Development of PBPK Population Model for End-Stage Renal Disease Patients to Inform OATP1B-, BCRP-, P-gp-, and CYP3A4-Mediated Drug Disposition with Individual Influencing Factors
Abstract
1. Introduction
2. Methods
2.1. Overall Strategy
2.2. Refinement of PBPK Drug Models
2.3. Collection of Pharmacokinetic Data
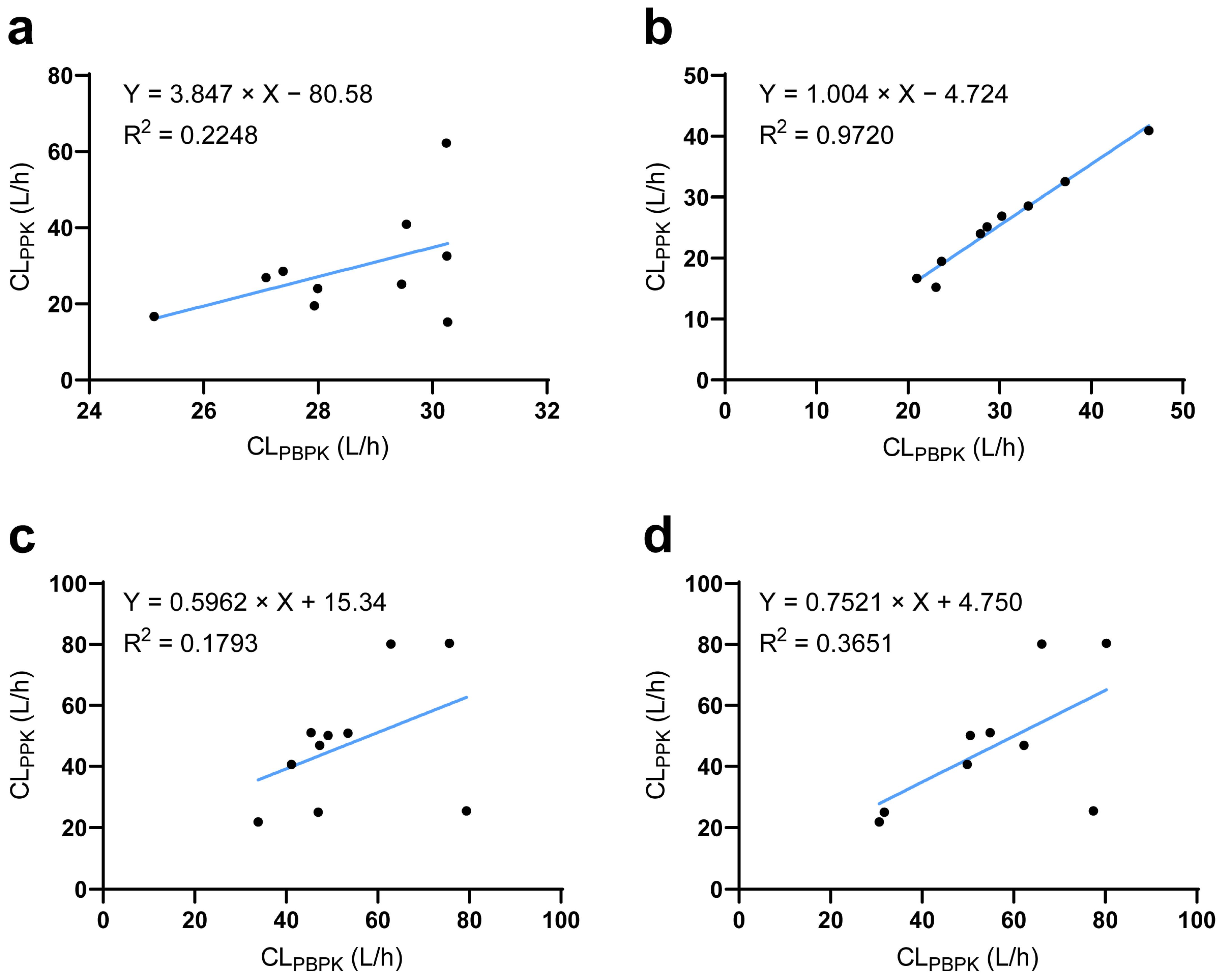
2.4. Validation of PBPK Drug Models in HVs
2.5. Development of ESRD Population Model
2.6. Application of ESRD Population Model in Evaluating ADR Risks
2.7. Application of ESRD Population Model in Exploring Individual Influencing Factors
2.8. Software
3. Results
3.1. Validation of Drug Models in HVs
3.2. Development of ESRD Population Model
3.3. Application of ESRD Population Model in Evaluating ADR Risks
3.4. Application of ESRD Population Model in Exploring Individual Influencing Factors
4. Discussion
Supplementary Materials
Author Contributions
Funding
Institutional Review Board Statement
Informed Consent Statement
Data Availability Statement
Conflicts of Interest
References
- Jha, V.; Garcia-Garcia, G.; Iseki, K.; Li, Z.; Naicker, S.; Plattner, B.; Saran, R.; Wang, A.Y.; Yang, C.W. Chronic kidney disease: Global dimension and perspectives. Lancet 2013, 382, 260–272. [Google Scholar] [CrossRef]
- Laville, S.M.; Gras-Champel, V.; Moragny, J.; Metzger, M.; Jacquelinet, C.; Combe, C.; Fouque, D.; Laville, M.; Frimat, L.; Robinson, B.M.; et al. Adverse Drug Reactions in Patients with CKD. Clin. J. Am. Soc. Nephrol. 2020, 15, 1090–1102. [Google Scholar] [CrossRef]
- Laville, S.M.; Gras-Champel, V.; Hamroun, A.; Moragny, J.; Lambert, O.; Metzger, M.; Jacquelinet, C.; Combe, C.; Fouque, D.; Laville, M.; et al. Kidney Function Decline and Serious Adverse Drug Reactions in Patients With CKD. Am. J. Kidney Dis. 2024, 83, 601–614.e1. [Google Scholar] [CrossRef]
- Nigam, S.K.; Bush, K.T. Uraemic syndrome of chronic kidney disease: Altered remote sensing and signalling. Nat. Rev. Nephrol. 2019, 15, 301–316. [Google Scholar] [CrossRef]
- Miners, J.O.; Yang, X.; Knights, K.M.; Zhang, L. The Role of the Kidney in Drug Elimination: Transport, Metabolism, and the Impact of Kidney Disease on Drug Clearance. Clin. Pharmacol. Ther. 2017, 102, 436–449. [Google Scholar] [CrossRef] [PubMed]
- Tan, M.L.; Yoshida, K.; Zhao, P.; Zhang, L.; Nolin, T.D.; Piquette-Miller, M.; Galetin, A.; Huang, S.M. Effect of Chronic Kidney Disease on Nonrenal Elimination Pathways: A Systematic Assessment of CYP1A2, CYP2C8, CYP2C9, CYP2C19, and OATP. Clin. Pharmacol. Ther. 2018, 103, 854–867. [Google Scholar] [CrossRef] [PubMed]
- Yoshida, K.; Sun, B.; Zhang, L.; Zhao, P.; Abernethy, D.R.; Nolin, T.D.; Rostami-Hodjegan, A.; Zineh, I.; Huang, S.M. Systematic and quantitative assessment of the effect of chronic kidney disease on CYP2D6 and CYP3A4/5. Clin. Pharmacol. Ther. 2016, 100, 75–87. [Google Scholar] [CrossRef] [PubMed]
- Oosting, I.J.; Colombijn, J.M.T.; Kaasenbrood, L.; Liabeuf, S.; Laville, S.M.; Hooft, L.; Bots, M.L.; Verhaar, M.C.; Vernooij, R.W.M. Polypharmacy in Patients with CKD: A Systematic Review and Meta-Analysis. Kidney360 2024, 5, 841–850. [Google Scholar] [CrossRef]
- Paik, J.M.; Zhuo, M.; York, C.; Tsacogianis, T.; Kim, S.C.; Desai, R.J. Medication Burden and Prescribing Patterns in Patients on Hemodialysis in the USA, 2013-2017. Am. J. Nephrol. 2021, 52, 919–928. [Google Scholar] [CrossRef]
- Santos-Díaz, G.; Pérez-Pico, A.M.; Suárez-Santisteban, M.; García-Bernalt, V.; Mayordomo, R.; Dorado, P. Prevalence of Potential Drug-Drug Interaction Risk among Chronic Kidney Disease Patients in a Spanish Hospital. Pharmaceutics 2020, 12, 713. [Google Scholar] [CrossRef]
- Toorop, M.M.A.; van Rein, N.; Nierman, M.C.; Vermaas, H.W.; Huisman, M.V.; van der Meer, F.J.M.; Cannegieter, S.C.; Lijfering, W.M. Inter- and intra-individual concentrations of direct oral anticoagulants: The KIDOAC study. J. Thromb. Haemost. 2022, 20, 92–103. [Google Scholar] [CrossRef] [PubMed]
- Jones, H.M.; Chen, Y.; Gibson, C.; Heimbach, T.; Parrott, N.; Peters, S.A.; Snoeys, J.; Upreti, V.V.; Zheng, M.; Hall, S.D. Physiologically based pharmacokinetic modeling in drug discovery and development: A pharmaceutical industry perspective. Clin. Pharmacol. Ther. 2015, 97, 247–262. [Google Scholar] [CrossRef] [PubMed]
- Rowland Yeo, K.; Gil Berglund, E. An Integrated Approach for Assessing the Impact of Renal Impairment on Pharmacokinetics of Drugs in Development: Pivotal Role of PBPK Modelling. Clin. Pharmacol. Ther. 2021, 110, 1168–1171. [Google Scholar] [CrossRef]
- Zamir, A.; Alqahtani, F.; Rasool, M.F. Chronic kidney disease and physiologically based pharmacokinetic modeling: A critical review of existing models. Expert Opin. Drug Metab. Toxicol. 2024, 20, 95–105. [Google Scholar] [CrossRef]
- Heimbach, T.; Chen, Y.; Chen, J.; Dixit, V.; Parrott, N.; Peters, S.A.; Poggesi, I.; Sharma, P.; Snoeys, J.; Shebley, M.; et al. Physiologically-Based Pharmacokinetic Modeling in Renal and Hepatic Impairment Populations: A Pharmaceutical Industry Perspective. Clin. Pharmacol. Ther. 2021, 110, 297–310. [Google Scholar] [CrossRef] [PubMed]
- Magnani, S.; Atti, M. Uremic Toxins and Blood Purification: A Review of Current Evidence and Future Perspectives. Toxins 2021, 13, 246. [Google Scholar] [CrossRef]
- Huang, W.; Nakano, M.; Sager, J.; Ragueneau-Majlessi, I.; Isoherranen, N. Physiologically Based Pharmacokinetic Model of the CYP2D6 Probe Atomoxetine: Extrapolation to Special Populations and Drug-Drug Interactions. Drug Metab. Dispos. 2017, 45, 1156–1165. [Google Scholar] [CrossRef]
- Franchetti, Y.; Nolin, T.D. Application of Individualized PBPK Modeling of Rate Data to Evaluate the Effect of Hemodialysis on Nonrenal Clearance Pathways. J. Clin. Pharmacol. 2021, 61, 769–781. [Google Scholar] [CrossRef]
- Yee, S.W.; Brackman, D.J.; Ennis, E.A.; Sugiyama, Y.; Kamdem, L.K.; Blanchard, R.; Galetin, A.; Zhang, L.; Giacomini, K.M. Influence of Transporter Polymorphisms on Drug Disposition and Response: A Perspective From the International Transporter Consortium. Clin. Pharmacol. Ther. 2018, 104, 803–817. [Google Scholar] [CrossRef]
- Kyaw, T.S.; Turnbaugh, P.J. Tiny Gatekeepers: Microbial Control of Host Drug Transporters. Clin. Pharmacol. Ther. 2022, 112, 443–445. [Google Scholar] [CrossRef]
- Saravanakumar, A.; Sadighi, A.; Ryu, R.; Akhlaghi, F. Physicochemical Properties, Biotransformation, and Transport Pathways of Established and Newly Approved Medications: A Systematic Review of the Top 200 Most Prescribed Drugs vs. the FDA-Approved Drugs Between 2005 and 2016. Clin. Pharmacokinet. 2019, 58, 1281–1294. [Google Scholar] [CrossRef] [PubMed]
- Thummel, K.E.; O’Shea, D.; Paine, M.F.; Shen, D.D.; Kunze, K.L.; Perkins, J.D.; Wilkinson, G.R. Oral first-pass elimination of midazolam involves both gastrointestinal and hepatic CYP3A-mediated metabolism. Clin. Pharmacol. Ther. 1996, 59, 491–502. [Google Scholar] [CrossRef] [PubMed]
- Chu, X.; Galetin, A.; Zamek-Gliszczynski, M.J.; Zhang, L.; Tweedie, D.J. Dabigatran Etexilate and Digoxin: Comparison as Clinical Probe Substrates for Evaluation of P-gp Inhibition. Clin. Pharmacol. Ther. 2018, 104, 788–792. [Google Scholar] [CrossRef]
- Prueksaritanont, T.; Chu, X.; Evers, R.; Klopfer, S.O.; Caro, L.; Kothare, P.A.; Dempsey, C.; Rasmussen, S.; Houle, R.; Chan, G.; et al. Pitavastatin is a more sensitive and selective organic anion-transporting polypeptide 1B clinical probe than rosuvastatin. Br. J. Clin. Pharmacol. 2014, 78, 587–598. [Google Scholar] [CrossRef]
- Kitamura, S.; Maeda, K.; Wang, Y.; Sugiyama, Y. Involvement of multiple transporters in the hepatobiliary transport of rosuvastatin. Drug Metab. Dispos. 2008, 36, 2014–2023. [Google Scholar] [CrossRef]
- Reig-López, J.; Merino-Sanjuan, M.; García-Arieta, A.; Mangas-Sanjuán, V. A physiologically based pharmacokinetic model for open acid and lactone forms of atorvastatin and metabolites to assess the drug-gene interaction with SLCO1B1 polymorphisms. Biomed. Pharmacother. 2022, 156, 113914. [Google Scholar] [CrossRef]
- Kong, W.; Pan, Y.; Wu, Y.; Hu, Y.; Jiang, Z.; Tian, X.; Bi, S.; Wang, S.; Feng, F.; Jin, Y.; et al. Microdose Cocktail Study Reveals the Activity and Key Influencing Factors of OATP1B, P-Gp, BCRP, and CYP3A in End-Stage Renal Disease Patients. Clin. Pharmacol. Ther. 2025, 117, 1303–1312. [Google Scholar] [CrossRef] [PubMed]
- Malik, P.R.V.; Yeung, C.H.T.; Ismaeil, S.; Advani, U.; Djie, S.; Edginton, A.N. A Physiological Approach to Pharmacokinetics in Chronic Kidney Disease. J. Clin. Pharmacol. 2020, 60 (Suppl. S1), S52–S62. [Google Scholar] [CrossRef]
- Sia, J.E.V.; Lai, X.; Wu, X.; Zhang, F.; Li, H.; Cui, C.; Liu, D. Physiologically-based pharmacokinetic modeling to predict drug-drug interactions of dabigatran etexilate and rivaroxaban in the Chinese older adults. Eur. J. Pharm. Sci. 2023, 182, 106376. [Google Scholar] [CrossRef]
- Tan, M.L.; Zhao, P.; Zhang, L.; Ho, Y.F.; Varma, M.V.S.; Neuhoff, S.; Nolin, T.D.; Galetin, A.; Huang, S.M. Use of Physiologically Based Pharmacokinetic Modeling to Evaluate the Effect of Chronic Kidney Disease on the Disposition of Hepatic CYP2C8 and OATP1B Drug Substrates. Clin. Pharmacol. Ther. 2019, 105, 719–729. [Google Scholar] [CrossRef]
- Ieiri, I.; Suwannakul, S.; Maeda, K.; Uchimaru, H.; Hashimoto, K.; Kimura, M.; Fujino, H.; Hirano, M.; Kusuhara, H.; Irie, S.; et al. SLCO1B1 (OATP1B1, an uptake transporter) and ABCG2 (BCRP, an efflux transporter) variant alleles and pharmacokinetics of pitavastatin in healthy volunteers. Clin. Pharmacol. Ther. 2007, 82, 541–547. [Google Scholar] [CrossRef]
- Windass, A.S.; Lowes, S.; Wang, Y.; Brown, C.D. The contribution of organic anion transporters OAT1 and OAT3 to the renal uptake of rosuvastatin. J. Pharmacol. Exp. Ther. 2007, 322, 1221–1227. [Google Scholar] [CrossRef]
- Wang, Q.; Zheng, M.; Leil, T. Investigating Transporter-Mediated Drug-Drug Interactions Using a Physiologically Based Pharmacokinetic Model of Rosuvastatin. CPT Pharmacometrics Syst. Pharmacol. 2017, 6, 228–238. [Google Scholar] [CrossRef]
- Pasanen, M.K.; Fredrikson, H.; Neuvonen, P.J.; Niemi, M. Different effects of SLCO1B1 polymorphism on the pharmacokinetics of atorvastatin and rosuvastatin. Clin. Pharmacol. Ther. 2007, 82, 726–733. [Google Scholar] [CrossRef]
- Birmingham, B.K.; Bujac, S.R.; Elsby, R.; Azumaya, C.T.; Wei, C.; Chen, Y.; Mosqueda-Garcia, R.; Ambrose, H.J. Impact of ABCG2 and SLCO1B1 polymorphisms on pharmacokinetics of rosuvastatin, atorvastatin and simvastatin acid in Caucasian and Asian subjects: A class effect? Eur. J. Clin. Pharmacol. 2015, 71, 341–355. [Google Scholar] [CrossRef] [PubMed]
- Huguet, J.; Lu, J.; Gaudette, F.; Chiasson, J.L.; Hamet, P.; Michaud, V.; Turgeon, J. No effects of pantoprazole on the pharmacokinetics of rosuvastatin in healthy subjects. Eur. J. Clin. Pharmacol. 2016, 72, 925–931. [Google Scholar] [CrossRef] [PubMed]
- Cooper-DeHoff, R.M.; Niemi, M.; Ramsey, L.B.; Luzum, J.A.; Tarkiainen, E.K.; Straka, R.J.; Gong, L.; Tuteja, S.; Wilke, R.A.; Wadelius, M.; et al. The Clinical Pharmacogenetics Implementation Consortium Guideline for SLCO1B1, ABCG2, and CYP2C9 genotypes and Statin-Associated Musculoskeletal Symptoms. Clin. Pharmacol. Ther. 2022, 111, 1007–1021. [Google Scholar] [CrossRef] [PubMed]
- Chavez-Eng, C.M.; Lutz, R.W.; Goykhman, D.; Bateman, K.P. Microdosing Cocktail Assay Development for Drug-Drug Interaction Studies. J. Pharm. Sci. 2018, 107, 1973–1986. [Google Scholar] [CrossRef]
- Cui, C.; Valerie Sia, J.E.; Tu, S.; Li, X.; Dong, Z.; Yu, Z.; Yao, X.; Hatley, O.; Li, H.; Liu, D. Development of a physiologically based pharmacokinetic (PBPK) population model for Chinese elderly subjects. Br. J. Clin. Pharmacol. 2021, 87, 2711–2722. [Google Scholar] [CrossRef]
- Prueksaritanont, T.; Tatosian, D.A.; Chu, X.; Railkar, R.; Evers, R.; Chavez-Eng, C.; Lutz, R.; Zeng, W.; Yabut, J.; Chan, G.H.; et al. Validation of a microdose probe drug cocktail for clinical drug interaction assessments for drug transporters and CYP3A. Clin. Pharmacol. Ther. 2017, 101, 519–530. [Google Scholar] [CrossRef]
- Tatosian, D.A.; Yee, K.L.; Zhang, Z.; Mostoller, K.; Paul, E.; Sutradhar, S.; Larson, P.; Chhibber, A.; Wen, J.; Wang, Y.J.; et al. A Microdose Cocktail to Evaluate Drug Interactions in Patients with Renal Impairment. Clin. Pharmacol. Ther. 2021, 109, 403–415. [Google Scholar] [CrossRef]
- Vinik, H.R.; Reves, J.G.; Greenblatt, D.J.; Abernethy, D.R.; Smith, L.R. The pharmacokinetics of midazolam in chronic renal failure patients. Anesthesiology 1983, 59, 390–394. [Google Scholar] [CrossRef] [PubMed]
- US Food and Drug Administration SEIZALAM (Midazolam Injection) for Intramuscular Use. Available online: https://www.accessdata.fda.gov/drugsatfda_docs/label/2023/209566s003lbl.pdf (accessed on 4 August 2024).
- Zhang, L.; Zhao, M.H.; Zuo, L.; Wang, Y.; Yu, F.; Zhang, H.; Wang, H. China Kidney Disease Network (CK-NET) 2016 Annual Data Report. Kidney Int. Suppl. 2020, 10, e97–e185. [Google Scholar] [CrossRef]
- Inker, L.A.; Schmid, C.H.; Tighiouart, H.; Eckfeldt, J.H.; Feldman, H.I.; Greene, T.; Kusek, J.W.; Manzi, J.; Van Lente, F.; Zhang, Y.L.; et al. Estimating glomerular filtration rate from serum creatinine and cystatin C. N. Engl. J. Med. 2012, 367, 20–29. [Google Scholar] [CrossRef]
- Chinnappa, S.; White, E.; Lewis, N.; Baldo, O.; Tu, Y.K.; Glorieux, G.; Vanholder, R.; El Nahas, M.; Mooney, A. Early and asymptomatic cardiac dysfunction in chronic kidney disease. Nephrol. Dial. Transplant. 2018, 33, 450–458. [Google Scholar] [CrossRef]
- Dubinsky, S.; Malik, P.; Hajducek, D.M.; Edginton, A. Determining the Effects of Chronic Kidney Disease on Organic Anion Transporter1/3 Activity Through Physiologically Based Pharmacokinetic Modeling. Clin. Pharmacokinet. 2022, 61, 997–1012. [Google Scholar] [CrossRef] [PubMed]
- Maeda, K.; Ieiri, I.; Yasuda, K.; Fujino, A.; Fujiwara, H.; Otsubo, K.; Hirano, M.; Watanabe, T.; Kitamura, Y.; Kusuhara, H.; et al. Effects of organic anion transporting polypeptide 1B1 haplotype on pharmacokinetics of pravastatin, valsartan, and temocapril. Clin. Pharmacol. Ther. 2006, 79, 427–439. [Google Scholar] [CrossRef]
- US Food and Drug Administration LIVALO (Pitavastatin) Tablets. Available online: https://www.accessdata.fda.gov/drugsatfda_docs/nda/2009/022363s000TOC.cfm (accessed on 4 August 2024).
- Liu, Y.M.; Pu, H.H.; Liu, G.Y.; Jia, J.Y.; Weng, L.P.; Xu, R.J.; Li, G.X.; Wang, W.; Zhang, M.Q.; Lu, C.; et al. Pharmacokinetics and bioequivalence evaluation of two different atorvastatin calcium 10-mg tablets: A single-dose, randomized-sequence, open-label, two-period crossover study in healthy fasted Chinese adult males. Clin. Ther. 2010, 32, 1396–1407. [Google Scholar] [CrossRef] [PubMed]
- Guo, C.X.; Pei, Q.; Yin, J.Y.; Peng, X.D.; Zhou, B.T.; Zhao, Y.C.; Wu, L.X.; Meng, X.G.; Wang, G.; Li, Q.; et al. Effects of Ginkgo biloba extracts on pharmacokinetics and efficacy of atorvastatin based on plasma indices. Xenobiotica 2012, 42, 784–790. [Google Scholar] [CrossRef]
- Ma, L.; Dong, J.; Chen, X.J.; Wang, G.J. Development and Validation of Atorvastatin by LC–ESI–MS and Application in Bioequivalence Research in Healthy Chinese Volunteers. Chromatographia 2007, 65, 737–741. [Google Scholar] [CrossRef]
- Wan, Z.; Wang, G.; Li, T.; Xu, B.; Pei, Q.; Peng, Y.; Sun, H.; Cheng, L.; Zeng, Y.; Yang, G.; et al. Marked Alteration of Rosuvastatin Pharmacokinetics in Healthy Chinese with ABCG2 34G>A and 421C>A Homozygote or Compound Heterozygote. J. Pharmacol. Exp. Ther. 2015, 354, 310–315. [Google Scholar] [CrossRef] [PubMed]
- Wang, L.; Luan, Y.; Jia, C.; Xie, X.; Zhang, Z.; Xie, X.; Wang, Q.; Hu, C.; Xie, F.; Abdel-Moneim, M.; et al. Pharmacokinetic Interactions and Tolerability of Rosuvastatin and Ezetimibe: A Randomized, Phase 1, Crossover Study in Healthy Chinese Participants. Eur. J. Drug. Metab. Pharmacokinet. 2023, 48, 51–62. [Google Scholar] [CrossRef]
- Keskitalo, J.E.; Zolk, O.; Fromm, M.F.; Kurkinen, K.J.; Neuvonen, P.J.; Niemi, M. ABCG2 polymorphism markedly affects the pharmacokinetics of atorvastatin and rosuvastatin. Clin. Pharmacol. Ther. 2009, 86, 197–203. [Google Scholar] [CrossRef]
- Olkkola, K.T.; Backman, J.T.; Neuvonen, P.J. Midazolam should be avoided in patients receiving the systemic antimycotics ketoconazole or itraconazole. Clin. Pharmacol. Ther. 1994, 55, 481–485. [Google Scholar] [CrossRef]
- Naud, J.; Michaud, J.; Boisvert, C.; Desbiens, K.; Leblond, F.A.; Mitchell, A.; Jones, C.; Bonnardeaux, A.; Pichette, V. Down-regulation of intestinal drug transporters in chronic renal failure in rats. J. Pharmacol. Exp. Ther. 2007, 320, 978–985. [Google Scholar] [CrossRef]
- Kunze, A.; Huwyler, J.; Camenisch, G.; Poller, B. Prediction of organic anion-transporting polypeptide 1B1- and 1B3-mediated hepatic uptake of statins based on transporter protein expression and activity data. Drug. Metab. Dispos. 2014, 42, 1514–1521. [Google Scholar] [CrossRef]
- Hanke, N.; Gómez-Mantilla, J.D.; Ishiguro, N.; Stopfer, P.; Nock, V. Physiologically Based Pharmacokinetic Modeling of Rosuvastatin to Predict Transporter-Mediated Drug-Drug Interactions. Pharm. Res. 2021, 38, 1645–1661. [Google Scholar] [CrossRef]
- Dong, J.; Prieto Garcia, L.; Huang, Y.; Tang, W.; Lundahl, A.; Elebring, M.; Ahlström, C.; Vildhede, A.; Sjögren, E.; Någård, M. Understanding Statin-Roxadustat Drug-Drug-Disease Interaction Using Physiologically-Based Pharmacokinetic Modeling. Clin. Pharmacol. Ther. 2023, 114, 825–835. [Google Scholar] [CrossRef]
- Zhang, W.; Yu, B.N.; He, Y.J.; Fan, L.; Li, Q.; Liu, Z.Q.; Wang, A.; Liu, Y.L.; Tan, Z.R.; Fen, J.; et al. Role of BCRP 421C>A polymorphism on rosuvastatin pharmacokinetics in healthy Chinese males. Clin. Chim. Acta. 2006, 373, 99–103. [Google Scholar] [CrossRef] [PubMed]
- Yano, H.; Tamura, Y.; Kobayashi, K.; Tanemoto, M.; Uchida, S. Uric acid transporter ABCG2 is increased in the intestine of the 5/6 nephrectomy rat model of chronic kidney disease. Clin. Exp. Nephrol. 2014, 18, 50–55. [Google Scholar] [CrossRef] [PubMed]
- Lu, H.; Klaassen, C. Gender differences in mRNA expression of ATP-binding cassette efflux and bile acid transporters in kidney, liver, and intestine of 5/6 nephrectomized rats. Drug Metab. Dispos. 2008, 36, 16–23. [Google Scholar] [CrossRef] [PubMed]
- Vega, G.L.; Wang, J.; Grundy, S.M. Chronic kidney disease and statin eligibility. J. Clin. Lipidol. 2021, 15, 173–180. [Google Scholar] [CrossRef] [PubMed]
- Dicken, W.; Mehta, A.; Karagiannis, A.; Jain, V.; Vavuranakis, M.; Sperling, L.; Cassimatis, D. Statin associated muscle symptoms: An update and review. Prog. Cardiovasc. Dis. 2022, 75, 40–48. [Google Scholar] [CrossRef]
- Montastruc, J.L. Rhabdomyolysis and statins: A pharmacovigilance comparative study between statins. Br. J. Clin. Pharmacol. 2023, 89, 2636–2638. [Google Scholar] [CrossRef]
- Degraeve, A.L.; Bindels, L.B.; Haufroid, V.; Moudio, S.; Boland, L.; Delongie, K.A.; Dewulf, J.P.; Eddour, D.C.; Mourad, M.; Elens, L. Tacrolimus Pharmacokinetics is Associated with Gut Microbiota Diversity in Kidney Transplant Patients: Results from a Pilot Cross-Sectional Study. Clin. Pharmacol. Ther. 2024, 115, 104–115. [Google Scholar] [CrossRef] [PubMed]
- Degraeve, A.L.; Haufroid, V.; Loriot, A.; Gatto, L.; Andries, V.; Vereecke, L.; Elens, L.; Bindels, L.B. Gut microbiome modulates tacrolimus pharmacokinetics through the transcriptional regulation of ABCB1. Microbiome 2023, 11, 138. [Google Scholar] [CrossRef]
- Wilmanski, T.; Kornilov, S.A.; Diener, C.; Conomos, M.P.; Lovejoy, J.C.; Sebastiani, P.; Orwoll, E.S.; Hood, L.; Price, N.D.; Rappaport, N.; et al. Heterogeneity in statin responses explained by variation in the human gut microbiome. Med 2022, 3, 388–405.e6. [Google Scholar] [CrossRef]
- Yoo, D.H.; Kim, I.S.; Van Le, T.K.; Jung, I.H.; Yoo, H.H.; Kim, D.H. Gut microbiota-mediated drug interactions between lovastatin and antibiotics. Drug Metab. Dispos. 2014, 42, 1508–1513. [Google Scholar] [CrossRef]
- Takita, H.; Scotcher, D.; Chu, X.; Yee, K.L.; Ogungbenro, K.; Galetin, A. Coproporphyrin I as an Endogenous Biomarker to Detect Reduced OATP1B Activity and Shift in Elimination Route in Chronic Kidney Disease. Clin. Pharmacol. Ther. 2022, 112, 615–626. [Google Scholar] [CrossRef]
- Tan, S.P.F.; Willemin, M.E.; Snoeys, J.; Shen, H.; Rostami-Hodjegan, A.; Scotcher, D.; Galetin, A. Development of 4-Pyridoxic Acid PBPK Model to Support Biomarker-Informed Evaluation of OAT1/3 Inhibition and Effect of Chronic Kidney Disease. Clin. Pharmacol. Ther. 2023, 114, 1243–1253. [Google Scholar] [CrossRef]





| Physiological Parameter | Gender | Value |
|---|---|---|
| Demographic | ||
| Age-BH a | M | BH = 176.18 – 0.2623 × age + 0.0016 × age2 |
| F | BH = 161.15 – 0.1405 × age + 0.0005 × age2 | |
| BW-BH a | M | BW = exp(1.9619 + 0.01314 × BH) |
| F | BW = exp(2.442 + 0.01000 × BH) | |
| Kidney | ||
| Serum creatinine mean (CV%) a | M | Less than 50: 800 (38.4) Greater than 50: 674.74 (42.45) |
| F | Less than 30: 800 (27.85) Greater than 30: 666.80 (33.44) Greater than 60: 533.32 (34.01) | |
| Kidney-size parameters b | Volume Baseline: 5.7 BW coefficient: 1.04 BH coefficient: 29.8 CV%: 23.4 Density (g/L): 1050 | |
| GI tract | ||
| Gastric residence time (h) (CV%) c | Stomach (fasted): 0.80 Stomach (fed): 3.35 Colon: 30 | |
| Fluid and dissolved drug mean residence times for whole colon (h) (CV%) c | M | 36.72 |
| F | 50.14 | |
| Blood | ||
| Hematocrit (%) (CV%) d | M | 33.1 (17.18) |
| F | 32.7 (16.49) | |
| AGP (g/L) (CV%) d | M | 1.0388 (39.00) |
| F | 1.0948 (34.08) | |
| HSA (g/L) (CV%) d | M | 35.12 (27.38) |
| F | 34.43 (26.75) |
| Tissue | Chinese Healthy Volunteers | Chinese ESRD Patients | |||||||||
|---|---|---|---|---|---|---|---|---|---|---|---|
| AA or RA c | EM/T | PM/T | IM/T | UM/T | AA or RA | EM/T | PM/T | IM/T | UM/T | ||
| CYP3A4 | Liver | 120 | 1 | 0 | 0 | 0 | 120 | 1 | 0 | 0 | 0 |
| Intestine | 57.3 | 1 | 0 | 0 | 0 | 57.3 | 1 | 0 | 0 | 0 | |
| Colon | 2.58 | 1 | 0 | 0 | 0 | 2.58 | 1 | 0 | 0 | 0 | |
| OATP1B1 a | Liver | 3.1 | 0.584 | 0.21 | 0.4 | 0.81 | 3.1 | 0.146 | 0.0525 | 0.1 | 0.2025 |
| OATP1B3 a | Liver | 3.08 | 1 | 0 | 0 | 0 | 3.08 | 0.25 | 0 | 0 | 0 |
| P-gp | Liver | 0.246 | 1 | 0 | 0 | 0 | 0.246 | 1 | 0 | 0 | 0 |
| Jejunum | 0.4 | 1 | 0 | 0 | 0 | 0.4 | 0.66 | 0 | 0 | 0 | |
| BCRP | Ileum | 0.78 | 1 | 0.37 | 0.67 | 0 | 1.56 | 1 | 0.37 | 0.67 | 0 |
| Liver | 0.103 | 1 | 0.37 | 0.67 | 0 | 0.103 | 1 | 0.37 | 0.67 | 0 | |
| Renal | 0.120 | 1 | 0.37 | 0.67 | 0 | 0.120 | 1 | 0.37 | 0.67 | 0 | |
| OAT3 b | Renal | 1.320 | 1 | 0 | 0 | 0 | 1.320 | 0.246 | 0 | 0 | 0 |
Disclaimer/Publisher’s Note: The statements, opinions and data contained in all publications are solely those of the individual author(s) and contributor(s) and not of MDPI and/or the editor(s). MDPI and/or the editor(s) disclaim responsibility for any injury to people or property resulting from any ideas, methods, instructions or products referred to in the content. |
© 2025 by the authors. Licensee MDPI, Basel, Switzerland. This article is an open access article distributed under the terms and conditions of the Creative Commons Attribution (CC BY) license (https://creativecommons.org/licenses/by/4.0/).
Share and Cite
Wu, Y.; Kong, W.; Li, J.; Xiang, X.; Liang, H.; Liu, D. Development of PBPK Population Model for End-Stage Renal Disease Patients to Inform OATP1B-, BCRP-, P-gp-, and CYP3A4-Mediated Drug Disposition with Individual Influencing Factors. Pharmaceutics 2025, 17, 1078. https://doi.org/10.3390/pharmaceutics17081078
Wu Y, Kong W, Li J, Xiang X, Liang H, Liu D. Development of PBPK Population Model for End-Stage Renal Disease Patients to Inform OATP1B-, BCRP-, P-gp-, and CYP3A4-Mediated Drug Disposition with Individual Influencing Factors. Pharmaceutics. 2025; 17(8):1078. https://doi.org/10.3390/pharmaceutics17081078
Chicago/Turabian StyleWu, Yujie, Weijie Kong, Jiayu Li, Xiaoqiang Xiang, Hao Liang, and Dongyang Liu. 2025. "Development of PBPK Population Model for End-Stage Renal Disease Patients to Inform OATP1B-, BCRP-, P-gp-, and CYP3A4-Mediated Drug Disposition with Individual Influencing Factors" Pharmaceutics 17, no. 8: 1078. https://doi.org/10.3390/pharmaceutics17081078
APA StyleWu, Y., Kong, W., Li, J., Xiang, X., Liang, H., & Liu, D. (2025). Development of PBPK Population Model for End-Stage Renal Disease Patients to Inform OATP1B-, BCRP-, P-gp-, and CYP3A4-Mediated Drug Disposition with Individual Influencing Factors. Pharmaceutics, 17(8), 1078. https://doi.org/10.3390/pharmaceutics17081078

