Study on Capacity Estimation Methods of Second-Life Application Batteries
Abstract
:1. Introduction
2. Experiment Setup
3. IC-Features-Based Method
4. Capacity Estimation Method Based on Partial Battery Curve
4.1. Curve-Matching-Based Method
- Vertical moves: (m,n) → (m + 1, n);
- Horizontal moves: (m,n) → (m, n + 1);
- Diagonal moves: (m,n) → (m + 1, n + 1).
4.2. Battery Decay Mechanism-Based Method
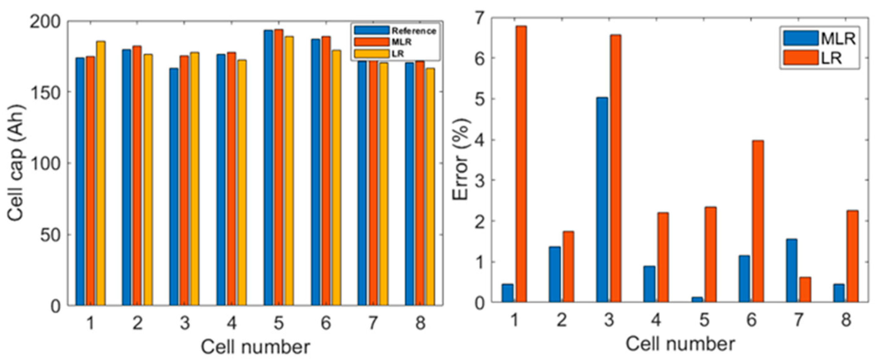
5. Results and Discussion
6. Conclusions
- When historical data are available, the data-driven method based on battery capacity features is still a good choice for retired battery capacity estimation, but attention should be paid to feature selecting in the modeling process to make the method suitable for batteries with deep aging degree.
- When there is little or no historical data, the method based on curve matching proposed in this paper can realize the rapid estimation of battery capacity. However, the estimation accuracy of battery algorithms with a large aging difference may be reduced to a certain extent.
- Finally, the capacity estimation method based on the charging voltage segment mentioned in this paper can estimate most of the capacity by extracting voltage segment information. This method has stronger applicability than the DTW algorithm. So, the mechanism-based method can be used to estimate the capacity under some energy storage conditions.
Author Contributions
Funding
Data Availability Statement
Conflicts of Interest
Nomenclature
| LFP | LiFePO4 |
| DVA | Differential voltage analysis |
| DTW | Dynamic Time Warping |
| EVs | Electric Vehicles |
| SOH | State of Health |
| LIBs | Lithium-ion battery |
| ICA | Incremental capacity analysis |
| ESSs | energy storage systems |
References
- Lai, X.; Huang, Y.; Deng, C.; Gu, H.; Han, X.; Zheng, Y.; Ouyang, M. Sorting, regrouping, and echelon utilization of the large-scale retired lithium batteries: A critical review. Renew. Sustain. Energy Rev. 2021, 146, 111162. [Google Scholar] [CrossRef]
- Lai, X.; Huang, Y.; Gu, H.; Deng, C.; Han, X.; Feng, X.; Zheng, Y. Turning waste into wealth: A systematic review on echelon utilization and material recycling of retired lithium-ion batteries. Energy Storage Mater. 2021, 40, 96–123. [Google Scholar] [CrossRef]
- Waag, W.; Kbitz, S.; Sauer, D.U. Experimental investigation of the lithium-ion battery impedance characteristic at various conditions and aging states and its influence on the application. Appl. Energy 2013, 102, 885–897. [Google Scholar] [CrossRef]
- Chang, C.; Wang, Q.; Jiang, J.; Wu, T. Lithium-ion battery state of health estimation using the incremental capacity and wavelet neural networks with genetic algorithm. J. Energy Storage 2021, 38, 102570. [Google Scholar] [CrossRef]
- Zou, C.; Manzie, C.; Nešić, D.; Kallapur, A.G. Multi-time-scale observer design for state-of-charge and state-of-health of a lithium-ion battery. J. Power Sources 2016, 335, 121–130. [Google Scholar] [CrossRef]
- Wei, J.; Dong, G.; Chen, Z. Remaining useful life prediction and state of health diagnosis for lithium-ion batteries using particle filter and support vector regression. IEEE Trans. Ind. Electron. 2017, 65, 5634–5643. [Google Scholar] [CrossRef]
- Hua, Y.; Cordoba-Arenas, A.; Warner, N.; Rizzoni, G. A multi time-scale state-of-charge and state-of-health estimation framework using nonlinear predictive filter for lithium-ion battery pack with passive balance control. J. Power Sour. 2015, 280, 293–312. [Google Scholar] [CrossRef]
- Jiang, Y.; Jiang, J.; Zhang, C.; Zhang, W.; Gao, Y.; Li, N. State of health estimation of second-life LiFePO4 batteries for energy storage applications. J. Clean. Prod. 2018, 205, 754–762. [Google Scholar] [CrossRef]
- Barre, A.; Riu, D. A Real-time Data-driven Method for Battery Health Prognostics in Electric Vehicle Use. PHM Soc. Eur. Conf. 2014, 2. [Google Scholar] [CrossRef]
- Deng, Z.; Hu, X.; Lin, X.; Che, Y.; Xu, L.; Guo, W. Data-driven state of charge estimation for lithium-ion battery packs based on Gaussian process regression. Energy 2020, 205, 118000. [Google Scholar] [CrossRef]
- Bonfitto, A.; Ezemobi, E.; Amati, N.; Feraco, S.; Tonoli, A.; Hegde, S. State of Health Estimation of Lithium Batteries for Automotive Applications with Artificial Neural Networks. In Proceedings of the 2019 AEIT International Conference of Electrical and Electronic Technologies for Automotive (AEIT AUTOMOTIVE), Turin, Italy, 2–4 July 2019. [Google Scholar]
- Cao, M.; Zhang, T.; Wang, Y.; Zhang, S.; Liu, Y. A Deep Learning Method with Ensemble Learning for Capacity Estimation of Lithium-ion Battery. In Proceedings of the 2020 Global Reliability and Prognostics and Health Management (PHM-Shanghai), Shanghai, China, 16–18 October 2020. [Google Scholar]
- Han, X. Study on Li-Ion Battery Mechanism Model and State Estimation for Electric Vehicles. Ph.D. Thesis, Tsinghua University, Beijing, China, 2014. (In Chinese). [Google Scholar]
- Liu, Y.; Zhang, C.; Jiang, J.; Jiang, Y.; Zhang, L.; Zhang, W. Capacity Estimation of Serial Lithium-ion Battery Pack Using Dynamic Time Warping Algorithm. IEEE Access 2019, 7, 174687–174698. [Google Scholar] [CrossRef]
- Keogh, E.; Ratanamahatana, C.A. Exact Indexing of Dynamic Time Warping. Knowl. Inf. Syst. 2002, 7, 358–386. [Google Scholar] [CrossRef]
- Dubarry, M.; Truchot, C.; Liaw, B.Y. Synthesize battery degradation modes via a diagnostic and prognostic model. J. Power Sources 2012, 219, 204–216. [Google Scholar] [CrossRef]
- Dubarry, M.; Truchot, C.; Liaw, B.Y. Cell degradation in commercial LiFePO4 cells with high-power and high-energy designs. J. Power Sources 2014, 258, 408–419. [Google Scholar] [CrossRef]


















| Cycle | 0 | 1000 |
|---|---|---|
| 1# | 174.0 Ah | 153.7 Ah |
| 2# | 179.6 Ah | 143.5 Ah |
| 3# | 166.8 Ah | 143.4 Ah |
| 4# | 176.2 Ah | 147.5 Ah |
| 5# | 193.5 Ah | 139.1 Ah |
| 6# | 186.9 Ah | 150.1 Ah |
| 7# | 171.7 Ah | 156.2 Ah |
| 8# | 170.7 Ah | 155.8 Ah |
| Method | Maximum Error (%) | Average Error (%) | ||
|---|---|---|---|---|
| Cycle | 0 | 1000 | 0 | 1000 |
| MLR | 5.0 | 6.6 | 1.38 | 3.65 |
| LR | 6.8 | 20 | 3.3 | 12.0 |
| Curve-matching | 11.0 | 8 | 2.34 | 4.2 |
| Mechanism-based | 4.4 | 6.7 | 1.57 | 3.15 |
Publisher’s Note: MDPI stays neutral with regard to jurisdictional claims in published maps and institutional affiliations. |
© 2021 by the authors. Licensee MDPI, Basel, Switzerland. This article is an open access article distributed under the terms and conditions of the Creative Commons Attribution (CC BY) license (https://creativecommons.org/licenses/by/4.0/).
Share and Cite
Ma, L.; Zhang, C.; Wang, J.; Wang, K.; Chen, J. Study on Capacity Estimation Methods of Second-Life Application Batteries. World Electr. Veh. J. 2021, 12, 163. https://doi.org/10.3390/wevj12040163
Ma L, Zhang C, Wang J, Wang K, Chen J. Study on Capacity Estimation Methods of Second-Life Application Batteries. World Electric Vehicle Journal. 2021; 12(4):163. https://doi.org/10.3390/wevj12040163
Chicago/Turabian StyleMa, Linkang, Caiping Zhang, Jinyu Wang, Kairang Wang, and Jie Chen. 2021. "Study on Capacity Estimation Methods of Second-Life Application Batteries" World Electric Vehicle Journal 12, no. 4: 163. https://doi.org/10.3390/wevj12040163
APA StyleMa, L., Zhang, C., Wang, J., Wang, K., & Chen, J. (2021). Study on Capacity Estimation Methods of Second-Life Application Batteries. World Electric Vehicle Journal, 12(4), 163. https://doi.org/10.3390/wevj12040163

