Development of an Antimicrobial Coating Film for Denture Lining Materials
Abstract
1. Introduction
2. Materials and Methods
2.1. Synthesis of CPC-Mont
2.2. X-Ray Diffraction (XRD) Analysis of CPC–Montmorillonite
2.3. Evaluation of the Dispersibility of CPC–Montmorillonite Intercalation Compounds in Emulsions
2.4. Evaluation of the Sustained Release Behavior of CPC–Montmorillonite and the CPC Loading Behavior of Montmorillonite
2.5. Calculation of Activation Energy
2.6. Evaluation of the Sustained Release Behavior of CPC–Montmorillonite Dispersed in a Polymer
2.7. Evaluation of the CPC Loading Behavior in Films Containing Montmorillonite or CPC–Montmorillonite
2.8. Evaluation of the CPC Re-Release Behavior from Films Containing Dispersed Montmorillonite and CPC–Montmorillonite
2.9. Antimicrobial Test
2.9.1. Fabrication of Denture Disks and Surface Treatments
2.9.2. Cell Preparation
2.9.3. Microbial Growth
2.9.4. Statistical Analysis
2.10. Cytotoxicity Test
3. Results
3.1. Evaluation of CPC Loading onto Montmorillonite
3.2. X-Ray Diffraction Analysis of CPC–Montmorillonite
3.3. Evaluation of the Dispersion of CPC-Mont Intercalation Compounds in Emulsions
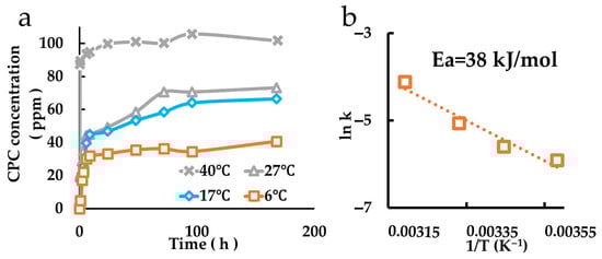
3.4. Evaluation of the Release Behavior of CPC-Mont Intercalation Compounds and the CPC Loading Behavior of Montmorillonite
3.5. Evaluation of CPC Loading Behavior in Montmorillonite
3.6. Fabrication of CPC-Mont Dispersed Film
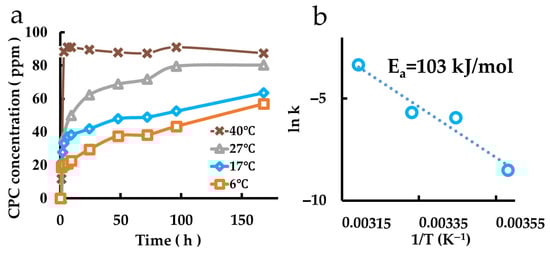
3.7. Evaluation of CPC Release Behavior from CPC-Mont Dispersed Emulsion Films
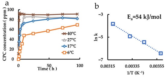
3.8. Evaluation of CPC Charge Behavior from Mont Dispersed Emulsion Films
3.9. Evaluation of CPC Charge Behavior from CPC Released CPC-Mont Dispersed Emulsion Films
3.10. Evaluation of the CPC Release Behavior of CPC Charged Mont and CPC-Mont Dispersed Film
3.11. Evaluation of the CPC Re-Release Behavior of CPC Recharged CPC-Mont Dispersed Film
3.12. Antimicrobial Test
3.13. Cytotoxicity Test
4. Discussion
5. Conclusions
Author Contributions
Funding
Institutional Review Board Statement
Data Availability Statement
Conflicts of Interest
References
- Stoopler, E.T.; Villa, A.; Bindakhil, M.; Díaz, D.L.O.; Sollecito, T.P. Common Oral Conditions: A Review. JAMA 2024, 331, 1045–1054. [Google Scholar] [CrossRef] [PubMed]
- Le Bars, P.; Kouadio, A.A.; Amouriq, Y.; Bodic, F.; Blery, P.; Bandiaky, O.N. Different Polymers for the Base of Removable Dentures? Part II: A Narrative Review of the Dynamics of Microbial Plaque Formation on Dentures. Polymers 2024, 16, 40. [Google Scholar] [CrossRef] [PubMed]
- McReynolds, D.E.; Moorthy, A.; Moneley, J.O.; Jabra-Rizk, M.A.; Sultan, A.S. Denture stomatitis-An interdisciplinary clinical review. J. Prosthodont. 2023, 32, 560–570. [Google Scholar] [CrossRef] [PubMed]
- Niesten, D.; Witter, D.J.; Bronkhorst, E.M.; Creugers, N.H.J. Oral health care behavior and frailty-related factors in a care-dependent older population. J. Dent. 2017, 61, 39–47. [Google Scholar] [CrossRef]
- Omerović, N.; Djisalov, M.; Živojević, K.; Mladenović, M.; Vunduk, J.; Milenković, I.; Knežević, N.Ž.; Gadjanski, I.; Vidić, J. Antimicrobial nanoparticles and biodegradable polymer composites for active food packaging applications. Compr. Rev. Food Sci. Food Saf. 2021, 20, 2428–2454. [Google Scholar] [CrossRef]
- Butler, J.; Handy, R.D.; Upton, M.; Besinis, A. Review of Antimicrobial Nanocoatings in Medicine and Dentistry: Mechanisms of Action, Biocompatibility Performance, Safety, and Benefits Compared to Antibiotics. ACS Nano 2023, 17, 7064–7092. [Google Scholar] [CrossRef]
- Matsuo, K.; Yoshihara, K.; Nagaoka, N.; Makita, Y.; Obika, Y.H.; Okihara, T.; Matsukawa, A.; Yoshida, Y.; Van Meerbeek, B. Rechargeable anti-microbial adhesive formulation containing cetylpyridinium chloride montmorillonite. Acta Biomater. 2019, 100, 388–397. [Google Scholar] [CrossRef]
- Rawson, T.M.; Wilson, R.C.; O’Hare, D.; Herrero, P.; Kambugu, A.; Lamorde, M.; Ellington, M.; Georgiou, P.; Cass, A.; Hope, W.W.; et al. Optimizing antimicrobial use: Challenges, advances and opportunities. Nat. Rev. Microbiol. 2021, 19, 747–758. [Google Scholar] [CrossRef]
- Mohd Farid, D.A.; Zahari, N.A.H.; Said, Z.; Ghazali, M.I.M.; Hao-Ern, L.; Mohamad Zol, S.; Aldhuwayhi, S.; Alauddin, M.S. Modification of Polymer Based Dentures on Biological Properties: Current Update, Status, and Findings. Int. J. Mol. Sci. 2022, 23, 10426. [Google Scholar] [CrossRef]
- Pavanello, L.; Cortês, I.T.; de Carvalho, R.D.P.; Picolo, M.Z.D.; Cavalli, V.; Silva, L.T.S.; Boaro, L.C.C.; Prokopovich, P.; Cogo-Müller, K. Physicochemical and biological properties of dental materials and formulations with silica nanoparticles: A narrative review. Dent. Mater. 2024, 40, 1729–1741. [Google Scholar] [CrossRef]
- Adnadjevic, B.; Jovanovic, J. A comparative kinetics study of isothermal drug release from poly(acrylic acid) and poly(acrylic-co-methacrylic acid) hydrogels. Colloids Surf. B Biointerfaces 2009, 69, 31–42. [Google Scholar] [CrossRef] [PubMed]
- Naoe, T.; Hasebe, A.; Horiuchi, R.; Makita, Y.; Okazaki, Y.; Yasuda, K.; Matsuo, K.; Yoshida, Y.; Tsuga, K.; Abe, Y.; et al. Development of tissue conditioner containing cetylpyridinium chloride montmorillonite as new antimicrobial agent: Pilot study on antimicrobial activity and biocompatibility. J. Prosthodont. Res. 2020, 64, 436–443. [Google Scholar] [CrossRef] [PubMed]
- Fathilah, A.R.; Himratul-Aznita, W.H.; Fatheen, A.R.; Suriani, K.R. The antifungal properties of chlorhexidine digluconate and cetylpyrinidinium chloride on oral Candida. J. Dent. 2012, 40, 609–615. [Google Scholar] [CrossRef] [PubMed]
- Mohapatra, S.; Mohandas, R.; Rajpurohit, L.; Patil, S. Comparative Evaluation of the Efficacy of Cetylpyridinium Chloride Mouthwash and Chlorhexidine Mouthwash in Plaque Reduction: A Systematic Review and Meta-analysis. Curr. Oral Health Rep. 2025, 12, 2. [Google Scholar] [CrossRef]
- Mao, X.; Auer, D.L.; Buchalla, W.; Hiller, K.A.; Maisch, T.; Hellwig, E.; Al-Ahmad, A.; Cieplik, F. Cetylpyridinium Chloride: Mechanism of Action, Antimicrobial Efficacy in Biofilms, and Potential Risks of Resistance. Antimicrob. Agents Chemother. 2020, 64, e00576-e20. [Google Scholar] [CrossRef]
- Freire, M.C.L.C.; Alexandrino, F.; Marcelino, H.R.; Picciani, P.H.S.; Silva, K.G.H.E.; Genre, J.; Oliveira, A.G.; Egito, E.S.T.D. Understanding Drug Release Data through Thermodynamic Analysis. Materials 2017, 10, 651. [Google Scholar] [CrossRef]
- Kozaki, R.; Sato, H.; Fujishima, A.; Sato, S.; Ohashi, H. Activation Energy for Diffusion of Cesium in Compacted Sodium Montmorillonite. J. Nucl. Sci. Technol. 1996, 33, 522–524. [Google Scholar] [CrossRef]
- Langa, G.P.J.; Muniz, F.W.M.G.; Costa, R.d.S.A.; da Silveira, T.M.; Rösing, C.K. The effect of cetylpyridinium chloride mouthrinse as adjunct to toothbrushing compared to placebo on interproximal plaque and gingival inflammation—A systematic review with meta-analyses. Clin. Oral Investig. 2021, 25, 745–757. [Google Scholar] [CrossRef]
- Subramanian, N.; Nielsen Lammers, L. Thermodynamics of ion exchange coupled with swelling reactions in hydrated clay minerals. J. Colloid Interface Sci. 2022, 608, 692–701. [Google Scholar] [CrossRef]
- Vila, T.; Sultan, A.S.; Montelongo-Jauregui, D.; Jabra-Rizk, M.A. Oral Candidiasis: A Disease of Opportunity. J. Fungi 2020, 6, 15. [Google Scholar] [CrossRef]
- Brown, G.D.; Ballou, E.R.; Bates, S.; Bignell, E.M.; Borman, A.M.; Brand, A.C.; Brown, A.J.P.; Coelho, C.; Cook, P.C.; Farrer, R.A.; et al. The pathobiology of human fungal infections. Nat. Rev. Microbiol. 2024, 22, 687–704. [Google Scholar] [CrossRef] [PubMed]
- Holmes, C.L.; Albin, O.R.; Mobley, H.L.T.; Bachman, M.A. Bloodstream infections: Mechanisms of pathogenesis and opportunities for intervention. Nat. Rev. Microbiol. 2025, 23, 210–224. [Google Scholar] [CrossRef] [PubMed]
- Zaongo, S.D.; Ouyang, J.; Isnard, S.; Zhou, X.; Harypursat, V.; Cui, H.; Routy, J.P.; Chen, Y. Candida albicans can foster gut dysbiosis and systemic inflammation during HIV infection. Gut Microbes 2023, 15, 2167171. [Google Scholar] [CrossRef] [PubMed]
- Kashyap, B.; Padala, S.R.; Kaur, G.; Kullaa, A. Candida albicans Induces Oral Microbial Dysbiosis and Promotes Oral Diseases. Microorganisms 2024, 12, 2138. [Google Scholar] [CrossRef]
- Ferro, A.C.; Spavieri, J.H.P.; Ribas, B.R.; Scabelo, L.; Jorge, J.H. Do denture cleansers influence the surface roughness and adhesion and biofilm formation of Candida albicans on acrylic resin? Systematic review and meta-analysis. J. Prosthodont. Res. 2023, 67, 164–172. [Google Scholar] [CrossRef]
- Mylonas, P.; Milward, P.; McAndrew, R. Denture cleanliness and hygiene: An overview. Br. Dent. J. 2022, 233, 20–26. [Google Scholar] [CrossRef]
- Okeke, C.A.V.; Khanna, R.; Ehrlich, A. Quaternary Ammonium Compounds and Contact Dermatitis: A Review and Considerations During the COVID-19 Pandemic. Clin. Cosmet. Investig. Dermatol. 2023, 16, 1721–1728. [Google Scholar] [CrossRef]













| Sample Name | Company | Component | Charge |
|---|---|---|---|
| AE-850 | Resonac Holdings Corporation, Tokyo, Japan | acrylic | nonionic |
| AE-803 | Resonac Holdings Corporation, Tokyo, Japan | acrylic | cationic |
| F-375 | Resonac Holdings Corporation, Tokyo, Japan | acrylic | anionic |
| KT-0507 | Unitika LTD., Osaka, Japan | polyester | anionic |
| KT-8701 | Unitika LTD., Osaka, Japan | polyester | anionic |
| Material | Polymer | Ea (kJ/mol) |
|---|---|---|
| CPC-Mont | - | 38 |
| CPC-Mont Film | AE-850 | 103 |
| CPC Charge Mont Film | AE-850 | 71 |
| CPC Recharge CPC-Mont Film | AE-850 | 51 |
| Material | Polymer | Ea (kJ/mol) |
|---|---|---|
| CPC-Mont | - | 26 |
| Mont Film | AE-850 | 54 |
| CPC Released CPC-Mont Film | AE-850 | 36 |
Disclaimer/Publisher’s Note: The statements, opinions and data contained in all publications are solely those of the individual author(s) and contributor(s) and not of MDPI and/or the editor(s). MDPI and/or the editor(s) disclaim responsibility for any injury to people or property resulting from any ideas, methods, instructions or products referred to in the content. |
© 2025 by the authors. Licensee MDPI, Basel, Switzerland. This article is an open access article distributed under the terms and conditions of the Creative Commons Attribution (CC BY) license (https://creativecommons.org/licenses/by/4.0/).
Share and Cite
Yoshihara, K.; Kameyama, T.; Nagaoka, N.; Maruo, Y.; Yoshida, Y.; Van Meerbeek, B.; Okihara, T. Development of an Antimicrobial Coating Film for Denture Lining Materials. Pharmaceutics 2025, 17, 902. https://doi.org/10.3390/pharmaceutics17070902
Yoshihara K, Kameyama T, Nagaoka N, Maruo Y, Yoshida Y, Van Meerbeek B, Okihara T. Development of an Antimicrobial Coating Film for Denture Lining Materials. Pharmaceutics. 2025; 17(7):902. https://doi.org/10.3390/pharmaceutics17070902
Chicago/Turabian StyleYoshihara, Kumiko, Takeru Kameyama, Noriyuki Nagaoka, Yukinori Maruo, Yasuhiro Yoshida, Bart Van Meerbeek, and Takumi Okihara. 2025. "Development of an Antimicrobial Coating Film for Denture Lining Materials" Pharmaceutics 17, no. 7: 902. https://doi.org/10.3390/pharmaceutics17070902
APA StyleYoshihara, K., Kameyama, T., Nagaoka, N., Maruo, Y., Yoshida, Y., Van Meerbeek, B., & Okihara, T. (2025). Development of an Antimicrobial Coating Film for Denture Lining Materials. Pharmaceutics, 17(7), 902. https://doi.org/10.3390/pharmaceutics17070902

