
Chicago/Turabian StyleKalogiannis, Theodoros, Md Sazzad Hosen, Joeri Van Mierlo, Peter Van Den Bossche, and Maitane Berecibar. 2024. "A Digitalized Methodology for Co-Design Structural and Performance Optimization of Battery Modules" World Electric Vehicle Journal 15, no. 3: 115. https://doi.org/10.3390/wevj15030115
APA StyleKalogiannis, T., Hosen, M. S., Van Mierlo, J., Van Den Bossche, P., & Berecibar, M. (2024). A Digitalized Methodology for Co-Design Structural and Performance Optimization of Battery Modules. World Electric Vehicle Journal, 15(3), 115. https://doi.org/10.3390/wevj15030115
