Next Article in Journal / Special Issue
A Wireless Multicoil Charging System for Low-Voltage Electric Vehicle Applications
Previous Article in Journal / Special Issue
Study on Mechanism Analysis of Skidding Prediction for Electric Vehicle Based on Time-Delay Effect of Force Transmission
 
 
Font Type:
Arial Georgia Verdana
Font Size:
Aa Aa Aa
Line Spacing:
Column Width:
Background:
Article

Actual Electricity Utility Factor of Plug-In Hybrid Electric Vehicles in Typical Chinese Cities Considering Charging Pattern Heterogeneity

1
School of Mechanical Engineering, University of Science and Technology Beijing, Beijing 100083, China
2
State Key Laboratory of Automotive Safety and Energy, Tsinghua University, Beijing 100084, China
3
China Automotive Energy Research Center, Tsinghua University, Beijing 100084, China
*
Author to whom correspondence should be addressed.
World Electr. Veh. J. 2021, 12(4), 169; https://doi.org/10.3390/wevj12040169
Submission received: 24 July 2021 / Revised: 7 September 2021 / Accepted: 26 September 2021 / Published: 29 September 2021

Abstract

:
The actual energy saving effect of plug-in hybrid vehicles (PHEVs) is usually evaluated by the electricity utility factor (UF) in a standardized charging pattern. To further evaluate the impacts of the charging pattern heterogeneity of PHEV, actual vehicle travel data are adopted to classify the charging pattern in seven typical Chinese cities and derive its impacts on actual UF. Additionally, UF curves are fitted as power exponential functions. The result shows that during daily usage, UF can reach over 0.8 for 50 km all-electric-range PHEVs for the 77% frequently charging adopters, while it is as low as 0.1 for the 3% rarely charging adopters. Comprehensive UF values at an actual charging pattern are 0.53 and 0.68 for the 50 km and 80 km all-electric-range PHEVs, and the values are 0.03 and 0.04 smaller than the standard UF, respectively.

1. Introduction

As the main segment of the global electric vehicle (EV) market, plug-in hybrid electric vehicles (PHEVs) stock was 1205, 1838 and 2377 from 2017 to 2019, and comprised of 33% to 38% of the total EV stock, according to market data statistics by the International Energy Agency (IEA). Meanwhile, the number of worldwide registered PHEVs increased by more than 500,000 per year since 2018, accounting for over 27–33% of electric vehicles [1]. For example, in Europe (Germany and United Kingdom), PHEV market share has reached over 40% of EV market. Even in China, PHEV still accounts for 21% in 2019, with well-known battery electric vehicle (BEV) friendly policies [2].
Promoting plug-in hybrid electric vehicles (PHEVs) is viewed as a promising strategy to reduce the fuel consumption and greenhouse gas (GHG) emissions to peak carbon emission in the transportation sector [3,4]. However, the complexity of the energy source makes it difficult to directly evaluate the different energy consumptions. PHEVs have two kinds of onboard energy storage, the electricity stored in the battery and the chemical energy stored in fuels (e.g., gasoline, diesel), to drive its operation alone or simultaneously [5,6]. The energy consumption in different energy modes varies dramatically with driving conditions and vehicle energy management strategies. Therefore, it is difficult to determine the actual energy consumption of PHEVs due to the combination of different energy sources, which are affected by driving conditions and driver preferences. An effective approach is needed to clarify the coupling between different energy sources while quantitatively describing their characteristics.
Electricity utility factor (UF) recommended by Society of Automotive Engineers (SAE) was widely used in research to evaluate the fuel consumption and carbon emission of PHEVs [7,8,9]. Onat et al., used the travel survey results to depict the travel distance distribution of 50 states in the United States and the PHEV carbon emission reduction potential according to UF [10]. Wu et al. [11], Requia et al. [12] and Wang [3,13] take similar measures to research PHEV carbon emission in the United States, Canada and China. Currently UF has been widely adopted in the PHEV energy consumption and emission regulations in the United States [7,14], EU [15], Japan [16] and China [17]. These standards are based on different travel patterns in different countries and are effective in their own contexts.
UF was defined as the ratio of electricity-driven range (usually the charge-depleting [CD] range) to the total distance. Standard UF calculation follows the assumption that each PHEV charge once a day [7]. However, it is not always the actual situation, especially in China. Many consumers charge less than once a day due to the inconvenience to the chargers [18]. Besides, most of the research are based on the travel pattern collected from conventional vehicles instead of PHEVs. However, there are still some differences in the travel patterns of conventional vehicles and PHEVs [5]. With the commercialization of PHEVs, it is becoming possible to use PHEV travel data for a more accurate analysis of energy consumption. Smart et al., used the actual PHEV driving pattern to correct UF [19], and more actual driving and charging patterns are needed to derive actual energy saving and emission reduction analysis. Thus, actual PHEV charging behavior impacts on UF hasn’t been clearly illustrated.
Actual PHEV travel data are adopted to analyze real PHEV charging patterns and evaluate its impacts on electricity UF. The ratio of actual distance between adjacent charging events to New European Driving Cycle (NEDC) tested range (A/T ratio) is defined to quantify actual charging patterns. Sales weighted actual UF and UF-fitting curves for seven typical Chinese cities with different charging patterns are derived from the data.

2. Method and Data Introduction

2.1. Data Overview

The data used in this study is obtained through the remote vehicle monitoring platform that adheres to Technical specifications of remote service and management system for electric vehicles, published in 2016 [20]. It is based on PHEV actual big data travel in China cities collected via National Monitoring and Management Centre for New Energy Vehicles (NMMC-NEV). NMMC-NEV is a platform collecting actual travel data from different automobile companies. Actual data includes time, speed and distance at a polling frequency of 0.1 Hz.
Travel data for seven typical Chinese cities are chosen to calculate corresponding UF curves, that is, Beijing, Shanghai, Tianjin, Xi’an Chengdu and Hangzhou, as shown in Figure 1. PHEVs are popular in the above cities with over 4000 PHEVs sold in 2018, except for Beijing (775 PHEVs sold in 2018) due to their BEV-friendly policy [21]. There are over 69,000 battery electric vehicles sold in Beijing, making it one of the biggest plug-in electric vehicle market in China [21]. Although Beijing has not yet included PHEV into plate-lottery-free new energy vehicles (NEVs), which is one of the most attractive policies for NEV consumers, PHEVs can be licensed as conventional vehicles. Here we include Beijing into our research to show more representativeness of different cities. In terms of geographical distribution, Beijing, Tianjin and Xi’an are in northern China, while Shanghai, Chengdu, Shenzhen, Hangzhou are in southern China with a higher average ambient temperature. In terms of urbanization level, Beijing, Shanghai and Shenzhen are first-tier cities, while Tianjin, Xi’an, Chengdu and Hangzhou are second-tier cities. Tiers of cities are administrative partitions by the Chinese government according to the political, economy, and city size. The first-tier areas include the urban mega areas, including Beijing, Shanghai, Guangzhou and Shenzhen. The second-tier areas refer to provincial capital cities, otherwise known as direct-controlled municipalities [22]. Plug-in electric vehicle markets develop quickly in the first-tier and second-tier cities.
Seven PHEV models of four popular PHEV brands sold in China are selected in the above cities, including BYD Qin, BYD Tang, BYD Song, Roewe eRX5, Roewe EI6, GAC GA3S and BMW X1. These models include compact sedans, compact SUVs and medium SUVs. The vehicles share an all-electric range (AER) of 53–80 km and a NEDC-tested fuel consumption of 1.4–2.0 L/100 km. Vehicle attributes are listed in Table 1. The data comprise a total of 527 PHEVs with a coverage of seven cities, 5,830,000 km and 11,036 driving days. As the brief summary shows in Table 2, the data set includes 45–87 cars and 10,000 car-days in each city, with an average daily vehicle kilometers travelled (DVKT) of 43–55 km.
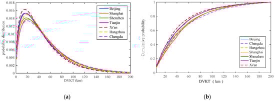
According to the data set, the average daily vehicle kilometer travelled of each city is 52.9 km. Among the seven cities, the average daily mileage in descending order is Shenzhen (55.2 km), Hangzhou (54.8 km) and Shanghai (54.5 km), Tianjin (49.7 km), Beijing (47.1 km) and Xi’an (41.1 km) as shown in Table 2. This is mainly due to different urbanization levels and urban traffic congestion. The detailed daily mileage distribution is located in Section 3.1.

2.2. Data Processing

The data processing is carried out with Matlab (ver. R2018b) by Mathworks®. Data processing includes the following steps:
1.
Normalize data format. The data format is unified and adjusted according to the time sequence to correct any changes in data sequencing that may occur during data uploading.
2.
Complete missing points. Data overflow and data loss may lead to possible missing data. The missing points are smoothed via interpolation.
3.
Segment trips. The data is segmented—any two adjacent data points with an interval longer than 30 min are cut into two trips. An individual standard is 30 min to keep in line with the previous research in this field [23], and can be adjusted according to research needs. The threshold of 30 min may lead to clustering of some short trips, e.g., short stops at a convenience store. However, the trip classification in this research is applied for the identification of charging events. PHEV consumers rarely charge if they stop less than 30 min. Therefore, the 30 min threshold is reasonable for this research to segment trips.
4.
Delete outlier trips. Because the speed limit on expressways in China is 120 kph and statutory provisions limit continuous driving to 4 h [24], single trips longer than 480 km are not allowed. To include complete data as much as possible, trips longer than 960 km (double the criteria) are deleted to avoid the possible data error. At the same time, trips lasting less than 5 min or 1 km are omitted to avoid data deviation.
5.
Derive DVKT. Trips with the same departure date are defined as trips on the same day. Distances driven by the same vehicle on the same day are accumulated as DVKT.
6.
Define charging events. Charging events are not directly recorded and are therefore defined based on changes in the state of charge (SOC). A charging event is defined when the starting SOC of a new trip is 10 percentage points higher than the arrival SOC of the prior trip, and the time interval between these two trips is within 24 h. The time limit aims to avoid data loss. Note 10% is also an individual threshold adopted in this research. SOC may recover a little (2–3%) after the stop according to the actual travel log data, without actual charging sessions. To avoid the miscalculation of charging, an individual threshold of 10% is adopted to exclude the stops without charging.
7.
Utility factor calculation. Utility factor calculation is based on daily mileage distribution and the mileage distribution during two charging events. Check Section 2.3.2. for more details.

2.3. Method

2.3.1. Travel and Charging Pattern

Travel pattern includes DVKT distribution. For a more convenient discussion of travel patterns, the gamma distribution is assumed for daily driving distance and fitted using the DVKT data. Lin and Greene were the first to use the gamma distribution for daily driving distance in the analysis of plug-in electric vehicle energy consumption due to its non-negativity, skewness flexibility, and specification ease [25]. The gamma method was later validated by Lin et al., using GPS-tracked driving data [26], and it has been commonly adopted in plug-in electric vehicle energy studies [27,28,29]. The gamma distribution is described as follows [27,28]:
y = f = x α 1 e x / β / Γ ( α )
The gamma distribution can be specified with two parameters: scale β and shape α. The gamma distribution expectation, which can be expressed as α∙β, can be estimated by dividing the annual driving distance by 365. The mode of the gamma distribution is (α − 1) β and can be approximated by the daily round-trip distance to work or the most frequent destination. As a result, the gamma distribution can be specified by knowing the annual distance and the commuting distance, as described in Lin et al. [28].
As for the charging pattern, the ratio of actual distance between adjacent charging events to NEDC tested range (A/T ratio) is defined to evaluate the actual charging pattern. Note that NEDC tested range is adopted here because it is available for all these vehicle models to make it comparable. A/T ratio is less than one if the consumers charge before the battery is exhausted, and is over one if the actual distance between adjacent charging events is longer than the NEDC tested range, which the latter is common for PHEV users due to the dual energy sources. Consumers with an A/T ratio ≤ 1.5 are defined as frequently charging adopters, 1.5 < A/T ratio ≤ 5 are occasionally charging adopters, and A/T ratio > 5 are defined as rarely charging adopters. Compared to commonly used charging frequency, A/T ratio removes the vehicle CD range variation effect and can clearly illustrate the consumer charging preference.

2.3.2. Utility Factor

Only the driving distance and range of PHEV (i.e., the nominal or actual range) are required for the derivation of UF. If the daily distance travelled, depicted by d k , is less than or equal to the CD range, depicted by D, then 100% of the driving occurs in the CD mode. In turn, if d k is higher than D, then the CD range divided by the total miles defines the driver’s fraction of the CD mode traveled. Thus, UF is defined as the sum of the minimum of either D or the driving distance of d k , divided by the sum of all distances covered. This calculation is expressed as:
UF ( D ) = d k min ( d k , D ) d k d k
Furthermore, actual UF is defined as UF a based on actual charging frequency. Considering actual charging frequency, d i is replaced by actual distance traveled during two charging intervals ( d k ) in the calculation, and the UF a can be expressed as:
UF a ( D ) = d k min ( d k , D ) d k d k
To easily apply the UF curve in energy saving and carbon emission analysis in the regulations, power exponential function is adopted to fit the UF curve as:
UF = 1 exp { [ C 1 · ( x n o r m d i s t ) + C 2   + + C 9 · ( x n o r m d i s t ) 9 ]
The United States, EU and Japan offered the fitting parameters of 6-order or 9-order as needed [7,14,15,16].
Furthermore, sales-weighted average UF in 2018 is derived from the sales-weighted utility factor curve in different cities in China. Cities with more than 1000 PHEV sales in China accounted for 83% of PHEV sales in 2018 [21]; travel pattern in these cities were approximated by the above seven cities with existing data according to the city level and the regions. Note that sales data in 2018 is adopted as the weighted factors to illustrate the utility factor in 2018, to represent utility factor at the background of the PHEV technology and market in 2018, and the weighted factors could be different for different UF factors in different scenarios.

3. Results and Discussion

3.1. Travel and Charging Pattern

The gamma distribution fitting results of each city are shown in Table 3, and the probability distribution curve and cumulative probability distribution curve are shown in Figure 2. According to the gamma travel distribution, 59~69% of the average daily travel distance is less than 50 km, and 78~86% of the average DVKT is less than 80 km. Among them, Xi’an has the highest proportion of short DKVT (less than 50 km) days at nearly 70%; Shanghai and Shenzhen have the largest proportion of days with more than 80 km (19~20%). Furthermore, to ensure the indeed difference between different cities, ANOVA and Student’s t-test are carried out on the daily mileages between each two cities. It turns out that the assumption of all the cities are coming from the same data source can be rejected at the significance level of 1%. As for the comparison between each two cities, it turns out that most cities can reject the same data source assumption at the significance level of 5% from the student’s t-test, except for Beijing-Tianjin, Shanghai-Hangzhou and Shenzhen-Chengdu, indicating different travel patterns are representative among cities. Moreover, Beijing and Tianjin, Shanghai and Hangzhou are very close to each other, and it is acceptable to have similar travel patterns. It is necessary to further understand the travel heterogeneity between Shenzhen and Chengdu with more data, which is not available in this research. Check the Appendix A for the ANOVA and Student’s t-test.
The ambient temperature impact on DVKT is illustrated via the daily mileage variation in different seasons. As shown in Table 4, DVKT varies significantly with different seasons, especially in the cities with distinct four seasons. In Beijing, Shanghai, Tianjin, Chengdu and Hangzhou, there are fewer trips in winter due to the low temperature; therefore, the DVKT difference between winter and summer can reach up to 7–14%. However, DVKT difference between summer and winter in Shenzhen is only 4%, where the average yearly ambient temperature is 20 °C. Here spring covers March, April, May, summer covers June, July, August, autumn covers September, October, November, and winter covers December, January and February.
Average distance travelled between two adjacent charging events is 67% to 138% of NEDC tested range in the seven cities, that is, A/T ratio varies from 0.67 to 1.38 in the seven cities. As shown in Figure 3b, based on actual travel characteristics and charging behaviors, 70.5~87.4% of PHEV owners in these seven cities with an average of 77.0% are frequent charging adopters, and only 2.4~6.1% of PHEV owners rarely charge (rarely charging adopters) during daily use with an average of 3.0%. Among these seven cities, there are most rarely charging adopters in Chengdu while there are least rarely charging adopters in Shanghai, however the differences among cites are limited. Specially, there is a unique double-peak phenomenon in the range of 0 < A/T ratio ≤ 1.5 in Shenzhen (Figure 3a), which indicates two different charging patterns in Shenzhen.
Standard UF of PHEV50 (50-km-all-electric range PHEV) varies from 0.55 to 0.62, and UF of PHEV80 (80-km-all-electric range PHEV) varies from 0.71 to 0.77 as the red shadow shown in Figure 4. Among the seven cities, the UF of PHEV50 was the smallest in Chengdu, while the UF of Tianjin and Xi’an were the largest. Besides, the PHEV80 has the smallest UF at Chengdu and the largest UF at Tianjin listed in Table 5.
Furthermore, sales-weighted average UF is 0.59 for PHEV50 and 0.74 for PHEV80. Cities with more than 1000 PHEV sales in China accounted for 83% of PHEV sales in 2018 [29], travel pattern in these cities were approximated by the above seven cities with existing data according to the city level and the regions. The sales-weighted average UF is the red curve shown in Figure 4.
Power exponential function fitting is carried out based on the above UF values. According to the trips in this research, the DVKT of 400 km or more only accounts for about 1%, and the omission of this part of travel has little influence on UF research. Therefore, 400 km is set as the upper limit of daily travel mileage, and 400 km is set for trips above 400 km, with the fitting parameters listed in Table 6. The fitting is carried out as nine orders to decrease the fitting error to less than 0.015 per the Beijing example shown in Figure 5. The fitting parameters are listed to simplify the calculation in actual use.

3.2. Actual Utility Factor and Discussion

Actual UF is derived from the Equation (3), with the sales-weighted UF at an actual charging pattern of 0.53 for the 50 km all-electric-range PHEVs and 0.68 for the 80 km all-electric-range PHEVs, which is between 23.2% to 26.2% (0.03 to 0.04) smaller than the standardized UF. In reality, this is mainly due to lower than average charging frequency. As shown in Figure 5, the dashed line shows the standard sales-weighted UF while the solid line shows the actual sales-weighted UF, and the shadows indicate the variation among different cities. The actual UF varies from 0.44 to 0.66 for the 50km all-electric-range PHEV and 0.59 to 0.79 for the 80 km-all-electric-range PHEV in different cities. Distinct inter-city UF variation indicates various charging patterns among different cities, possibly due to different charging infrastructure construction, consumer preference and charging prices. Furthermore, the power exponential function fitting of actual UF is listed in Table 7. Similar to the standard UF curves, actual UF curves are also fitted with nine order functions and the fitting errors are less than 0.015.
Utility factor research is the basis of energy consumption and carbon emission research. On-road carbon emission of PHEV can be simplified as the weighted average of on-road carbon emission of fuel driven distance and on-road carbon emission of electricity driven distance (zero for the on-road carbon emission) measured by utility factor. Therefore, considering the sales-weighted UF at actual charging pattern is 0.53 for the 50 km all-electric-range PHEVs, that is, over 50% distance is driven by electricity at actual charging pattern, indicating over 50% on-road carbon emission reduction potential for PHEV.
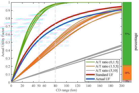
Actual UF for frequently charging adopters can reach 0.8 for the 50 km all-electric-range PHEV while it is only 0.1 for rarely charging adopters. As shown in Figure 6, bars illustrate the ratio of frequently charging adopters, occasionally charging adopters and rarely charging adopters at 77%, 18% and 3%, respectively. The UF curves in the seven cities at different charging frequencies are depicted with different colors. For frequent charging adopters, actual UF could reach over 0.8 for PHEV50 (with a range of 0.81 to 0.87) and over 0.96 for PHEV80 (with a range of 0.96 to 0.98), indicating a very significant energy saving and on-road carbon emission reduction potential of PHEV. For occasionally charging adopters, actual UF could reach a range of 0.28 to 0.33 for PHEV50 and a range of 0.45 to 0.53 for PHEV80, indicating that extending the CD range could significantly improve UF for these consumers. For rarely charging adopters, actual UF is as low as a range of 0.10 to 0.12 for PHEV50 and a range of 0.17 to 0.19 for PHEV80 and improving CD range have limited effects in such situation. Therefore, increasing CD range is effective for frequent and occasional charging adopters.

4. Conclusions

In this research, actual PHEV travel data are adopted to analyze real PHEV charging patterns and its impact on electricity UF. The ratio of actual distance between adjacent charging events to New European Driving Cycle (NEDC) tested range (A/T ratio) is defined to quantify actual charging behavior and electricity. Sales-weighted actual UF and UF at different A/T ratios are derived based on the travel pattern of seven typical cities in China. Standard and actual UF curves are fitted as power exponential functions.
The average daily vehicle kilometer traveled in each city is 52.9 km. 60−69% of the average daily travel distance is less than 50 km, and 78−86% of the average DVKT is less than 80 km. Additionally, average distance traveled between two adjacent charging events is 67% to 138% of NEDC test CD range in the seven cities, due to different charging patterns.
Sales-weighted UF at actual charging pattern is 0.53 for the 50 km all-electric- range PHEVs and 0.68 for the 80km all-electric-range PHEVs, which is 23.2% to 26.2% smaller than the standardized UF. That is, over 50% distance is driven by electricity at actual charging pattern, indicating over 50% on-road carbon emission reduction potential for PHEV.
There are 70.5% to 87.4% frequently charging adopters in typical cities in China. Only 2.4−6.1% personal PHEV adopters rarely charge during daily usage. Actual UF for frequently charging adopters is over 0.8 for the 50 km all-electric-range PHEV while it is close to 0.1 for rarely charging adopters. Therefore, increasing PHEV CD range to 80 km has a significant energy saving effect for frequent and occasional charging adopters.
Utility factor based on actual charging pattern is the basis for the analysis of energy saving and emission reduction effect of PHEV, which will largely help PHEV policy making and consumer purchasing decisions. The actual UF will help consumers accurately evaluate the suitability and cost reduction effect of PHEVs and remove purchasing concerns. Advantages for the government are shown in actual sales-weighted average UF could better estimate the energy saving and emission reduction effect owing to PHEV and help make promotion policies. Besides, it will also suggest PHEV energy saving measures and contribute directly to the carbon peaking goal through PHEV.
As for the limitation of this research, the quantitative effects of charging events and increasing CD ranges are still not clear yet. A clear mathematical expression of the quantitative effects is needed for a further research. Besides, all electric ranges and energy consumption tested under NEDC driving cycle in this research is not a good estimation due to the limitation of the driving cycle itself, and it may overestimate the energy efficiency compared to the actual situation. However, the NEDC tested range is adopted here because it is available for all these vehicle models to make it comparable. More accurate all electric range and energy consumption would be applied in this research in the future.

Author Contributions

Conceptualization, X.H. and H.W.; Data curation, Y.S.; Formal analysis, X.H. and H.W.; Investigation, X.H. and Y.S.; Methodology, X.H.; Project administration, H.W.; Resources, H.W.; Software, X.H.; Validation, Y.Y.; Visualization, X.H.; Writing—original draft, X.H.; Writing—review & editing, X.H., Y.Y. and H.W. All authors have read and agreed to the published version of the manuscript.

Funding

This research was funded by the Ministry of Science and Technology of China, grant number 2019YFE0100200.

Data Availability Statement

Restrictions apply to the availability of these data. Data was obtained from National Monitoring and Management Centre for New Energy Vehicles (NMMC-NEV) and are available from the authors with the permission of NMMC-NEV.

Conflicts of Interest

The authors declare no conflict of interest. The funders had no role in the design of the study; in the collection, analyses, or interpretation of data; in the writing of the manuscript, or in the decision to publish the results.

Appendix A

Table A1. ANOVA test results for the seven cities.
Table A1. ANOVA test results for the seven cities.
Sum of SquaresdfMean SquareFp-Value
Between Groups1,443,594.92006240,599.153066.54800
Error390,480,272108,0043615.4242
Total391,923,866108,010
Table A2. Student’s t-test results for the seven cities.
Table A2. Student’s t-test results for the seven cities.
CityBeijingShanghaiShenzhenHangzhouTianjinChengduXi’an
Beijing-t(27296) = −8.1382, p < 0.001t(29665) = −9.9723, p < 0.001t(27043) = −7.4099, p < 0.001t(26404) = −0.9236, p = 0.3557t(26661) = −10.0174, p < 0.001t(22550) = 3.5528, p < 0.001
Shanghai--t(36315) = −2.3418, p = 0.0192t(33693) = 0.2668, p = 0.7896t(33054) = 8.3748, p < 0.001t(33311) = −2.8000, p = 0.0051t(29200) = 12.5029, p < 0.001
Shenzhen---t(36062) = 2.5043, p = 0.0123t(35423) = 10.6448, p < 0.001t(35680) = −0.5829, p = 0.5600t(31569) = 14.4146, p < 0.001
Hangzhou----t(32801) = 7.6530, p < 0.001t(33058) = −2.9213, p = 0.0035t(28947) = 11.5300, p < 0.001
Tianjin-----t(32419) = −10.6954, p < 0.001t(28308) = 4.9977, p < 0.001
Chengdu------t(28565) = 14.2584 p < 0.001
Xi’an-------

References

  1. International Energy Agency. Global EV Outlook 2021: Accelerating Ambitions Despite the Pandemic; International Energy Agency: Paris, France, 2021. [Google Scholar]
  2. International Energy Agency. Global EV Outlook 2020; International Energy Agency: Paris, France, 2020; Available online: www.iea.org (accessed on 16 August 2020).
  3. Hao, X.; Wang, H.; Li, W.; Ouyang, M. Analysis of PHEV CO2 Emission Based on China’s Grid Structure and Travelling Patterns in Mega Cities. Huan Jing Ke Xue = Huanjing Kexue 2019, 40, 1705–1714. [Google Scholar]
  4. Wan, Z.; Sperling, D.; Wang, Y. China’s electric car frustrations. Transp. Res. Part D Transp. Environ. 2015, 34, 116–121. [Google Scholar] [CrossRef]
  5. Davies, J.; Kurani, K.S. Moving from assumption to observation: Implications for energy and emissions impacts of plug-in hybrid electric vehicles. Energy Policy 2013, 62, 550–560. [Google Scholar] [CrossRef]
  6. Duhon, A.N.; Sevel, K.S.; Tarnowsky, S.A.; Savagian, P.J. Chevrolet Volt Electric Utilization. SAE Int. J. Alt. Power. 2015, 4, 269–276. [Google Scholar] [CrossRef]
  7. SAE. Utility Factor Definitions for Plug-in Hybrid Electric Vehicles Using Travel Survey Data; SAE: Warrendale, PA, USA, 2010. [Google Scholar]
  8. Ke, W.; Zhang, S.; He, X.; Wu, Y.; Hao, J. Well-to-wheels energy consumption and emissions of electric vehicles: Mid-term implications from real-world features and air pollution control progress. Appl. Energy 2017, 188, 367–377. [Google Scholar] [CrossRef]
  9. Hao, X.; Wang, H.; Li, W.; Ouyang, M. An Analysis of the Carbon Emission of PHEV Based on Travelling Pattern in China Mega Cities. In Application of Intelligent Systems in Multi-Modal Information Analytics; Sugumaran, V., Vijayan, S., Zheng, X., Shankar, P., Huiyu, Z., Eds.; Springer Nature Switzerland AG: Basingstoke, UK, 2019; pp. 1284–1294. [Google Scholar]
  10. Onat, N.C.; Kucukvar, M.; Tatari, O. Conventional, hybrid, plug-in hybrid or electric vehicles? State-based comparative carbon and energy footprint analysis in the United States. Appl. Energy 2015, 150, 36–49. [Google Scholar] [CrossRef]
  11. Wu, X.; Aviquzzaman, M.; Lin, Z. Analysis of plug-in hybrid electric vehicles’ utility factors using GPS-based longitudinal travel data. Transp. Res. Part C Emerg. Technol. 2015, 57, 1–12. [Google Scholar] [CrossRef]
  12. Requia, W.; Adams, M.D.; Arain, A.; Koutrakis, P.; Ferguson, M. Carbon dioxide emissions of plug-in hybrid electric vehicles: A life-cycle analysis in eight Canadian cities. Renew. Sustain. Energy Rev. 2017, 78, 1390–1396. [Google Scholar] [CrossRef]
  13. Wang, H.; Zhang, X.; Wu, L.; Hou, C.; Gong, H.; Zhang, Q.; Ouyang, M. Beijing passenger car travel survey: Implications for alternative fuel vehicle deployment. Mitig. Adapt. Strat. Glob. Chang. 2014, 20, 817–835. [Google Scholar] [CrossRef]
  14. SAE. Recommended Practice for Measuring the Exhaust Emissions and Fuel Economy of Hybrid-Electric Vehicles, Including Plug-in Hybrid Vehicles; SAE: Warrendale, PA, USA, 2010. [Google Scholar]
  15. United Nation. United Nations Global Technical Regulation No. 15; vol. ECE/TRANS/180/Add.15/Amend.4; United Nation: San Francisco, CA, USA, 2018. [Google Scholar]
  16. Hori, M.; Kaneda, T. Fuel Consumption Metrics of PHEV by the Equivalent Composite of Electricity and Gasoline. Trans. Soc. Automot. Eng. Jpn. 2012, 43, 1401–1405. [Google Scholar] [CrossRef]
  17. MEE. Limits and Measurement Methods for Emissions from Light-Duty Vehicles (CHINA 6); MEE: Beijing, China, 2016. [Google Scholar]
  18. Hao, X.; Wang, H.W.; Ouyang, M.G. Electric Distance Ratio of PHEV in China Mega City—Based on Mass Driving and Charging Data. In Proceedings of the FISITA 2016 World Automotive Congress, Busan, Korea, 26–30 September 2016. [Google Scholar]
  19. Smart, J. Advanced Vehicle Testing Activity–Cold Weather on-Road Testing of a 2012 Chevrolet Volt; Technical Report; Idaho National Laboratory: Idaho Falls, ID, USA, 2014.
  20. Ministry of Industry and Information Technology. Technical Specifications of Remote Service and Management System for Electric Vehicles; Ministry of Industry and Information Technology: Beijing, China, 2016.
  21. Wang, H.; Hao, X. Data Base of Electric Vehicle Production in China; State Key Laboratory of Automotive Safety and Energy, Tsinghua University & University of Science and Technology Beijing: Beijing, China, 2017. [Google Scholar]
  22. Dilishalong. How Is China’s First-Tier City and Second-Tier City Divided? [EB/OL]. Available online: https://zhuanlan.zhihu.com/p/86355445 (accessed on 1 September 2021).
  23. Hao, X.; Wang, H.; Lin, Z.; Ouyang, M. Seasonal effects on electric vehicle energy consumption and driving range: A case study on personal, taxi, and ridesharing vehicles. J. Clean. Prod. 2020, 249, 119403. [Google Scholar] [CrossRef]
  24. State Council. Regulation on the Implementation of the Road Traffic Safety Law of the People’s Republic of China; State Council: Beijing, China, 2004.
  25. Lin, Z.; Greene, D.L. Assessing Energy Impact of Plug-In Hybrid Electric Vehicles. Transp. Res. Rec. J. Transp. Res. Board 2011, 2252, 99–106. [Google Scholar] [CrossRef]
  26. Lin, Z.; Dong, J.; Liu, C.; Greene, D. Estimation of Energy Use by Plug-In Hybrid Electric Vehicles: Validating Gamma Distribution for Representing Random Daily Driving Distance. Transp. Res. Rec. J. Transp. Res. Board 2012, 2287, 37–43. [Google Scholar] [CrossRef]
  27. Lin, Z. Optimizing and Diversifying Electric Vehicle Driving Range for U.S. Drivers. Transp. Sci. 2014, 48, 635–650. [Google Scholar] [CrossRef]
  28. Lin, Z.; Ou, S.; Elgowainy, A.; Reddi, K.; Veenstra, M.; Verduzco, L. A method for determining the optimal delivered hydrogen pressure for fuel cell electric vehicles. Appl. Energy 2018, 216, 183–194. [Google Scholar] [CrossRef]
  29. Hao, X.; Wang, H.; Ouyang, M. A novel state-of-charge-based method for plug-in hybrid vehicle electric distance analysis validated with actual driving data. Mitig. Adapt. Strat. Glob. Chang. 2019, 25, 459–475. [Google Scholar] [CrossRef]
Figure 1. Cities spatial distribution.
Figure 1. Cities spatial distribution.
Wevj 12 00169 g001
Figure 2. Fitted DVKT Gamma distribution (a) probability density distribution (b) cumulative probability density distribution.
Figure 2. Fitted DVKT Gamma distribution (a) probability density distribution (b) cumulative probability density distribution.
Wevj 12 00169 g002
Figure 3. Actual charging pattern in different cities (a) probability density distribution (b) cumulative probability density distribution.
Figure 3. Actual charging pattern in different cities (a) probability density distribution (b) cumulative probability density distribution.
Wevj 12 00169 g003
Figure 4. Standard UF and Actual UF.
Figure 4. Standard UF and Actual UF.
Wevj 12 00169 g004
Figure 5. UF fitting error illustration (Beijing).
Figure 5. UF fitting error illustration (Beijing).
Wevj 12 00169 g005
Figure 6. UF based on A/T ratio groups.
Figure 6. UF based on A/T ratio groups.
Wevj 12 00169 g006
Table 1. Vehicle attributes used in this research.
Table 1. Vehicle attributes used in this research.
BrandModelAER (km)Battery Capacity (kW·h)Motor Power (kW)Engine Power (kW)Fuel Consumption *
(L/100 km)
Vehicle Numbers
BMWX1 PHEV6014.7701001.897
GACGA3S5811.56130711.849
BYDQin80131101151.481
BYDTang (DM)10018.41101532105
BYDSong8016.91201181.415
Roeweei6539.180801.563
RoeweeRX56012561191.6101
* NEDC comprehensive Fuel consumption.
Table 2. Data summary.
Table 2. Data summary.
CityBeijingChengduHangzhouShanghaiShenzhenTianjinXi’an
Effective days10,37218,18216,93217,02219,44016,14512,275
Total distance (km)488,5211,083,829928,042927,6991,073,282803,052529,543
Number of
vehicles
45777777778787
Average DVKT (km)47.159.654.854.555.249.743.1
DVKT standard deviation (km)56.264.864.258.662.854.555.8
Average speed (km/h)24.827.625.828.326.827.824.2
Table 3. DVKT fitted gamma distribution.
Table 3. DVKT fitted gamma distribution.
Cityα1/βDVKT ≤ 50 km (%)DVKT ≤ 80 km (%)
Beijing1.5131.3764.084.0
Chengdu1.5834.2359.878.4
Hangzhou1.6629.1765.884.0
Shanghai1.6531.7659.380.5
Shenzhen1.5433.3660.981.0
Tianjin1.5829.9565.183.8
Xi’an1.5229.3169.186.0
Table 4. Average daily vehicle kilometers travelled in different seasons.
Table 4. Average daily vehicle kilometers travelled in different seasons.
CitySpring (km)Summer (km)Autumn (km)Winter (km)
Beijing44.955.350.649.3
Chengdu59.764.163.159.7
Hangzhou56.360.457.652.7
Shanghai58.761.255.053.5
Shenzhen56.859.057.658.5
Tianjin50.351.852.745.0
Xi’an49.950.345.949.6
Table 5. Standard UF and actual UF in the seven cities.
Table 5. Standard UF and actual UF in the seven cities.
CityStandard UFActual UF
PHEV50PHEV80PHEV50PHEV80
Beijing0.610.760.660.79
Shanghai0.590.750.520.76
Shenzhen0.570.720.560.72
Hangzhou0.580.720.530.68
Tianjin0.620.770.510.66
Chengdu0.550.710.650.78
Xi’an0.620.760.440.59
Weighted average0.580.730.550.69
Table 6. Standard UF fitting parameters.
Table 6. Standard UF fitting parameters.
CitynormdistC1C2C3C4C5C6C7C8C9
Beijing398.009.46−91.251366.74−9367.4833,665.02−68,220.6078,518.32−47,888.4912,021.37
Shanghai397.008.21−72.941204.37−8548.9531,337.30−64,469.8775,187.95−46,410.6611,777.62
Shenzhen400.008.34−82.131267.42−8832.1632,161.37−65,899.4976,585.96−47,111.1711,915.03
Hangzhou398.008.41−75.731199.40−8670.5732,304.97−67,122.3078,685.06−48,667.5212,351.97
Tianjin398.009.89−109.271698.94−11,856.1843,160.78−88,357.88102,543.21−62,963.1215,887.19
Chengdu400.007.56−45.53708.06−5080.4618,969.70−39,723.4247,097.30−29,529.827609.65
Xi’an400.0010.05−95.771403.55−9734.2835,495.94−72,870.2884,782.31−52,159.1013,180.79
Table 7. Actual UF fitting parameters.
Table 7. Actual UF fitting parameters.
CitynormdistC1C2C3C4C5C6C7C8C9
Beijing794.0013.75−113.921536.87−10,348.2436,662.95−73,058.4882,548.97−49,385.8612,157.30
Shanghai794.0014.30−133.601936.53−13,685.0150,331.46−103,540.98120,320.74−73,807.5318,577.33
Shenzhen792.0011.10−87.361277.10−8988.1132,867.44−67,251.6877,841.41−47,652.1411,994.84
Hangzhou793.0015.60−116.631349.18−9146.0233,799.47−70,566.9483,344.16−51,931.2113,265.98
Tianjin797.0014.78−131.131642.46−11,135.1140,621.96−83,679.2197,685.70−60,284.8615,279.12
Chengdu797.0014.12−203.702765.22−18,433.2865,771.65−133,061.46153,048.53−93,244.6823,357.53
Xi’an796.0016.49−106.27958.62−5792.0020,157.32−40,350.9746,040.24−27,843.266933.06
Publisher’s Note: MDPI stays neutral with regard to jurisdictional claims in published maps and institutional affiliations.

Share and Cite

MDPI and ACS Style

Hao, X.; Yuan, Y.; Wang, H.; Sun, Y. Actual Electricity Utility Factor of Plug-In Hybrid Electric Vehicles in Typical Chinese Cities Considering Charging Pattern Heterogeneity. World Electr. Veh. J. 2021, 12, 169. https://doi.org/10.3390/wevj12040169

AMA Style

Hao X, Yuan Y, Wang H, Sun Y. Actual Electricity Utility Factor of Plug-In Hybrid Electric Vehicles in Typical Chinese Cities Considering Charging Pattern Heterogeneity. World Electric Vehicle Journal. 2021; 12(4):169. https://doi.org/10.3390/wevj12040169

Chicago/Turabian Style

Hao, Xu, Yuebo Yuan, Hewu Wang, and Yingbo Sun. 2021. "Actual Electricity Utility Factor of Plug-In Hybrid Electric Vehicles in Typical Chinese Cities Considering Charging Pattern Heterogeneity" World Electric Vehicle Journal 12, no. 4: 169. https://doi.org/10.3390/wevj12040169

APA Style

Hao, X., Yuan, Y., Wang, H., & Sun, Y. (2021). Actual Electricity Utility Factor of Plug-In Hybrid Electric Vehicles in Typical Chinese Cities Considering Charging Pattern Heterogeneity. World Electric Vehicle Journal, 12(4), 169. https://doi.org/10.3390/wevj12040169

Article Metrics

Back to TopTop