Preparation and Characterization of Polymeric Microparticles Based on Poly(ethylene brassylate-co-squaric Acid) Loaded with Norfloxacin
Abstract
1. Introduction
2. Materials and Methods
2.1. Materials
2.2. Synthesis of the Copolymer
2.3. Preparation of NRF-Loaded Microparticles
2.4. Copolymer Characterization
2.4.1. Polymacrolactone Molecular Weight
2.4.2. Structural Analyses
2.4.3. Thermal Analysis
2.5. Characterization of Bioactive Microparticles
2.5.1. Dynamic Light Scattering (DLS) Measurements
2.5.2. Morphological Characterization
2.5.3. NRF Loading
2.5.4. In Vitro Drug Release Studies
2.5.5. Antimicrobial Activity
2.5.6. In Vitro Cytocompatibility
2.6. Statistical Analysis
3. Results and Discussion
3.1. Characterization of the Copolymer
3.1.1. Structural Characterization
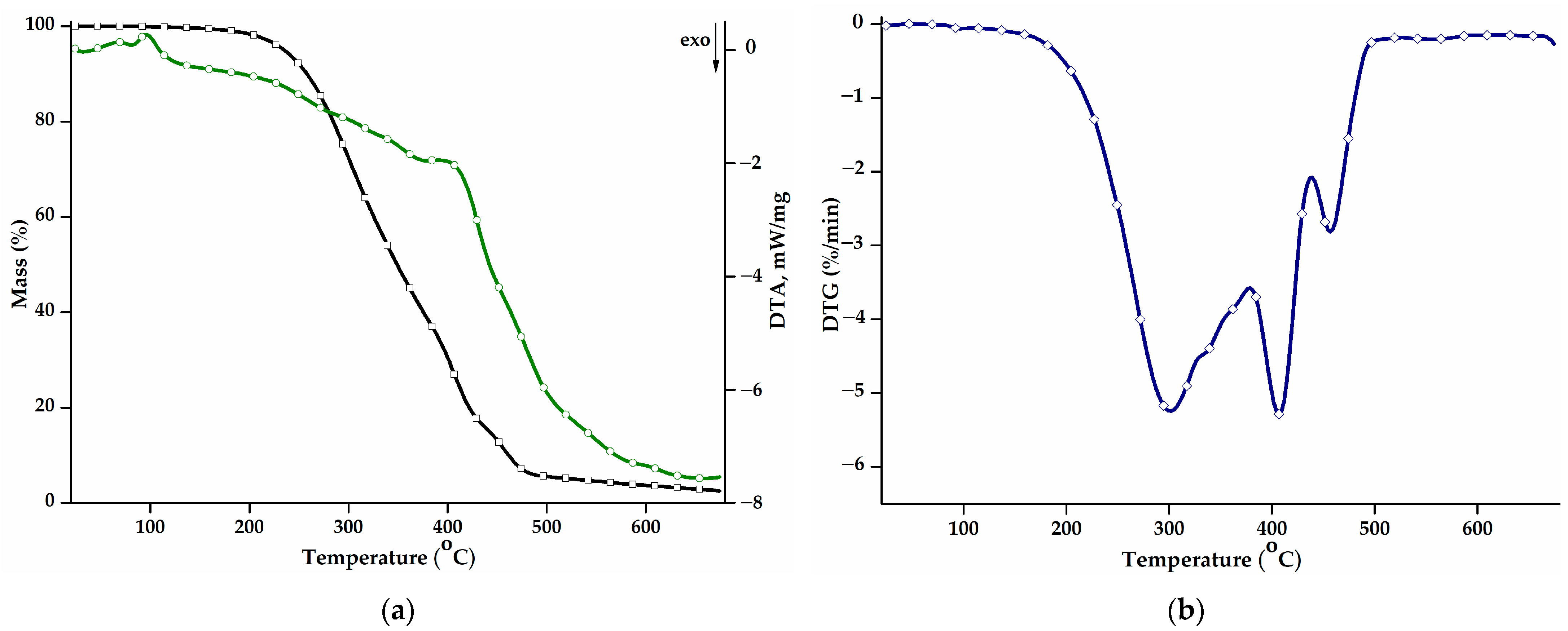
3.1.2. Thermal Characterization
3.2. Characterization of Bioactive Microparticles
3.2.1. FTIR Characterization
3.2.2. DLS Investigations
3.2.3. Morphological Characterization
3.2.4. Norfloxacin Loading and In Vitro Release Studies
3.2.5. Antimicrobial Activity
3.2.6. In Vitro Cytocompatibility
4. Conclusions
Author Contributions
Funding
Informed Consent Statement
Data Availability Statement
Conflicts of Interest
References
- Crucho, C.I.C.; Barros, M.T. Polymeric Nanoparticles: A Study on the Preparation Variables and Characterization Methods. Mater. Sci. Eng. C-Mater. Biol. Appl. 2017, 80, 771–784. [Google Scholar] [CrossRef] [PubMed]
- Mamidi, N.; Delgadillo, R.M.V. Design, Fabrication and Drug Release Potential of Dual Stimuli-Responsive Composite Hydrogel Nanoparticle Interfaces. Colloids Surf. B 2021, 204, 111819. [Google Scholar] [CrossRef] [PubMed]
- Sana, S.S.; Arla, S.K.; Badineni, V.; Boya, V.K.N. Development of Poly (Acrylamide-Co-Diallyldimethylammoniumchloride) Nanogels and Study of Their Ability as Drug Delivery Devices. SN Appl. Sci. 2019, 1, 1716. [Google Scholar] [CrossRef]
- Gracias, S.; Ayyanar, M.; Peramaiyan, G.; Kalaskar, M.; Redasani, V.; Gurav, N.; Nadaf, S.; Deshpande, M.; Bhole, R.; Khan, M.S.; et al. Fabrication of Chitosan Nanocomposites Loaded with Biosynthetic Metallic Nanoparticles and Their Therapeutic Investigation. Environ. Res. 2023, 234, 116609. [Google Scholar] [CrossRef] [PubMed]
- Dong, Z.; Xie, S.; Zhu, L.; Wang, Y.; Wang, X.; Zhou, W. Preparation and in Vitro, in Vivo Evaluations of Norfloxacin-Loaded Solid Lipid Nanopartices for Oral Delivery. Drug Deliv. 2011, 18, 441–450. [Google Scholar] [CrossRef] [PubMed]
- Khan, M.A.; Khan, S.; Kazi, M.; Alshehri, S.M.; Shahid, M.; Khan, S.U.; Hussain, Z.; Sohail, M.; Shafique, M.; Hamid, H.A.; et al. Norfloxacin Loaded Lipid Polymer Hybrid Nanoparticles for Oral Administration: Fabrication, Characterization, In Sil-ico Modelling and Toxicity Evaluation. Pharmaceutics 2021, 13, 1632. [Google Scholar] [CrossRef]
- Gawas, G.; Ayyanar, M.; Gurav, N.; Hase, D.; Murade, V.; Nadaf, S.; Khan, M.S.; Chikhale, R.; Kalaskar, M.; Gurav, S. Process Optimization for the Bioinspired Synthesis of Gold Nanoparticles Using Cordyceps Militaris, Its Characterization, and Assessment of Enhanced Therapeutic Efficacy. Pharmaceuticals 2023, 16, 1311. [Google Scholar] [CrossRef] [PubMed]
- Sana, S.S.; Vadde, R.; Kumar, R.; Arla, S.K.; Somala, A.R.; Krishna Rao, K.S.V.; Zhijun, Z.; Boya, V.K.N.; Mondal, K.; Mamidi, N. Eco-Friendly and Facile Production of Antibacterial Zinc Oxide Nanoparticles from Grewia Flavescens (G. Fla-vescens) Leaf Extract for Biomedical Applications. J. Drug Deliv. Sci. Technol. 2023, 80, 104186. [Google Scholar] [CrossRef]
- Singh, D.; Singh, S.; Sahu, J.; Srivastava, S.; Singh, M.R. Ceramic Nanoparticles: Recompense, Cellular Uptake and Toxicity Concerns. Artif. Cells Nanomed. Biotechnol. 2016, 44, 401–409. [Google Scholar] [CrossRef]
- Lu, J.; Zhang, A.; Zhang, F.; Linhardt, R.J.; Zhu, Z.; Yang, Y.; Zhang, T.; Lin, Z.; Zhang, S.; Zhao, H.; et al. Ganoderenic Acid D-Loaded Functionalized Graphene Oxide-Based Carrier for Active Targeting Therapy of Cervical Carcinoma. Biomed. Pharmacother. 2023, 164, 114947. [Google Scholar] [CrossRef]
- Mamidi, N.; Gamero, M.R.M.; Delgadillo, R.M.V.; Castrejón, J.V.; Zúníga, A.E. Engineering of Functionalized Carbon Nano-Onions Reinforced Nanocomposites: Fabrication, Biocompatibility, and Mechanical Properties. J. Mater. Res. 2020, 35, 922–930. [Google Scholar] [CrossRef]
- Mutlu, M.E.; Ulag, S.; Sengor, M.; Daglılar, S.; Narayan, R.; Gunduz, O. Electrosprayed Collagen/Gentamicin Nanoparticles Coated Microneedle Patches for Skin Treatment. Mater. Lett. 2021, 305, 130844. [Google Scholar] [CrossRef]
- Molavi, F.; Barzegar-Jalali, M.; Hamishehkar, H. Polyester Based Polymeric Nano and Microparticles for Pharmaceutical Purposes: A Review on Formulation Approaches. J. Control. Release 2020, 320, 265–282. [Google Scholar] [CrossRef]
- Singh, J.; Dwivedi, A.; Ray, L.; Chopra, D.; Dubey, D.; Srivastva, A.K.; Kumari, S.; Yadav, R.K.; Amar, S.K.; Haldar, C.; et al. PLGA Nanoformulation of Sparfloxacin Enhanced Antibacterial Activity with Photoprotective Potential under Ambient UV-R Exposure. Int. J. Pharm. 2018, 541, 173–187. [Google Scholar] [CrossRef]
- Heshmatnezhad, F.; Nazar, A.R.S.; Aghaei, H.; Varshosaz, J. Production of Doxorubicin-Loaded PCL Nanoparticles through a Flow-Focusing Microfluidic Device: Encapsulation Efficacy and Drug Release. Soft Matter 2021, 17, 10675–10682. [Google Scholar] [CrossRef] [PubMed]
- Chiriac, A.P.; Asandulesa, M.; Stoica, I.; Tudorachi, N.; Rusu, A.G.; Nita, L.E.; Chiriac, V.M.; Timpu, D. Comparative Study on the Properties of a Bio-Based Copolymacrolactone System. Polym. Test. 2022, 109, 107555. [Google Scholar] [CrossRef]
- Chiriac, A.P.; Rusu, A.G.; Nita, L.E.; Macsim, A.-M.; Tudorachi, N.; Rosca, I.; Stoica, I.; Tampu, D.; Aflori, M.; Doroftei, F. Synthesis of Poly (Ethylene Brassylate-Co-Squaric Acid) as Potential Essential Oil Carrier. Pharmaceutics 2021, 13, 477. [Google Scholar] [CrossRef]
- Chiriac, A.P.; Ghilan, A.; Serban, A.-M.; Macsim, A.-M.; Bargan, A.; Doroftei, F.; Chiriac, V.M.; Nita, L.E.; Rusu, A.G.; Sandu, A.-I. Preparation of an Antioxidant Assembly Based on a Copolymacrolactone Structure and Erythritol Following an Eco-Friendly Strategy. Antioxidants 2022, 11, 2471. [Google Scholar] [CrossRef] [PubMed]
- Chiriac, A.P.; Stoleru, E.; Rosca, I.; Serban, A.; Nita, L.E.; Rusu, A.G.; Ghilan, A.; Macsim, A.-M.; Mititelu-Tartau, L. Development of a New Polymer Network System Carrier of Essential Oils. Biomed. Pharmacother. 2022, 149, 112919. [Google Scholar] [CrossRef]
- Fernández, J.; Amestoy, H.; Sardon, H.; Aguirre, M.; Varga, A.L.; Sarasua, J.-R. Effect of Molecular Weight on the Physical Properties of Poly (Ethylene Brassylate) Homopolymers. J. Mech. Behav. Biomed. Mater. 2016, 64, 209–219. [Google Scholar] [CrossRef]
- Chen, J.; Li, J.; Liu, J.; Weng, B.; Xu, L. Synthesis and Self-Assembly of Four-Armed Star Copolymer Based on Poly (Ethylene Brassylate) Hydrophobic Block as Potential Drug Carries. J. Nanopart. Res. 2016, 18, 134. [Google Scholar] [CrossRef]
- Distler, D.; Neto, W.S.; Machado, F. Emulsion Polymerization. In Reference Module in Materials Science and Materials Engineering; Elsevier: Amsterdam, The Netherlands, 2017; ISBN 978-0-12-803581-8. [Google Scholar]
- Umoren, S.A.; Solomon, M.M.; Saji, V.S. Chapter 1—Basic Polymer Concepts I. In Polymeric Materials in Corrosion Inhibition; Umoren, S.A., Solomon, M.M., Saji, V.S., Eds.; Elsevier: Amsterdam, The Netherlands, 2022; pp. 3–48. ISBN 978-0-12-823854-7. [Google Scholar]
- Weiner, C.P.; Buhimschi, C.N. Drugs for Pregnant and Lactating Women, 2nd ed.; Weiner, C.P., Buhimschi, C., Eds.; W.B. Saunders: Philadelphia, PA, USA, 2009; pp. 747–809. ISBN 978-1-4160-4013-2. [Google Scholar]
- Cano, A.; Ettcheto, M.; Espina, M.; López-Machado, A.; Cajal, Y.; Rabanal, F.; Sánchez-López, E.; Camins, A.; García, M.L.; Souto, E.B. State-of-the-Art Polymeric Nanoparticles as Promising Therapeutic Tools against Human Bacterial Infections. J. Nanobiotechnology 2020, 18, 156. [Google Scholar] [CrossRef] [PubMed]
- Salahuddin, N.; Rehab, A.; Emad, S. Synthesis and Efficacy of Norfloxacin Loaded onto Magnetic Hydrogel Nanocomposites. RSC Adv. 2021, 11, 30183–30194. [Google Scholar] [CrossRef]
- Wu, R.; Huang, Q.; Zhou, Z.; Chen, Y.; Hu, H.; Wang, F.; Li, J. Nanoparticulate Ophthalmic Drug Delivery of Norfloxacin to Prevent Ocular Infection after Cataract Surgery: Evaluation in Animal Model. Mater. Express 2021, 11, 1402–1411. [Google Scholar] [CrossRef]
- Gopala Kumari, S.V.; Manikandan, N.A.; Pakshirajan, K.; Pugazhenthi, G. Sustained Drug Release and Bactericidal Activity of a Novel, Highly Biocompatible and Biodegradable Polymer Nanocomposite Loaded with Norfloxacin for Potential Use in Antibacterial Therapy. J. Drug Deliv. Sci. Technol. 2020, 59, 101900. [Google Scholar] [CrossRef]
- Pawar, V.K.; Asthana, S.; Mishra, N.; Chaurasia, M.; Chourasia, M.K. Chitosan Coated Hydroxypropyl Methylcellulose-Ethylcellulose Shell Based Gastroretentive Dual Working System to Improve the Bioavailability of Norfloxacin. RSC Adv. 2013, 3, 19144–19153. [Google Scholar] [CrossRef]
- Suryavanshi, P.; Chaudhari, V.S.; Banerjee, S. Customized 3D-Printed Hollow Capsular Device Filled with Norfloxacin-Loaded Micropellets for Controlled-Release Delivery. Drug Deliv. Transl. Res. 2023, 13, 1183–1194. [Google Scholar] [CrossRef] [PubMed]
- Lakshani, N.; Wijerathne, H.S.; Sandaruwan, C.; Kottegoda, N.; Karunarathne, V. Release Kinetic Models and Release Mechanisms of Controlled-Release and Slow-Release Fertilizers. ACS Agric. Sci. Technol. 2023, 3, 939–956. [Google Scholar] [CrossRef]
- Moradi Kashkooli, F.; Soltani, M.; Souri, M. Controlled Anti-Cancer Drug Release through Advanced Nano-Drug Delivery Systems: Static and Dynamic Targeting Strategies. J. Control. Release 2020, 327, 316–349. [Google Scholar] [CrossRef]
- Bauer, A.W.; Perry, D.M.; Kirby, W.M. Single-Disk Antibiotic-Sensitivity Testing of Staphylococci; an Analysis of Technique and Results. AMA Arch. Intern. Med. 1959, 104, 208–216. [Google Scholar] [CrossRef]
- CLSI Publishes M100—Performance Standards for Antimicrobial Susceptibility Testing, 32nd Edition. Available online: https://clsi.org/about/press-releases/clsi-publishes-m100-performance-standards-for-antimicrobial-susceptibility-testing-32nd-edition/ (accessed on 3 December 2023).
- Aragón, F.F.H.; Villegas-Lelovsky, L.; Castillo-Llanos, J.I.; Soncco, C.M.; Solis, J.L.; Peralta-Alarcón, G.H.; Pacheco-Salazar, D.G.; Morais, P.C. Cu-Doped SnO2 Nanoparticles: Size and Antibacterial Activity Investigations. RSC Adv. 2023, 13, 28482–28492. [Google Scholar] [CrossRef] [PubMed]
- Lee, K.-S.; Jung Kweon, J.; Oh, I.-H.; Eui Lee, C. Polymorphic Phase Transition and Thermal Stability in Squaric Acid (H2C4O4). J. Phys. Chem. Solids 2012, 73, 890–895. [Google Scholar] [CrossRef]
- Wang, D.; Zhu, J.; Yao, Q.; Wilkie, C.A. A Comparison of Various Methods for the Preparation of Polystyrene and Poly(Methyl Methacrylate) Clay Nanocomposites. Chem. Mater. 2002, 14, 3837–3843. [Google Scholar] [CrossRef]
- Direksilp, C.; Sirivat, A. Synthesis and Characterization of Hollow-Sphered Poly (N-Methyaniline) for Enhanced Electrical Conductivity Based on the Anionic Surfactant Templates and Doping. Polymers 2020, 12, 1023. [Google Scholar] [CrossRef]
- Mustata, F.; Rosu, D.; Varganici, C.-D.; Rosu, L.; Rosca, I.; Tudorachi, N. Assessing the Thermal and Fungal Behavior of Eco-Friendly Epoxy Thermosets Derived from Vegetable Oils for Wood Protective Coatings. Prog. Org. Coat. 2022, 163, 106612. [Google Scholar] [CrossRef]
- Chiriac, A.P.; Ghilan, A.; Croitoriu, A.; Serban, A.; Bercea, M.; Stoleru, E.; Nita, L.E.; Doroftei, F.; Stoica, I.; Bargan, A.; et al. Study on Cellulose Nanofibrils/Copolymacrolactone Based Nano-Composites with Hydrophobic Behaviour, Self-Healing Ability and Antioxidant Activity. Int. J. Biol. Macromol. 2024, 262, 130034. [Google Scholar] [CrossRef] [PubMed]
- NIST Chemistry WebBook, SRD 69. Available online: https://webbook.nist.gov/chemistry/name-ser/ (accessed on 4 March 2024).
- Sahoo, S.; Chakraborti, C.; Behera, P.; Mishra, S. FTIR and Raman Spectroscopic Investigations of a Norfloxacin/Carbopol934 Polymeric Suspension. J. Young Pharm. 2012, 4, 138–145. [Google Scholar] [CrossRef]
- Hansen, P.E.; Spanget-Larsen, J. NMR and IR Investigations of Strong Intramolecular Hydrogen Bonds. Molecules 2017, 22, 552. [Google Scholar] [CrossRef] [PubMed]
- Dao, T.P.T.; Nguyen, T.H.; To, V.V.; Ho, T.H.; Nguyen, T.A.; Dang, M.C. A New Formulation of Curcumin Using Poly (Lactic-Co-Glycolic Acid)—Polyethylene Glycol Diblock Copolymer as Carrier Material. Adv. Nat. Sci. Nanosci. Nanotechnol. 2014, 5, 035013. [Google Scholar] [CrossRef]
- Beck-Broichsitter, M. Solvent Impact on Polymer Nanoparticles Prepared Nanoprecipitation. Colloids Surf. A Physicochem. Eng. Asp. 2021, 625, 126928. [Google Scholar] [CrossRef]
- da Silva, R.Y.P.; de Menezes, D.L.B.; Oliveira, V.D.S.; Converti, A.; de Lima, Á.A.N. Microparticles in the Development and Improvement of Pharmaceutical Formulations: An Analysis of In Vitro and In Vivo Studies. Int. J. Mol. Sci. 2023, 24, 5441. [Google Scholar] [CrossRef]
- Lengyel, M.; Kállai-Szabó, N.; Antal, V.; Laki, A.J.; Antal, I. Microparticles, Microspheres, and Microcapsules for Advanced Drug Delivery. Sci. Pharm. 2019, 87, 20. [Google Scholar] [CrossRef]
- Liu, S.; de Beer, S.; Batenburg, K.M.; Gojzewski, H.; Duvigneau, J.; Vancso, G.J. Designer Core–Shell Nanoparticles as Polymer Foam Cell Nucleating Agents: The Impact of Molecularly Engineered Interfaces. ACS Appl. Mater. Interfaces 2021, 13, 17034–17045. [Google Scholar] [CrossRef]
- Aragón, F.H.; Coaquira, J.A.H.; Villegas-Lelovsky, L.; da Silva, S.W.; Cesar, D.F.; Nagamine, L.C.C.M.; Cohen, R.; Menéndez-Proupin, E.; Morais, P.C. Evolution of the Doping Regimes in the Al-Doped SnO2 Nanoparticles Prepared by a Polymer Precursor Method. J. Phys. Condens. Matter 2015, 27, 095301. [Google Scholar] [CrossRef]
- Souza, T.G.F.; Ciminelli, V.S.T.; Mohallem, N.D.S. A Comparison of TEM and DLS Methods to Characterize Size Distribution of Ceramic Nanoparticles. J. Phys. Conf. Ser. 2016, 733, 012039. [Google Scholar] [CrossRef]
- Kuznetsova, E.V.; Kuznetsov, N.M.; Kalinin, K.T.; Lebedev-Stepanov, P.V.; Novikov, A.A.; Chvalun, S.N. The Role of Inte-grated Approach in the Determination of Nanoparticle Sizes in Dispersions. Colloid J. 2022, 84, 704–714. [Google Scholar] [CrossRef]
- Crețu, B.-E.-B.; Rusu, A.G.; Ghilan, A.; Rosca, I.; Nita, L.E.; Chiriac, A.P. Cryogel System Based on Poly(Vinyl Alcohol)/Poly(Ethylene Brassylate-Co-Squaric Acid) Platform with Dual Bioactive Activity. Gels 2023, 9, 174. [Google Scholar] [CrossRef]
- Peng, H.; Feng, S.; Zhang, X.; Li, Y.; Zhang, X. Adsorption of Norfloxacin onto Titanium Oxide: Effect of Drug Carrier and Dissolved Humic Acid. Sci. Total Environ. 2012, 438, 66–71. [Google Scholar] [CrossRef]
- Salahuddin, N.; Abdelwahab, M.; Gaber, M.; Elneanaey, S. Synthesis and Design of Norfloxacin Drug Delivery System Based on PLA/TiO2 Nanocomposites: Antibacterial and Antitumor Activities. Mater. Sci. Eng. C 2020, 108, 110337. [Google Scholar] [CrossRef]
- Ross, D.L.; Riley, C.M. Aqueous Solubilities of Some Variously Substituted Quinolone Antimicrobials. Int. J. Pharm. 1990, 63, 237–250. [Google Scholar] [CrossRef]
- Dattilo, M.; Patitucci, F.; Prete, S.; Parisi, O.I.; Puoci, F. Polysaccharide-Based Hydrogels and Their Application as Drug Delivery Systems in Cancer Treatment: A Review. J. Funct. Biomater. 2023, 14, 55. [Google Scholar] [CrossRef] [PubMed]
- ISO 10993-5:2009; Biological Evaluation of Medical Devices Part 5: Tests for In Vitro Cytotoxicity. ISO: Geneva, Switzerland, 2009.
- Hendudari, F.; Piryaei, A.; Hassani, S.-N.; Darbandi, H.; Bayat, M. Combined Effects of Low-Level Laser Therapy and Human Bone Marrow Mesenchymal Stem Cell Conditioned Medium on Viability of Human Dermal Fibroblasts Cultured in a High-Glucose Medium. Lasers Med. Sci. 2016, 31, 749–757. [Google Scholar] [CrossRef] [PubMed]
- Kummala, R.; Soto Véliz, D.; Fang, Z.; Xu, W.; Abitbol, T.; Xu, C.; Toivakka, M. Human Dermal Fibroblast Viability and Adhesion on Cellulose Nanomaterial Coatings: Influence of Surface Characteristics. Biomacromolecules 2020, 21, 1560–1567. [Google Scholar] [CrossRef] [PubMed]
- Franchini, V.; Müller, T.; Haupt, J.M.; Ostheim, P.; Majewski, M.; Lista, F.; Port, M.; Abend, M. Characterization of Primary Human Dermal Fibroblasts to Ensure for Instance EMF Exposure Experiments under Comparable Cell Culture Condition. Health Phys. 2020, 119, 118–127. [Google Scholar] [CrossRef] [PubMed]











| Samples Code | PEBSA50/50_Brij/NRF v/v | Nominal Percentage Composition of a Sample | |
|---|---|---|---|
| PEBSA50/50_Brij (%) | NRF (%) | ||
| PM1 | 3:1 | 75% | 25% |
| PM2 | 2:1 | 66.66% | 33.33% |
| PM3 | 1:1 | 50% | 50% |
| Degradation Stage | Tonset (°C) | Tpeak (°C) | W (%) | Residual Mass (%) | T10 (°C) | T20 (°C) | Tg (°C) | Tm (°C) | ΔH (J/g) | ΔCp (J/g·K) | TGS (°C) |
|---|---|---|---|---|---|---|---|---|---|---|---|
| I | 225 ± 2 | 301 ± 2 | 61.15 ± 0.01 | 340 ± 2 | |||||||
| II | 386 ± 2 | 408 ± 2 | 23.03 ± 0.01 | 2.50 ± 0.01 | 259 ± 2 | 285 ± 2 | 55 ± 2 | 96 ± 2 | 37 ± 1 | 0.33 ± 0.01 | 411 ± 2 |
| III | 442 ± 2 | 457 ± 2 | 13.32 ± 0.01 | 458 ± 2 |
| Samples | Dh (nm) | PDI | ZP (mV) |
|---|---|---|---|
| PM0 | 1773 ± 35 | 0.6 ± 0.1 | −17.2 ± 0.6 |
| PM1 | 2001 ± 67 | 0.31 ± 0.04 | −19.0 ± 0.4 |
| PM2 | 1438 ± 8 | 0.21 ± 0.06 | −14.0 ± 0.2 |
| PM3 | 429 ± 16 | 0.19 ± 0.06 | −16.7 ± 0.8 |
| NRF | 927 ± 37 | 0.67 ± 0.09 | −1.3 ± 0.5 |
| Sample Code | PEBSA50/50_Brij/NRF v/v | EE% | LC% |
|---|---|---|---|
| PM1 | 3:1 | 65 ± 5 | 18 ± 1 |
| PM2 | 2:1 | 67 ± 1 | 25.2 ± 0.3 |
| PM3 | 1:1 | 69 ± 1 | 40.9 ± 0.4 |
| Samples | Higuchi Equation | Korsmeyer–Peppas | |||
|---|---|---|---|---|---|
| kH (min−0.5) | R2adj | n | k’ (min−n) | R2adj | |
| PM1 | 1.92 | 0.985 | 0.508 | 1.3 | 0.981 |
| PM2 | 4.815 | 0.991 | 0.558 | 4.95 | 0.991 |
| PM3 | 8.322 | 0.999 | 0.673 | 1.676 | 0.994 |
| Samples | Antimicrobial Activity (mm) | ||
|---|---|---|---|
| S. aureus | E. coli | E. faecalis | |
| Control | - | - | - |
| NRF | 24.3 ± 0.8 | 34.8 ± 0.6 | 34.8 ± 0.6 |
| PM3 | 21 ± 2 ** | 35 ± 2 | 22 ± 2 ** |
| PM2 | 13 ± 3 *** | 25.1 ± 0.7 ** | 12.1 ± 0.4 *** |
| PM1 | 11 ± 2 *** | 17.6 ± 0.9 ** | 11.8 ± 0.3 *** |
Disclaimer/Publisher’s Note: The statements, opinions and data contained in all publications are solely those of the individual author(s) and contributor(s) and not of MDPI and/or the editor(s). MDPI and/or the editor(s) disclaim responsibility for any injury to people or property resulting from any ideas, methods, instructions or products referred to in the content. |
© 2024 by the authors. Licensee MDPI, Basel, Switzerland. This article is an open access article distributed under the terms and conditions of the Creative Commons Attribution (CC BY) license (https://creativecommons.org/licenses/by/4.0/).
Share and Cite
Șerban, A.-M.; Nacu, I.; Rosca, I.; Ghilan, A.; Rusu, A.G.; Niță, L.E.; Darie-Niță, R.N.; Chiriac, A.P. Preparation and Characterization of Polymeric Microparticles Based on Poly(ethylene brassylate-co-squaric Acid) Loaded with Norfloxacin. Pharmaceutics 2024, 16, 550. https://doi.org/10.3390/pharmaceutics16040550
Șerban A-M, Nacu I, Rosca I, Ghilan A, Rusu AG, Niță LE, Darie-Niță RN, Chiriac AP. Preparation and Characterization of Polymeric Microparticles Based on Poly(ethylene brassylate-co-squaric Acid) Loaded with Norfloxacin. Pharmaceutics. 2024; 16(4):550. https://doi.org/10.3390/pharmaceutics16040550
Chicago/Turabian StyleȘerban, Alexandru-Mihail, Isabella Nacu, Irina Rosca, Alina Ghilan, Alina Gabriela Rusu, Loredana Elena Niță, Raluca Nicoleta Darie-Niță, and Aurica P. Chiriac. 2024. "Preparation and Characterization of Polymeric Microparticles Based on Poly(ethylene brassylate-co-squaric Acid) Loaded with Norfloxacin" Pharmaceutics 16, no. 4: 550. https://doi.org/10.3390/pharmaceutics16040550
APA StyleȘerban, A.-M., Nacu, I., Rosca, I., Ghilan, A., Rusu, A. G., Niță, L. E., Darie-Niță, R. N., & Chiriac, A. P. (2024). Preparation and Characterization of Polymeric Microparticles Based on Poly(ethylene brassylate-co-squaric Acid) Loaded with Norfloxacin. Pharmaceutics, 16(4), 550. https://doi.org/10.3390/pharmaceutics16040550

