Data-Driven Analysis of Outdoor-to-Indoor Propagation for 5G Mid-Band Operational Networks
Abstract
1. Introduction
2. Background, Related Work, and Contributions
2.1. Channel Impulse Response, Power Delay Profile, and Propagation Parameters
2.2. Beamforming Strategies in 5G New Radio
2.3. Relevant Experimental Studies
2.4. Contributions and Innovation
- An extensive set of measurements collected in an indoor environment in the city of Rome, Italy is analyzed, covering two 5G networks under deployment by two network operators. A passive channel measurement approach was used. The standardized downlink reference signals of a commercial 5G network were collected and used for extracting the channel impulse responses. The channel propagation characterization was performed based on the actual configurations applied in a commercial 5G deployed network, including the carrier frequency, bandwidth, antenna, beam-based transmission, etc.
- Channel propagation characterization is presented for two different deployed networks, i.e., single Wide-beam and multiple SSB based 5G networks. Multipath components were extracted from measurements and used to carry out a comprehensive study of time and power-related channel parameters for different measurements locations and operators. The number of paths, interarrival times between paths, RMS delay spread, and mean excess delay are evaluated on the collected channel measurements in order to characterize time-related channel aspects. In contrast, MPC power attenuation, path loss, and Rician K-factor are studied in order to characterize power-related aspects.
- The channel parameters’ dependencies are also studied. A comprehensive correlation analysis between the aforementioned channel parameters is carried out in order to highlight and quantify the correlation between heterogeneous propagation parameters.
3. Experimental Setup and Dataset
3.1. Measurement System and Methodology
3.2. Measurement Campaigns
3.3. Collected Dataset
4. Statistical Analysis of Channel Propagation Characteristics
4.1. Time-Related Characteristics
4.1.1. Number of Paths and Interarrival Times
4.1.2. Mean Excess Delay
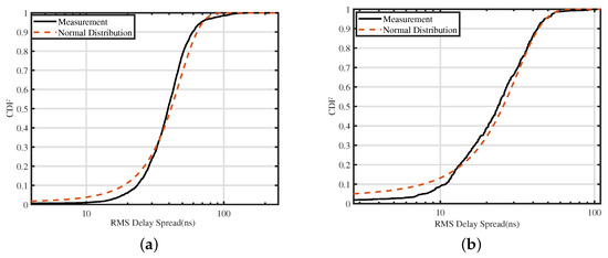
4.1.3. RMS Delay Spread
4.2. Power-Related Characteristics
4.2.1. Power Decay
4.2.2. Pathloss
4.2.3. Rician K-Factor
4.3. Correlation Analysis
Discussion
4.4. Discussion
- The 5G system operating with SSB-based transmission, the echoes arrived at the receiver with smaller mean excess delays but were relatively weaker. While in the 5G system operating with the wide beam-based transmission, echoes arrived at the receiver with large excess delays but were relatively much stronger.
- The RMS delay spread is lower for the 5G system, using a single wide beam, than the multiple SSBs-based transmission systems.
- The system with multiple SSB-based transmission, the measured PL is on average about 20 dB higher than the PL predicted by the 3GPP model. While in case of single wide-beam-based transmission, the PL estimation by 3GPP model is more accurate. A possible explanation for this difference is that the 3GPP model does not account for SSB-based transmission, leading to a PL estimate for single wide-beam-based transmission more accurate than for the SSB-based transmission.
- The 5G system employing a single wide beam gives a higher K-factor than the multiple SSBs-based transmission systems.
5. Conclusions
Author Contributions
Funding
Institutional Review Board Statement
Informed Consent Statement
Data Availability Statement
Conflicts of Interest
References
- 3GPP TR 21.915, Digital Cellular Telecommunications System (Phase 2+) (GSM); Universal Mobile Telecommunications System (UMTS); LTE; 5G, Version 15.0.0 Release 15 October 2019. Available online: https://www.etsi.org/deliver/etsi_tr/121900_121999/121915/15.00.00_60/tr_121915v150000p.pdf (accessed on 29 June 2022).
- 3GPP TR 21.916, Digital Cellular Telecommunications System (Phase 2+) (GSM); Universal Mobile Telecommunications System (UMTS); LTE; 5G, Version 16.0.1 Release 16 September 2021. Available online: https://www.etsi.org/deliver/etsi_tr/121900_121999/121916/16.00.01_60/tr_121916v160001p.pdf (accessed on 29 June 2022).
- Kim, H. Enhanced Mobile Broadband Communication Systems*. In Design and Optimization for 5G Wireless Communications; IEEE: Piscataway, NJ, USA, 2020; pp. 239–302. [Google Scholar] [CrossRef]
- Hou, Z.; She, C.; Li, Y.; Vucetic, B. Ultra-Reliable and Low-Latency Communications: Prediction and Communication Co-Design. In Proceedings of the ICC 2019—2019 IEEE International Conference on Communications (ICC), Shanghai, China, 21–23 May 2019; pp. 1–7. [Google Scholar] [CrossRef]
- Dutkiewicz, E.; Costa-Perez, X.; Kovacs, I.Z.; Mueck, M. Massive Machine-Type Communications. IEEE Netw. 2017, 31, 6–7. [Google Scholar] [CrossRef]
- Adegoke, E.I.; Kampert, E.; Higgins, M.D. Channel Modeling and Over-the-Air Signal Quality at 3.5 GHz for 5G New Radio. IEEE Access 2021, 9, 11183–11193. [Google Scholar] [CrossRef]
- Cero, E.; Baraković Husić, J.; Baraković, S. IoT’s tiny steps towards 5G: Telco’s perspective. Symmetry 2017, 9, 213. [Google Scholar] [CrossRef]
- Chiu, W.; Su, C.; Fan, C.Y.; Chen, C.M.; Yeh, K.H. Authentication with what you see and remember in the internet of things. Symmetry 2018, 10, 537. [Google Scholar] [CrossRef]
- Li, S.D.; Liu, Y.J.; Lin, L.K.; Sheng, Z.; Sun, X.C.; Chen, Z.P.; Zhang, X.J. Channel measurements and modeling at 6 GHz in the tunnel environments for 5G wireless systems. Int. J. Antennas Propag. 2017, 2017, 1513038. [Google Scholar] [CrossRef]
- Al-Saman, A.; Mohamed, M.; Cheffena, M. Radio propagation measurements in the indoor stairwell environment at 3.5 and 28 GHz for 5G wireless networks. Int. J. Antennas Propag. 2020, 2020, 6634050. [Google Scholar] [CrossRef]
- Huang, F.; Tian, L.; Zheng, Y.; Zhang, J. Propagation characteristics of indoor radio channel from 3.5 GHz to 28 GHz. In Proceedings of the 2016 IEEE 84th Vehicular Technology Conference (VTC-Fall), Montreal, QC, Canada, 18–21 September 2016; pp. 1–5. [Google Scholar]
- Adegoke, E.I.; Edwards, R.; Whittow, W.G.; Bindel, A. Characterizing the indoor industrial channel at 3.5 GHz for 5G. In Proceedings of the 2019 Wireless Days (WD), Manchester, UK, 24–26 April 2019; pp. 1–4. [Google Scholar]
- Kaya, A.O.; Calin, D.; Viswanathan, H. 28 GHz and 3.5 GHz wireless channels: Fading, delay and angular dispersion. In Proceedings of the 2016 IEEE Global Communications Conference (GLOBECOM), Washington, DC, USA, 4–8 December 2016; pp. 1–7. [Google Scholar]
- Halvarsson, B.; Simonsson, A.; Elgcrona, A.; Chana, R.; Machado, P.; Asplund, H. 5G NR testbed 3.5 GHz coverage results. In Proceedings of the 2018 IEEE 87th Vehicular Technology Conference (VTC Spring), Porto, Portugal, 3–6 June 2018; pp. 1–5. [Google Scholar]
- He, D.; Ai, B.; Guan, K.; Wang, L.; Zhong, Z.; Kürner, T. The design and applications of high-performance ray-tracing simulation platform for 5G and beyond wireless communications: A tutorial. IEEE Commun. Surv. Tutor. 2018, 21, 10–27. [Google Scholar] [CrossRef]
- Tataria, H.; Haneda, K.; Molisch, A.F.; Shafi, M.; Tufvesson, F. Standardization of propagation models for terrestrial cellular systems: A historical perspective. Int. J. Wirel. Inf. Netw. 2021, 28, 20–44. [Google Scholar] [CrossRef]
- Pimienta-del Valle, D.; Mendo, L.; Riera, J.M.; Garcia-del Pino, P. Indoor LOS Propagation Measurements and Modeling at 26, 32, and 39 GHz Millimeter-Wave Frequency Bands. Electronics 2020, 9, 1867. [Google Scholar] [CrossRef]
- Siriwardhana, Y.; Gür, G.; Ylianttila, M.; Liyanage, M. The role of 5G for digital healthcare against COVID-19 pandemic: Opportunities and challenges. ICT Express 2020, 7, 244–252. [Google Scholar] [CrossRef]
- El Boudani, B.; Kanaris, L.; Kokkinis, A.; Kyriacou, M.; Chrysoulas, C.; Stavrou, S.; Dagiuklas, T. Implementing deep learning techniques in 5G IoT networks for 3D indoor positioning: DELTA (DeEp Learning-Based Co-operaTive Architecture). Sensors 2020, 20, 5495. [Google Scholar] [CrossRef]
- Attaran, M. The impact of 5G on the evolution of intelligent automation and industry digitization. J. Ambient. Intell. Humaniz. Comput. 2021, 1–17. Available online: https://link.springer.com/article/10.1007/s12652-020-02521-x#citeas (accessed on 29 June 2022).
- Karrenbauer, M.; Ludwig, S.; Buhr, H.; Klessig, H.; Bernardy, A.; Wu, H.; Pallasch, C.; Fellan, A.; Hoffmann, N.; Seelmann, V.; et al. Future industrial networking: From use cases to wireless technologies to a flexible system architecture. at-Automatisierungstechnik 2019, 67, 526–544. [Google Scholar] [CrossRef]
- Zhong, Z.; Zhao, J.; Li, C. Outdoor-to-Indoor channel measurement and coverage analysis for 5G Typical Spectrums. Int. J. Antennas Propag. 2019, 2019, 3981678. [Google Scholar] [CrossRef]
- Li, C.; Zhao, Z.; Tian, L.; Zhang, J.; Zheng, Z.; Kang, J.; Guan, H.; Zheng, Y.; Sun, H. Height gain modeling of outdoor-to-indoor path loss in metropolitan small cell based on measurements at 3.5 GHz. In Proceedings of the 2014 International Symposium on Wireless Personal Multimedia Communications (WPMC), Sydney, Australia, 7–10 September 2014; pp. 552–556. [Google Scholar]
- Lostanlen, Y.; Farhat, H.; Tenoux, T.; Carcelen, A.; Grunfelder, G.; El Zein, G. Wideband outdoor-to-indoor MIMO channel measurements at 3.5 GHz. In Proceedings of the 2009 3rd European Conference on Antennas and Propagation, Berlin, Germany, 23–27 March 2009; pp. 3606–3610. [Google Scholar]
- Debaenst, W.; Feys, A.; Cuiñas, I.; Garcia Sanchez, M.; Verhaevert, J. RMS delay spread vs. coherence bandwidth from 5G indoor radio channel measurements at 3.5 GHz band. Sensors 2020, 20, 750. [Google Scholar] [CrossRef] [PubMed]
- Zeng, J.; Zhang, J. Propagation characteristics in indoor office scenario at 3.5 GHz. In Proceedings of the 2013 8th International Conference on Communications and Networking in China (CHINACOM), Guilin, China, 14–16 August 2013; pp. 332–336. [Google Scholar]
- Adegoke, E.I.; Kampert, E.; Higgins, M.D. Empirical indoor path loss models at 3.5 GHz for 5G communications network planning. In Proceedings of the 2020 International Conference on UK-China Emerging Technologies (UCET), Glasgow, UK, 20–21 August 2020; pp. 1–4. [Google Scholar]
- He, R.; Yang, M.; Xiong, L.; Dong, H.; Guan, K.; He, D.; Zhang, B.; Fei, D.; Ai, B.; Zhong, Z.; et al. Channel measurements and modeling for 5G communication systems at 3.5 GHz band. In Proceedings of the 2016 URSI Asia-Pacific Radio Science Conference (URSI AP-RASC), Seoul, Korea, 21–25 August 2016; pp. 1855–1858. [Google Scholar]
- Lai, Z.; Bessis, N.; de la Roche, G.; Kuonen, P.; Zhang, J.; Clapworthy, G. The characterisation of human body influence on indoor 3.5 GHz path loss measurement. In Proceedings of the 2010 IEEE Wireless Communication and Networking Conference Workshops, Sydney, Australia, 18 April 2010; pp. 1–6. [Google Scholar]
- Jiang, T.; Zhang, J.; Shafi, M.; Tian, L.; Tang, P. The comparative study of sv model between 3.5 and 28 GHz in indoor and outdoor scenarios. IEEE Trans. Veh. Technol. 2019, 69, 2351–2364. [Google Scholar] [CrossRef]
- Al-Samman, A.M.; Al-Hadhrami, T.; Daho, A.; Hindia, M.; Azmi, M.H.; Dimyati, K.; Alazab, M. Comparative study of indoor propagation model below and above 6 GHz for 5G wireless networks. Electronics 2019, 8, 44. [Google Scholar] [CrossRef]
- Saleh, A.A.; Valenzuela, R. A statistical model for indoor multipath propagation. IEEE J. Sel. Areas Commun. 1987, 5, 128–137. [Google Scholar] [CrossRef]
- Paier, A.; Karedal, J.; Czink, N.; Hofstetter, H.; Dumard, C.; Zemen, T.; Tufvesson, F.; Molisch, A.F.; Mecklenbrauker, C.F. Car-to-car radio channel measurements at 5 GHz: Pathloss, power-delay profile, and delay-Doppler spectrum. In Proceedings of the 2007 4th International Symposium on Wireless Communication Systems, Trondheim, Norway, 17–19 October 2007; pp. 224–228. [Google Scholar]
- Doukas, A.; Kalivas, G. Rician K factor estimation for wireless communication systems. In Proceedings of the 2006 International Conference on Wireless and Mobile Communications (ICWMC’06), Bucharest, Romania, 29–31 July 2006; p. 69. [Google Scholar]
- Cui, Z.; Briso-Rodríguez, C.; Guan, K.; Zhong, Z. Ultra-Wideband Air-to-Ground Channel Measurements and Modeling in Hilly Environment. In Proceedings of the ICC 2020—2020 IEEE International Conference on Communications (ICC), Dublin, Ireland, 7–11 June 2020; pp. 1–6. [Google Scholar] [CrossRef]
- Aerts, S.; Verloock, L.; Van den Bossche, M.; Colombi, D.; Martens, L.; Törnevik, C.; Joseph, W. In-situ measurement methodology for the assessment of 5G NR massive MIMO base station exposure at sub-6 GHz frequencies. IEEE Access 2019, 7, 184658–184667. [Google Scholar] [CrossRef]
- Jo, Y.; Lim, J.; Hong, D. Mobility Management Based on Beam-Level Measurement Report in 5G Massive MIMO Cellular Networks. Electronics 2020, 9, 865. [Google Scholar] [CrossRef]
- Lostanlen, Y.; Tenoux, T.; Farhat, H.; El Zein, G. Analysis of measured Outdoor-to-Indoor MIMO channel matrix at 3.5 GHz. In Proceedings of the 2010 IEEE Antennas and Propagation Society International Symposium, Toronto, ON, Canada, 11–17 July 2010; pp. 1–4. [Google Scholar]
- Du, D.; Zhang, J.; Pan, C.; Zhang, C. Cluster characteristics of wideband 3D MIMO channels in outdoor-to-indoor scenario at 3.5 GHz. In Proceedings of the 2014 IEEE 79th Vehicular Technology Conference (VTC Spring), Seoul, Korea, 18–21 May 2014; pp. 1–6. [Google Scholar]
- Diakhate, C.A.; Conrat, J.M.; Cousin, J.C.; Sibille, A. Millimeter-wave outdoor-to-indoor channel measurements at 3, 10, 17 and 60 GHz. In Proceedings of the 2017 11th European Conference on Antennas and Propagation (EUCAP), Paris, France, 19–24 March 2017; pp. 1798–1802. [Google Scholar]
- Yu, Y.; Zhang, J.; Shafi, M.; Zhang, M.; Mirza, J. Statistical characteristics of measured 3-dimensional MIMO channel for outdoor-to-indoor scenario in China and New Zealand. Chin. J. Eng. 2016, 2016, 1317489. [Google Scholar] [CrossRef]
- Castro, G.; Feick, R.; Rodríguez, M.; Valenzuela, R.; Chizhik, D. Outdoor-to-indoor empirical path loss models: Analysis for pico and femto cells in street canyons. IEEE Wirel. Commun. Lett. 2017, 6, 542–545. [Google Scholar] [CrossRef]
- Allen, B.; Mahato, S.; Gao, Y.; Salous, S. Indoor-to-outdoor empirical path loss modelling for femtocell networks at 0.9, 2, 2.5 and 3.5 GHz using singular value decomposition. IET Microwaves Antennas Propag. 2017, 11, 1203–1211. [Google Scholar] [CrossRef]
- Pérez, J.R.; Torres, R.P.; Rubio, L.; Basterrechea, J.; Domingo, M.; Peñarrocha, V.M.R.; Reig, J. Empirical characterization of the indoor radio channel for array antenna systems in the 3 to 4 GHz frequency band. IEEE Access 2019, 7, 94725–94736. [Google Scholar] [CrossRef]
- Salous, S.; Lee, J.; Kim, M.; Sasaki, M.; Yamada, W.; Raimundo, X.; Cheema, A.A. Radio propagation measurements and modeling for standardization of the site general path loss model in International Telecommunications Union recommendations for 5G wireless networks. Radio Sci. 2020, 55, 1–12. [Google Scholar] [CrossRef]
- Rohde&Schwarz. R&S®TSMx Drive and Walk Test Scanner. Available online: https://www.rohde-schwarz.com/products/test-and-measurement/network-data-collection/rs-tsmx-drive-and-walk-test-scanner_63493-526400.html (accessed on 29 June 2022).
- Rohde&Schwarz. R&S®TSMA6 Autonomous Mobile Network Scanner User Manual. Available online: https://scdn.rohde-schwarz.com/ur/pws/dl_downloads/pdm/cl_manuals/user_manual/4900_8057_01/TSMA6_UserManual_en_09.pdf (accessed on 29 June 2022).
- Rohde&Schwarz. EMF Measurements in 5G NR—White Paper. Available online: https://www.rohde-schwarz.com/us/solutions/test-and-measurement/mobile-network-testing/5g-network-testing/white-paper-emf-measurements-in-5g-networks-register_253232.html (accessed on 29 June 2022).
- Wali, S.Q.; Sali, A.; Allami, J.K.; Osman, A.F. RF-EMF Exposure Measurement for 5G Over Mm-Wave Base Station with MIMO Antenna. IEEE Access 2022, 10, 9048–9058. [Google Scholar] [CrossRef]
- Urama, J.; Wiren, R.; Galinina, O.; Kauppi, J.; Hiltunen, K.; Erkkila, J.; Chernogorov, F.; Etelaaho, P.; Heikkila, M.; Torsner, J.; et al. UAV-aided interference assessment for private 5G NR deployments: Challenges and solutions. IEEE Commun. Mag. 2020, 58, 89–95. [Google Scholar] [CrossRef]
- Hausl, C.; Emmert, J.; Mielke, M.; Mehlhorn, B.; Rowell, C. Mobile Network Testing of 5G NR FR1 and FR2 Networks: Challenges and Solutions. In Proceedings of the 2022 16th European Conference on Antennas and Propagation (EuCAP), Madrid, Spain, 27 March–1 April 2022; pp. 1–5. [Google Scholar]
- Chiaraviglio, L.; Lodovisi, C.; Franci, D.; Grillo, E.; Pavoncello, S.; Aureli, T.; Blefari-Melazzi, N.; Alouini, M.S. What is the Impact of 5G Towers on the Exposure over Children, Teenagers and Sensitive Buildings? arXiv 2022, arXiv:2201.06944. [Google Scholar]
- Kousias, K.; Rajiullah, M.; Caso, G.; Alay, O.; Brunstrom, A.; De Nardis, L.; Neri, M.; ALi, U.; Di Benedetto, M.G. Implications of Handover Events in commercial 5G Non-Standalone Deployments in Rome. In Proceedings of the 5G and Beyond Network Measurements, Modeling, and Use Cases (5G-MEMU) Workshop, ACM SIGCOMM, Amsterdam, The Netherlands, 22 August 2022. [Google Scholar]
- Semkin, V.; Karttunen, A.; Järveläinen, J.; Andreev, S.; Koucheryavy, Y. Static and dynamic millimeter-wave channel measurements at 60 GHz in a conference room. In Proceedings of the 12th European Conference on Antennas and Propagation (EuCAP 2018), London, UK, 9–13 April 2018; pp. 1–5. [Google Scholar] [CrossRef][Green Version]
- Rohde&Schwarz. R&S®Romes4 Drive Test Software. Available online: https://www.rohde-schwarz.com/products/test-and-measurement/network-data-collection/rs-romes4-drive-test-software_63493-8650.html (accessed on 29 June 2022).
- Ali, U.; Caso, G.; De Nardis, L.; Kousias, K.; Rajiullah, M.; Alay, Ö.; Neri, M.; Brunstrom, A.; Di Benedetto, M.G. Large-Scale Dataset for the Analysis of Outdoor-to-Indoor Propagation for 5G Mid-Band Operational Networks. Data 2022, 7, 34. [Google Scholar] [CrossRef]
- Molisch, A.F.; Foerster, J.R.; Pendergrass, M. Channel models for ultrawideband personal area networks. IEEE Wirel. Commun. 2003, 10, 14–21. [Google Scholar] [CrossRef]
- Bajwa, W.U.; Haupt, J.; Raz, G.; Nowak, R. Compressed channel sensing. In Proceedings of the 2008 42nd Annual Conference on Information Sciences and Systems, Princeton, NJ, USA, 19–21 March 2008; pp. 5–10. [Google Scholar]
- Meijerink, A.; Molisch, A.F. On the physical interpretation of the Saleh–Valenzuela model and the definition of its power delay profiles. IEEE Trans. Antennas Propag. 2014, 62, 4780–4793. [Google Scholar] [CrossRef]
- García Sánchez, M.; Santomé Valverde, A.; Expósito, I. Radio Channel Scattering in a 28 GHz Small Cell at a Bus Stop: Characterization and Modelling. Electronics 2020, 9, 1556. [Google Scholar] [CrossRef]
- Khawaja, W.; Ozdemir, O.; Erden, F.; Guvenc, I.; Matolak, D.W. Ultra-wideband air-to-ground propagation channel characterization in an open area. IEEE Trans. Aerosp. Electron. Syst. 2020, 56, 4533–4555. [Google Scholar] [CrossRef] [PubMed]
- Ai, Y.; Cheffena, M.; Li, Q. Power delay profile analysis and modeling of industrial indoor channels. In Proceedings of the 2015 9th European Conference on Antennas and Propagation (EuCAP), Lisbon, Portugal, 13–17 April 2015; pp. 1–5. [Google Scholar]
- Fan, W.; Carton, I.; Nielsen, J.Ø.; Olesen, K.; Pedersen, G.F. Measured wideband characteristics of indoor channels at centimetric and millimetric bands. EURASIP J. Wirel. Commun. Netw. 2016, 2016, 58. [Google Scholar] [CrossRef]
- Mathworks. Matlab Curve Fitting Toolbox. Version 3.5.12 (R2020b). 2020. Available online: https://www.mathworks.com/products/curvefitting.html (accessed on 29 June 2022).
- Yeo, B.G.; Lee, B.; Kim, K.S. Channel measurement and characteristics analysis on 3.5 GHz outdoor environment. In Proceedings of the 2016 1st International Conference on Green Computing and Engineering Technologies (GREEN), Esbjerg, Denmark, 18–20 August 2016; pp. 11–14. [Google Scholar]
- Hong, C.L.; Wassell, I.J.; Athanasiadou, G.E.; Greaves, S.; Sellars, M. Wideband tapped delay line channel model at 3.5 GHz for broadband fixed wireless access system as function of subscriber antenna height in suburban environment. In Proceedings of the Fourth International Conference on Information, Communications and Signal Processing, 2003 and the Fourth Pacific Rim Conference on Multimedia, Proceedings of the 2003 Joint, Singapore, 15–18 December 2003; Volume 1, pp. 386–390. [Google Scholar]
- IBM. IBM SPSS Software. Available online: https://www.ibm.com/analytics/spss-statistics-software (accessed on 29 June 2022).















| Ref. | Propagation Scenario | Characterized Channel Propagation Parameters | ||||
|---|---|---|---|---|---|---|
| RMS Delay Spread | Mean Excess Delay | Pathloss | K-Factor | Correlation of Parameters | ||
| [24] | outdoor-to-indoor | |||||
| [38] | outdoor-to-indoor | |||||
| [39] | outdoor-to-indoor | ✓ | ||||
| [22] | outdoor-to-indoor | ✓ | ||||
| [23] | outdoor-to-indoor | ✓ | ||||
| [40] | outdoor-to-indoor | ✓ | ✓ | |||
| [41] | outdoor-to-indoor | ✓ | ||||
| [42] | outdoor-to-indoor | ✓ | ||||
| [6] | indoor-to-indoor | ✓ | ✓ | |||
| [10] | indoor-to-indoor | ✓ | ✓ | |||
| [11] | indoor-to-indoor | ✓ | ||||
| [12] | indoor-to-indoor | ✓ | ||||
| [13] | indoor-to-indoor | ✓ | ✓ | ✓ | ||
| [25] | indoor-to-indoor | ✓ | ||||
| [26] | indoor-to-indoor | ✓ | ✓ | ✓ | ||
| [27] | indoor-to-indoor | ✓ | ||||
| [28] | indoor-to-indoor | ✓ | ✓ | |||
| [30] | indoor-to-indoor | ✓ | ||||
| [31] | indoor-to-indoor | ✓ | ||||
| [43] | indoor-to-indoor | ✓ | ||||
| This Work | outdoor-to-indoor | ✓ | ✓ | ✓ | ✓ | ✓ |
| Characteristics | |
|---|---|
| Location | DIET department building, second floor, Sapienza University of Rome, Rome, Italy |
| Building type | Office |
| Thickness of the window glass | Total 10 mm |
| Height of buildings | About 50 m |
| Surrounding | Typical office building, window-to-wall ratio is about 2:1. |
| Wall thickness | Internal walls ≈ 15 cm Perimeter walls ≈ 30 cm |
| Inside arrangements | Each office contains chair, tables, shelves attached with walls. |
| Building materials | Concrete |
| Location ID | No. of Campaigns | Total Duration [hh:mm:ss] | No. of PDPs for Op1 | No. of PDPs for Op2 |
|---|---|---|---|---|
| 1 | 8 | 01:22:39 | 4156 | 2414 |
| 2 | 1 | 00:06:22 | 241 | 259 |
| 3 | 1 | 00:03:50 | 115 | N/A |
| 4 | 1 | 00:04:16 | 89 | 191 |
| 5 | 1 | 00:04:55 | N/A | 294 |
| 6 | 4 | 00:45:50 | N/A | 3158 |
| 7 | 1 | 00:05:25 | N/A | 291 |
| 8 | 1 | 00:06:18 | 259 | 266 |
| RMS Delay Spread for Op1 | RMS Delay Spread for Op2 | |||||
|---|---|---|---|---|---|---|
| Location | (ns) | (ns) | Distribution | (ns) | (ns) | Distribution |
| 1 | 44 | 24 | Normal | 26 | 13 | Normal |
| 2 | 77 | 24 | Normal | 75 | 17 | Normal |
| 3 | 3 | 1 | Exponential | N/A | N/A | N/A |
| 4 | 43 | 93 | Exponential | 7 | 4 | Exponential |
| 5 | N/A | N/A | N/A | 21 | 19 | Normal |
| 6 | N/A | N/A | N/A | 20 | 12 | Normal |
| 7 | N/A | N/A | N/A | 78 | 32 | Normal |
| 8 | 75 | 73 | Exponential | 35 | 14 | Normal |
| Reference | RMS Delay Spread | ||
|---|---|---|---|
| μ (ns) | (ns) | Scenario | |
| [40] | 13–27 | N/A | outdoor-to-indoor |
| [11] | 20 (LOS) | N/A | indoor-to-indoor |
| [44] | 5–22 (LOS) | N/A | indoor-to-indoor |
| 17–43 (NLOS) | N/A | ||
| [12] | 20 (LOS) | N/A | indoor-to-indoor |
| 70 (NLOS) | N/A | ||
| [28] | 45 | N/A | indoor-to-indoor |
| Locations | K-Factor for Op1 | K-Factor for Op2 | ||
|---|---|---|---|---|
| (dB) | (dB) | (dB) | (dB) | |
| 1 | 12.85 | 6.67 | 11.60 | 9.17 |
| 2 | 10.68 | 4.01 | 2.68 | 3.48 |
| 3 | 2.70 | 3.03 | N/A | N/A |
| 4 | 2.37 | 3.36 | 24.14 | 10.84 |
| 5 | N/A | N/A | 2.41 | 2.97 |
| 6 | N/A | N/A | 21.22 | 8.18 |
| 7 | N/A | N/A | 2.09 | 3.23 |
| 8 | 3.85 | 3.73 | 6.26 | 5.92 |
| No. of Paths | Interarrival Times | Mean Excess Delay | RMS DS | Pathloss | K-Factor | |
|---|---|---|---|---|---|---|
| No. of paths | 1 | −0.15 | 0.55 | 0.46 | 0.36 | −0.28 |
| Interarrival Times | −0.15 | 1 | −0.10 | −0.12 | 0.03 | −0.14 |
| Mean Excess Delay | 0.55 | −0.10 | 1 | 0.41 | 0.28 | −0.28 |
| RMS DS | 0.46 | −0.12 | 0.41 | 1 | 0.39 | −0.67 |
| Pathloss | 0.36 | 0.03 | 0.28 | 0.39 | 1 | −0.27 |
| K-factor | −0.28 | −0.14 | −0.28 | −0.67 | −0.27 | 1 |
Publisher’s Note: MDPI stays neutral with regard to jurisdictional claims in published maps and institutional affiliations. |
© 2022 by the authors. Licensee MDPI, Basel, Switzerland. This article is an open access article distributed under the terms and conditions of the Creative Commons Attribution (CC BY) license (https://creativecommons.org/licenses/by/4.0/).
Share and Cite
Ali, U.; Caso, G.; De Nardis, L.; Kousias, K.; Rajiullah, M.; Alay, Ö.; Neri, M.; Brunstrom, A.; Di Benedetto, M.-G. Data-Driven Analysis of Outdoor-to-Indoor Propagation for 5G Mid-Band Operational Networks. Future Internet 2022, 14, 239. https://doi.org/10.3390/fi14080239
Ali U, Caso G, De Nardis L, Kousias K, Rajiullah M, Alay Ö, Neri M, Brunstrom A, Di Benedetto M-G. Data-Driven Analysis of Outdoor-to-Indoor Propagation for 5G Mid-Band Operational Networks. Future Internet. 2022; 14(8):239. https://doi.org/10.3390/fi14080239
Chicago/Turabian StyleAli, Usman, Giuseppe Caso, Luca De Nardis, Konstantinos Kousias, Mohammad Rajiullah, Özgü Alay, Marco Neri, Anna Brunstrom, and Maria-Gabriella Di Benedetto. 2022. "Data-Driven Analysis of Outdoor-to-Indoor Propagation for 5G Mid-Band Operational Networks" Future Internet 14, no. 8: 239. https://doi.org/10.3390/fi14080239
APA StyleAli, U., Caso, G., De Nardis, L., Kousias, K., Rajiullah, M., Alay, Ö., Neri, M., Brunstrom, A., & Di Benedetto, M.-G. (2022). Data-Driven Analysis of Outdoor-to-Indoor Propagation for 5G Mid-Band Operational Networks. Future Internet, 14(8), 239. https://doi.org/10.3390/fi14080239

