Pore-Scale Numerical Simulation of CO2–Oil Two-Phase Flow: A Multiple-Parameter Analysis Based on Phase-Field Method
Abstract
1. Introduction
2. Theory and Mathematical Model
2.1. Two-Phase Flow Model
2.2. Phase-Field Model
- (1)
- Representation of a two-phase flow interface
- (2)
- Interfacial tension
- (3)
- Wetting angle
- (4)
- Density and viscosity
3. Results and Discussion
3.1. Validation of the Numerical Model
3.2. Geometry Setup of the 2D Heterogeneous Model and Input Parameters of the Two-Phase Flow
3.3. Multiple-Parameter Analysis
3.3.1. Effect of Capillary Number and Viscosity Ratio on Fluid Flow
3.3.2. Effect of Wettability on Fluid Distribution
3.3.3. Effect of Density Ratio on Fluid Flow
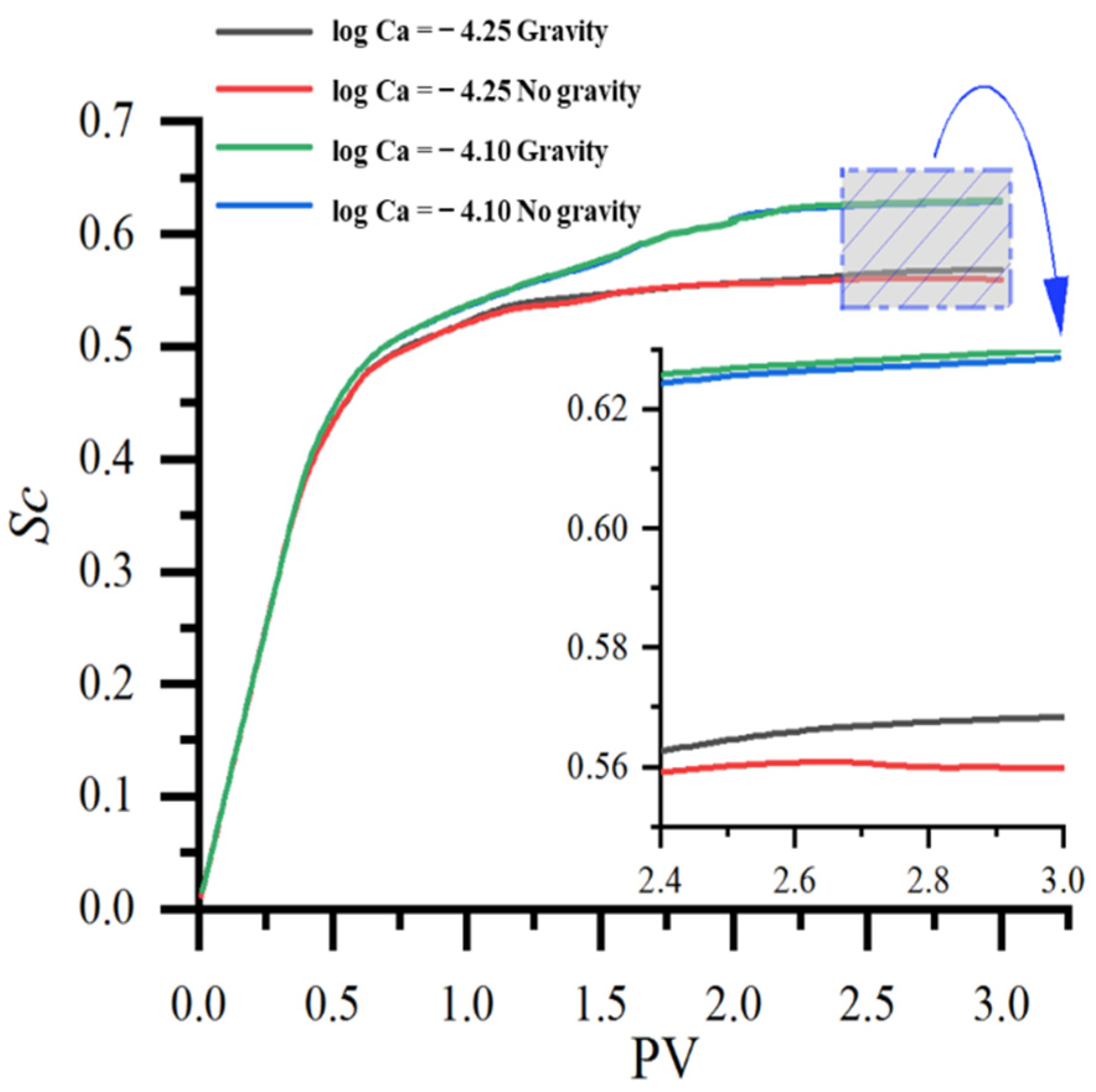
3.3.4. Effect of Gravity on Fluid Flow
3.3.5. Effect of Interfacial Tension on Fluid Flow
3.3.6. Effect of Absolute Permeability on Fluid Flow
3.3.7. Effect of Mixed Wettability on Fluid Flow
4. Conclusions
- (1)
- A higher capillary number and viscosity ratio contribute to EOR. Furthermore, with the increase in the capillary number and viscosity ratio, the fingering phenomenon becomes less obvious and shows a stable displacement process. Viscosity fingering is the main pattern that occurred in the CO2 flooding.
- (2)
- When the wettability alternates from strong oil-wetted to nonoil-wetted, the recovery efficiency keeps constant at the initial stage and then increases slightly. For the mixed wettability scenario, the higher the proportions of the nonoil-wetted area in the model, the higher the oil recovery will be achieved. The patterns of residual fluids trapped after CO2 breaks through are mainly oil film, oil cluster, and blind-end types in oil-wetted pores, while they are mainly pore-cluster and blind-end types in nonoil-wetted pores.
- (3)
- The model of larger absolute permeability has a better oil recovery efficiency by CO2 flooding under the same porosity.
- (4)
- A higher density ratio and lower interfacial tension contribute to a higher oil recovery efficiency, which indicates that the scCO2 injection combined with surfactant flooding is an effective way to enhance the oil recovery. The gravity contributes to increase the sweeping efficiency by enhancing the CO2 migration in the vertical direction and enhancing the ultimate oil recovery efficiency.
Author Contributions
Funding
Data Availability Statement
Conflicts of Interest
References
- Hoegh-Guldberg, O.; Bruno, J. The impact of climate change on the world’s marine ecosystems. Science 2010, 328, 1523–1528. [Google Scholar] [CrossRef] [PubMed]
- Song, R.; Wang, Y.; Tang, Y.; Liu, J.; Yang, C. 3D Printing of natural sandstone at pore scale and comparative analysis on micro-structure and single/two-phase flow properties. Energy 2022, 261, 125226. [Google Scholar] [CrossRef]
- Song, R.; Liu, J.; Cui, M. A new method to reconstruct structured mesh model from micro-computed tomography images of porous media and its application. Int. J. Heat. Mass Trans. 2017, 109, 705–715. [Google Scholar] [CrossRef]
- Bode, S.; Jung, M. Carbon dioxide capture and storage—liability for non-permanence under the UNFCCC. Int. Environ. Agreem. Politics Law Econ. 2006, 6, 173–186. [Google Scholar] [CrossRef]
- Cao, S.; Dai, S.; Jung, J. Supercritical CO2 and brine displacement in geological carbon sequestration: Micromodel and pore network simulation studies. Int. J. Green. Gas Control. 2016, 44, 104–114. [Google Scholar] [CrossRef]
- Song, R.; Liu, J.; Yang, C.; Sun, S. Study on the multiphase heat and mass transfer mechanism in the dissociation of methane hydrate in reconstructed real-shape porous sediments. Energy 2022, 254, 124421. [Google Scholar] [CrossRef]
- Blunt, M.; Fayers, F.J.; Orr, F.M., Jr. Carbon dioxide in enhanced oil recovery. Energy Convers. Manag. 1993, 34, 1197–1204. [Google Scholar] [CrossRef]
- Alvarado, V.; Manrique, E. Enhanced oil recovery: An update review. Energies 2010, 3, 1529–1575. [Google Scholar] [CrossRef]
- Parker, M.E.; Meyer, J.P.; Meadows, S.R. Carbon dioxide enhanced oil recovery injection operations technologies. Energy Procedia 2009, 1, 3141–3148. [Google Scholar] [CrossRef]
- Wang, X.Q.; Gu, Y.A. Oil recovery and permeability reduction of a tight sandstone reservoir in immiscible and miscible CO2 flooding processes. Ind. Eng. Chem. Res. 2011, 50, 2388–2399. [Google Scholar] [CrossRef]
- Song, R.; Sun, S.; Liu, J.; Yang, C. Pore scale modeling on dissociation and transportation of methane hydrate in porous sediments. Energy 2021, 237, 121630. [Google Scholar] [CrossRef]
- Song, R.; Wang, Y.; Liu, J.; Cui, M.; Lei, Y. Comparative analysis on pore-scale permeability prediction on micro-CT images of rock using numerical and empirical approaches. Energy Sci. Eng. 2019, 7, 2842–2854. [Google Scholar] [CrossRef]
- Peng, X.; Wang, Y.; Diao, Y.; Zhang, L.; Yazid, I.M.; Ren, S. Experimental investigation on the operation parameters of carbon dioxide huff-n-puff process in ultralow permeability oil reservoirs. J. Pet. Sci. Eng. 2019, 174, 903–912. [Google Scholar] [CrossRef]
- Desch, J.B.; Larsen, W.K.; Lindsay, R.F.; Nettle, R.L. Enhanced oil recovery by CO2 miscible displacement in the Little Knife field, Billings County, North Dakota. J. Pet. Technol. 1984, 36, 1592–1602. [Google Scholar] [CrossRef]
- Xiao, P.; Yang, Z.; Wang, X.; Xiao, H.; Wang, X. Experimental investigation on CO2 injection in the Daqing extra/ultra-low permeability reservoir. J. Pet. Sci. Eng. 2017, 149, 765–771. [Google Scholar] [CrossRef]
- Feng, H.; Haidong, H.; Yanqing, W.; Liang, Z.; Bo, R. Assessment of miscibility effect for CO2 flooding EOR in a low permeability reservoir. J. Pet. Sci. Eng. 2016, 145, 328–335. [Google Scholar] [CrossRef]
- Zhu, C.; Li, Y.; Zhao, Q.; Gong, H.; Sang, Q.; Zou, H. Experimental study and simulation of CO2 transfer processes in shale oil reservoir. Int. J. Coal Geol. 2018, 191, 24–36. [Google Scholar] [CrossRef]
- Ding, M.; Gao, M.; Wang, Y.; Qu, Z.; Chen, X. Experimental study on CO2-EOR in fractured reservoirs: Influence of fracture density, miscibility and production scheme. J. Pet. Sci. Eng. 2019, 174, 476–485. [Google Scholar] [CrossRef]
- Gao, H.; Pu, W. Experimental Study on Supercritical CO2 Huff and Puff in Tight Conglomerate Reservoirs. ACS Omega 2021, 6, 24545–24552. [Google Scholar] [CrossRef]
- Li, H.; Yang, Z.; Li, R. Mechanism of CO2 enhanced oil recovery in shale reservoirs. Petro. Sci. 2021, 18, 1788–1796. [Google Scholar] [CrossRef]
- Li, X.; Xue, J.; Wang, Y.; Yang, W.; Lu, J. Experimental study of oil recovery from pore of different sizes in tight sandstone reservoirs during CO2 flooding. J. Pet. Sci. Eng. 2022, 208, 109740. [Google Scholar] [CrossRef]
- Kun, Q.; Sheng, L.; Hong, E. Microscopic characteristics of oil displacement with different CO2 injection modes in extra-low permeability reservoirs. Xinjiang Pet. Geol. 2020, 41, 204. [Google Scholar]
- Al-Bayati, D.; Saeedi, A.; Xie, Q.; Myers, M.B.; White, C. Influence of permeability heterogeneity on miscible CO2 flooding efficiency in sandstone reservoirs: An experimental investigation. Transp. Porous Med. 2018, 125, 341–356. [Google Scholar] [CrossRef]
- Pu, W.; Gao, H.; Zhao, S.; Gao, X. Microscopic Oil Displacement Mechanism of CO2 in Low-Permeability Heterogeneous Glutenite Reservoirs in the Junggar Basin. ACS Omega 2022, 7, 4420–4428. [Google Scholar] [CrossRef]
- Wei, B.; Gao, H.; Pu, W.; Zhao, F.; Li, Y. Interactions and phase behaviors between oleic phase and CO2 from swelling to miscibility in CO2-based enhanced oil recovery (EOR) process: A comprehensive visualization study. J. Mol. Liquids. 2017, 232, 277–284. [Google Scholar] [CrossRef]
- Yang, Y.; Yang, H.; Tao, L. Microscopic determination of remaining oil distribution in sandstones with different permeability scales using computed tomography scanning. J. Energy Resour. Technol. 2019, 141, 092903. [Google Scholar] [CrossRef]
- Zhang, F.; Jiang, Z.; Sun, W. Effect of microscopic pore-throat heterogeneity on gas-phase percolation capacity of tight sandstone reservoirs. Energy Fuels 2020, 34, 12399–12416. [Google Scholar] [CrossRef]
- Chung, T.; Da, W.; Armstrong, R.; Mostaghimi, P. Voxel agglomeration for accelerated estimation of permeability from micro-CT images. J. Pet. Sci. Eng. 2020, 184, 106577. [Google Scholar] [CrossRef]
- Cao, Q.; Gong, Y.; Fan, T. Pore-scale simulations of gas storage in tight sandstone reservoirs for a sequence of increasing injection pressure based on micro-CT. J. Nat. Gas Sci. Eng. 2019, 64, 15–27. [Google Scholar] [CrossRef]
- Wang, Y.; Song, R.; Liu, J.; Cui, M.; Ranjith, P. Pore scale investigation on scaling-up micro-macro capillary number and wettability on trapping and mobilization of residual fluid. J. Contam. Hydrol. 2019, 225, 103499. [Google Scholar] [CrossRef]
- Zhang, C.; Oostrom, M.; Grate, J. Liquid CO2 displacement of water in a dual-permeability pore network micromodel. Environ. Sci. Technol. 2011, 45, 7581–7588. [Google Scholar] [CrossRef] [PubMed]
- Liu, H.; Valocchi, A.; Werth, C.; Kang, Q.; Oostrom, M. Pore-scale simulation of liquid CO2 displacement of water using a two-phase lattice Boltzmann model. Adv. Water Resour. 2014, 73, 144–158. [Google Scholar] [CrossRef]
- Amiri, H.; Hamouda, A. Pore-scale modeling of non-isothermal two phase flow in 2D porous media: Influences of viscosity, capillarity, wettability and heterogeneity. Int. J. Multiphase Flow. 2014, 61, 14–27. [Google Scholar] [CrossRef]
- Shi, Y.; Tang, G. Non-Newtonian rheology property for two-phase flow on fingering phenomenon in porous media using the lattice Boltzmann method. J. Non-Newtonian Fluid Mech. 2016, 229, 86–95. [Google Scholar] [CrossRef]
- Zhu, G.P.; Yao, J.; Li, A.E.; Sun, H.; Zhang, L. Pore-scale investigation of carbon dioxide-enhanced oil recovery. Energy Fuel 2017, 31, 5324–5332. [Google Scholar] [CrossRef]
- Basirat, F.; Yang, Z.; Niemi, A. Pore-scale modeling of wettability effects on CO2–brine displacement during geological storage. Adv. Water Resour. 2017, 109, 181–195. [Google Scholar] [CrossRef]
- Rokhforouz, M.R.; Amiri, H.A. Effects of grain size and shape distribution on pore-scale numerical simulation of two-phase flow in a heterogeneous porous medium. Adv. Water Resour. 2019, 124, 84–95. [Google Scholar] [CrossRef]
- Ma, Q.; Zheng, Z.; Fan, J.; Jia, J.; Bi, j. Pore-scale simulations of CO2/oil flow behavior in heterogeneous porous media under various conditions. Energies 2021, 14, 533. [Google Scholar] [CrossRef]
- Zhang, L.; Kang, Q.; Yao, J.; Gao, Y.; Sun, Z. Pore scale simulation of liquid and gas two-phase flow based on digital core technology. Sci. China Technol. Sci. 2015, 58, 1375–1384. [Google Scholar] [CrossRef]
- Yue, P.T.; Feng, J.J.; Liu, C.; Shen, J. A diffuse-interface method for simulating two-phase flows of complex fluids. J. Fluid Mech 2004, 515, 293–317. [Google Scholar] [CrossRef]
- Yue, P.T.; Zhou, C.F.; Feng, J.J.; Olliveier-Gooch, C.E.; Hu, H.H. Phase-field simulations of interfacial dynamics in viscoelastic fluids using finite elements with adaptive meshing. J. Comput. Phys. 2006, 219, 47–67. [Google Scholar] [CrossRef]
- Shen, J.; Yang, X. Decoupled, energy stable schemes for phase-field models of two-phase incompressible flows. SIAM J. Numer. Anal. 2015, 53, 279–296. [Google Scholar] [CrossRef]
- Jacqmin, D. Calculation of two-phase Navier–Stokes flows using phase-field modeling. J. Comput. Phys. 1999, 155, 96–127. [Google Scholar] [CrossRef]
- Chaudhary, K.; Bayani, C.; Wolfe, W. Pore-scale trapping of supercritical CO2 and the role of grain wettability and shape. Geophys. Res. Lett. 2013, 40, 3878–3882. [Google Scholar] [CrossRef]
- Chen, H.; Li, B.; Duncan, I.; Elkhider, M.; Liu, X. Empirical correlations for prediction of minimum miscible pressure and near-miscible pressure interval for oil and CO2 systems. Fuel 2020, 278, 118272. [Google Scholar] [CrossRef]
- Tryggvason, G.; Bunner, B.; Esmaeeli, A. A front-tracking method for the computations of multiphase flow. J. Comput Phys. 2001, 169, 708–759. [Google Scholar] [CrossRef]
- Gunde, A.C.; Bera, B.; Mitra, S.K. Investigation of water and CO2 (carbon dioxide) flooding using micro-CT (micro-computed tomography) images of Berea sandstone core using finite element simulations. Energy 2010, 35, 5209–5216. [Google Scholar] [CrossRef]
- Liu, P.; Yao, J.; Couples, G.D.; Ma, J.; Huang, Z.; Sun, H. Modeling and simulation of wormhole formation during acidization of fractured carbonate rocks. J. Pet. Sci. Eng. 2017, 154, 284–301. [Google Scholar] [CrossRef]
- Villanueva, W.; Amberg, G. Some generic capillary-driven flows. Int. J. Multiphase Flow. 2006, 32, 1072–1086. [Google Scholar] [CrossRef]
- Zhu, G.; Yao, J.; Zhang, L.; Sun, H.; Li, A.; Shams, B. Investigation of the dynamic contact angle using a direct numerical simulation method. Langmuir 2016, 32, 11736–11744. [Google Scholar] [CrossRef]
- Boyer, F.; Lapuerta, C.; Minjeaud, S.; Piar, B.; Quintard, M. Cahn–Hilliard/Navier–Stokes model for the simulation of three-phase flows. Transp. Porous Med. 2010, 82, 463–483. [Google Scholar] [CrossRef]
- COMSOL, A. CFD Module User’s Guide; COMSOL Inc.: Stockholm, Sweden, 2020. [Google Scholar]
- Zhou, C.; Yue, P.; Feng, J.J.; Ollivier-Gooch, C.F.; Hu, H.H. 3D phase-field simulations of interfacial dynamics in Newtonian and viscoelastic fluids. J. Comput. Phys. 2010, 229, 498–511. [Google Scholar] [CrossRef]
- Shen, J. Modeling and numerical approximation of two-phase incompressible flows by a phase-field approach. Multiscale Modeling Anal. Mater. Simul. 2012, 9, 147–195. [Google Scholar]
- Or, D. Scaling of capillary, gravity and viscous forces affecting flow morphology in unsaturated porous media. Adv. Water Resour. 2008, 31, 1129–1136. [Google Scholar] [CrossRef]
- Hizir, F.E.; Hardt, D.E. Phase-field modeling of liquids splitting between separating surfaces and its application to high-resolution roll-based printing technologies. Phys. Fluids 2017, 29, 052007. [Google Scholar] [CrossRef]
- Peng, J.; Song, R.; Wang, Y.; Xiao, H. Comparative study of VOF, LS, and VOSET on pore-scale immiscible waterflooding modeling. Petroleum 2021, 7, 314–324. [Google Scholar] [CrossRef]























| Parameter | Numerical Value |
|---|---|
| Length of fluids domain (μm) | 10,030.65 |
| Height of fluids domain (μm) | 4876.80 |
| Particle diameter (μm) | 508.00 |
| P (MPa) | 5.00 |
| T(K) | 293.15 |
| ρCO2(kg/m3) | 140.65 |
| μCO2 (Pa·s) | 1.648 × 10−5 |
| Parameter | Numerical Value |
|---|---|
| T (K) | 293.15 |
| P (MPa) | 5.00 |
| ρCO2 (kg/m3) | 140.65 |
| ρoil (kg/m3) | 900.00 |
| σ (N/m) | 0.025 |
| Contact angles (θ) | 90° |
| Model | Log M | Log Ca | Contact Angle (θ) |
|---|---|---|---|
| a | −3.00 | −5.62 | 90° |
| b | −3.00 | −4.62 | 90° |
| c | −3.00 | −3.62 | 90° |
| d | −1.00 | −5.62 | 90° |
| e | −1.00 | −4.62 | 90° |
| f | −1.00 | −3.62 | 90° |
| Model | Numerical Value |
|---|---|
| a | 60° |
| b | 75° |
| c | 90° |
| d | 105° |
| e | 120° |
| Model | Porosity (%) | Absolute Permeability (m2) |
|---|---|---|
| a | 36.36 | 7.7192 × 10−11 |
| b | 36.36 | 1.5487 × 10−10 |
Disclaimer/Publisher’s Note: The statements, opinions and data contained in all publications are solely those of the individual author(s) and contributor(s) and not of MDPI and/or the editor(s). MDPI and/or the editor(s) disclaim responsibility for any injury to people or property resulting from any ideas, methods, instructions or products referred to in the content. |
© 2022 by the authors. Licensee MDPI, Basel, Switzerland. This article is an open access article distributed under the terms and conditions of the Creative Commons Attribution (CC BY) license (https://creativecommons.org/licenses/by/4.0/).
Share and Cite
Song, R.; Tang, Y.; Wang, Y.; Xie, R.; Liu, J. Pore-Scale Numerical Simulation of CO2–Oil Two-Phase Flow: A Multiple-Parameter Analysis Based on Phase-Field Method. Energies 2023, 16, 82. https://doi.org/10.3390/en16010082
Song R, Tang Y, Wang Y, Xie R, Liu J. Pore-Scale Numerical Simulation of CO2–Oil Two-Phase Flow: A Multiple-Parameter Analysis Based on Phase-Field Method. Energies. 2023; 16(1):82. https://doi.org/10.3390/en16010082
Chicago/Turabian StyleSong, Rui, Yu Tang, Yao Wang, Ruiyang Xie, and Jianjun Liu. 2023. "Pore-Scale Numerical Simulation of CO2–Oil Two-Phase Flow: A Multiple-Parameter Analysis Based on Phase-Field Method" Energies 16, no. 1: 82. https://doi.org/10.3390/en16010082
APA StyleSong, R., Tang, Y., Wang, Y., Xie, R., & Liu, J. (2023). Pore-Scale Numerical Simulation of CO2–Oil Two-Phase Flow: A Multiple-Parameter Analysis Based on Phase-Field Method. Energies, 16(1), 82. https://doi.org/10.3390/en16010082

