Physiologically-Based Biopharmaceutics Modeling for Ibuprofen: Identifying Key Formulation Parameter and Virtual Bioequivalence Assessment
Abstract
1. Introduction
2. Materials and Methods
2.1. PBPK Model Variability Optimization
2.2. PBBM Model Development and Verification
2.3. PBBM/PBPK Framework Application
3. Results
3.1. PBPK Model Variability Optimization
3.2. PBBM Model Development and Verification
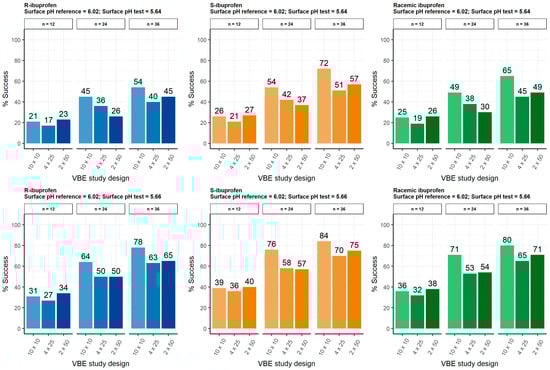
3.3. PBBM Model Application
4. Discussion
5. Conclusions
Supplementary Materials
Author Contributions
Funding
Institutional Review Board Statement
Informed Consent Statement
Data Availability Statement
Conflicts of Interest
Abbreviations
| ADAM | Advanced Dissolution, Absorption, and Metabolism |
| ADME | Absorption, distribution, metabolism, and excretion |
| BCS | Biopharmaceutics Classification System |
| BE | Bioequivalence |
| BSV | Between-subject variability |
| CI | Confidence interval |
| Cmax | Maximum concentration |
| CV (%) | Coefficient of variation |
| DLM | Diffusion layer model |
| GI | Gastrointestinal |
| GSA | Global sensitivity analysis |
| IV | Intravenous |
| IVIV | In vitro–in vivo |
| MB7 | Maleate buffer 7 mM |
| MRT | Mean residence time |
| PB5 | Phosphate buffer 5 mM |
| PB50 | Phosphate buffer 50 mM |
| PBBM | Physiologically based biopharmaceutics model(ing) |
| PBPK | Physiologically based pharmacokinetic |
| PE | Prediction error |
| PK | Pharmacokinetic |
| SI | Small intestine |
| SIVA | SimCyp® In Vitro Data Analysis toolkit |
| T/R | Test/reference |
| VBE | Virtual bioequivalence |
| Vss | Steady-state volume of distribution |
| WSV | Within-subject variability |
References
- Krishnaswami, S.; Austin, D.; Della Pasqua, O.; Gastonguay, M.R.; Gobburu, J.; van der Graaf, P.H.; Ouellet, D.; Tannenbaum, S.; Visser, S.A.G. MID3: Mission Impossible or Model-Informed Drug Discovery and Development? Point-Counterpoint Discussions on Key Challenges. Clin. Pharmacol. Ther. 2020, 107, 762–772. [Google Scholar] [CrossRef] [PubMed]
- Manolis, E.; Brogren, J.; Cole, S.; Hay, J.L.; Nordmark, A.; Karlsson, K.E.; Lentz, F.; Benda, N.; Wangorsch, G.; Pons, G.; et al. Commentary on the MID3 Good Practices Paper. CPT Pharmacomet. Syst. Pharmacol. 2017, 6, 416–417. [Google Scholar] [CrossRef]
- Zhang, F.; Jia, R.; Gao, H.; Wu, X.; Liu, B.; Wang, H. In Silico Modeling and Simulation to Guide Bioequivalence Testing for Oral Drugs in a Virtual Population. Clin. Pharmacokinet. 2021, 60, 1373–1385. [Google Scholar] [CrossRef]
- Loisios-Konstantinidis, I.; Dressman, J. Physiologically Based Pharmacokinetic/Pharmacodynamic Modeling to Support Waivers of In Vivo Clinical Studies: Current Status, Challenges, and Opportunities. Mol. Pharm. 2021, 18, 1–17. [Google Scholar] [CrossRef]
- Madabushi, R.; Seo, P.; Zhao, L.; Tegenge, M.; Zhu, H. Review: Role of Model-Informed Drug Development Approaches in the Lifecycle of Drug Development and Regulatory Decision-Making. Pharm. Res. 2022, 39, 1669–1680. [Google Scholar] [CrossRef] [PubMed]
- Santos, L.G.A.; Jaiswal, S.; Chen, K.-F.; Jones, H.M.; Templeton, I.E. Real-World Application of Physiologically Based Pharmacokinetic Models in Drug Discovery. Drug Metab. Dispos. 2025, 53, 100015. [Google Scholar] [CrossRef]
- Reig-López, J.; Merino-Sanjuan, M.; García-Arieta, A.; Mangas-Sanjuán, V. A Physiologically Based Pharmacokinetic Model for Open Acid and Lactone Forms of Atorvastatin and Metabolites to Assess the Drug-Gene Interaction with SLCO1B1 Polymorphisms. Biomed. Pharmacother. 2022, 156, 113914. [Google Scholar] [CrossRef]
- Wu, F.; Mousa, Y.; Raines, K.; Bode, C.; Tsang, Y.C.; Cristofoletti, R.; Zhang, H.; Heimbach, T.; Fang, L.; Kesisoglou, F.; et al. Regulatory Utility of Physiologically-Based Pharmacokinetic Modeling to Support Alternative Bioequivalence Approaches and Risk Assessment: A Workshop Summary Report. CPT Pharmacomet. Syst. Pharmacol. 2023, 12, 585–597. [Google Scholar] [CrossRef]
- Grimstein, M.; Yang, Y.; Zhang, X.; Grillo, J.; Huang, S.M.; Zineh, I.; Wang, Y. Physiologically Based Pharmacokinetic Modeling in Regulatory Science: An Update From the U.S. Food and Drug Administration’s Office of Clinical Pharmacology. J. Pharm. Sci. 2019, 108, 21–25. [Google Scholar] [CrossRef]
- Rostami-Hodjegan, A.; Tucker, G.T. Simulation and Prediction of in Vivo Drug Metabolism in Human Populations from in Vitro Data. Nat. Rev. Drug Discov. 2007, 6, 140–148. [Google Scholar] [CrossRef]
- Rodgers, T.; Rowland, M. Physiologically-based Pharmacokinetic Modeling 2: Predicting the Tissue Distribution of Acids, Very Weak Bases, Neutrals and Zwitterions. J. Pharm. Sci. 2007, 96, 3153–3154. [Google Scholar] [CrossRef]
- Rodgers, T.; Leahy, D.; Rowland, M. Physiologically Based Pharmacokinetic Modeling 1: Predicting the Tissue Distribution of Moderate-to-strong Bases. J. Pharm. Sci. 2007, 96, 3151–3152. [Google Scholar] [CrossRef]
- Jamei, M.; Turner, D.; Yang, J.; Neuhoff, S.; Polak, S.; Rostami-Hodjegan, A.; Tucker, G. Population-Based Mechanistic Prediction of Oral Drug Absorption. AAPS J. 2009, 11, 225. [Google Scholar] [CrossRef]
- Heimbach, T.; Suarez-Sharp, S.; Kakhi, M.; Holmstock, N.; Olivares-Morales, A.; Pepin, X.; Sjögren, E.; Tsakalozou, E.; Seo, P.; Li, M.; et al. Dissolution and Translational Modeling Strategies Toward Establishing an In Vitro-In Vivo Link—A Workshop Summary Report. AAPS J. 2019, 21, 29. [Google Scholar] [CrossRef]
- Mackie, C.; Arora, S.; Seo, P.; Moody, R.; Rege, B.; Pepin, X.; Heimbach, T.; Tannergren, C.; Mitra, A.; Suarez-Sharp, S.; et al. Physiologically Based Biopharmaceutics Modeling (PBBM): Best Practices for Drug Product Quality, Regulatory and Industry Perspectives: 2023 Workshop Summary Report. Mol. Pharm. 2024, 21, 2065–2080. [Google Scholar] [CrossRef] [PubMed]
- Anand, O.; Pepin, X.J.H.; Kolhatkar, V.; Seo, P. The Use of Physiologically Based Pharmacokinetic Analyses-in Biopharmaceutics Applications-Regulatory and Industry Perspectives. Pharm. Res. 2022, 39, 1681–1700. [Google Scholar] [CrossRef]
- Tannergren, C.; Arora, S.; Babiskin, A.; Borges, L.; Chatterjee, P.; Cheng, Y.H.; Dallmann, A.; Govada, A.; Heimbach, T.; Hingle, M.; et al. Current State and New Horizons in Applications of Physiologically Based Biopharmaceutics Modeling (PBBM): A Workshop Report. Mol. Pharm. 2025, 22, 5–27. [Google Scholar] [CrossRef] [PubMed]
- Bego, M.; Patel, N.; Cristofoletti, R.; Rostami-Hodjegan, A. Proof of Concept in Assignment of Within-Subject Variability During Virtual Bioequivalence Studies: Propagation of Intra-Subject Variation in Gastrointestinal Physiology Using Physiologically Based Pharmacokinetic Modeling. AAPS J. 2022, 24, 21. [Google Scholar] [CrossRef]
- Laisney, M.; Heimbach, T.; Mueller-Zsigmondy, M.; Blumenstein, L.; Costa, R.; Ji, Y. Physiologically Based Biopharmaceutics Modeling to Demonstrate Virtual Bioequivalence and Bioequivalence Safe-Space for Ribociclib Which Has Permeation Rate-Controlled Absorption. J. Pharm. Sci. 2022, 111, 274–284. [Google Scholar] [CrossRef]
- Wu, D.; Sanghavi, M.; Kollipara, S.; Ahmed, T.; Saini, A.K.; Heimbach, T. Physiologically Based Pharmacokinetics Modeling in Biopharmaceutics: Case Studies for Establishing the Bioequivalence Safe Space for Innovator and Generic Drugs. Pharm. Res. 2023, 40, 337–357. [Google Scholar] [CrossRef]
- Bhattiprolu, A.K.; Kollipara, S.; Ahmed, T.; Boddu, R.; Chachad, S. Utility of Physiologically Based Biopharmaceutics Modeling (PBBM) in Regulatory Perspective: Application to Supersede F2, Enabling Biowaivers & Creation of Dissolution Safe Space. J. Pharm. Sci. 2022, 111, 3397–3410. [Google Scholar] [CrossRef] [PubMed]
- Rudolph, N.; Charbe, N.; Plano, D.; Al Shoyaib, A.; Pal, A.; Boyce, H.; Zhao, L.; Wu, F.; Polli, J.; Dressman, J.; et al. A Physiologically Based Biopharmaceutics Modeling (PBBM) Framework for Characterizing Formulation-Dependent Food Effects: Paving the Road towards Fed Virtual BE Studies for Itraconazole Amorphous Solid Dispersions. Eur. J. Pharm. Sci. 2025, 107047. [Google Scholar] [CrossRef]
- Potthast, H.; Dressman, J.B.; Junginger, H.E.; Midha, K.K.; Oeser, H.; Shah, V.P.; Vogelpoel, H.; Barends, D.M. Biowaiver Monographs for Immediate Release Solid Oral Dosage Forms: Ibuprofen. J. Pharm. Sci. 2005, 94, 2121–2131. [Google Scholar] [CrossRef]
- García-Arieta, A.; Gordon, J.; Potthast, H. On the Biopharmaceutics Classification System Biowaiver of Ibuprofen. J. Pharm. Sci. 2015, 104, 2429–2432. [Google Scholar] [CrossRef]
- Tsume, Y.; Langguth, P.; Garcia-Arieta, A.; Amidon, G.L. In Silico Prediction of Drug Dissolution and Absorption with Variation in Intestinal PH for BCS Class II Weak Acid Drugs: Ibuprofen and Ketoprofen. Biopharm. Drug Dispos. 2012, 33, 366–377. [Google Scholar] [CrossRef] [PubMed]
- Bermejo, M.; Hens, B.; Dickens, J.; Mudie, D.; Paixão, P.; Tsume, Y.; Shedden, K.; Amidon, G.L. A Mechanistic Physiologically-Based Biopharmaceutics Modeling (PBBM) Approach to Assess the In Vivo Performance of an Orally Administered Drug Product: From IVIVC to IVIVP. Pharmaceutics 2020, 12, 74. [Google Scholar] [CrossRef] [PubMed]
- Reig-López, J.; Cuquerella-Gilabert, M.; Bandín-Vilar, E.; Merino-Sanjuán, M.; Mangas-Sanjuán, V.; García-Arieta, A. Bioequivalence Risk Assessment of Oral Formulations Containing Racemic Ibuprofen through a Chiral Physiologically Based Pharmacokinetic Model of Ibuprofen Enantiomers. Eur. J. Pharm. Biopharm. 2024, 199, 114293. [Google Scholar] [CrossRef]
- Cristofoletti, R.; Dressman, J.B. Bridging the Gap Between In Vitro Dissolution and the Time Course of Ibuprofen-Mediating Pain Relief. J. Pharm. Sci. 2016, 105, 3658–3667. [Google Scholar] [CrossRef]
- Cámara-Martinez, I.; Blechar, J.A.; Ruiz-Picazo, A.; Garcia-Arieta, A.; Calandria, C.; Merino-Sanjuan, V.; Langguth, P.; Gonzalez-Alvarez, M.; Bermejo, M.; Al-Gousous, J.; et al. Level A IVIVC for Immediate Release Tablets Confirms In Vivo Predictive Dissolution Testing for Ibuprofen. Int. J. Pharm. 2022, 614, 121415. [Google Scholar] [CrossRef]
- Morris, M.D. Factorial Sampling Plans for Preliminary Computational Experiments. Technometrics 1991, 33, 161–174. [Google Scholar] [CrossRef]
- Melillo, N.; Grandoni, S.; Cesari, N.; Brogin, G.; Puccini, P.; Magni, P. Inter-Compound and Intra-Compound Global Sensitivity Analysis of a Physiological Model for Pulmonary Absorption of Inhaled Compounds. AAPS J. 2020, 22, 116. [Google Scholar] [CrossRef] [PubMed]
- Wang, J.; Flanagan, D.R. General Solution for Diffusion-Controlled Dissolution of Spherical Particles. 1. Theory. J. Pharm. Sci. 1999, 88, 731–738. [Google Scholar] [CrossRef] [PubMed]
- Wang, J.; Flanagan, D.R. General Solution for Diffusion-Controlled Dissolution of Spherical Particles. 2. Evaluation of Experimental Data. J. Pharm. Sci. 2002, 91, 534–542. [Google Scholar] [CrossRef]
- Kesharwani, S.S.; Louit, G.; Ibrahim, F. The Use of Global Sensitivity Analysis to Assess the Oral Absorption of Weakly Basic Compounds: A Case Example of Dipyridamole. Pharm. Res. 2024, 41, 877–890. [Google Scholar] [CrossRef] [PubMed]
- Julious, S.A. Sample Sizes for Clinical Trials with Normal Data. Stat. Med. 2004, 23, 1921–1986. [Google Scholar] [CrossRef] [PubMed]
- Álvarez, C.; Núñez, I.; Torrado, J.J.; Gordon, J.; Potthast, H.; García-Arieta, A. Investigation on the Possibility of Biowaivers for Ibuprofen. J. Pharm. Sci. 2011, 100, 2343–2349. [Google Scholar] [CrossRef]
- Mooney, K.G.; Mintun, M.A.; Himmelstein, K.J.; Stella, V.J. Dissolution Kinetics of Carboxylic Acids II: Effect of Buffers. J. Pharm. Sci. 1981, 70, 22–32. [Google Scholar] [CrossRef]
- Ozturk, S.S.; Palsson, B.O.; Dressman, J.B. Dissolution of Ionizable Drugs in Buffered and Unbuffered Solutions. Pharm. Res. 1988, 5, 272–282. [Google Scholar] [CrossRef]
- Hens, B.; Seegobin, N.; Bermejo, M.; Tsume, Y.; Clear, N.; McAllister, M.; Amidon, G.E.; Amidon, G.L. Dissolution Challenges Associated with the Surface PH of Drug Particles: Integration into Mechanistic Oral Absorption Modeling. AAPS J. 2022, 24, 17. [Google Scholar] [CrossRef]
- Kollipara, S.; Martins, F.S.; Jereb, R.; Krajcar, D.; Ahmed, T. Advancing Virtual Bioequivalence for Orally Administered Drug Products: Methodology, Real-World Applications and Future Outlook. Pharmaceuticals 2024, 17, 876. [Google Scholar] [CrossRef]
- Loisios-Konstantinidis, I.; Cristofoletti, R.; Fotaki, N.; Turner, D.B.; Dressman, J. Establishing Virtual Bioequivalence and Clinically Relevant Specifications Using in Vitro Biorelevant Dissolution Testing and Physiologically-Based Population Pharmacokinetic Modeling. Case Example: Naproxen. Eur. J. Pharm. Sci. 2020, 143, 105170. [Google Scholar] [CrossRef] [PubMed]
- Heimbach, T.; Musuamba Tshinanu, F.; Raines, K.; Borges, L.; Kijima, S.; Malamatari, M.; Moody, R.; Veerasingham, S.; Seo, P.; Turner, D.; et al. PBBM Considerations for Base Models, Model Validation, and Application Steps: Workshop Summary Report. Mol. Pharm. 2024, 21, 5353–5372. [Google Scholar] [CrossRef] [PubMed]




| Selected Parameter | Variation (CV (%)) | Minimum Limit | Parameter Value | Maximum Limit |
|---|---|---|---|---|
| Fasted MRT stomach fluid * | 150 | 0.01 | 0.12 | 12 |
| Fasted MRT SI fluid * | 150 | 0.5 | 3.4 | 12 |
| pH fasted duodenum | 16 | 0 | 6.4 | 15 |
| pH fasted jejunum 1 | 13 | 0 | 6.5 | 15 |
| pH fasted jejunum 2 | 11 | 0 | 6.6 | 15 |
| pH fasted ileum 1 | 10 | 0 | 6.8 | 15 |
| pH fasted ileum 2 | 10 | 0 | 7 | 15 |
| pH fasted ileum 3 | 7 | 0 | 7.1 | 15 |
| pH fasted ileum 4 | 6 | 0 | 7.3 | 15 |
| pH fasted colon | 13 | 3.18 | 6.6 | 9.8 |
| Initial volume of stomach fluid fasted | 30 | 20 | 50 | 1000 |
| Total Jej1 Ile4 volume fasted | 30 | 10 | 105 | 1000 |
| Colon volume fasted | 0 | 1 | 13 | 250 |
| Vss (user input) treatment 1 * | 10 | 0.05 | 0.091249 | 1000 |
| Vss (user input) treatment 2 * | 10 | 0.05 | 0.091249 | 1000 |
| Fasted MRT stomach fine particles treatment 1 * | 150 | 0.01 | 0.27 | 12 |
| Fasted MRT SI fine particles treatment 1 * | 150 | 0.5 | 3.4 | 12 |
| Fasted MRT stomach fine particles treatment 2 * | 150 | 0.01 | 0.27 | 12 |
| Fasted MRT SI fine particles treatment 2 * | 150 | 0.5 | 3.4 | 12 |
| Variability | Enantiomer | IV | Solution | Suspension | Soft Gelatin Capsules | Tablets | |||||
|---|---|---|---|---|---|---|---|---|---|---|---|
| Obs | Pred | Obs | Pred | Obs | Pred | Obs | Pred | Obs | Pred | ||
| WSV | R | 15.63 | 16.73 | 15.63 | 19.73 | 14.25 | 14.65 | 16.05 | 15.55 | 14.90 | 15.83 |
| S | 16.93 | 17.98 | 16.93 | 20.05 | 13.35 | 14.95 | 16.00 | 15.55 | 12.15 | 16.60 | |
| BSV | R | 17.05 | 16.63 | 22.03 | 23.68 | 25.10 | 23.30 | 18.20 | 23.80 | 21.90 | 19.93 |
| S | 16.23 | 19.43 | 19.38 | 24.55 | 22.30 | 22.70 | 18.35 | 23.35 | 20.40 | 21.67 | |
| Pretreatment | Treatment | Reference Product | Test Product | |||||||
|---|---|---|---|---|---|---|---|---|---|---|
| Medium | pH | Particle Surface pH | r2 | Cmax PE | Δ tmax (%) | Particle Surface pH | r2 | Cmax PE | Δ tmax (%) | |
| None | PB50 | 6.8 | 5.71 | 0.93 | 0.96 | 50 | 5.85 | 0.95 | 1.14 | −40 |
| HCl (pH 1.2) | PB50 | 6.8 | 6.29 * | 0.91 | 1.13 | 25 | 6.25 * | 0.95 | 1.24 | −50 |
| HCl (pH 2.0) | PB50 | 6.8 | 6.30 * | 0.94 | 1.13 | 25 | 6.20 * | 0.95 | 1.24 | −50 |
| None | PB5 | 6.7 | 5.81 | 0.97 | 1.01 | 50 | 5.58 | 0.96 | 0.99 | −30 |
| HCl (pH 1.2) | PB5 | 6.7 | 6.28 * | 0.92 | 1.13 | 25 | 5.30 * | 0.96 | 0.80 | −7 |
| HCl (pH 2.0) | PB5 | 6.7 | 6.25 * | 1.00 | 1.12 | 25 | 5.42 * | 0.95 | 0.89 | −20 |
| None | MB7 | 6.5 | 5.64 | 0.97 | 0.93 | 75 | 5.40 | 0.91 | 0.87 | −20 |
| HCl (pH 1.2) | MB7 | 6.5 | 6.33 * | 0.94 | 1.13 | 25 | 5.49 * | 0.95 | 0.93 | −20 |
| HCl (pH 2.0) | MB7 | 6.5 | 6.02 * | 0.99 | 1.09 | 25 | 5.57 * | 0.98 | 0.98 | −30 |
| Enantiomer | Test Product Particle Surface pH | Predicted | Calculated Sample Size | Calculated 90% CI | ||
|---|---|---|---|---|---|---|
| Cmax GMR | 80% Power | 90% Power | LL | UL | ||
| R-ibuprofen | 5.64 | 84.00 | 114 | 158 | 81.31 | 86.78 |
| R-ibuprofen | 5.66 | 85.00 | 74 | 104 | 81.62 | 88.52 |
| R-ibuprofen | 5.70 | 87.00 | 40 | 54 | 82.28 | 92.00 |
| R-ibuprofen | 5.75 | 90.00 | 20 | 28 | 82.98 | 97.61 |
| R-ibuprofen | 5.80 | 93.00 | 12 | 18 | 83.35 | 103.77 |
| R-ibuprofen | 5.85 | 95.00 | 10 | 14 | 83.99 | 107.45 |
| S-ibuprofen | 5.64 | 85.00 | 64 | 88 | 81.66 | 88.48 |
| S-ibuprofen | 5.66 | 86.00 | 44 | 62 | 81.91 | 90.29 |
| S-ibuprofen | 5.70 | 87.00 | 34 | 46 | 82.28 | 91.99 |
| S-ibuprofen | 5.73 | 90.00 | 18 | 24 | 83.16 | 97.40 |
| S-ibuprofen | 5.80 | 93.00 | 12 | 14 | 84.11 | 102.84 |
| S-ibuprofen | 5.84 | 95.00 | 8 | 12 | 83.25 | 108.41 |
Disclaimer/Publisher’s Note: The statements, opinions and data contained in all publications are solely those of the individual author(s) and contributor(s) and not of MDPI and/or the editor(s). MDPI and/or the editor(s) disclaim responsibility for any injury to people or property resulting from any ideas, methods, instructions or products referred to in the content. |
© 2025 by the authors. Licensee MDPI, Basel, Switzerland. This article is an open access article distributed under the terms and conditions of the Creative Commons Attribution (CC BY) license (https://creativecommons.org/licenses/by/4.0/).
Share and Cite
Zarzoso-Foj, J.; Cuquerella-Gilabert, M.; Merino-Sanjuan, M.; Reig-Lopez, J.; Mangas-Sanjuán, V.; Garcia-Arieta, A. Physiologically-Based Biopharmaceutics Modeling for Ibuprofen: Identifying Key Formulation Parameter and Virtual Bioequivalence Assessment. Pharmaceutics 2025, 17, 408. https://doi.org/10.3390/pharmaceutics17040408
Zarzoso-Foj J, Cuquerella-Gilabert M, Merino-Sanjuan M, Reig-Lopez J, Mangas-Sanjuán V, Garcia-Arieta A. Physiologically-Based Biopharmaceutics Modeling for Ibuprofen: Identifying Key Formulation Parameter and Virtual Bioequivalence Assessment. Pharmaceutics. 2025; 17(4):408. https://doi.org/10.3390/pharmaceutics17040408
Chicago/Turabian StyleZarzoso-Foj, Javier, Marina Cuquerella-Gilabert, Matilde Merino-Sanjuan, Javier Reig-Lopez, Víctor Mangas-Sanjuán, and Alfredo Garcia-Arieta. 2025. "Physiologically-Based Biopharmaceutics Modeling for Ibuprofen: Identifying Key Formulation Parameter and Virtual Bioequivalence Assessment" Pharmaceutics 17, no. 4: 408. https://doi.org/10.3390/pharmaceutics17040408
APA StyleZarzoso-Foj, J., Cuquerella-Gilabert, M., Merino-Sanjuan, M., Reig-Lopez, J., Mangas-Sanjuán, V., & Garcia-Arieta, A. (2025). Physiologically-Based Biopharmaceutics Modeling for Ibuprofen: Identifying Key Formulation Parameter and Virtual Bioequivalence Assessment. Pharmaceutics, 17(4), 408. https://doi.org/10.3390/pharmaceutics17040408

