A Cache Placement Strategy with Energy Consumption Optimization in Information-Centric Networking
Abstract
1. Introduction
2. Related Work
3. An Energy Consumption Optimization for ICN
3.1. Energy Consumption Model for Content Distribution Betwween Nodes
3.2. Problem Transformation
3.3. Optimal Stopping Theory Is Used to Select Cache Placement Nodes
3.4. Existence Proof and Solution of Optimal Stopping Rule
3.5. Cache Placement Algorithm Based on Energy Consumption Optimization
| Algorithm 1.ESCPS |
| Input:ck, m, area, Pc, τ, etc; Output:v; /* Cache placement node */ Begin 1: W* =L-area^2/3-Pc; /* Calculate expectation */ 2: n ← 1, E* = 0; /* Number of node and energy savings initialized */ 3: for 1 ≤ i ≤ n do 4: Observation of random variables di; 5: stop← false; /* observing */ 6: if (d1 − di) ≥W*) then 7: ri = E1 − Ei; 8: if E*< ri then 9: E* = ri; 10: v ←vi; 11: endif 12: stop← true; 13: break; 14: endif /* stop detecting */ 15: endfor 16: if (!stop && i = n) then /* The node is satisfied and the condition is not found */ 17: v← v1; 18: endif 19: return v 20: end End |
4. Simulation Results and Analysis
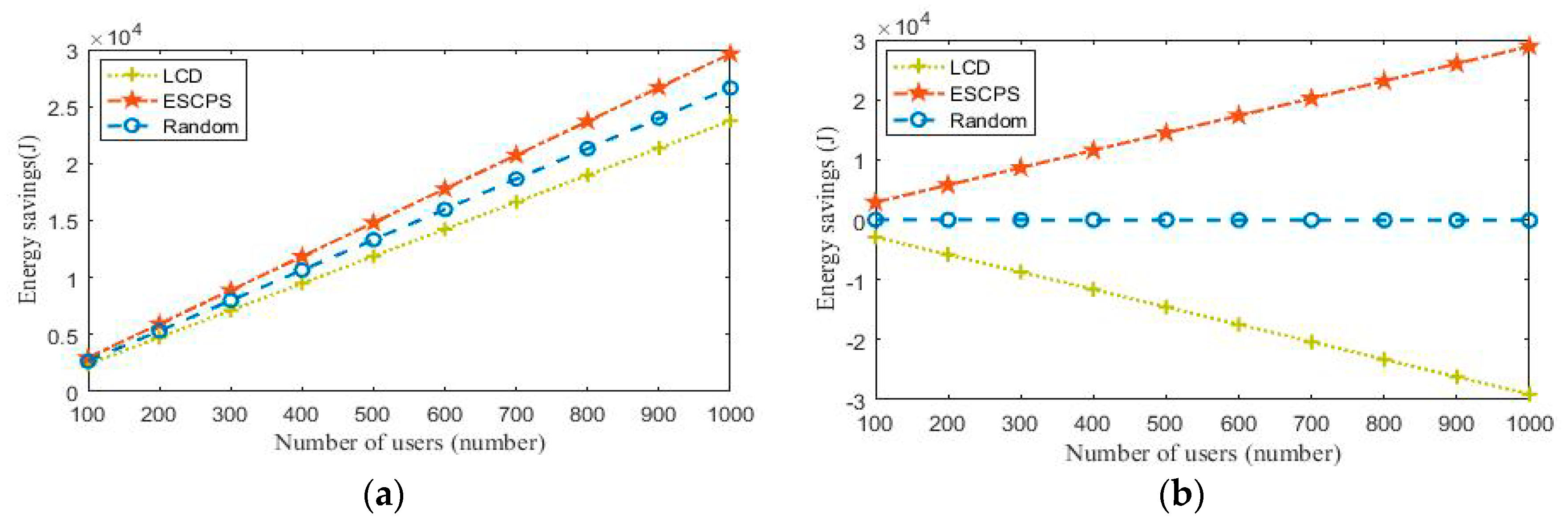
4.1. Energy Savings
4.2. Caching Benefit
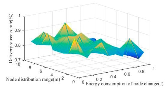
4.3. Delivery Success Rate
5. Conclusions and Further Work
Author Contributions
Funding
Conflicts of Interest
Abbreviations
| τ | Distribution rate |
| GR | Received signal power |
| Amplitude of the signal transmitted | |
| f | SNR |
| GT | Transmit signal power |
| W* | Maximum expected benefit |
| ck | Data size to be transmitted |
| g | Noise power |
| GE | Circuit power |
| m | Number of user nodes |
| Pc | Extra energy consumption |
| area | Node distribution range |
References
- Cisco. Cisco Visual Networking Index: Forecast and Methodology, Report, 2015–2020; Cisco: San Jose, CA, USA, 2017. [Google Scholar]
- Ma, L.; Zhang, J.; Cai, Z.; Shang, Z.; Yuan, C.; Hu, C. Research and progress of content center network. Comput. Era 2016, 8. [Google Scholar]
- Xylomenos, G.; Ververidis, C.; Fotiou, N.; Tsilopoulos, C.; Vasilakos, X.; Katsaros, K.; Polyzos, G.C. A Survey of Information-Centric Networking Research. IEEE Commun. Surv. Tutor. 2013, 16, 1024–1049. [Google Scholar] [CrossRef]
- Fotiou, N.; Katsaros, K.; Polyzos, G.C.; Sarela, M.; Trossen, D.; Xylomenos, G. Handling Mobility in Future Publish-Subscribe Information-Centric Networks. Telecommun. Syst. 2013, 53, 299–314. [Google Scholar] [CrossRef]
- Polyzos, G.C.; Fotiou, N. Building a reliable Internet of Things using Information-Centric Networking. J. Reliab. Intell. Environ. 2015, 6, 47–58. [Google Scholar] [CrossRef]
- Zhang, G.; Li, Y.; Lin, T. Caching in information-centric networking: A survey. Comput. Netw. 2013, 57, 3128–3141. [Google Scholar] [CrossRef]
- Zhang, M.; Luo, H.; Zhang, H. A Survey of Caching Mechanisms in Information-Centric Networking. IEEE Commun. Surv. Tutor. 2015, 17, 1473–1499. [Google Scholar] [CrossRef]
- Din, I.U.; Hassan, S.; Khan, M.K.; Guizani, M.; Ghazali, O.; Habbal, A. Caching in Information-Centric Networking: Strategies, Challenges, and Future Research Directions. IEEE Commun. Surv. Tutor. 2018, 20, 1443–1474. [Google Scholar] [CrossRef]
- Niari, A.K.; Berangi, R.; Fathy, M. EICN: An extended ICN architecture to improve data access in vehicular content-centric network. J. Supercomput. 2018, 74, 205–221. [Google Scholar] [CrossRef]
- Duan, J.; Han, J.; Tang, H. Survey of mobility cache strategy in information-centric networks. Appl. Electron. Tech. 2018, 1. [Google Scholar]
- Li, Y.; Lin, T.; Tang, H.; Sun, P. A chunk caching location and searching scheme in Content Centric Networking. In Proceedings of the IEEE International Conference on Communications, Ottawa, ON, Canada, 10–15 June 2012; pp. 2655–2659. [Google Scholar]
- Laoutaris, N.; Che, H.; Stavrakakis, I. The LCD interconnection of LRU caches and its analysis. Perform. Eval. 2006, 63, 609–634. [Google Scholar] [CrossRef]
- Altmeyer, S.; Cucu-Grosjean, L.; Davis, R.I.; Lesage, B. Progress on Static Probabilistic Timing Analysis for Systems with Random Cache Replacement Policies. In Proceedings of the 5th Real-Time Scheduling Open Problems Seminar (RTSOPS 2014), Madrid, Spain, 8 July 2014. [Google Scholar]
- Psaras, I.; Wei, K.C.; Pavlou, G. Probabilistic in-network caching for information-centric networks. In Proceedings of the 2nd Edition of the ICN Workshop on Information-Centric Networking, Helsinki, Finland, 17 August 2012; pp. 55–60. [Google Scholar]
- Cui, X.D.; Liu, J.; Huang, T. A novel in-network caching scheme based on betweenness and replacement rate in Content Centric Networking. J. Electron. Inf. Technol. 2014, 1, 1–7. [Google Scholar]
- Cho, K.; Lee, M.; Park, K.; Kwon, T.T.; Choi, Y.; Pack, S. WAVE: Popularity-based and collaborative in-network caching for content-oriented networks. In Proceedings of the 2012 Proceedings IEEE INFOCOM Workshops, Orlando, FL, USA, 25–30 March 2012; pp. 316–321. [Google Scholar]
- Hu, Q.; Wu, M.; Guo, S. Workload-Aware Caching Policy for Information-Centric Networking. IEICE Trans. Commun. 2014, 10, 2157–2166. [Google Scholar] [CrossRef]
- Laoutaris, N.; Syntila, S.; Stavrakakis, I. Meta algorithms for hierarchical Web caches. In Proceedings of the 2004 IEEE International Conference on Performance, Computing, and Communications, Phoenix, AZ, USA, 15–17 April 2004; pp. 445–452. [Google Scholar]
- Liu, T. Research on Optimization of Access Delay in Content Center Network (In Chinese). Master’s Thesis, PLA Information Engineering University, Zhengzhou, China, 2013. [Google Scholar]
- Wang, G.Q.; Huang, T.; Liu, J.; Chen, J.Y.; Liu, Y.J. A new content center network caching strategy based on lingering time. J. Comput. 2015, 3, 472–482. [Google Scholar]
- Wu, H.B.; Jun, L.I.; Jiang, Z. Probability-based heuristic content placement method for ICN caching. J. Commun. 2015, 37, 62–72. [Google Scholar]
- Liu, G.C.; Lan, J.L.; Wang, P. Cooperative caching routing mechanism based on regional centralized control in content center network. Res. Appl. Comput. 2018, 2, 564–568. [Google Scholar]
- Fang, X.W.; Chen, S.Q.; Jiang, Y.M. The Hotspot Control and Content Dispatch Caching Algorithm in Content-Centric Networking. Tien Tzu Hsueh Pao 2017, 5, 1182–1188. [Google Scholar]
- Yamamoto, Y.; Takemasa, J.; Koizumi, Y.; Hasegawa, T. Analysis on Caching Large Content for Information-Centric Networking. In Proceedings of the ACM Conference on Information-Centric Networking 2018, Boston, MA, USA, 21–23 September 2018. [Google Scholar]
- Khan, J.A.; Westphal, C.; Garcia-Luna-Aceves, J.J.; Ghamri-Doudane, Y. NICE: Network-oriented Information-centric Centrality for Efficiency in Cache Management. In Proceedings of the ACM Conference on Information-Centric Networking 2018, Boston, MA, USA, 21–23 September 2018. [Google Scholar]
- Dinh, T.; Kim, Y. N-hop Content Store-based Caching Policy and Routing Protocol for ICN. In Proceedings of the ACM Conference on Information-Centric Networking 2018, Boston, MA, USA, 21–23 September 2018. [Google Scholar]
- Xu, L.; Yagyu, T. Energy- and Priority-Aware Traffic Engineering for Content-Centric Networking. In Proceedings of the AFIN 2015: Seventh International Conference on Advances in Future Internet, Venice, Italy, 24–28 August 2015; pp. 47–54. [Google Scholar]
- Aoki, D.; Takenaka, S.; Kanai, K.; Katto, J.; Nakazato, H.; Hirose, M. Energy Consumption Evaluation of ICN Toward Power-Saving Video Delivery. In Proceedings of the 2015 IEEE International Conference on Data Science and Data Intensive Systems, Sydney, Australia, 11–13 December 2015; pp. 390–395. [Google Scholar]
- Ohsugi, K.; Takemasa, J.; Koizumi, Y.; Hasegawa, T.; Psaras, I. Power Consumption Model of NDN-based Multicore Software Router based on Detailed Protocol Analysis. IEEE J. Sel. Areas Commun. 2016, 34, 1631–1644. [Google Scholar] [CrossRef]
- Ferguson, T.S. Optimal Stopping and Applications. Mathem. Financ. Probab. 2012, 175, 22–34. [Google Scholar]








| Parameters | Description | Value |
|---|---|---|
| m | Number of users | 100~1000 |
| Pc | Extra energy consumption | 0.1~1 |
| τ | Distribution rate | 5 |
| ck | Content size | 10~100 |
| g | Noise power | 3 |
| f | Noise ratio | 1 |
| GR | Node receiving power | 3 |
| area | Node distribution range | 1~20 |
© 2019 by the authors. Licensee MDPI, Basel, Switzerland. This article is an open access article distributed under the terms and conditions of the Creative Commons Attribution (CC BY) license (http://creativecommons.org/licenses/by/4.0/).
Share and Cite
Zheng, X.; Wang, G.; Zhao, Q. A Cache Placement Strategy with Energy Consumption Optimization in Information-Centric Networking. Future Internet 2019, 11, 64. https://doi.org/10.3390/fi11030064
Zheng X, Wang G, Zhao Q. A Cache Placement Strategy with Energy Consumption Optimization in Information-Centric Networking. Future Internet. 2019; 11(3):64. https://doi.org/10.3390/fi11030064
Chicago/Turabian StyleZheng, Xin, Gaocai Wang, and Qifei Zhao. 2019. "A Cache Placement Strategy with Energy Consumption Optimization in Information-Centric Networking" Future Internet 11, no. 3: 64. https://doi.org/10.3390/fi11030064
APA StyleZheng, X., Wang, G., & Zhao, Q. (2019). A Cache Placement Strategy with Energy Consumption Optimization in Information-Centric Networking. Future Internet, 11(3), 64. https://doi.org/10.3390/fi11030064

