Driving Control Strategy and Specification Optimization for All-Wheel-Drive Electric Vehicle System with a Two-Speed Transmission
Abstract
1. Introduction
- (i)
- A method is presented for the simultaneous optimization of motor specifications, reduction ratios, and shift maps, considering torque distribution strategies for both front and rear wheels, which is expected to maximize vehicle performance;
- (ii)
- An objective function was designed by training electric vehicle simulation data using deep learning for application in multi-objective optimization. This approach enhances the credibility of selecting optimal specifications for the AWD EV powertrain.
2. AWD Vehicle Modeling with Two-Speed Transmission
2.1. Parameters of the Target Vehicle
2.2. AWD Electric Vehicle Model-Based Simulation
- (1)
- Driving Cycle and Vehicle: Vehicle speed is calculated based on the driving cycle, and from this speed, driving resistance is computed to determine the vehicle-level output force. The calculation for vehicle-level output force is as follows [16].where is the vehicle-level output force; is the vehicle speed; is the total (front/rear) wheel torque; is the tire radius; is the rolling resistance coefficient; is the air drag coefficient; is the air density; is the windward area; and is the climbing gradient.
- (2)
- VCU: Based on the vehicle-level required torque, values for Accel Pedal (AP) and Brake Pedal (BP) are calculated. Then, the torque distribution logic derives the required torque levels for the front and rear motors. Estimating vertical forces for the front and rear axles is also conducted simultaneously. The formula for estimating vertical forces is as follows.where , are normal force of front/rear wheel; are the front/rear distance from the center of gravity; is the total wheelbase; is the height of the center of gravity; and is the vehicle acceleration.
- (3)
- Motor: Motor efficiency is determined based on the required motor torque and speed calculated by the VCU. The motor efficiency map was adapted by transforming the x- and y-axis scale of the reference motor’s efficiency map. Section 4 discusses the efficiency map scaling method in detail. Then, considering the motor efficiency and the battery’s Open Circuit Voltage (OCV), the battery current is calculated. The speed of the rear motor is inputted, considering the transmission’s first and second-gear ratios. The calculation for the battery current during motor charge and discharge, considering motor torque, speed, and efficiency, is as follows.where , are the battery current during motor(charge/discharge); is the motor speed; is the motor efficiency; and is the voltage applied to the motor.
- (4)
- Battery: The SOC is calculated using the Open Circuit Voltage and the required battery current. Then, the voltage applied to the motor is computed using the SOC and the circuit voltage values. The battery model utilizes a first-order R equivalent circuit model, as shown in Figure 3. The formulas for calculating the motor applied voltage and SOC are as follows:where is the battery’s internal resistance; is the state of charge of battery; is the open circuit voltage based on SOC; and is the battery current.
- (5)
- Transmission: Unlike internal combustion engine vehicles, electric cars benefit from the torque-speed characteristics of electric motors, which provide high torque at low speeds and maintain constant power across an extended speed range. Due to these characteristics, electric vehicles can achieve the necessary performance with fewer gears [17]. Transmission modeling can consider various structures, and in this paper, a dog clutch-type transmission system was selected. The dog clutch is simple in structure and excellent in power transmission efficiency, making it suitable for electrified transmission systems. Due to these characteristics, it can be utilized in two-speed transmission systems.
2.3. Gear Shift Mechanism
- State 1. Torque Phase and Gear Neutral: When a gear shift command is issued, the torque of the rear motor is controlled to zero. Simultaneously, the torque of the front motor is compensated to maintain maximum total torque [18]. After the torque phase, the control shifts to neutral in the transmission.
- State 2. Speed Synchronization: Control the motor to the target speed range to mitigate shocks during the clutch engagement due to speed changes in the dog clutch gear when shifting. The speed synchronization phase ends when the difference between the target and motor speeds is less than or equal to 1 rad/s. The formula to calculate the motor speed when in neutral is as follows.where is the rear motor speed in a neutral state; is the rear motor torque in a neutral state; and J is the moment of inertia of the motor, shaft, and clutch.
- State 3. Gear Engagement and Torque Phase: Engage the dog clutch actuator and normalize the torque distribution between the front and rear motors.
3. Integrated Torque Distribution Logic
3.1. Detailed Torque Distribution Logic
3.1.1. Energy Efficiency-Based Torque Distribution Strategy
3.1.2. Vertical Force-Based Torque Distribution Strategy
3.2. Integration of Torque Distribution Based on Fuzzy Logic
4. Powertrain Specification Optimization Strategy
4.1. Objective Function Creation for Optimization Based on a Surrogate Model
4.1.1. Neural Network Training: Description of Input and Output Variables
4.1.2. Description of Adaptive Sampling Methods and Learning Techniques
4.2. NSGA-II Based Multi-Objective Optimization
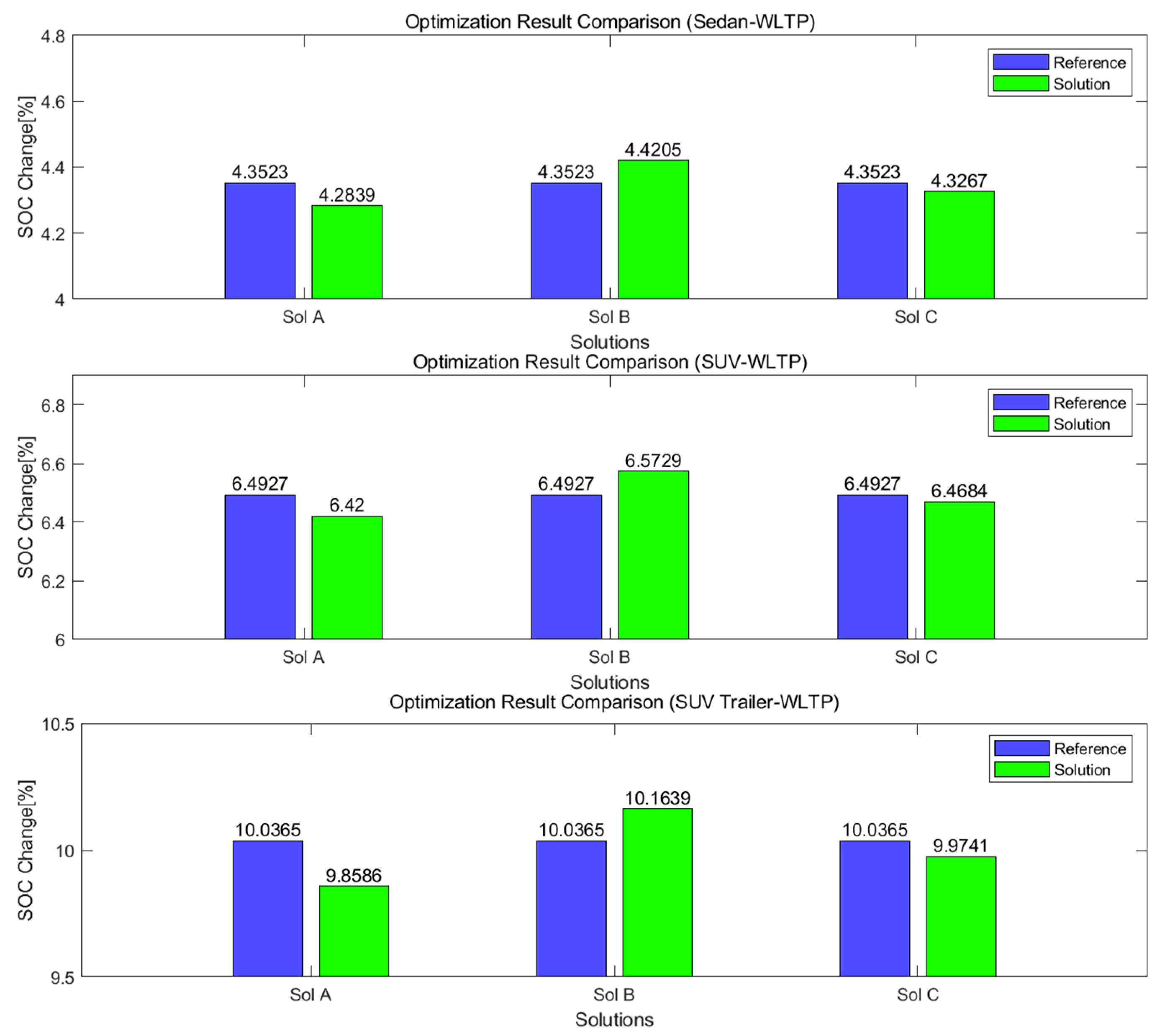
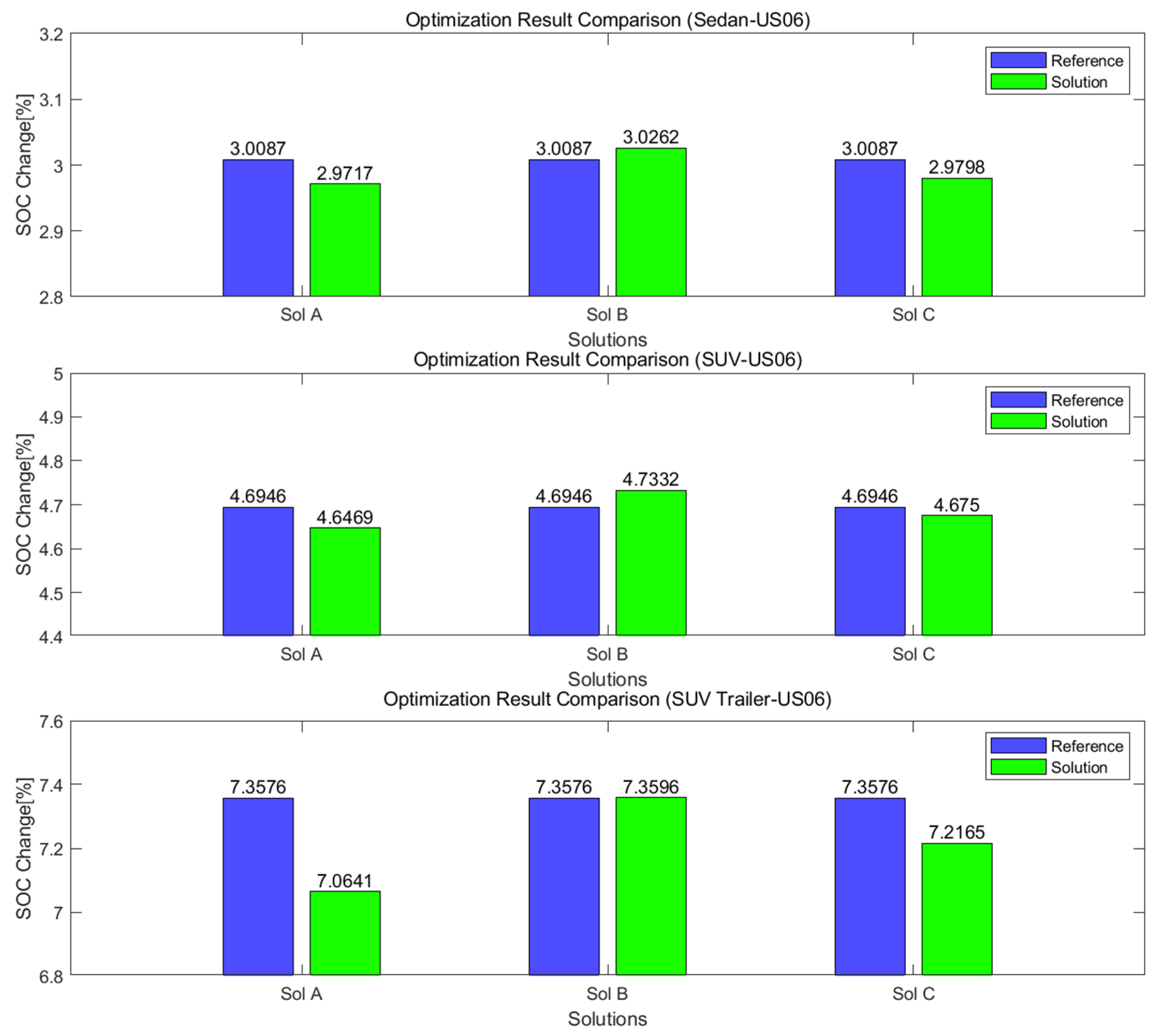
5. Results
6. Conclusions
Author Contributions
Funding
Data Availability Statement
Acknowledgments
Conflicts of Interest
References
- Lutsey, N. Global climate change mitigation potential from a transition to electric vehicles. Int. Counc. Clean Transp. 2015, 2015, 5. [Google Scholar]
- Bryhadyr, I.; Panova, I.; Strelianyi, V. Transition from internal combustion engines to electric motors–legal and organizational dimensions. Stud. Nad Bezpieczeństwem 2021, 6, 77–85. [Google Scholar]
- Das, P.K.; Bhat, M.Y. Global electric vehicle adoption: Implementation and policy implications for India. Environ. Sci. Pollut. Res. 2022, 29, 40612–40622. [Google Scholar] [CrossRef] [PubMed]
- Muratori, M.; Alexander, M.; Arent, D.; Bazilian, M.; Cazzola, P.; Dede, E.M.; Farrell, J.; Gearhart, C.; Greene, D.; Jenn, A.; et al. The rise of electric vehicles—2020 status and future expectations. Prog. Energy 2021, 3, 022002. [Google Scholar] [CrossRef]
- Wang, J.; Zhang, C.; Guo, D.; Yang, F.; Zhang, Z.; Zhao, M. Drive-Cycle-Based Configuration Design and Energy Efficiency Analysis of Dual-Motor 4WD System with Two-Speed Transmission for Electric Vehicles. IEEE Trans. Transp. Electrif. 2023, 10, 1887–1899. [Google Scholar] [CrossRef]
- El Hadraoui, H.; Zegrari, M.; Chebak, A.; Laayati, O.; Guennouni, N. A multi-criteria analysis and trends of electric motors for electric vehicles. World Electr. Veh. J. 2022, 13, 65. [Google Scholar] [CrossRef]
- Ruan, J.; Song, Q. A novel dual-motor two-speed direct drive battery electric vehicle drivetrain. IEEE Access 2019, 7, 54330–54342. [Google Scholar] [CrossRef]
- Huang, W.; Huang, J.; Yin, C. Optimal design and control of a two-speed planetary gear automatic transmission for electric vehicle. Appl. Sci. 2020, 10, 6612. [Google Scholar] [CrossRef]
- Janulin, M.; Vrublevskyi, O.; Prokhorenko, A. Energy minimization in city electric vehicle using optimized multi-speed transmission. Int. J. Automot. Mech. Eng. 2022, 19, 9721–9733. [Google Scholar] [CrossRef]
- Odrigo, A. Development of Multi-Wheel Drivetrain Control System for Future Electric Combat Vehicle. Ph.D. Thesis, University of Ontario Institute of Technology, Oshawa, ON, Canada, 2017. [Google Scholar]
- Dizqah, A.M.; Lenzo, B.; Sorniotti, A.; Gruber, P.; Fallah, S.; De Smet, J. A fast and parametric torque distribution strategy for four-wheel-drive energy-efficient electric vehicles. IEEE Trans. Ind. Electron. 2016, 63, 4367–4376. [Google Scholar] [CrossRef]
- Cao, K.; Hu, M.; Wang, D.; Qiao, S.; Guo, C.; Fu, C.; Zhou, A. All-wheel-drive torque distribution strategy for electric vehicle optimal efficiency considering tire slip. IEEE Access 2021, 9, 25245–25257. [Google Scholar] [CrossRef]
- Kim, K.; Kim, N.; Jeong, J.; Min, S.; Yang, H.; Vijayagopal, R.; Cha, S.W. A Component-Sizing Methodology for a Hybrid Electric Vehicle Using an Optimization Algorithm. Energies 2021, 14, 3147. [Google Scholar] [CrossRef]
- Nguyen, C.T.; Walker, P.D.; Zhou, S.; Zhang, N. Optimal sizing and energy management of an electric vehicle powertrain equipped with two motors and multi-gear ratios. Mech. Mach. Theory 2022, 167, 104513. [Google Scholar] [CrossRef]
- Delavaux, M.; Lhomme, W.; McGordon, A. Comparison between forward and backward approaches for the simulation of an electric vehicle. In Proceedings of the IEEE Vehicle Power and Propulsion Conference (VPPC2010), Lille, France, 1–3 September 2010; pp. 3–5. [Google Scholar]
- Viadero-Monasterio, F.; Meléndez-Useros, M.; Jiménez-Salas, M.; Boada, B.L. Robust Adaptive Heterogeneous Vehicle Platoon Control Based on Disturbances Estimation and Compensation. IEEE Access 2024, 12, 96924–96935. [Google Scholar] [CrossRef]
- Choi, W. A Study on Mode Conversion Control of the Power Distribution System of Dual Motors Equipped Electric Vehicle. Ph.D. Thesis, Seoul National University of Science and Technology, Seoul, Republic of Korea, 2023. [Google Scholar]
- De Pinto, S.; Camocardi, P.; Sorniotti, A.; Gruber, P.; Perlo, P.; Viotto, F. Torque-fill control and energy management for a four-wheel-drive electric vehicle layout with two-speed transmissions. IEEE Trans. Ind. Appl. 2016, 53, 447–458. [Google Scholar] [CrossRef]
- Park, J.; Jeong, H.; Jang, I.G.; Hwang, S.H. Torque distribution algorithm for an independently driven electric vehicle using a fuzzy control method. Energies 2015, 8, 8537–8561. [Google Scholar] [CrossRef]
- Fajri, P.; Lee, S.; Prabhala, V.A.K.; Ferdowsi, M. Modeling and integration of electric vehicle regenerative and friction braking for motor/dynamometer test bench emulation. IEEE Trans. Veh. Technol. 2015, 65, 4264–4273. [Google Scholar] [CrossRef]
- Kumar, C.S.N.; Subramanian, S.C. Cooperative control of regenerative braking and friction braking for a hybrid electric vehicle. Proc. Inst. Mech. Eng. Part D J. Automob. Eng. 2016, 230, 103–116. [Google Scholar] [CrossRef]
- Lin, X.; Lin, Z.; Wei, S. Multi-objective optimized driving strategy of dual-motor EVs using NSGA-II as a case study and comparison of various intelligent algorithms. Appl. Soft Comput. 2021, 111, 107684. [Google Scholar] [CrossRef]
- Kwon, K.; Lee, J.H.; Lim, S.K. Optimization of multi-speed transmission for electric vehicles based on electrical and mechanical efficiency analysis. Appl. Energy 2023, 342, 121203. [Google Scholar] [CrossRef]
- Lartaud, P.; Humbert, P.; Garnier, J. Sequential design for surrogate modeling in Bayesian inverse problems. arXiv 2024, arXiv:2402.16520. [Google Scholar]
- Dasi, M.; Thoma, P. Surrogate Modelling for S-Parameters by Using State Space Mapping. In Proceedings of the 2023 International Conference on Electromagnetics in Advanced Applications (ICEAA), Venice, Italy, 9–13 October 2023; IEEE: Piscataway, NJ, USA, 2023; p. 75. [Google Scholar]
- Deb, K. Multi-objective optimisation using evolutionary algorithms: An introduction. In Multi-Objective Evolutionary Optimisation for Product Design and Manufacturing; Springer: London, UK, 2011; pp. 3–34. [Google Scholar]

























| Item | Value [Unit] |
|---|---|
| Vehicle mass (Sedan/SUV/SUV-Trailer), m | 2265/2728/5803 [kg] |
| Base motor power, P/Maximum torque, T | 92 [kW]/230 [Nm] |
| Base motor max speed, ωmax/motor base speed, ωbase | 20,000 [RPM]/3820 [RPM] |
| Battery capacity, Qn | 77.4 [kWh] |
| Initial front gear ratio, if | 10.65 [-] |
| Initial rear 1st/2nd gear ratio, ir1/ir2 | 14 [-]/6 [-] |
| Indicators | Value [Unit] |
|---|---|
| Maximum vehicle speed (Sedan/SUV/SUV-Trailer) | 225/170/128 [km/h] |
| Maximum climbing grade | 60 [%] |
| Acceleration time (0~96 km/h) | 4.1/5.0/20.0 [s] |
| Solution | Sedan | SUV | SUV-Trailer |
|---|---|---|---|
| A | −1.57% | −1.12% | −1.79% |
| B | 1.56% | 1.23% | 1.29% |
| C | −0.58% | −0.37% | −0.56% |
| Solution | Sedan | SUV | SUV-Trailer |
| A | 18.8% | 14.1% | 35.7% |
| B | −37.2% | −36.4% | −36.5% |
| C | −15.1% | −14.6% | −13.1% |
| Solution | Sedan | SUV | SUV-Trailer |
|---|---|---|---|
| A | −1.22% | −1.01% | −3.98% |
| B | 0.58% | 0.82% | 0.01% |
| C | −0.96% | −0.41% | −1.91% |
| Solution | Sedan | SUV | SUV-Trailer |
|---|---|---|---|
| A | 18.7% | 13.9% | 35.7% |
| B | −37.1% | −36.4% | −36.4% |
| C | −5.52% | −14.4% | −3.49% |
Disclaimer/Publisher’s Note: The statements, opinions and data contained in all publications are solely those of the individual author(s) and contributor(s) and not of MDPI and/or the editor(s). MDPI and/or the editor(s) disclaim responsibility for any injury to people or property resulting from any ideas, methods, instructions or products referred to in the content. |
© 2024 by the authors. Published by MDPI on behalf of the World Electric Vehicle Association. Licensee MDPI, Basel, Switzerland. This article is an open access article distributed under the terms and conditions of the Creative Commons Attribution (CC BY) license (https://creativecommons.org/licenses/by/4.0/).
Share and Cite
Kim, J.; Ahn, J.; Jeong, S.; Park, Y.-G.; Kim, H.; Cho, D.; Hwang, S.-H. Driving Control Strategy and Specification Optimization for All-Wheel-Drive Electric Vehicle System with a Two-Speed Transmission. World Electr. Veh. J. 2024, 15, 476. https://doi.org/10.3390/wevj15100476
Kim J, Ahn J, Jeong S, Park Y-G, Kim H, Cho D, Hwang S-H. Driving Control Strategy and Specification Optimization for All-Wheel-Drive Electric Vehicle System with a Two-Speed Transmission. World Electric Vehicle Journal. 2024; 15(10):476. https://doi.org/10.3390/wevj15100476
Chicago/Turabian StyleKim, Jeonghyuk, Jihyeok Ahn, Seyoung Jeong, Young-Geun Park, Hyobin Kim, Dongwook Cho, and Sung-Ho Hwang. 2024. "Driving Control Strategy and Specification Optimization for All-Wheel-Drive Electric Vehicle System with a Two-Speed Transmission" World Electric Vehicle Journal 15, no. 10: 476. https://doi.org/10.3390/wevj15100476
APA StyleKim, J., Ahn, J., Jeong, S., Park, Y.-G., Kim, H., Cho, D., & Hwang, S.-H. (2024). Driving Control Strategy and Specification Optimization for All-Wheel-Drive Electric Vehicle System with a Two-Speed Transmission. World Electric Vehicle Journal, 15(10), 476. https://doi.org/10.3390/wevj15100476

