A Comparison of Blockchain Recovery Time in Static and Mobile IoT-Blockchain Networks
Abstract
1. Introduction
- We built a real IoT-blockchain system using the private Ethereum blockchain, four Raspberry Pis, and three ad hoc routing protocols. Furthermore, we used the emulator Mininet-WiFi [16] to construct a bigger system with nine more IoT devices than the real one.
- We thoroughly compared the blockchain recovery time of OLSR, BATMAN, and BABEL in static and mobile scenarios.
- The evaluation results show that BATMAN achieved the best performance for blockchain recovery in our system—at least 69% and 59.8% better than OLSR and BABEL, respectively.
2. Related Work
3. Background of IoT-Blockchain with Ad Hoc Network
3.1. Ethereum Blockchain
3.2. Ad Hoc Network and Routing Protocols
3.2.1. OLSR
3.2.2. BATMAN
3.2.3. BABEL
4. Methodology
4.1. Constructing IoT-Blockchain System
4.1.1. Ad Hoc Network
4.1.2. Blockchain Deployment
4.2. Evaluation Methodology
4.2.1. Network Performance Evaluation
4.2.2. Recovery Evaluation
5. Evaluation
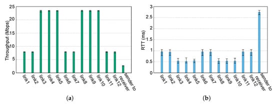
5.1. Real IoT-Blockchain System
5.1.1. Static Scenario
5.1.2. Mobile Scenario
5.2. Emulated IoT-Blockchain
5.2.1. Static Scenario
5.2.2. Mobile Scenario
6. Conclusions
Author Contributions
Funding
Data Availability Statement
Conflicts of Interest
References
- Yli-Huumo, J.; Ko, D.; Choi, S.; Park, S.; Smolander, K. Where is current research on blockchain technology?—A systematic review. PLoS ONE 2016, 11, e0163477. [Google Scholar] [CrossRef] [PubMed]
- Vranken, H. Sustainability of bitcoin and blockchains. Curr. Opin. Environ. Sustain. 2017, 28, 1–9. [Google Scholar] [CrossRef]
- Tahir, M.; Habaebi, M.H.; Dabbagh, M.; Mughees, A.; Ahad, A.; Ahmed, K.I. A review on application of blockchain in 5G and beyond networks: Taxonomy, field-trials, challenges and opportunities. IEEE Access 2020, 8, 115876–115904. [Google Scholar] [CrossRef]
- Tijan, E.; Aksentijević, S.; Ivanić, K.; Jardas, M. Blockchain technology implementation in logistics. Sustainability 2019, 11, 1185. [Google Scholar] [CrossRef]
- Gatteschi, V.; Lamberti, F.; Demartini, C.; Pranteda, C.; Santamaría, V. Blockchain and smart contracts for insurance: Is the technology mature enough? Future Internet 2018, 10, 20. [Google Scholar] [CrossRef]
- Reyna, A.; Martín, C.; Chen, J.; Soler, E.; Díaz, M. On blockchain and its integration with IoT. Challenges and opportunities. Future Gener. Comput. Syst. 2018, 88, 173–190. [Google Scholar] [CrossRef]
- Wood, G. Ethereum: A secure decentralised generalised transaction ledger. Ethereum Proj. Yellow Pap. 2014, 151, 1–32. [Google Scholar]
- Baliga, A.; Subhod, I.; Kamat, P.; Chatterjee, S. Performance evaluation of the quorum blockchain platform. arXiv 2018, arXiv:1809.03421. [Google Scholar]
- Nakada, R.; Li, Z.; Pei, T.; Nguyen, K.; Sekiya, H. An iota-based micropayment system for air quality monitoring application. In Proceedings of the 2021 IEEE 94th Vehicular Technology Conference (VTC2021-Fall), Norman, OK, USA, 27–30 September 2021; pp. 1–6. [Google Scholar]
- Kamath, R. Food traceability on blockchain: Walmart’s pork and mango pilots with IBM. J. Br. Blockchain Assoc. 2018, 1, 3712. [Google Scholar] [CrossRef]
- Chen, X.; Tian, S.; Nguyen, K.; Sekiya, H. Decentralizing private blockchain-iot network with olsr. Future Internet 2021, 13, 168. [Google Scholar] [CrossRef]
- Su, Y.; Nguyen, K.; Sekiya, H. Recovery Time Evaluation of Ad-hoc Routing Protocols in IoT-Blockchain. In Proceedings of the IEEE 4th Global Conference on Life Sciences and Technologies (LifeTech), Osaka, Japan, 7–9 March 2022; pp. 265–269. [Google Scholar]
- Chroboczek, J. The Babel Routing Protocol. 2011. Technical Report. Available online: https://www.rfc-editor.org/rfc/rfc8966.html (accessed on 9 October 2022).
- Abolhasan, M.; Hagelstein, B.; Wang, J.P. Real-world performance of current proactive multi-hop mesh protocols. In Proceedings of the 2009 15th Asia-Pacific Conference on Communications, Shanghai, China, 8–10 October 2009; pp. 44–47. [Google Scholar]
- Murray, D.; Dixon, M.; Koziniec, T. An experimental comparison of routing protocols in multi hop ad hoc networks. In Proceedings of the 2010 Australasian Telecommunication Networks and Applications Conference, Auckland, New Zealand, 3–31 November 2010; pp. 159–164. [Google Scholar] [CrossRef]
- Fontes, R.R.; Afzal, S.; Brito, S.H.; Santos, M.A.; Rothenberg, C.E. Mininet-WiFi: Emulating software-defined wireless networks. In Proceedings of the International Conference on Network and Service Management (CNSM), Barcelona, Spain, 9–13 November 2015; pp. 384–389. [Google Scholar]
- Walker, M.A.; Dubey, A.; Laszka, A.; Schmidt, D.C. Platibart: A platform for transactive iot blockchain applications with repeatable testing. In Proceedings of the 4th Workshop on Middleware and Applications for the Internet of Things, Las Vegas, NV, USA, 11 December 2017; pp. 17–22. [Google Scholar]
- Rejeb, A.; Keogh, J.G.; Treiblmaier, H. Leveraging the internet of things and blockchain technology in supply chain management. Future Internet 2019, 11, 161. [Google Scholar] [CrossRef]
- Li, Y.; Susilo, W.; Yang, G.; Yu, Y.; Liu, D.; Du, X.; Guizani, M. A blockchain-based self-tallying voting protocol in decentralized IoT. IEEE Trans. Dependable Secur. Comput. 2020, 19, 119–130. Available online: https://ieeexplore.ieee.org/document/9031381 (accessed on 9 October 2022). [CrossRef]
- Ren, Q.; Man, K.L.; Li, M.; Gao, B. Using blockchain to enhance and optimize IoT-based intelligent traffic system. In Proceedings of the 2019 International Conference on Platform Technology and Service (PlatCon), Jeju, Korea, 28–30 January 2019; pp. 1–4. [Google Scholar]
- Dwivedi, A.D.; Srivastava, G.; Dhar, S.; Singh, R. A decentralized privacy-preserving healthcare blockchain for IoT. Sensors 2019, 19, 326. [Google Scholar] [CrossRef]
- Abolhasan, M.; Wysocki, T.; Dutkiewicz, E. A review of routing protocols for mobile ad hoc networks. Ad Hoc Netw. 2004, 2, 1–22. [Google Scholar] [CrossRef]
- Boukerche, A. Performance evaluation of routing protocols for ad hoc wireless networks. Mob. Netw. Appl. 2004, 9, 333–342. [Google Scholar] [CrossRef]
- Barolli, L.; Ikeda, M.; De Marco, G.; Durresi, A.; Xhafa, F. Performance analysis of OLSR and BATMAN protocols considering link quality parameter. In Proceedings of the International Conference on Advanced Information Networking and Applications, Bradford, UK, 26–29 May 2009; pp. 307–314. [Google Scholar]
- Bujari, A.; Gaggi, O.; Palazzi, C.E.; Ronzani, D. Would current ad-hoc routing protocols be adequate for the internet of vehicles? a comparative study. IEEE Internet Things J. 2018, 5, 3683–3691. [Google Scholar] [CrossRef]
- Sanchez-Iborra, R.; Cano, M.D.; Garcia-Haro, J. Performance evaluation of BATMAN routing protocol for VoIP services: A QoE perspective. IEEE Trans. Wirel. Commun. 2014, 13, 4947–4958. [Google Scholar] [CrossRef]
- Kulla, E.; Hiyama, M.; Ikeda, M.; Barolli, L. Performance comparison of OLSR and BATMAN routing protocols by a MANET testbed in stairs environment. Comput. Math. Appl. 2012, 63, 339–349. [Google Scholar] [CrossRef]
- Lee, Y.; Rathore, S.; Park, J.H.; Park, J.H. A blockchain-based smart home gateway architecture for preventing data forgery. Hum.-Centric Comput. Inf. Sci. 2020, 10, 1–14. [Google Scholar] [CrossRef]
- Tan, Y.; Liu, J.; Kato, N. Blockchain-based key management for heterogeneous flying ad hoc network. IEEE Trans. Ind. Inform. 2020, 17, 7629–7638. [Google Scholar] [CrossRef]
- Li, X.; Lu, R.; Liang, X.; Shen, X.; Chen, J.; Lin, X. Smart community: An internet of things application. IEEE Commun. Mag. 2011, 49, 68–75. [Google Scholar] [CrossRef]
- Clausen, T.; Jacquet, P. Optimized Link State Routing Protocol (OLSR). Technical Report. 2003. Available online: https://www.rfc-editor.org/rfc/rfc3626.html (accessed on 9 October 2022).
- Neumann, A.; Aichele, C.; Lindner, M.; Wunderlich, S. Better Approach to Mobile Ad-Hoc Networking (B.A.T.M.A.N.). Internet-Draft Draft-Wunderlich-Openmesh-Manet-Routing-00, Internet Engineering Task Force. 2008. Work in Progress. Available online: https://datatracker.ietf.org/doc/draft-openmesh-b-a-t-m-a-n/ (accessed on 9 October 2022).
- Chen, X.; Nguyen, K.; Sekiya, H. On the Latency Performance in Private Blockchain Networks. IEEE Internet Things J. 2022, 9, 19246–19259. [Google Scholar] [CrossRef]
- Machado, K.; Rosário, D.; Cerqueira, E.; Loureiro, A.A.; Neto, A.; De Souza, J.N. A routing protocol based on energy and link quality for internet of things applications. Sensors 2013, 13, 1942–1964. [Google Scholar] [CrossRef] [PubMed]










| Underlying Network | Application | Evaluation Environment | Network State | Characteristic | Ref. |
|---|---|---|---|---|---|
| Infrastructure-based | Combining IoT and blockchain for smart home | Simulation | Static | Propose a blockchain-based smart home gateway architecture | [28] |
| Ad hoc | Combining IoT and blockchain for UAVs | Real | Mobile | Propose a blockchain-based distributed key management scheme for FANET | [29] |
| Ad hoc | Combining IoT and blockchain | Real | Static | Evaluate the recovery time of OLSR in a small network | [11] |
| Ad hoc | Combining blockchain and IoT | Emulation and Real | Static and mobile | Evaluate communication recovery performance of OLSR, BATMAN, BABEL | This study |
| Parameter | Value | Meaning |
|---|---|---|
| HELLO_INTERVAL | Default: 2 s | Interval for hello packets |
| REFRESH_INTERVAL | Default: 2 s | Interval for nodes to keep track of the latest connectivity change |
| TC_INTERVAL | Default: 5 s | Interval for transmitting TC packets |
| NEIGHB_HOLD_TIME | Default: 6 s | Holding time of neighboring information |
| TOP_HOLD_TIME | Default: 15 s | Holding time of topology information |
| Parameter | Value | Meaning |
|---|---|---|
| OGM_INTERVAL | Default: 1 s | Interval for sending OGM packets |
| PURGE_TIMEOUT | Default: 200 s | Time for removing the node in BATMAN’s database |
| WINDOW_SIZE | Proposed in RFC: 8 | Size of the sliding window |
| Parameter | Value | Meaning |
|---|---|---|
| HELLO_INTERVAL | Default: 4 s (for wireless network) | Interval for sending hello packets |
| IHU_TIMEOUT | Default: 12 s | Interval for advertising IHU packets |
| UPDATE_INTERVAL | Default: 16 s | Interval for advertising or withdraws routes |
| Raspberry Pi | model 4B |
| OS | Ubuntu Mate 20.04 LTS |
| Linux kernel verison | 5.4.0 |
| CPU | Quad core Cortex-A72@1.5 GHz |
| Ethereum | Geth 1.10.9-stable-eae3b194 |
| OLSR | olsrd 0.9.9 |
| BATMAN | batman IV |
| BABEL | babeld 1.12.1 |
| OS | Ubuntu 20.04.3 LTS |
| CPU | Intel Core i7-8565U CPU@1.80 GHz × 8 |
| Mininet-WiFi | version 2.6 |
| Ethereum | Geth 1.10.9-stable-eae3b194 |
| OLSR | olsrd 0.9.9 |
| BATMAN | batman IV |
| BABEL | babeld 1.12.1 |
Publisher’s Note: MDPI stays neutral with regard to jurisdictional claims in published maps and institutional affiliations. |
© 2022 by the authors. Licensee MDPI, Basel, Switzerland. This article is an open access article distributed under the terms and conditions of the Creative Commons Attribution (CC BY) license (https://creativecommons.org/licenses/by/4.0/).
Share and Cite
Su, Y.; Nguyen, K.; Sekiya, H. A Comparison of Blockchain Recovery Time in Static and Mobile IoT-Blockchain Networks. Future Internet 2022, 14, 330. https://doi.org/10.3390/fi14110330
Su Y, Nguyen K, Sekiya H. A Comparison of Blockchain Recovery Time in Static and Mobile IoT-Blockchain Networks. Future Internet. 2022; 14(11):330. https://doi.org/10.3390/fi14110330
Chicago/Turabian StyleSu, Yue, Kien Nguyen, and Hiroo Sekiya. 2022. "A Comparison of Blockchain Recovery Time in Static and Mobile IoT-Blockchain Networks" Future Internet 14, no. 11: 330. https://doi.org/10.3390/fi14110330
APA StyleSu, Y., Nguyen, K., & Sekiya, H. (2022). A Comparison of Blockchain Recovery Time in Static and Mobile IoT-Blockchain Networks. Future Internet, 14(11), 330. https://doi.org/10.3390/fi14110330

