Abstract
The rapid advancement of Internet of Things (IoT) networks has revolutionized modern connectivity by integrating many low-power devices into various applications. As IoT networks expand, the demand for energy-efficient, batteryless devices becomes increasingly critical for sustainable future networks. These devices play a pivotal role in next-generation IoT applications by reducing the dependence on conventional batteries and enabling continuous operation through energy harvesting capabilities. However, several challenges hinder the widespread adoption of batteryless IoT devices, including the limited transmission range, constrained energy resources, and low spectral efficiency in IoT receivers. To address these limitations, reconfigurable intelligent surfaces (RISs) offer a promising solution by dynamically manipulating the wireless propagation environment to enhance signal strength and improve energy harvesting capabilities. In this paper, we propose a novel deep reinforcement learning (DRL) algorithm that optimizes the phase shifts of RISs to maximize the network’s achievable rate while satisfying IoT devices’ energy harvesting constraints. Our DRL framework leverages a novel six-dimensional chimp optimization algorithm (6DChOA) to fine-tune the hyper-parameters, ensuring efficient and adaptive learning. The proposed 6DChOA-DRL algorithm optimizes RIS phase shifts to enhance the received power of IoT devices while mitigating interference from direct and RIS-cascaded links. The simulation results demonstrate that our optimized RIS design significantly improves energy harvesting and achievable data rates under various system configurations. Compared to benchmark algorithms, our approach achieves higher gains in harvested power, an improvement in the data rate at a transmit power of 20 dBm, and a significantly lower root mean square error (RMSE) of 0.13 compared to 3.34 for standard RL and 6.91 for the DNN, indicating more precise optimization of RIS phase shifts.
1. Introduction
The Internet of Things (IoT) has become a cornerstone of modern technological advancements, revolutionizing industries by enabling seamless connectivity between devices, systems, and users. In today’s rapidly evolving digital landscape, the IoT plays a crucial role in sectors ranging from healthcare [1] and smart grids [2,3] to industrial automation and consumer electronics [4]. The IoT enhances operational efficiency, reduces costs, and enables new data-driven insights by connecting billions of devices to collect, analyze, and exchange data in real time. Its importance lies not only in improving existing infrastructures but also in driving innovation for future applications, such as autonomous systems and smart environments [5,6]. As the IoT continues to expand, ensuring its devices’ energy efficiency and sustainability is essential for supporting the future of this interconnected ecosystem [7]; therefore, the demand for low-power, batteryless IoT devices has grown significantly. These devices are critical for the sustainability and longevity of IoT ecosystems, as they help reduce the dependence on traditional batteries, which pose both operational and environmental challenges.
Battery-powered IoT devices require regular maintenance, replacements, and disposal, contributing to electronic waste and increasing operational costs [8]. In contrast, batteryless IoT devices can harness ambient energy through advanced energy harvesting techniques, enabling continuous operation with minimal maintenance [9,10]. This shift towards low-power, self-sustaining IoT devices is essential for building scalable, cost-effective, and environmentally friendly IoT infrastructures, particularly in remote or hard-to-reach environments where frequent battery replacement is impractical. A promising technology for batteryless, energy harvesting IoT systems is backscatter communication, as it enables devices to transmit data by reflecting existing signals rather than generating their own [11,12,13,14]. This drastically reduces power consumption, allowing IoT devices to operate using minimal energy harvested from ambient sources, such as solar or radiofrequency (RF) signals [15]. By eliminating the need for batteries, backscatter communication supports the development of sustainable, low-power IoT networks, making it ideal for large-scale deployments in smart cities, industrial automation, and environmental monitoring where energy efficiency is crucial [16].
1.1. Related Works, Research Gaps, and Motivations
In recent years, a substantial amount of research has focused on addressing the energy limitations in IoT networks through innovative energy harvesting solutions. Several studies have explored different techniques and architectures to enhance the energy efficiency and sustainability of IoT devices [17]. Sanislav et al. [18] conducted a comprehensive review of energy harvesting techniques for IoT systems, emphasizing the role of harvesting ambient energy to extend device lifetimes and reduce network maintenance costs. Elahi et al. [19] further explored various energy harvesting mechanisms such as mechanical, wind, and radiofrequency sources while discussing the role of power management integrated circuits (PMICs) in improving the lifespan and efficiency of IoT devices. Zeadally et al. [20] reviewed architectural designs for energy harvesting in IoT networks, highlighting the importance of scavenging energy from the environment to reduce the dependence on batteries and ensure long-term, scalable IoT deployments.
Kamalinejad et al. [21] analyzed wireless energy harvesting (WEH) as a promising solution, presenting its potential for simple and scalable implementation in IoT systems. Additionally, Ju et al. [22] proposed a power management framework for kinetic energy harvesting in IoT devices, demonstrating significant improvements in harvested power and transmission efficiency. Recently, Qamar et al. [23] focused on the advancements of flexible perovskite photovoltaics (f-PPVs) for indoor energy harvesting, emphasizing their potential for self-powered IoT applications in eco-friendly environments. These studies collectively highlight the critical role of energy harvesting in overcoming the energy constraints of IoT networks and ensuring sustainable, long-term operation.
Despite the advancements in energy harvesting technologies, IoT devices still face significant challenges in efficiently capturing and utilizing ambient energy sources. The unpredictable nature of these energy sources, such as solar, thermal, or RF signals, leads to inconsistent energy availability, which can limit the operational reliability of IoT devices. Additionally, the low power output of most energy harvesting techniques means that many IoT devices cannot sustain continuous operation, especially those with higher energy demands for data transmission and processing. These limitations highlight the need for innovative energy harvesting solutions that not only maximize the energy captured from ambient sources but also optimize how that energy is used within IoT systems. Another key challenge in batteryless IoT devices is the limited transmission range [24,25]. These devices often rely on minimal energy harvested from ambient sources, which restricts the power available for signal transmission. As a result, the effective communication range is shortened, making it difficult for devices to maintain reliable connections over long distances. Additionally, low spectral efficiency in IoT receivers further compounds this problem. Spectral efficiency refers to the ability of a communication system to use bandwidth efficiently for data transmission. In many IoT devices, energy constraints lead to simpler, less efficient modulation schemes, which reduce the amount of data that can be transmitted over a given frequency band. This combination of limited transmission range and low spectral efficiency poses significant barriers to the scalability and performance of batteryless IoT networks.
To overcome these challenges, reconfigurable intelligent surfaces (RISs) have emerged as a promising solution [26,27,28,29]. RIS technology consists of surfaces embedded with a large number of passive reflecting elements that can dynamically adjust their phase shifts to control the propagation of electromagnetic waves. By strategically placing RISs in the environment, the wireless signals can be redirected or enhanced to improve the signal strength, extending the transmission range of batteryless IoT devices without increasing their energy consumption [30,31]. Moreover, RISs can improve spectral efficiency by optimizing the reflection of signals, minimizing interference, and maximizing the usable bandwidth. This not only enhances communication reliability but also increases the energy harvesting capability of IoT devices, as stronger and more directed signals improve the efficiency of energy capture from ambient sources. Through these capabilities, RISs play a crucial role in addressing the communication and energy limitations faced by batteryless IoT networks, making them a key technology for future IoT deployments [32]. Optimizing RIS elements to maximize both the energy harvesting capability in IoT devices and the achieved data rate at the IoT receiver presents several challenges that have been overlooked in the literature.
The complexity arises from the need to carefully adjust the phase shifts of the RIS elements to simultaneously enhance the signal strength for energy harvesting and improve communication efficiency without introducing interference. Achieving this balance is critical, as any misalignment in the phase optimization could lead to suboptimal energy harvesting or degraded signal quality at the receiver. In such a scenario, an RIS can be deployed either in the forward link, which refers to the ambient source-to-IoT device link, or in the IoT device-to-IoT receiver link. When placed in the forward link, the RIS reflects ambient signals toward the IoT device, enhancing the harvested energy, improving achievable data rates, and extending the communication range without requiring any modifications or additional processing at the IoT device itself.
This paper investigates the scenario where the RIS is positioned to increase the IoT device activation distance and the received power by delivering more energy to the IoT device. However, a significant challenge arises because the reflected signal from the RIS must not overpower the IoT device’s signal. If the reflected signal is too strong, it can interfere with the IoT device’s transmission, resulting in a degraded decoding performance at the IoT receiver. To avoid this, the interference caused by the reflected signal needs to be carefully controlled and minimized. Thus, our goal is to enhance the IoT device’s data rate by maximizing the signal-to-interference-plus-noise ratio (SINR) at the IoT receiver. By doing so, we aim to improve the desired signal power received by the IoT receiver while simultaneously suppressing interference from both the direct source-to-receiver link and the indirect source-to-RIS-to-receiver link. To achieve this, we optimize the phase shifts of the RIS elements to maximize the IoT device’s data rate, subject to the IoT device’s energy harvesting constraint. However, the optimization problem is complex and non-convex, making it difficult to solve using traditional methods. To overcome this, we propose a novel optimization approach based on deep reinforcement learning (DRL) and a six-dimensional chimp optimization algorithm (6D-ChOA). This hybrid optimization framework allows us to effectively solve the phase-shift optimization problem, enabling us to achieve the dual objectives of maximizing both the IoT device’s energy harvesting capability and its data rate, as demonstrated in this paper.
1.2. Paper Contributions and Organization
The main contributions of this paper can be summarized as follows:
- We propose a novel scheme that utilizes RISs to simultaneously address the energy harvesting limitations, coverage area expansion, and achievable rate enhancement in batteryless IoT networks, improving both the energy efficiency and communication performance in IoT devices at the same time.
- To achieve these goals, we propose a novel DRL framework augmented by the 6DChOA, which fine-tunes hyper-parameters to enable more efficient and adaptive training. The 6DChOA introduces two innovative roles: the leader, which enhances exploitation and accelerates convergence by guiding the search process toward optimal solutions, and the ranger, which boosts exploration, helping the model escape local minima and ensuring a more robust search across the solution space, improving the training efficiency and overall performance of the optimization approach.
- We then formulate the optimal RIS phase-shift design using the proposed 6DChOA-DRL approach to increase the received power at the IoT device while simultaneously suppressing interference from both the direct source-to-receiver link and the cascaded source-to-RIS-to-receiver link.
- We conduct extensive simulations under various experimental settings. The results show that 6DChOA-DRL exhibits superior performance in various metrics, including the root mean square error (RMSE), mean absolute percentage error (MAPE), standard deviation (SD), run time, and convergence trend. Additionally, the results demonstrate that optimizing RIS elements with the proposed 6DChOA-DRL approach significantly improves energy harvesting and the achievable rate compared to other optimization techniques and the conventional batteryless IoT networks without RISs.
The rest of this paper is organized as follows: In Section 2, we introduce the system model and formulate the problem, outlining the key parameters and constraints for optimizing the RIS-aided IoT network. Section 3 details materials and methods including the backgrounds and the proposed optimization scheme, where we present our novel DRL-based approach combined with the 6DChOA to solve the non-convex optimization problem. Section 4 provides the simulation results and analysis. Section 5 presents a comprehensive discussion on the results, implications, and future research directions, and finally, Section 6 concludes this paper by summarizing the main achievements.
2. System Model and Problem Formulation
The system under consideration is an RIS-aided batteryless IoT network consisting of several key components: an RF Source, an IoT device, an IoT receiver, an RIS, an RIS controller, and an IoT server, as shown in Figure 1. Each component plays a critical role in enabling the network’s communication and energy harvesting functionalities. The RF source (S) emits RF signals, which serve two primary purposes: communication and energy harvesting. In this network, the RF source provides the necessary signals that the batteryless IoT devices capture to power their operations. These signals are also used for data transmission between the RF source, the IoT device (D), and the IoT receiver (R). The RF source could be a wireless access point, base station, or any other ambient or dedicated RF-emitting device, which broadcasts unmodulated continuous signals over a designated frequency band. The IoT device relies on harvested energy from the RF signals for its operation. This device captures the RF signals to extract the necessary power for its operations and, subsequently, transmits or backscatters data. Due to its energy constraints, efficient energy harvesting is critical to ensure the sustained functionality of the IoT device.
Figure 1.
RIS-assisted batteryless IoT network setup.
In addition to energy harvesting, the IoT device also transmits sensed data, such as environmental or monitoring information, to the IoT receiver either directly or via the RIS-aided link. The IoT receiver plays the role of collecting the data transmitted from the IoT device [33]. It is equipped to handle incoming signals from both direct and RIS-aided links, ensuring reliable communication. Given the potential for interference caused by multiple signal reflections, the IoT receiver must utilize advanced signal processing techniques to suppress interference and decode the received signals efficiently. The IoT receiver also provides feedback to an IoT server. The RIS (I) is a key component of the system, designed to optimize the wireless communication environment. The RIS consists of multiple passive reflective elements that can be reconfigured to alter the phase of the incoming signals. By adjusting these phase shifts, the RIS can reflect the RF signals to improve the signal quality and increase the energy harvesting efficiency of the IoT device. Additionally, the RIS enhances communication between the IoT device and the IoT receiver by strategically reflecting signals away from unwanted paths to improve the SINR.
The RIS controller is responsible for dynamically adjusting the phase shifts of the RIS elements. It determines the optimal configuration based on real-time network conditions and objectives, such as the channel state information (CSI) of the involved links in Figure 1. Although CSI estimation in batteryless IoT networks remains a challenging task, recent research has started to yield promising advancements, with a number of key studies providing insights into potential solutions, as discussed in [34]. The IoT server acts as the central management and data processing unit of the system. It collects the data received by the IoT receiver, processes them, and stores them for further analysis. The server also plays a critical role in coordinating the activities of the RIS controller, sending commands to optimize RIS configurations based on the network’s performance metrics [35]. Additionally, the IoT server handles the network’s security, managing user authentication and ensuring that the IoT devices and communication links are secure.
For simplicity and without loss of generality, we assume that all components of the RIS-enabled IoT network, including the RF source, IoT receiver, and IoT device, are equipped with a single antenna. Additionally, we consider an RIS consisting of N passive reflective elements. The direct channels between S-D, S-R, and D-R are represented as , , and , respectively. Meanwhile, the cascade channels S-RIS, RIS-D, and RIS-R, expressed by , , and , represent other reflective paths from the RIS. A generalized expression for all channels is given as Equation (1):
where , and represents the phase of . In Equation (1), represents the magnitude of, which is modeled with a Rayleigh distribution. In power-splitting mode, passive IoT devices perform energy harvesting and data transmission simultaneously, with each process utilizing a portion of the incoming RF power on the device [36]. Let denote the received power at the IoT device, which reflects for communication and absorbs for energy harvesting, where is the device’s reflection coefficient. We utilize constant envelope modulation, specifically M-ary phase-shift keying (M-PSK), to ensure that remains fixed. In this work, we apply a linear energy harvesting model, where the harvested power at the IoT device is expressed as Equation (2):
where , with values between 0 and 1, represents the efficiency of power conversion. Typical values for range from 0.2 to 0.6. Although practical energy harvesting circuits have non-linear characteristics and a certain activation threshold, the linear model is sufficiently accurate within specific operating ranges. Non-linear models are also commonly used, as detailed in [37,38], but for the sake of brevity, these details are omitted. Our solution can easily extend to these more complex models as well. Let the source transmit a modulated carrier signal , where P represents the transmission power, and the signal is normalized such that . The IoT device receives the signal through the direct channel and the cascade channels provided by the RIS, denoted as . The signal received by the IoT device can be expressed as Equation (3):
where is a diagonal matrix capturing the reflection characteristics (both attenuation and phase shifts) of the RIS elements. Here, , where is the magnitude of attenuation, and represents the phase shift of the n-th reflector, with . According to our model, the IoT device needs to harvest enough energy to power its operations. With the linear energy harvesting model, as shown in Equation (2), the harvested power at the IoT device must meet the following energy constraint (Equation (4)):
where is the total power received by the IoT device, and represents the minimum activation power threshold required for the energy harvester at the IoT device. The IoT device harvests energy from the incoming signal and modulates it using its own data , where is a normalized symbol chosen from a multi-level modulation scheme (M-ary), satisfying , before transmitting it to the IoT receiver. The signal received by the IoT receiver is expressed as Equation (5):
where represents the additive white Gaussian noise (AWGN) at the IoT receiver with zero mean and variance . The task of the receiver is to detect the value of . The second term on the right-hand side of Equation (5) includes the interference from the direct path and reflections via the RIS. Ideally, this interference should be eliminated by the self-interference cancellation (SIC) circuit, as referenced in [33]. However, perfect SIC is not always achievable, and errors may occur during the SIC process, leading to potential decoding inaccuracies. As a result, the signal received at the IoT receiver for decoding the IoT device’s transmission, after imperfect SIC, can be written as Equations (6) and (7):
where represents the estimated signal at the IoT device. In general, and its estimate can be considered as jointly Gaussian with a specified correlation coefficient [39]. Specifically, s can be expressed as where and the estimation error , which is independent of . Therefore, based on Equation (7), the SINR at the IoT receiver is expressed as Equation (8):
where represents the level of imperfection in the SIC process [39]. Finally, the achievable data rate at the IoT receiver is expressed as Equation (9):
Our objective is to optimize the phase shifts of the RIS elements to enhance the signal power received at the IoT device T and simultaneously maximize the achievable rate or SINR at the receiver. This leads to the formulation of the following optimization problem:
The constraint ensures that the IoT device harvests enough energy to meet its minimum operational requirements. However, due to the non-convex nature of both the objective function and the constraint, this problem cannot be addressed using traditional convex optimization techniques. Therefore, we propose a novel DRL method to effectively solve the optimization problem .
3. Materials and Methods
In this section, the theoretical foundations of the algorithms used in this research are examined, and ultimately, the proposed 6DChOA-DRL algorithm is introduced.
3.1. Standard RL
RL is an ML technique where an agent learns how to make decisions by interacting with an environment. The core objective is for the agent to maximize cumulative rewards over time by taking actions that lead to beneficial outcomes. At each step, the agent observes the current state, selects an action, receives a reward from the environment, and transitions to a new state. The agent learns the optimal behavior through trial and error by adjusting its policy, which dictates the best action for each state. RL is based on sequential decision-making, where the goal is to learn an optimal policy that maximizes long-term rewards rather than immediate gains [40].
RL offers several advantages, making it a powerful framework for solving complex decision-making problems. One of the primary benefits is its model-free nature, meaning that the agent does not require a predefined model of the environment to learn optimal policies. This flexibility makes RL suitable for real-world problems where building an accurate model of the environment is difficult. Additionally, RL can handle delayed rewards, where the consequences of an action are not immediately visible. The discount factor allows the agent to account for long-term gains, making RL particularly effective in scenarios requiring foresight. RL algorithms are also highly adaptable to environments with both discrete and continuous state and action spaces, enabling their use in applications like robotics, game AI, and financial decision-making. RL consists of several key components:
- Agent: the learner or decision-maker;
- Environment: the world through which the agent interacts;
- State (): the current situation or condition of the environment;
- Action (): the set of all possible moves the agent can make;
- Reward (): the feedback from the environment based on the action taken, which tells the agent how good or bad its action was;
- Policy (): the strategy used by the agent to determine which action to take next;
- Value function (): a prediction of future rewards in a given state.
The agent’s performance is evaluated based on a value function that estimates the long-term benefit of each state. The goal is to maximize the agent’s cumulative reward, known as the return, which is often modeled as a sum of discounted future rewards. The mathematical framework of RL is built upon Markov decision processes (MDPs), where decisions are made sequentially, and the next state depends solely on the current state and action. An MDP is defined by a tuple (), where is the set of possible states, is the set of possible actions, is the transition probability, is the reward function, and is the discount factor that balances immediate and future rewards. The fundamental Bellman equation helps in calculating the value function for a given policy, allowing the agent to predict the expected return from a particular state. Equation (11) captures the expected cumulative reward for following policy from a given state [41].
One of the most popular RL algorithms is Q-Learning, which learns an action–value function to estimate the expected return of taking action in state. The Q-value function helps the agent choose actions that maximize long-term rewards. The Q-learning algorithm updates the Q-value using Equation (12):
where is the learning rate, is the discount factor, and is the maximum Q-value for the next state. By repeatedly updating the Q-values based on observed rewards, the agent learns to make better decisions over time. Figure 2 provides a schematic view of the RL process, highlighting the interaction loop between the agent and the environment.
Figure 2.
Schematic view of standard RL tasks.
Figure 2 illustrates how the agent continuously interacts with the environment to learn optimal decision-making strategies. At each step, the agent observes the current state of the environment and selects an action based on its policy. This action influences the environment, resulting in a transition to a new state, and the environment provides the agent with a reward reflecting the value of the action taken. The agent then uses the new state and reward to update its policy, aiming to maximize long-term rewards. This cycle of action, observation, and reward repeats continuously, enabling the agent to improve its behavior over time and learn to make better decisions. The arrows in the figure represent the flow of information between the agent and the environment in a learning loop.
3.2. Standard ChOA
The ChOA is a nature-inspired metaheuristic algorithm modeled on the social and hunting behaviors of chimpanzees [42]. This algorithm captures the complex strategies chimps use in the wild to hunt prey, balancing exploration and exploitation. By mimicking how chimps work together in roles such as attackers, barriers, chasers, and drivers, the ChOA provides a robust framework for solving optimization problems in various fields. The algorithm introduces chaotic variables to introduce randomness, ensuring that the solution space is thoroughly explored. In the ChOA, each of the four chimp roles plays a crucial part in the hunting process, mimicking how real chimpanzees work together to catch prey. Attackers are the chimps that directly approach the prey, getting as close as possible to capture it, while barriers create obstacles or block the prey’s escape routes, limiting its movement. Chasers pursue the prey from different angles, ensuring that it remains within the hunting zone and reducing its chances of escape. Finally, drivers strategically move the prey toward the attackers by directing its path or frightening it into specific areas. Together, these roles ensure a coordinated effort to trap and capture the prey, balancing exploration and exploitation in the optimization process by working in a cooperative and strategic manner. Equations (13)–(17) present the mathematical model for determining the distance between chimps and their prey [42].
where is the prey’s position vector; denotes the chimp’s position vector; are the random vectors ; are the coefficient vectors; indicates a chaotic vector; and is the dynamic vector .
Figure 3 illustrates the two main phases of the hunting process. In Figure 3a, the hunting process in the exploration phase is depicted. Here, chimps assume diverse roles: drivers move prey towards attackers, barriers trap it, and chasers close in. The roles are dynamically updated to encourage broader exploration. As the algorithm moves into exploitation, chimps converge towards the optimal solution. Figure 3b shows the transition into this phase, where the positions of the attackers, barriers, drivers, and chasers become more synchronized to corner the prey. Equations (18)–(20) update the positions of the chimps based on their distance from the prey, allowing them to exploit the most promising areas in the solution space [42].
where presents the best search agent, is the second-best search agent, denotes the third-best search agent, is the fourth-best search agent, and is the updated position of each chimp.
Figure 3.
The hunting process in standard ChOA: (a) exploration phase; (b) exploitation phase.
Figure 4 visually summarizes the movement and coordination of chimps in the ChOA, where multiple factors like the calculated distance and roles dictate how the chimps close in on their prey. Each type of chimp adjusts its position based on the others, ultimately converging towards the best solution after the exploration and exploitation phases.
Figure 4.
Position update in the standard ChOA.
Finally, Equation (21) introduces a probabilistic approach, where the chimps’ next position is influenced by both chaotic variables and prey movements, thus ensuring randomness and diversity in exploration when necessary.
where is the random number ∈ [0, 1].
3.3. Proposed 6DChOA
The standard ChOA, while innovative in its approach to mimicking chimpanzee hunting behavior, faces certain drawbacks that limit its performance in more complex or high-dimensional problems. One of the primary weaknesses is its vulnerability to premature convergence, where the algorithm quickly settles on a solution that is not globally optimal. This issue is particularly problematic in multi-modal landscapes, where the algorithm can easily get trapped in local optima due to insufficient diversity in the search process. The roles of the attackers, barriers, chasers, and drivers, although well designed for coordinating the search, often fail to provide the necessary variation to explore the full search space effectively, especially during the later stages of the optimization. Another significant limitation of the standard ChOA is its imbalanced exploration and exploitation. The algorithm may either over-exploit certain promising regions of the search space, neglecting broader exploration, or over-explore without adequately refining the best solutions. This imbalance can result in slower convergence rates or even missed opportunities to find better solutions. Additionally, the deterministic nature of the movement strategies, particularly the lack of chaotic or random elements, reduces the algorithm’s ability to escape from local optima once it has become trapped. These factors combined limit the adaptability and robustness of the ChOA when applied to more challenging optimization tasks, making it less competitive compared to other advanced metaheuristics [43].
To address these challenges, the improved version of the algorithm introduces two new roles: leader and ranger chimps. The leader chimp enhances exploitation by guiding the search more efficiently toward promising areas of the solution space, ensuring better convergence rates. Meanwhile, the ranger chimp introduces a chaotic and random search behavior, improving exploration by helping the algorithm escape local optima. The new dynamics improve the balance between exploration and exploitation, as the ranger adds randomness to avoid premature convergence, and the leader ensures convergence toward global optima. By including these two new roles, the enhanced 6DChOA significantly improves its ability to handle more complex and multi-modal problems, thus outperforming the standard ChOA. In the improved 6DChOA, Equations (22)–(24) reflect the updated dynamics of the system, incorporating the newly introduced leader and ranger chimps.
Equation (22) defines the distance calculations for each chimp role, including the original attackers, barriers, chasers, and drivers, along with the new leaders and rangers. These distances dictate how each chimp approaches the prey (optimal solution), with the leader guiding the search towards the most promising areas and the ranger introducing randomness to explore less-explored regions. Equation (23) updates the position of each chimp role based on their respective distances, ensuring that the leader drives convergence while the ranger maintains diversity and chaotic behavior to avoid local optima. Finally, Equation (24) computes the new overall position by averaging the positions of all six roles, ensuring a balanced combination of exploration and exploitation. These updated equations enable the 6DChOA to improve the convergence speed and escape from local optima more effectively compared to the standard ChOA.
Figure 5 visually represents the updated position update process in the 6DChOA, which now includes the two newly introduced chimps (leader and ranger) alongside the original attacker, barrier, chaser, and driver roles. Each chimp calculates its distance from the prey and moves accordingly. The leader chimp, positioned to lead the group, enhances the exploitation process by focusing on refining the solution and guiding the search toward the most promising areas. Meanwhile, the ranger introduces randomness to prevent the algorithm from getting stuck in local optima, thus improving exploration. By combining the structured movement of the leader with the chaotic search of the ranger, this new configuration increases the algorithm’s ability to strike a better balance between exploration and exploitation, leading to faster and more accurate convergence compared to the standard ChOA.
Figure 5.
Position update in the proposed 6DChOA.
3.4. Proposed 6DChOA-DRL
In this paper, we propose utilizing DRL, which combines traditional RL with the power of DNNs, to solve complex decision-making tasks. The core concept of DRL is to leverage the ability of RL to learn optimal policies through interaction with an environment, while DNNs serve as function approximators to handle high-dimensional input spaces [44]. This combination allows the agent to make more sophisticated decisions in dynamic, uncertain environments. In a typical DRL framework, the RL component focuses on learning a policy that maximizes cumulative rewards. The agent interacts with the environment by observing its current state, selecting actions, receiving rewards, and updating its knowledge to improve future decision-making. The interaction loop continues until the agent converges on an optimal or near-optimal policy. The agent’s policy, which determines the best action in a given state, is represented by a DNN. This DNN is trained to approximate a value function (Q-value).
The role of the DNN in DRL is crucial for function approximation. In traditional RL methods, tabular approaches are often used, but these become inefficient in environments with large or continuous state spaces. Here, the DNN replaces the table by generalizing over the input space. Specifically, the DNN is used to approximate the Q-value function in a deep Q-Network (DQN), where the network takes the current state as input and outputs a Q-value for each possible action. The network is trained via backpropagation to minimize the error between predicted Q-values and target values, which are computed using the Bellman equation. By using a DNN, the agent can learn complex mappings between states and actions, making it scalable for large environments.
The optimization of hyper-parameters in DRL is crucial for achieving optimal performance. Hyper-parameters such as the weights, biases, learning rate, discount factor (), -greedy, number of hidden layers, and number of neurons per layer directly influence the learning speed, stability, and effectiveness of the DRL agent. If these parameters are not properly calibrated, the agent may either fail to converge, converge to a suboptimal solution, or learn very slowly. For instance, inappropriate learning rates can cause the neural network to either overshoot the optimal solution or converge too slowly. Similarly, the discount factor controls the agent’s balance between short-term and long-term rewards, and a poorly tuned value can lead to suboptimal decision-making. Another critical aspect is the exploration–exploitation trade-off, which is controlled by the ε-greedy policy. The exploration rate determines how much the agent explores new actions versus exploiting known, high-reward actions. If is not well optimized, the agent might explore too little or explore too much. Additionally, the architecture of the neural network (such as the number of hidden layers and the number of neurons per layer) affects the model’s ability to approximate complex value functions and policies. Networks that are too shallow might not capture enough complexity, while overly deep networks can lead to overfitting or increased computational cost.
Given the complexity of tuning these hyper-parameters manually, we propose using the 6DChOA for automatic hyper-parameter optimization in DRL. This unique combination makes the 6DChOA well suited for navigating the complex, high-dimensional space of hyper-parameters in DRL. In the proposed 6DChOA-DRL algorithm, the 6DChOA optimizes key hyper-parameters like the weights, biases, learning rate, and architecture of the DNN (hidden layers and neurons per layer). At each iteration, the 6DChOA evaluates different configurations of these hyper-parameters by training the DRL agent with those values. The objective is to maximize the cumulative reward, which serves as the fitness function in the 6DChOA. The algorithm dynamically updates the hyper-parameters as the optimization process continues, ensuring the agent learns efficiently while avoiding local optima. The interaction between the 6DChOA and DRL ensures that the DRL agent not only learns to solve the task at hand but does so with the most optimal hyper-parameter configuration. By automating the tuning process, the 6DChOA-DRL approach reduces the need for manual trial and error and accelerates convergence to an optimal or near-optimal solution. The 6DChOA provides an intelligent search mechanism for hyper-parameter tuning, which is essential for enhancing the performance of the DRL framework, making the learning process faster, more stable, and ultimately more effective.
The proposed DRL framework is designed to operate in a simulated environment where the agent interacts with the system to optimize the RIS phase shifts for enhanced energy harvesting and communication performance. The environment is defined by three key components, states, actions, and rewards, described as follows:
- (a)
- States: The state space provides the DRL agent with real-time information about the current system conditions, which includes the following:
- The received signal strength at the IoT device, representing the total power received from both the direct and RIS-assisted paths.
- The SINR at the IoT receiver, which reflects the quality of the received signal after accounting for interference and noise.
- The current RIS phase configurations, indicating the passive reflection coefficients of the RIS elements.
These states collectively allow the agent to evaluate the effectiveness of the current RIS configuration and determine necessary adjustments.
- (b)
- Actions: The action space is defined as the possible adjustments the DRL agent can make to the RIS phase shifts. At each time step, the agent selects a new configuration for the RIS by modifying the phase shifts of its N elements. Each phase shift is dynamically updated to optimize the reflection and focus RF signals toward the desired directions. This action space ensures that the agent can explore a wide range of configurations to identify the optimal settings for the given environment.
- (c)
- Rewards: The reward function incentivizes the DRL agent to achieve the dual objectives of maximizing the energy harvested by the IoT device and ensuring reliable communication at the IoT receiver. Specifically, rewards are granted as follows:
Positive rewards are granted for the following:
- •
- Maximizing the harvested power at the IoT device, , where is the total received power, is the reflection coefficient, and is the energy conversion efficiency.
- •
- Increasing the SINR at the IoT receiver, as shown in Equation (8).
Penalties are applied for the following:
- •
- Configurations that fail to meet the energy harvesting constraint at the IoT device: , where is the minimum power threshold.
- •
- Excessive interference at the IoT receiver, leading to degraded SINR values below the desired threshold.
It is worth mentioning that at the beginning of training, the agent primarily explored the action space, resulting in widely varying rewards due to suboptimal RIS phase configurations. As training progressed, the agent began to identify patterns in the environment and optimize its actions, leading to a gradual increase in the average reward values. Convergence was observed after approximately 120 episodes, where the reward stabilized, indicating that the agent had successfully learned an effective policy for configuring the RIS. The final rewards demonstrated consistent alignment with the dual objectives of the system: achieving high energy harvesting efficiency while maintaining robust communication performance. Occasional fluctuations in reward values during training were attributed to the agent’s exploration of alternate strategies to ensure the global optimality of the learned policy.
Figure 6 illustrates the flowchart of the proposed 6DChOA-DRL algorithm. The process begins with the DRL agent, which uses a DNN to learn a policy () based on the current state of the environment. The agent takes an action based on the learned policy, which interacts with the DRL environment. The environment responds by providing a reward and transitioning to a new state, creating a feedback loop. The 6DChOA module works in parallel, continuously optimizing the hyper-parameters of the DRL by evaluating the error between the predicted and actual outcomes. This optimization loop ensures that the agent improves its decision-making capability over time, resulting in better performance across the task.
Figure 6.
The flowchart of the proposed 6DChOA-DRL algorithm.
4. Results
4.1. Simulation Setup and Environment
The simulations for the proposed 6DChOA-DRL framework were conducted on a MacBook Air equipped with an Apple M1 chip and 16 GB RAM. The simulation environment was implemented using Python, leveraging the TensorFlow library for constructing and training the DRL framework. TensorFlow provided the computational efficiency and flexibility needed to model the neural networks and dynamically update the agent’s policy during training. Additionally, we used the NumPy library for numerical computations and Matplotlib for visualizing results, ensuring seamless processing and representation of the simulation data. For the environment and agent interaction, the OpenAI Gym toolkit was utilized to define the state–action–reward framework and simulate the RIS-aided IoT network.
We evaluated the performance of the proposed 6DChOA-DRL framework using the following simulation setup: all channels were modeled using Rayleigh fading, which typically represents scattering environments, such as those found in smart homes. The path loss exponent was set to 3.5 across all channels. The ambient source signal operated at a frequency of 2.4 GHz with a transmission power of , similar to that of a Wi-Fi access point. The source, IoT device, RIS, and IoT receiver were positioned at [−5, 0], [0, 0], [0, 5], and [5, 0] meters, respectively, showcasing a batteryless IoT environment enhanced by an indoor RIS [40]. The noise variance at the IoT receiver was set to. Furthermore, we compared the performance of the proposed 6DChOA-DRL algorithm with some other benchmark algorithms including RL, a DNN, a convolutional neural network (CNN), the 6DChOA, the ChOA, and particle swarm optimization (PSO) for the optimization of RIS phase shifts in the studied system model. The experiments were conducted to benchmark the capabilities of these algorithms in enhancing the energy efficiency and data rate performance of IoT devices under realistic conditions. The simulation environment reflects the complexities of IoT networks, where optimizing RIS phase shifts is crucial for both energy harvesting and signal quality. To assess the performance of these algorithms, we employed some key metrics, the RMSE, MAPE, and SD, detailed in Equations (25)–(27).
where is the actual value, is the predicted value, is the total number of data points, and is the mean of the dataset. The RMSE quantifies the overall error magnitude between the predicted and actual values. A lower RMSE indicates more precise predictions. The MAPE reflects the percentage difference between the predicted and actual values, making it a relative error measure that is particularly useful when comparing across datasets with different scales. The SD is used to assess the consistency of the results across different runs, with a lower SD indicating more stable algorithmic performance. The execution time measures how quickly each algorithm converges to an optimal solution, which is critical for real-time IoT applications where fast decision-making is essential. Finally, convergence curves track the rate at which the algorithms approach the optimal solution, providing insights into their learning dynamics. The use of these evaluation metrics ensures a thorough assessment of the proposed algorithms’ capabilities in optimizing RIS phase shifts, highlighting the improvements brought by 6DChOA-DRL in comparison to traditional methods.
Calibrating the hyper-parameters of ML algorithms is crucial for achieving optimal performance, especially in complex tasks like optimizing RIS phase shifts. The proper tuning of parameters such as the learning rate and number of hidden layers can significantly influence the convergence speed, accuracy, and generalization ability of the models. The trial-and-error method, or grid search, is a commonly used approach in which different combinations of parameter values are tested to identify the best performing configuration. This method ensures that the model is fine-tuned to the specific problem at hand, leading to better overall performance. Table 1 shows the parameter settings of the proposed methods through the trial-and-error method for optimizing RIS phase shifts in IoT networks.
Table 1.
Parameter setting of proposed methods through the trial-and-error method.
The results of the parameter settings in Table 1 show that the proposed 6DChOA-DRL algorithm uses six hidden layers, 36 neurons per layer, and a batch size of 128. The activation function is Tanh, and the optimizer is the 6DChOA, which fine-tunes the hyper-parameters dynamically. For the 6DChOA, the population size is set to 80, with 300 iterations, and parameters like and are carefully adjusted to optimize the search process. In contrast, the DNN utilizes the Tanh and sigmoid activation functions and a learning rate of 0.08. Analyzing the other methods, it is clear that each algorithm has been tuned to suit its architecture. For example, the CNN has a kernel size of 3 × 3 and max pooling layers, which are essential for feature extraction in image-like data. The diversity of these parameter settings across algorithms highlights the importance of careful tuning to meet the demands of specific tasks, ensuring better overall performance and faster convergence.
4.2. Simulation Results and Analysis
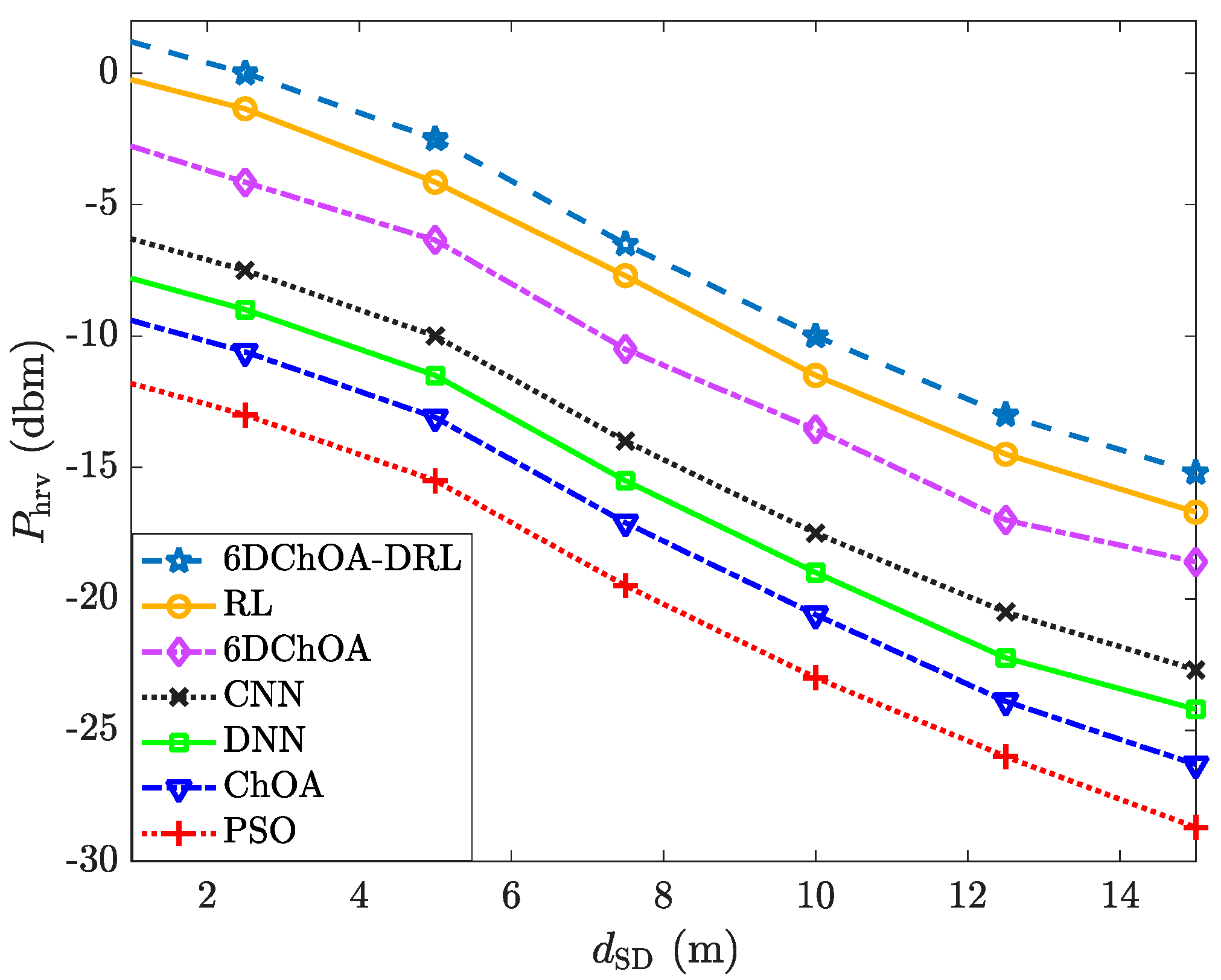
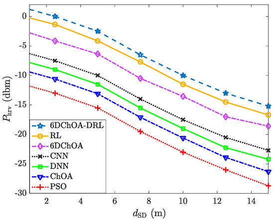
Figure 7 illustrates the harvested power by the IoT device as a function of the distance between the source and the device, comparing various RIS phase-shift optimization methods when. Notably, 6DChOA-DRL consistently outperforms all other approaches, indicating its superior ability to optimize the RIS phase shifts to maximize energy harvesting. As the distance increases, the harvested power decreases across all methods, which is expected due to increased path loss and signal attenuation over larger distances. However, the rate of decline differs across approaches, offering key insights. The DRL-based method with the 6DChOA optimizer maintains the highest power even at larger distances, suggesting that the dynamic learning capability of reinforcement learning combined with the 6DChOA’s optimization strengths effectively compensates for signal degradation, highlighting the importance of using advanced optimization techniques that can dynamically adapt to varying wireless conditions, especially in scenarios where the RIS plays a critical role in extending coverage and improving energy efficiency in IoT networks.
Figure 7.
The harvested power by the IoT device versus the distance between the source and the device for different RIS phase-shift optimization approaches ().
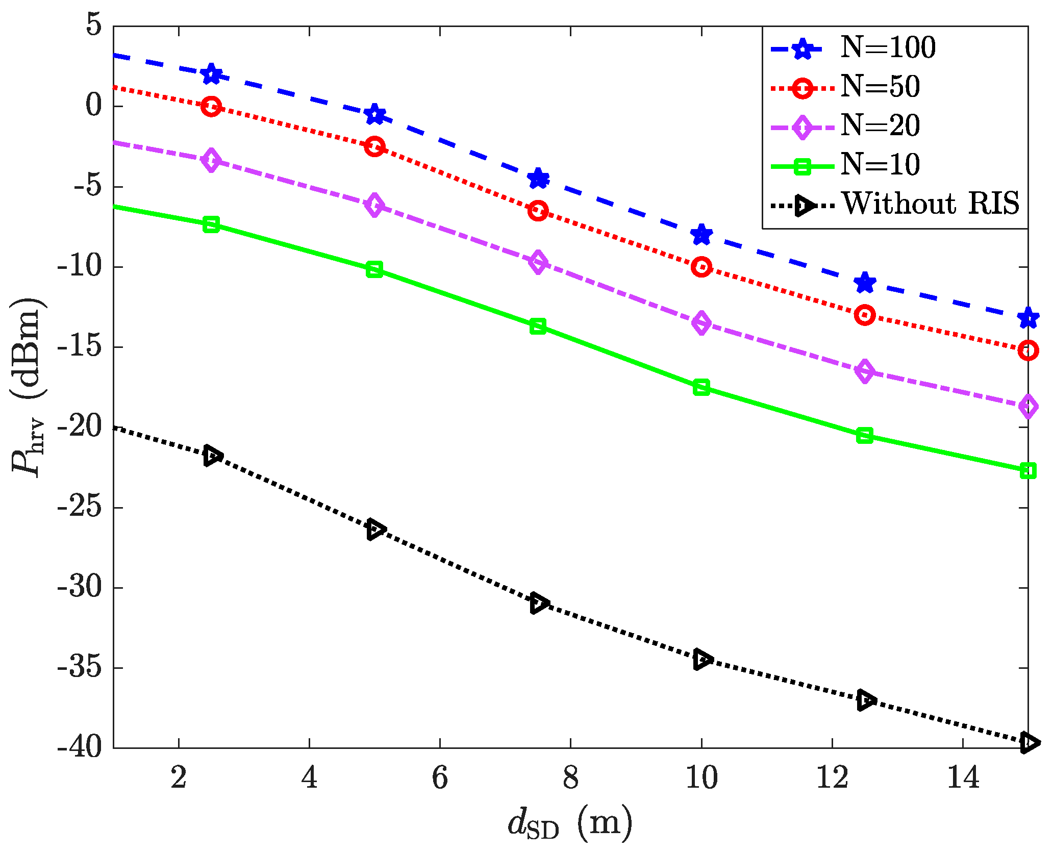
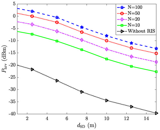
Figure 8 demonstrates the harvested power by the IoT device as a function of the distance between the source and the device, comparing different numbers of RIS elements () using the 6DChOA-DRL approach, along with a scenario without an RIS for reference. A key observation is that as the number of RIS elements increases, the harvested power consistently improves, with providing the highest harvested power by the IoT device. This shows the clear advantage of using more RIS elements to enhance the energy harvesting efficiency, especially over longer distances. The distance between the source and the device causes the harvested power to decline in all cases due to increasing path loss. However, the presence of an RIS mitigates this drop more effectively as compared to the scenario without an RIS, where the harvested power plummets much more dramatically. This demonstrates how crucial the RIS is for extending the energy harvesting coverage area for IoT devices. Without an RIS, the harvested energy falls steeply as the distance increases, reaching values as low as at a distance of 15 m. In contrast, with an RIS, even at the largest distance of 15 m, the harvested power remains significantly higher, showcasing the ability of the RIS to maintain feasible energy harvesting levels over a larger area.
Figure 8.
The harvested power by the IoT device versus the distance between the source and the device for different numbers of RIS elements (6DChOA-DRL approach).
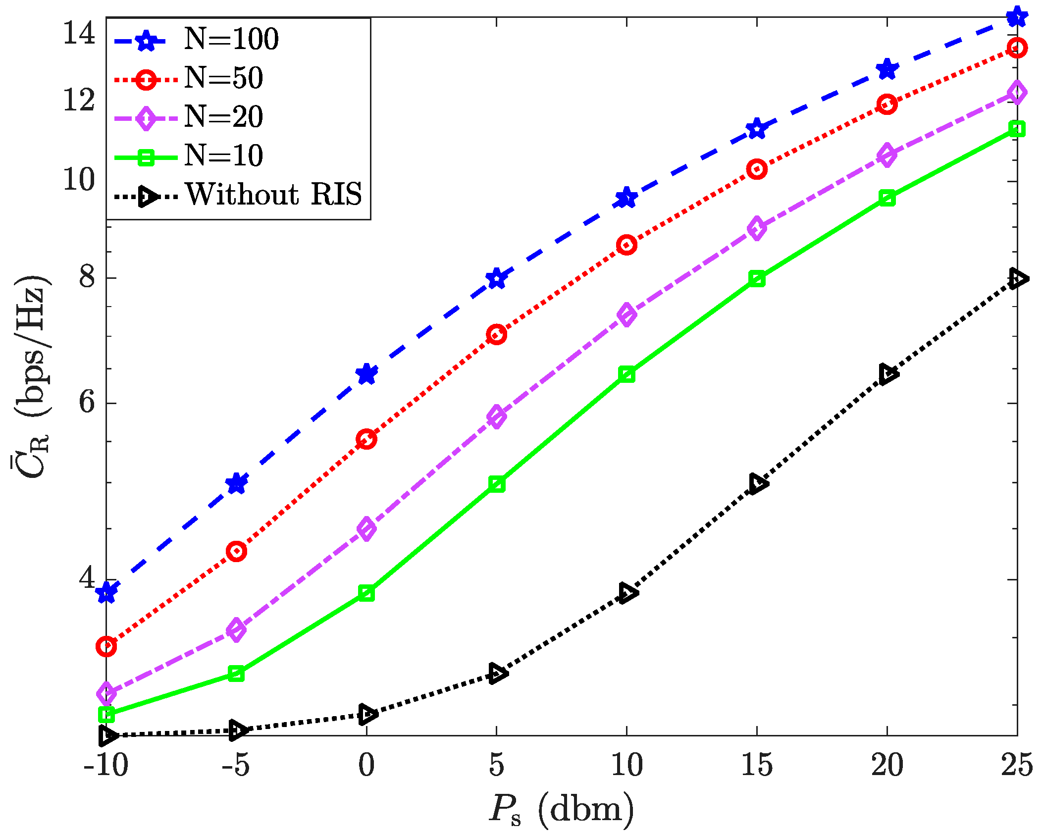
Figure 9 shows the achieved rate by the IoT receiver as a function of the source power for different numbers of RIS elements using the 6DChOA-DRL-based optimization approach alongside the scenario without an RIS for comparison. As expected, the achievable rate increases with increasing source power for all configurations. However, the inclusion of an RIS significantly boosts the achieved rate compared to the scenario without an RIS, particularly as the source power rises. The impact of adding more RIS elements is also evident: the higher the number of RIS elements, the higher the achieved rate. Specifically, with , the rate reaches approximately at , which is the highest among all scenarios. Without an RIS, the achieved rate is significantly lower, especially at lower source power levels, where it remains below at . Thus, as the source power increases, the gap between the achieved rate with an RIS and without an RIS widens, demonstrating the effectiveness of the RIS in enhancing the data rate in IoT systems. The performance gain becomes more pronounced as the number of RIS elements increases, reinforcing the importance of the RIS in leveraging reflection properties to maximize system throughput. Moreover, without an RIS, the rate improvement as the source power increases is more gradual, indicating that traditional systems without an RIS struggle to efficiently utilize increasing power, unlike systems enhanced with an RIS, which show more dramatic improvements in the data rate with increased power.
Figure 9.
The achieved rate by the IoT receiver versus the source power for different numbers of RIS elements by using the 6DChOA-DRL-based optimization approach.
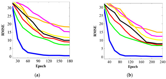
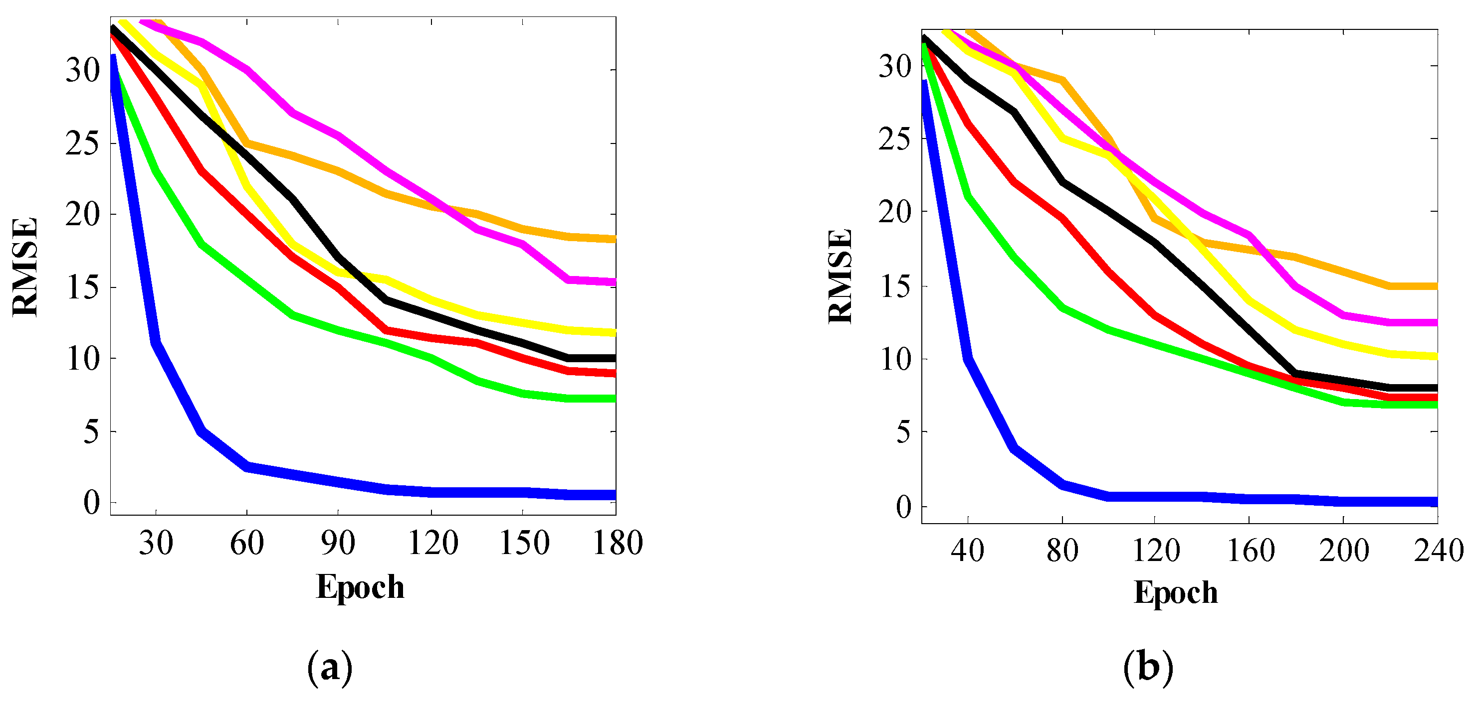
The convergence curves shown in Figure 10 illustrate the performance of various algorithms across different epochs (180, 240, and 300). In all three subfigures (a, b, and c), the 6DChOA-DRL algorithm consistently exhibits the fastest convergence, reaching the lowest RMSE values compared to the other methods. At epoch 180, the 6DChOA-DRL algorithm achieves an RMSE of nearly 5, significantly outperforming other methods like PSO, the ChOA, and a DNN, which still show high error rates above 15 at the same point. As the number of epochs increases, other methods gradually reduce their RMSE, but 6DChOA-DRL maintains a clear advantage, stabilizing at an RMSE close to zero by epoch 240, while other methods (such as RL and CNN) continue to show higher error levels. The key reason behind the superior performance of 6DChOA-DRL lies in the combination of RL, a DNN, and the 6DChOA. By efficiently navigating the solution space and quickly identifying optimal RIS phase shifts, 6DChOA-DRL demonstrates remarkable robustness and efficiency, especially as the number of epochs increases. This combination allows for more accurate learning and faster adaptation, giving 6DChOA-DRL a significant edge in achieving lower RMSE values with fewer iterations.

Figure 10.
The convergence curve of methods in (a) epoch = 180; (b) epoch = 240; and (c) epoch = 300.
5. Discussion
In this section, we analyze the results obtained from our proposed 6DChOA-DRL-based optimization framework and interpret them in the context of existing studies and methodologies. The findings are evaluated against state-of-the-art approaches, including RL, a CNN, and PSO, to highlight the advancements introduced by our work in enhancing energy harvesting and communication efficiency in RIS-assisted IoT networks. The discussion focuses on how the proposed framework effectively addresses the dual objectives of maximizing the harvested power and maintaining a high QoS, as hypothesized, while achieving significant performance gains. By systematically comparing our results with previous studies, we provide a comprehensive understanding of the contributions and limitations of the proposed method, establishing its relevance and superiority in the field.
Table 2 shows the performance comparison of various methods for optimizing RIS phase shifts in IoT networks. The results clearly demonstrate the superior performance of the proposed 6DChOA-DRL compared to other benchmark methods. The RMSE of 6DChOA-DRL is significantly lower at 0.13, compared to higher values such as 3.34 for RL and 6.91 for the CNN, indicating a much more precise optimization of RIS phase shifts. Additionally, the MAPE of 1.24% further supports the accuracy of the 6DChOA-DRL algorithm, suggesting that the prediction error is minimal compared to methods like the 6DChOA (7.96%) and ChOA (14.60%). These metrics confirm that the hyper-parameter optimization provided by the 6DChOA leads to better convergence and lower prediction errors in complex environments, ensuring the RIS configuration is highly effective in enhancing signal strength and data transmission rates. Furthermore, the SD of 0.27 for 6DChOA-DRL reflects the stability and consistency of the algorithm, with much less variability compared to other approaches like the DNN (11.43) or PSO (20.07). Additionally, the mean time required for 6DChOA-DRL to complete the optimization task is also competitive at 486 s, outperforming more computationally expensive methods like the ChOA and PSO. This efficiency, combined with high accuracy and stability, showcases the strength of 6DChOA-DRL in delivering optimal RIS configurations.
Table 2.
Performance comparison of proposed methods for RIS phase-shift optimization.
Table 3 shows the comparison of the run time of various algorithms according to different RMSE termination conditions for optimizing RIS phase shifts. The results highlight the significant efficiency of the proposed 6DChOA-DRL in terms of the run time under various RMSE termination conditions. As shown, 6DChOA-DRL consistently outperforms all other methods, reaching an RMSE of <15.00 in just 59 s, while other methods, such as RL and PSO, take 156 and 529 s, respectively. The same trend continues for more stringent conditions, with 6DChOA-DRL achieving an RMSE < 10.00 in 148 s and an RMSE < 5.00 in 209 s, compared to 221 s and 406 s for RL, with no other methods reaching these thresholds. This indicates that the 6DChOA-DRL algorithm converges faster and more efficiently, particularly when accuracy is critical. The fact that 6DChOA-DRL reaches an RMSE < 2.50 in 318 s, while no other algorithms achieve this level, showcases the superior convergence capability of the proposed method. This rapid convergence directly relates to the effective hyper-parameter tuning provided by the 6DChOA, which fine-tunes the DRL to optimize RIS phase shifts efficiently.
Table 3.
Comparison of algorithm run time based on RMSE termination conditions.
The proposed 6DChOA-DRL framework demonstrates significant improvements in energy harvesting and communication performance for RIS-assisted IoT networks. However, its implementation is not without challenges. One key implication is the increased computational complexity introduced by the 6DChOA, which, while effective in optimizing the RIS phase shifts and hyper-parameters, demands higher processing power and longer convergence times compared to traditional approaches. This complexity may pose limitations in real-time or resource-constrained IoT environments, requiring efficient resource management strategies. Additionally, the resolution of system parameters, including the fine-tuning of RIS elements and phase-shift configurations, is critical to achieving optimal performance but introduces further challenges in balancing accuracy and computational efficiency. Another significant challenge lies in obtaining accurate CSI, especially in dynamic IoT environments with varying interference and fading conditions. CSI estimation errors can degrade the system’s overall performance, emphasizing the need for robust CSI acquisition and management techniques. These challenges highlight the trade-offs involved in implementing advanced optimization frameworks like 6DChOA-DRL, which must be carefully managed to fully leverage their potential in practical IoT deployments.
While the proposed DRL framework has demonstrated substantial advancements in optimizing the energy harvesting and communication performance for RIS-assisted IoT networks, several avenues for future research remain open. One critical direction involves developing algorithms with improved accuracy and reduced computational complexity to address the challenges posed by real-time applications and resource-constrained IoT environments. For instance, lightweight hybrid optimization frameworks that combine the exploration capabilities of metaheuristic methods with the rapid convergence of DL could offer significant improvements in scalability and efficiency. Another promising area is exploring the practical aspects of RIS-assisted networks, such as operating under unknown CSI in low-power IoT environments. Techniques for robust CSI acquisition and management, such as unsupervised learning or federated learning approaches, could help mitigate the challenges of unreliable or incomplete CSI, thereby enhancing system robustness. Furthermore, addressing RIS quantization errors and their impact on system performance is another critical research area. Methods that model and compensate for quantization imperfections in RIS hardware could improve energy efficiency and achievable rates while maintaining system reliability. Integrating advanced technologies, such as integrated sensing and communication (ISAC) and fluid antenna systems (FASs), into RIS-assisted IoT networks offers another exciting research avenue. ISAC could enable simultaneous sensing and communication, enhancing the functionality of IoT networks, while FASs, which dynamically adjust antenna configurations based on environmental conditions, could complement the RIS to further improve the signal quality and energy efficiency in IoT networks. Exploring the interplay between these technologies and RISs could yield groundbreaking solutions for future IoT applications, enabling more intelligent, efficient, and resilient networks.
6. Conclusions
This paper presents a novel optimization scheme based on a DRL framework combined with a six-dimensional ChOA, named 6DChOA, to optimize the phase shifts of RISs in a batteryless IoT network. The proposed 6DChOA-DRL framework aimed to overcome two major challenges prevalent in IoT networks, energy harvesting limitations and communication inefficiencies due to limited transmission power, by intelligently configuring RISs. Through rigorous simulations, we demonstrated the effectiveness of our approach under various experimental settings. The 6DChOA-DRL framework significantly improved the performance compared to conventional methods such as the CNN, PSO, DNN, and basic RL approaches. Specifically, our results show that the harvested power is maximized while ensuring an energy-efficient operation of IoT devices, particularly as the number of RIS elements increases. The ability of the RIS to dynamically adjust phase shifts allowed for continuous power optimization, even as distances between the source and IoT device increased. Moreover, the proposed method significantly enhanced the achievable data rate, reaching over 14 bps/Hz under certain configurations, while competing methods struggled to provide similar performance. The comparisons between different RIS element configurations demonstrated that an increase in the number of RIS elements results in improved energy harvesting and higher achievable data rates. More importantly, the gap in performance between RIS-assisted and non-RIS systems widened as the source power increased, proving that RISs are a key enabler for extending the coverage area and operational lifetime of batteryless IoT devices. This paper also highlighted the importance of optimizing the phase shifts of RIS elements to strike a balance between enhancing the energy harvesting capability and ensuring reliable communication performance. This balance becomes particularly challenging in scenarios where the reflected signals could potentially interfere with direct transmissions. By incorporating the 6DChOA optimization into the DRL framework, we were able to efficiently navigate the complex, non-convex optimization problem and achieve superior performance.
Author Contributions
Conceptualization, M.S. and A.E.O.; methodology, M.S. and M.K.; software, M.S. and A.E.O.; validation, M.S. and A.E.O.; formal analysis, M.S.; investigation, M.S., A.E.O. and M.K.; resources, A.E.O. and M.K.; data curation, M.S.; writing—original draft preparation, M.S., A.E.O. and M.K.; supervision, M.K.; project administration, M.K.; funding acquisition, M.K. All authors have read and agreed to the published version of the manuscript.
Funding
This research received no external funding.
Data Availability Statement
The raw data supporting the conclusions of this article will be made available by the authors on request.
Conflicts of Interest
The authors declare no conflicts of interest.
References
- Subashini, S.; Kamalam, G.K.; Vanitha, P. A Survey of IoT in Healthcare: Technologies, Applications, and Challenges. In Artificial Intelligence and Machine Learning; CRC Press: Boca Raton, FL, USA, 2024; pp. 136–144. [Google Scholar]
- Kaveh, M.; Mosavi, M.R.; Martín, D.; Aghapour, S. An efficient authentication protocol for smart grid communication based on on-chip-error-correcting physical unclonable function. Sustain. Energy Grids Netw. 2023, 36, 101228. [Google Scholar] [CrossRef]
- Qays, M.O.; Ahmad, I.; Abu-Siada, A.; Hossain, M.L.; Yasmin, F. Key communication technologies, applications, protocols and future guides for IoT-assisted smart grid systems: A review. Energy Rep. 2023, 9, 2440–2452. [Google Scholar] [CrossRef]
- Babayigit, B.; Abubaker, M. Industrial Internet of Things: A review of improvements over traditional SCADA systems for industrial automation. IEEE Syst. J. 2023, 18, 120–133. [Google Scholar] [CrossRef]
- Mu, X.; Antwi-Afari, M.F. The applications of Internet of Things (IoT) in industrial management: A science mapping review. Int. J. Prod. Res. 2024, 62, 1928–1952. [Google Scholar] [CrossRef]
- Spanoudakis, N.I.; Akasiadis, C.; Iatrakis, G.; Chalkiadakis, G. Engineering IoT-based open MAS for large-scale V2G/G2V. Systems 2023, 11, 157. [Google Scholar] [CrossRef]
- Bathre, M.; Das, P.K. Review on an Energy Efficient, Sustainable and Green Internet of Things. In Proceedings of the 2nd IEEE International Conference on Data, Engineering and Applications (IDEA), Bhopal, India, 28–29 February 2020; pp. 1–6. [Google Scholar]
- Muratkar, T.S.; Bhurane, A.; Kothari, A. Battery-less Internet of Things–A survey. Comput. Netw. 2020, 180, 107385. [Google Scholar] [CrossRef]
- Zhang, W.; Pan, C.; Liu, T.; Zhang, J.; Sookhak, M.; Xie, M. Intelligent Networking for Energy Harvesting Powered IoT Systems. ACM Trans. Sens. Netw. 2024, 20, 1–31. [Google Scholar] [CrossRef]
- Mishu, M.K.; Rokonuzzaman, M.; Pasupuleti, J.; Shakeri, M.; Rahman, K.S.; Hamid, F.A.; Tiong, S.K.; Amin, N. Prospective efficient ambient energy harvesting sources for iot-equipped sensor applications. Electronics 2020, 9, 1345. [Google Scholar] [CrossRef]
- Kaveh, M.; Rostami Ghadi, F.; Jäntti, R.; Yan, Z. Secrecy performance analysis of backscatter communications with side information. Sensors 2023, 23, 8358. [Google Scholar] [CrossRef]
- Jiang, T.; Zhang, Y.; Ma, W.; Peng, M.; Peng, Y.; Feng, M.; Liu, G. Backscatter communication meets practical battery-free Internet of Things: A survey and outlook. IEEE Commun. Surv. Tutor. 2023, 25, 2021–2051. [Google Scholar] [CrossRef]
- Yao, C.; Liu, Y.; Wei, X.; Wang, G.; Gao, F. Backscatter technologies and the future of internet of things: Challenges and opportunities. Intell. Converg. Netw. 2020, 1, 170–180. [Google Scholar] [CrossRef]
- Ghadi, F.R.; Kaveh, M.; Wong, K.K.; Zhang, Y. Performance Analysis of FAS-Aided Backscatter Communications. IEEE Wirel. Commun. Lett. 2024, 13, 2412–2416. [Google Scholar] [CrossRef]
- Vougioukas, G.; Dimitriou, A.; Bletsas, A.; Sahalos, J. Practical energy harvesting for batteryless ambient backscatter sensors. Electronics 2018, 7, 95. [Google Scholar] [CrossRef]
- Ghadi, F.R.; Martin-Vega, F.J.; López-Martínez, F.J. Capacity of backscatter communication under arbitrary fading dependence. IEEE Trans. Veh. Technol. 2022, 71, 5593–5598. [Google Scholar] [CrossRef]
- Garg, N.; Garg, R. Energy harvesting in IoT devices: A survey. In Proceedings of the 2017 IEEE International Conference on Intelligent Sustainable Systems (ICISS), Palladam, India, 7–8 December 2017; pp. 127–131. [Google Scholar]
- Sanislav, T.; Mois, G.D.; Zeadally, S.; Folea, S.C. Energy harvesting techniques for Internet of Things (IoT). IEEE Access 2021, 9, 39530–39549. [Google Scholar] [CrossRef]
- Elahi, H.; Munir, K.; Eugeni, M.; Atek, S.; Gaudenzi, P. Energy harvesting towards self-powered IoT devices. Energies 2020, 13, 5528. [Google Scholar] [CrossRef]
- Zeadally, S.; Shaikh, F.K.; Talpur, A.; Sheng, Q.Z. Design architectures for energy harvesting in the Internet of Things. Renew. Sustain. Energy Rev. 2020, 128, 109901. [Google Scholar] [CrossRef]
- Kamalinejad, P.; Mahapatra, C.; Sheng, Z.; Mirabbasi, S.; Leung, V.C.; Guan, Y.L. Wireless energy harvesting for the Internet of Things. IEEE Commun. Mag. 2015, 53, 102–108. [Google Scholar] [CrossRef]
- Ju, Q.; Li, H.; Zhang, Y. Power management for kinetic energy harvesting IoT. IEEE Sens. J. 2018, 18, 4336–4345. [Google Scholar] [CrossRef]
- Qamar, M.Z.; Khalid, Z.; Shahid, R.; Tsoi, W.C.; Mishra, Y.K.; Kyaw, A.K.K.; Saeed, M.A. Advancement in indoor energy harvesting through flexible perovskite photovoltaics for self-powered IoT applications. Nano Energy 2024, 129, 109994. [Google Scholar] [CrossRef]
- Soy, H. Coverage Analysis of LoRa and NB-IoT Technologies on LPWAN-Based Agricultural Vehicle Tracking Application. Sensors 2023, 23, 8859. [Google Scholar] [CrossRef] [PubMed]
- Wu, F.; Qiu, C.; Wu, T.; Yuce, M.R. Edge-based hybrid system implementation for long-range safety and healthcare IoT applications. IEEE Internet Things J. 2021, 8, 9970–9980. [Google Scholar] [CrossRef]
- Tekbıyık, K.; Kurt, G.K.; Yanikomeroglu, H. Energy-efficient RIS-assisted satellites for IoT networks. IEEE Internet Things J. 2021, 9, 14891–14899. [Google Scholar] [CrossRef]
- Kaveh, M.; Yan, Z.; Jantti, R. Secrecy Performance Analysis of RIS-Aided Smart Grid Communications. IEEE Trans. Ind. Inform. 2024, 20, 5415–5427. [Google Scholar] [CrossRef]
- Wu, J.; Kim, S.; Shim, B. Energy-efficient power control and beamforming for reconfigurable intelligent surface-aided uplink IoT networks. IEEE Trans. Wirel. Commun. 2022, 21, 10162–10176. [Google Scholar] [CrossRef]
- Ghadi, F.; Kaveh, M.; Martín, D. Performance Analysis of RIS/STAR-IOS-aided V2V NOMA/OMA Communications over Composite Fading Channels. IEEE Trans. Intell. Veh. 2024, 9, 279–286. [Google Scholar] [CrossRef]
- Chen, R.; Liu, M.; Hui, Y.; Cheng, N.; Li, J. Reconfigurable intelligent surfaces for 6G IoT wireless positioning: A contemporary survey. IEEE Internet Things J. 2022, 9, 23570–23582. [Google Scholar] [CrossRef]
- Mondal, A.; Al Junaedi, A.M.; Singh, K.; Biswas, S. Spectrum and energy-efficiency maximization in ris-aided iot networks. IEEE Access 2022, 10, 103538–103551. [Google Scholar] [CrossRef]
- Galappaththige, D.L.; Rezaei, F.; Tellambura, C.; Herath, S. RIS-empowered ambient backscatter communication systems. IEEE Wirel. Commun. Lett. 2022, 12, 173–177. [Google Scholar] [CrossRef]
- Long, R.; Liang, Y.C.; Guo, H.; Yang, G.; Zhang, R. Symbiotic radio: A new communication paradigm for passive Internet of Things. IEEE Internet Things J. 2020, 7, 1350–1363. [Google Scholar] [CrossRef]
- Ma, S.; Wang, G.; Fan, R.; Tellambura, C. Blind channel estimation for ambient backscatter communication systems. IEEE Commun. Lett. 2018, 22, 1296–1299. [Google Scholar] [CrossRef]
- Wu, Q.; Zhang, R. Intelligent reflecting surface enhanced wireless network via joint active and passive beamforming. IEEE Trans. Wirel. Commun. 2019, 18, 5394–5409. [Google Scholar] [CrossRef]
- Zhang, R.; Ho, C.K. MIMO broadcasting for simultaneous wireless information and power transfer. IEEE Trans. Wirel. Commun. 2013, 12, 1989–2001. [Google Scholar] [CrossRef]
- Ye, Y.; Shi, L.; Chu, X.; Lu, G.; Sun, S. Mutualistic cooperative ambient backscatter communications under hardware impairments. IEEE Trans. Commun. 2022, 70, 7656–7668. [Google Scholar] [CrossRef]
- Wang, D.; Rezaei, F.; Tellambura, C. Performance analysis and resource allocations for a WPCN with a new nonlinear energy harvester model. IEEE Open J. Commun. Soc. 2020, 1, 1403–1424. [Google Scholar] [CrossRef]
- Kay, S.M. Fundamentals of Statistical Signal Processing: Estimation Theory; Prentice-Hall: Englewood Cliffs, NJ, USA, 1993. [Google Scholar]
- Luo, F.M.; Xu, T.; Lai, H.; Chen, X.H.; Zhang, W.; Yu, Y. A survey on model-based reinforcement learning. Sci. China Inf. Sci. 2024, 67, 121101. [Google Scholar] [CrossRef]
- Shakya, A.K.; Pillai, G.; Chakrabarty, S. Reinforcement learning algorithms: A brief survey. Expert Syst. Appl. 2023, 231, 120495. [Google Scholar] [CrossRef]
- Khishe, M.; Mosavi, M.R. Chimp optimization algorithm. Expert Syst. Appl. 2020, 149, 113338. [Google Scholar] [CrossRef]
- Baniasadi, S.; Salehi, R.; Soltani, S.; Martín, D.; Pourmand, P.; Ghafourian, E. Optimizing long short-term memory network for air pollution prediction using a novel binary chimp optimization algorithm. Electronics 2023, 12, 3985. [Google Scholar] [CrossRef]
- Ladosz, P.; Weng, L.; Kim, M.; Oh, H. Exploration in deep reinforcement learning: A survey. Inf. Fusion 2022, 85, 1–22. [Google Scholar] [CrossRef]
Disclaimer/Publisher’s Note: The statements, opinions and data contained in all publications are solely those of the individual author(s) and contributor(s) and not of MDPI and/or the editor(s). MDPI and/or the editor(s) disclaim responsibility for any injury to people or property resulting from any ideas, methods, instructions or products referred to in the content. |
© 2024 by the authors. Licensee MDPI, Basel, Switzerland. This article is an open access article distributed under the terms and conditions of the Creative Commons Attribution (CC BY) license (https://creativecommons.org/licenses/by/4.0/).










