A Method for Electric Tractor Molding Based on Terminal Sliding Mode Control Algorithm
Abstract
1. Introduction
2. State Equation of the Electric Tractor
2.1. Modular Model
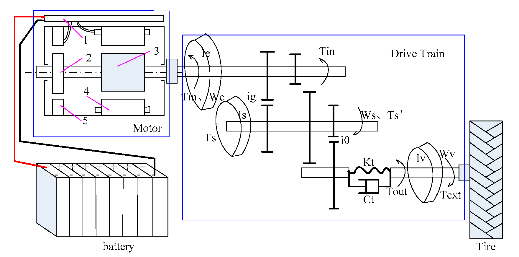
2.1.1. Motor Model
2.1.2. Battery Model
2.1.3. Drive Train Model
2.1.4. Drive Wheel Model
2.2. Full Vehicle Model
3. Terminal Sliding Mode Controller
3.1. Design of the Terminal Sliding Modulus
3.2. Terminal Sliding Mode Controller Design
4. Simulation and Experiment
4.1. Simulation
- (1)
- Make the system’s position instruction relative rotation , drive wheel angular speed , and motor angular speed . Continuous functions are used to reduce chattering. and . The simulation results are shown in Figure 4.
- (2)
- Make the system’s position instruction relative rotation , drive wheel angular speed , and motor angular speed . Continuous functions are used to reduce chattering. and . The simulation results are shown in Figure 5.
- (3)
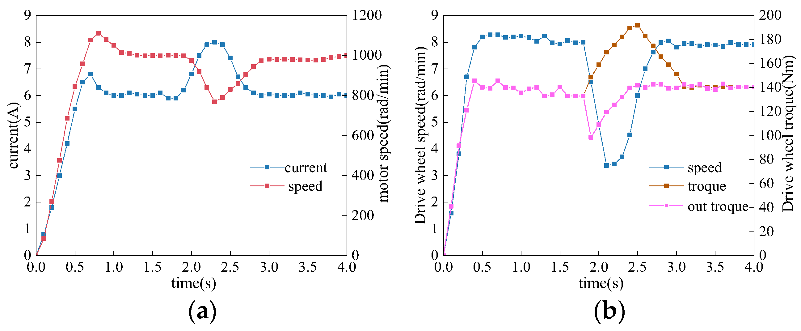
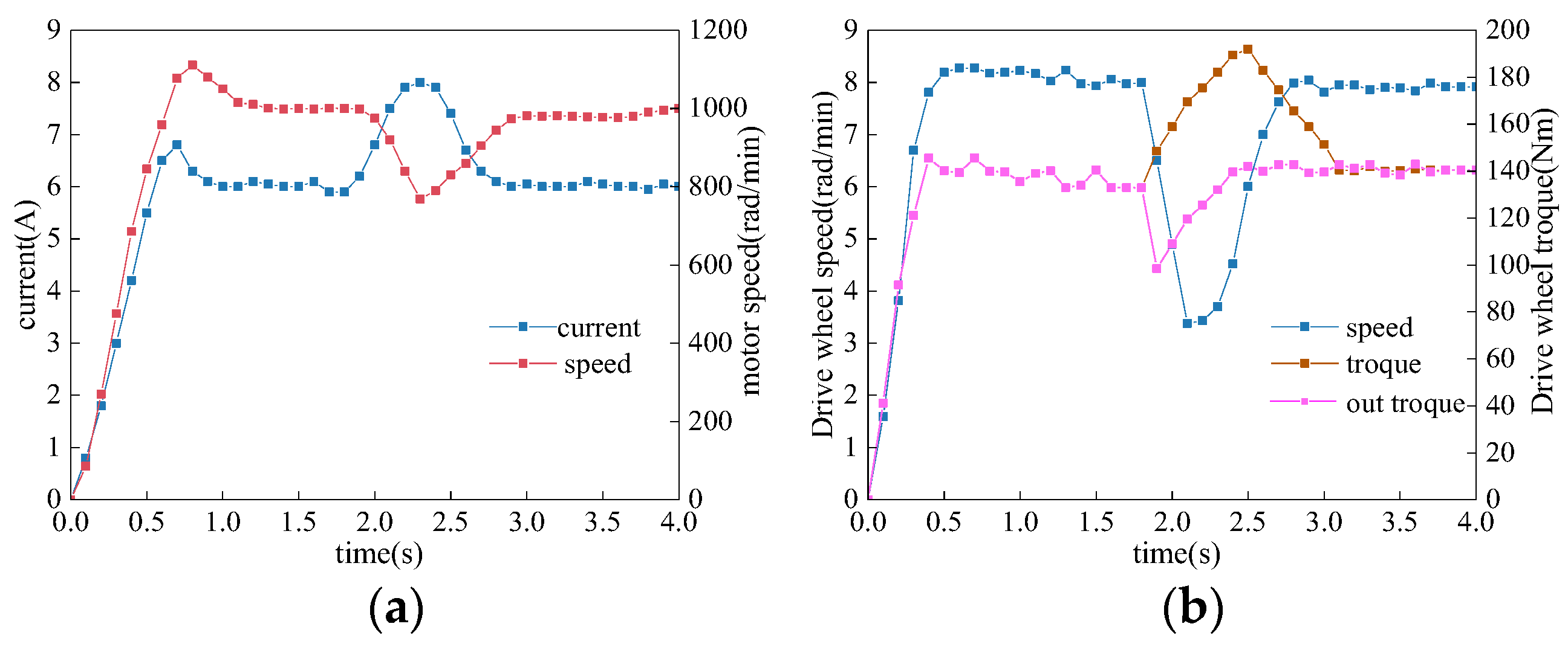
- Simulate the actual situation in the field and compare the sliding mode variable algorithm with the PID algorithm. Set the brushless DC motor start as Tout = 0 N·m and the motor speed = 1000 rad/min. When t = 0.6 s, sudden load torque Tout = 8 N·m. Figure 6 shows the motor torque simulation diagram, and Figure 7 shows the motor speed simulation diagram. The PID overshoot is large, the fluctuations are severe, and the terminal is accurately adjusted.
4.2. Test Analysis
5. Conclusions
- (1)
- Based on the correlation parameters among modules, using the relative angle of the transmission output shaft, driving wheel velocity, mechanical angular velocity of motor as intermediate variables, we obtained the driving wheel velocity and mechanical angular velocity of motor for the output of three input and two output state equation;
- (2)
- Aiming at the vehicle speed, the sliding mode surface is designed using ”linear + nonlinear” features, and the adaptive terminal sliding mode variable control function is designed, so as to realize the control ability of adaptive online adjustment;
- (3)
- The simulation and test results show that, compared with the PID algorithm, the adaptive terminal sliding mode variable algorithm can quickly eliminate the voltage deviation, and achieve a fast response speed and short overshoot time. The tracking error on the sliding mode plane can converge to zero in a limited time. The control accuracy is better, and it has good robustness.
Author Contributions
Funding
Institutional Review Board Statement
Informed Consent Statement
Data Availability Statement
Conflicts of Interest
References
- Wu, Z.; Xie, B.; Li, Z.; Chi, R.; Ren, Z.; Du, Y.; Inoue, E.; Mitsuoka, M.; Okayasu, T.; Hirai, Y. Modelling and verification of driving torque management for electric tractor: Dual-mode driving intention interpretation with torque demand restriction. Biosyst. Eng. 2019, 182, 65–83. [Google Scholar] [CrossRef]
- Liu, J.; Xia, C.; Jiang, D.; Sun, Y. Development and testing of the power transmission system of a crawler electric tractor for greenhouses. Appl. Eng. Agric. 2020, 36, 797–805. [Google Scholar] [CrossRef]
- Jin, X.; Dai, S.; Liang, J. Adaptive constrained formation-tracking control for a tractor-trailer mobile robot team with multiple constraints. IEEE Trans. Autom. 2023, 68, 1700–1707. [Google Scholar] [CrossRef]
- Tufail, M.; Iqbal, J.; Tiwana, M.I.; Alam, M.S.; Khan, Z.A.; Khan, M.T. Identification of tobacco crop based on machine learning for a precision agricultural sprayer. IEEE Access 2021, 9, 23814–23825. [Google Scholar] [CrossRef]
- Xie, B.; Wang, S.; Wu, X.; Wen, C.; Zhang, S.; Zhao, X. Design and hardware-in-the-loop test of a coupled drive system for electric tractor. Biosyst. Eng. 2022, 216, 165–185. [Google Scholar] [CrossRef]
- Cheng, Z.; Lu, Z. Research on the PID control of the ESP system of tractor based on improved AFSA and improved SA. Comput. Electron. Agric. 2018, 148, 142–147. [Google Scholar] [CrossRef]
- Li, Z.; Chen, H.; Liu, H.; Wang, P.; Gong, X. Integrated longitudinal and lateral vehicle stability control for extreme conditions with safety dynamic requirements analysis. IEEE Trans. Intell. Transp. Syst. 2022, 23, 19285–19298. [Google Scholar] [CrossRef]
- Zine, W.; Makni, Z.; Monmasson, E.; Idkhajine, L.; Condamin, B. Interests and limits of machine learning-based neural networks for rotor position estimation in EV traction drives. IEEE Trans. Ind. Inform. 2018, 14, 1942–1951. [Google Scholar] [CrossRef]
- Dzmitry, S.; Valentin, I.; Klaus, A.; Tomoki, E.; Hiroyuki, F.; Hiroshi, F.; Leonid, F. Wheel slip control for the electric vehicle with in-wheel motors: Variable structure and sliding mode methods. IEEE Trans. Ind. Electron. 2022, 67, 8535–8544. [Google Scholar]
- Sunusi, I.; Zhou, J.; Sun, C.; Wang, Z.; Zhao, J.; Wu, Y. Development of online adaptive traction control for electric robotic tractors. Energies 2021, 14, 3394. [Google Scholar] [CrossRef]
- Incremona, G.; Rubagotti, M.; Ferrara, A. Sliding mode control of constrained nonlinear systems. IEEE Trans. Autom. Control 2017, 62, 2965–2972. [Google Scholar] [CrossRef]
- Choi, H. Robust Stabilization of uncertain fuzzy-time-delay systems using sliding-mode-control approach. IEEE Trans. Fuzzy Syst. 2010, 18, 979–984. [Google Scholar] [CrossRef]
- Zhang, Y.; Zhang, Q.; Zhang, J. Sliding mode control for fuzzy singular systems with time delay based on vector integral sliding mode surface. IEEE Trans. Fuzzy Syst. 2020, 28, 768–782. [Google Scholar] [CrossRef]
- Wang, Y.; Wang, Z. Model free adaptive fault-tolerant consensus tracking control for multiagent systems. Neural Comput. Appl. 2022, 34, 10065–10079. [Google Scholar] [CrossRef]
- Nima, L.; Reza, S. Spacecraft attitude control: Application of fine trajectory linearization control. Adv. Space Res. 2021, 68, 3663–3676. [Google Scholar]
- Ding, S.; Liu, L.; Park, J. A novel adaptive nonsingular terminal sliding mode controller design and its application to active front steering system. Int. J. Robust Nonlinear Control 2019, 29, 4250–4269. [Google Scholar] [CrossRef]
- Hou, H.; Yu, X.; Xu, L.; Rsetam, K.; Cao, Z. Finite-time continuous terminal sliding mode control of servo motor systems. IEEE Trans. Ind. Electron. 2020, 67, 5647–5656. [Google Scholar] [CrossRef]
- Kamal, R.; Cao, Z.; Man, Z. Cascaded-extended-state-observer-based sliding-mode control for underactuated flexible joint robot. IEEE Trans. Ind. Electron. 2020, 67, 10822–10832. [Google Scholar]
- Kamal, R.; Cao, Z.; Man, Z. Design of robust terminal sliding mode control for underactuated flexible joint robot. IEEE Trans. Syst. 2022, 52, 4272–4273. [Google Scholar]
- Qi, W.; Park, J.H.; Zong, G.; Cao, J.; Cheng, J. A fuzzy lyapunov function approach to positive l_1 observer design for positive fuzzy semi-markovian switching systems with its application. IEEE Trans. Syst. Man Cybern. Syst. 2019, 51, 775–785. [Google Scholar] [CrossRef]
- Yoo, B.; Ham, W. Adaptive fuzzy sliding mode control of nonlinear system. IEEE Trans. Fuzzy Syst. 1998, 6, 315–321. [Google Scholar]
- Simon, K.; Christoph, M. Nonlinear modelling and control of a power smoothing system for a novel wave energy converter prototype. Sustainability 2022, 14, 13708. [Google Scholar]
- Carter, R.; Cruden, A.; Hall, P.J.; Zaher, A.S. An improved lead–acid battery pack model for use in power simulations of electric vehicles. IEEE Trans. Energy Convers. 2012, 27, 21–28. [Google Scholar] [CrossRef]
- Offer, G.J.; Howey, D.; Contestabile, M.; Clague, R.; Brandon, N.P. Comparative analysis of battery electric, hydrogen fuel cell and hybrid vehicles in a future sustainable road transport system. Energy Policy 2010, 38, 24–29. [Google Scholar] [CrossRef]
- Mohamadabadi, H.; Tichkowsky, G.; Kumar, A. Development of a multi-criteria assessment model for ranking of renewable and non-renewable transportation fuel vehicles. Energy 2009, 34, 112–125. [Google Scholar] [CrossRef]
- Liang, C.; Su, J. A new approach to the design of a fuzzy sliding mode controller. Fuzzy Sets Syst. 2003, 139, 111–124. [Google Scholar] [CrossRef]
- Yang, Z.; Qin, D.; Sun, D. Parameter design and dynamic simulation of powertrain for electric vehicles. J. Chongqing Univ. 2002, 25, 19–22. [Google Scholar]
- Li, T.; Xie, B.; Li, Z.; Li, J. Design and optimization of a dual-input coupling powertrain system: A case study for electric tractors. Appl. Sci. 2020, 10, 1608. [Google Scholar] [CrossRef]
- Cardim, R.; Teixeira, M.C.; Assunção, E.; Ribeiro, J.M.; Covacic, M.R.; Gaino, R. Robust switched control based on strictly positive real systems and variable structure control techniques. Int. J. Adapt. Control Signal Process. 2016, 30, 1244–1268. [Google Scholar] [CrossRef]
- Zhao, G.; Peng, X. Variable structure control strategy research on regenerative braking for a brushless dc motor driven electric bus cruising downhill. J. Adv. Manuf. Syst. 2014, 13, 223–236. [Google Scholar] [CrossRef]
- Xuan, S.; Song, C.; Meng, G. ABS sliding mode variable structure control based on index reaching law. Adv. Mater. Res. 2014, 3140, 439–443. [Google Scholar] [CrossRef]









Disclaimer/Publisher’s Note: The statements, opinions and data contained in all publications are solely those of the individual author(s) and contributor(s) and not of MDPI and/or the editor(s). MDPI and/or the editor(s) disclaim responsibility for any injury to people or property resulting from any ideas, methods, instructions or products referred to in the content. |
© 2023 by the authors. Licensee MDPI, Basel, Switzerland. This article is an open access article distributed under the terms and conditions of the Creative Commons Attribution (CC BY) license (https://creativecommons.org/licenses/by/4.0/).
Share and Cite
Yin, S.; Mao, P.; Li, W. A Method for Electric Tractor Molding Based on Terminal Sliding Mode Control Algorithm. World Electr. Veh. J. 2023, 14, 93. https://doi.org/10.3390/wevj14040093
Yin S, Mao P, Li W. A Method for Electric Tractor Molding Based on Terminal Sliding Mode Control Algorithm. World Electric Vehicle Journal. 2023; 14(4):93. https://doi.org/10.3390/wevj14040093
Chicago/Turabian StyleYin, Shanshan, Pengjun Mao, and Wenjun Li. 2023. "A Method for Electric Tractor Molding Based on Terminal Sliding Mode Control Algorithm" World Electric Vehicle Journal 14, no. 4: 93. https://doi.org/10.3390/wevj14040093
APA StyleYin, S., Mao, P., & Li, W. (2023). A Method for Electric Tractor Molding Based on Terminal Sliding Mode Control Algorithm. World Electric Vehicle Journal, 14(4), 93. https://doi.org/10.3390/wevj14040093

