RETRACTED: LiDAR-IMU-UWB-Based Collaborative Localization
Abstract
:1. Introduction
- After processing the lidar point cloud to obtain the feature point cloud, we use the IMU propagation state to compensate the motion distortion generated by it, and finally use the ICP algorithm to perform registration according to the edge feature information. This method can reduce the error caused by the sparse feature points in the coal mine roadway to the greatest extent and improve the point cloud registration effect.
- Perform average error processing on UWB data to reduce its measurement error, connect it to the IMU pose node as a univariate hyperedge constraint and obtain more accurate positioning results by updating the sliding window.
2. Related Work
3. Method
3.1. State Estimation
3.2. Data Processing
3.3. LiDAR-IMU Odometer
3.4. UWB Constraints
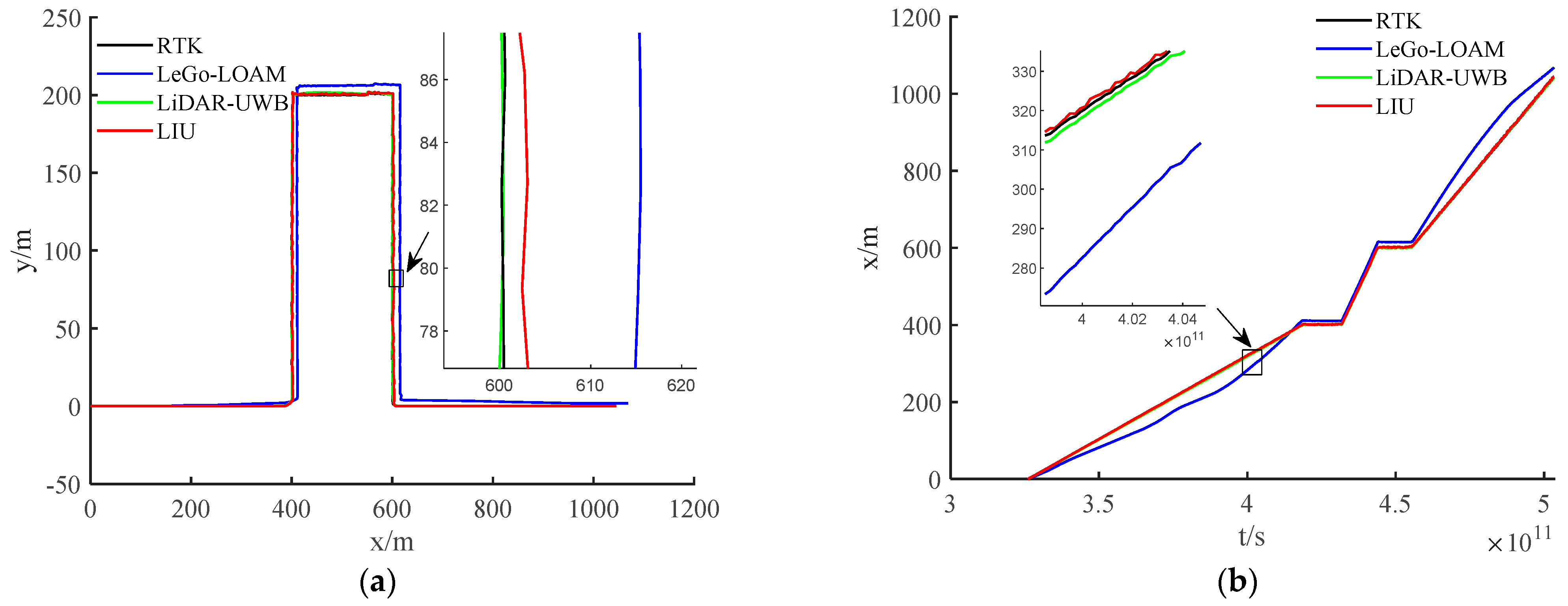
4. Results and Discussion
5. Conclusions
Author Contributions
Funding
Institutional Review Board Statement
Informed Consent Statement
Data Availability Statement
Conflicts of Interest
References
- Nguyen, T.H.; Nguyen, T.M.; Xie, L.H. Range-focused fusion of camera-imu-uwb for accurate and drift-reduced localization. IEEE Robot. Autom. Lett. 2021, 6, 1678–1685. [Google Scholar] [CrossRef]
- Li, K.; Wang, C.; Huang, S.; Liang, G.Y.; Wu, X.Y.; Liao, Y.B. Self-positioning for UAV indoor navigation based on 3D laser scanner, UWB and INS. In Proceedings of the 2016 IEEE International Conference on Information and Automation (ICIA), Ningbo, China, 1–3 August 2016; pp. 498–503. [Google Scholar]
- Zhen, W.K.; Scherer, S. Estimating the localizability in tunnel-like environments using LiDAR and UWB. In Proceedings of the 2019 International Conference on Robotics and Automation (ICRA), Montreal, QC, Canada, 20–24 May 2019; pp. 4903–4908. [Google Scholar]
- Nguyen, T.M.; Cao, M.Q.; Yuan, S.H.; Lyu, Y.; Nguyen, T.H.; Xie, L.H. LIRO: Tightly coupled lidar-inertia-ranging odometry. In Proceedings of the 2021 IEEE International Conference on Robotics and Automation (ICRA), Xi’an, China, 30 May–5 June 2021; pp. 14484–14490. [Google Scholar]
- Tan, H.; Huang, J. DGPS-based vehicle-to-vehicle cooperative collision warning: Engineering feasibility viewpoints. IEEE Trans. Intell. Transp. Syst. 2006, 7, 415–428. [Google Scholar] [CrossRef]
- Valenzuela, C.R.M.; Ferhat, G. Using high-sensitivity receivers for differential GPS positioning. In Proceedings of the INGEO &SIG 2020, Croatia, Dubrovnik, 22–23 October 2020; pp. 75–76. [Google Scholar]
- Jwo, D.J.; Wu, J.C.; Ho, K.L. Support Vector Machine Assisted GPS Navigation in Limited Satellite Visibility. CMC-Comput. Mater. Contin. 2021, 69, 555–574. [Google Scholar] [CrossRef]
- Park, S.; Ryu, S.; Lim, J.; Lee, Y.S. A real-time high-speed autonomous driving based on a low-cost RTK-GPS. J. Real-Time Image Processing 2021, 18, 1321–1330. [Google Scholar] [CrossRef]
- Lyu, P.; Bai, S.; Lai, J.; Wang, B.; Sun, X.; Huang, K. Optimal Time Difference-Based TDCP-GPS/IMU Navigation Using Graph Optimization. IEEE Trans. Instrum. Meas. 2021, 70, 1–10. [Google Scholar] [CrossRef]
- Saini, R.; Karle, M.L.; Karle, U.S.; Karuvelil, F.; Saraf, M.R. Implementation of Multi-Sensor GPS/IMU Integration Using Kalman Filter for Autonomous Vehicle. SAE Technical. Pap. 2019, 26, 8. [Google Scholar]
- Sarantsev, K.A.; Taylor, C.N.; Nykl, S.L. Effects of Stereo Vision Camera Positioning on Relative Navigation Accuracy. In Proceedings of the 2020 International Technical Meeting of The Institute of Navigation, San Diego, CA, USA, 21–24 January 2020; pp. 651–659. [Google Scholar]
- Kamijo, S.; Gu, Y.; Hsu, L. Autonomous vehicle technologies: Localization and mapping. IEICE Fundam. Rev. 2015, 9, 131–141. [Google Scholar] [CrossRef]
- Suhr, J.K.; Jang, J.; Min, D.; Jung, H.G. Sensor fusion-based low-cost vehicle localization system for complex urban environments. IEEE Trans. Intell. Transp. Syst. 2016, 18, 1078–1086. [Google Scholar] [CrossRef]
- Mattern, N.; Wanielik, G. Vehicle localization in urban environments using feature maps and aerial images. In Proceedings of the 2011 14th International IEEE Conference on Intelligent Transportation Systems (ITSC), Washington, DC, USA, 5–7 October 2011; pp. 1027–1032. [Google Scholar]
- Cai, G.; Lin, H.; Kao, S. Mobile robot localization using gps, imu and visual odometry. In Proceedings of the 2019 International Automatic Control Conference (CACS), Keelung, Taiwan, China, 13–16 November 2019; pp. 1–6. [Google Scholar]
- Li, H.; Lei, Z.; Zhang, N. UAV target location based on multi-sensor fusion. Chin. Intell. Syst. Conference. Springer Singap. 2019, 594, 637–644. [Google Scholar]
- Hata, A.Y.; Wolf, D.F. Feature detection for vehicle localization in urban environments using a multilayer LIDAR. IEEE Trans. Intell. Transp. Syst. 2015, 17, 420–429. [Google Scholar] [CrossRef]
- Levinson, J.; Montemerlo, M.; Thrun, S. Map-based precision vehicle localization in urban environments. Robot. Sci. Syst. 2007, 4, 1–8. [Google Scholar]
- Levinson, J.; Thrun, S. Robust vehicle localization in urban environments using probabilistic maps. In Proceedings of the 2010 IEEE international conference on robotics and automation, Anchorage, AK, USA, 3–7 May 2010; pp. 4372–4378. [Google Scholar]
- Zhang, F.; Stähle, H.; Chen, G.; Simon, C.C.C.; Buckl, C.; Knoll, A. A sensor fusion approach for localization with cumulative error elimination. In Proceedings of the 2012 IEEE International Conference on Multisensor Fusion and Integration for Intelligent Systems (MFI), Hamburg, Germany, 13–15 September 2012; pp. 1–6. [Google Scholar]
- Nguyen, T.M.; Yuan, S.; Cao, M.; Yang, L.; Nguyen, T.H.; Xie, L. MILIOM: Tightly Coupled Multi-Input Lidar-Inertia Odometry and Mapping. IEEE Robot. Autom. Lett. 2021, 6, 5573–5580. [Google Scholar] [CrossRef]
- Nguyen, T.M.; Yuan, S.; Cao, M.; Lyu, Y.; Nguyen, T.H.; Xie, L. Ntu viral: A visual-inertial-ranging-lidar dataset, from an aerial vehicle viewpoint. Int. J. Robot. Res. 2021. [Google Scholar] [CrossRef]
- Sibley, D.; Mei, C.; Reid, I.D.; Newman, P. Adaptive relative bundle adjustment. Robot. Sci. Syst. 2009, 32, 33. [Google Scholar]
- Zhang, W. LIDAR-based road and road-edge detection. In Proceedings of the 2010 IEEE Intelligent Vehicles Symposium, La Jolla, CA, USA, 21–24 June 2010; pp. 845–848. [Google Scholar]
- Zhang, J.; Singh, S. LOAM: Lidar Odometry and Mapping in Real-time. Robot. Sci. Syst. 2014, 2, 1–9. [Google Scholar]







| Name | Parameters |
|---|---|
| Shape | 2490 × 1550 × 616 mm |
| Bearing spacing | 1900 mm |
| Wheel spacing | 1355 mm |
| Frame material | High strength aluminum alloy |
| Suspension type | Front and rear double wishbone independent suspension |
| Tire specifications | 205/45R17 |
| Ground clearance | 200 mm |
| Energy type | Pure electric |
| Maximum load | 1000 KG |
| Maximum speed | 40 Km/h |
| Maximum grade | 20% |
| Steering Type | Four-wheel steering (mode adjustable) |
| Recharge mileage | 70 KM |
| Braking method | Electro-hydraulic brake |
| Braking type | Four-wheel disc brake |
| Equipment | Model |
|---|---|
| Industrial Personal Computer | Nuvo-6108gc |
| RTK | CGI-410 |
| LiDAR | Velodyne (VLP-16) |
| IMU | N100 |
| UWB | DWM100 |
Publisher’s Note: MDPI stays neutral with regard to jurisdictional claims in published maps and institutional affiliations. |
© 2022 by the authors. Licensee MDPI, Basel, Switzerland. This article is an open access article distributed under the terms and conditions of the Creative Commons Attribution (CC BY) license (https://creativecommons.org/licenses/by/4.0/).
Share and Cite
Zhang, C.; Ma, X.; Qin, P. RETRACTED: LiDAR-IMU-UWB-Based Collaborative Localization. World Electr. Veh. J. 2022, 13, 32. https://doi.org/10.3390/wevj13020032
Zhang C, Ma X, Qin P. RETRACTED: LiDAR-IMU-UWB-Based Collaborative Localization. World Electric Vehicle Journal. 2022; 13(2):32. https://doi.org/10.3390/wevj13020032
Chicago/Turabian StyleZhang, Chuanwei, Xiaowen Ma, and Peilin Qin. 2022. "RETRACTED: LiDAR-IMU-UWB-Based Collaborative Localization" World Electric Vehicle Journal 13, no. 2: 32. https://doi.org/10.3390/wevj13020032
APA StyleZhang, C., Ma, X., & Qin, P. (2022). RETRACTED: LiDAR-IMU-UWB-Based Collaborative Localization. World Electric Vehicle Journal, 13(2), 32. https://doi.org/10.3390/wevj13020032
