Machine Learning-Based Analysis Reveals Triterpene Saponins and Their Aglycones in Cimicifuga racemosa as Critical Mediators of AMPK Activation
Abstract
1. Introduction
2. Materials and Methods
2.1. Data
2.2. Data Preprocessing
2.3. Validation
2.4. Machine Learning Models
2.4.1. Deep Neural Network (DNN)
2.4.2. Logistic Regression Classification (LRC)
2.4.3. Random Forest Classification (RFC)
2.5. Hyperparameter Tuning
2.6. Model Evaluation
- Accuracy: (TP + TN)/(TP + TN + FP + FN);
- Precision: TP/(TP + FP);
- Sensitivity: TP/(TP + FN);
- Specificity: TN/(TN + FP).
2.7. Prevention of Overfitting
2.7.1. Feature Selection
2.7.2. Cross-Validation
2.7.3. Regularization
2.7.4. Early Stopping
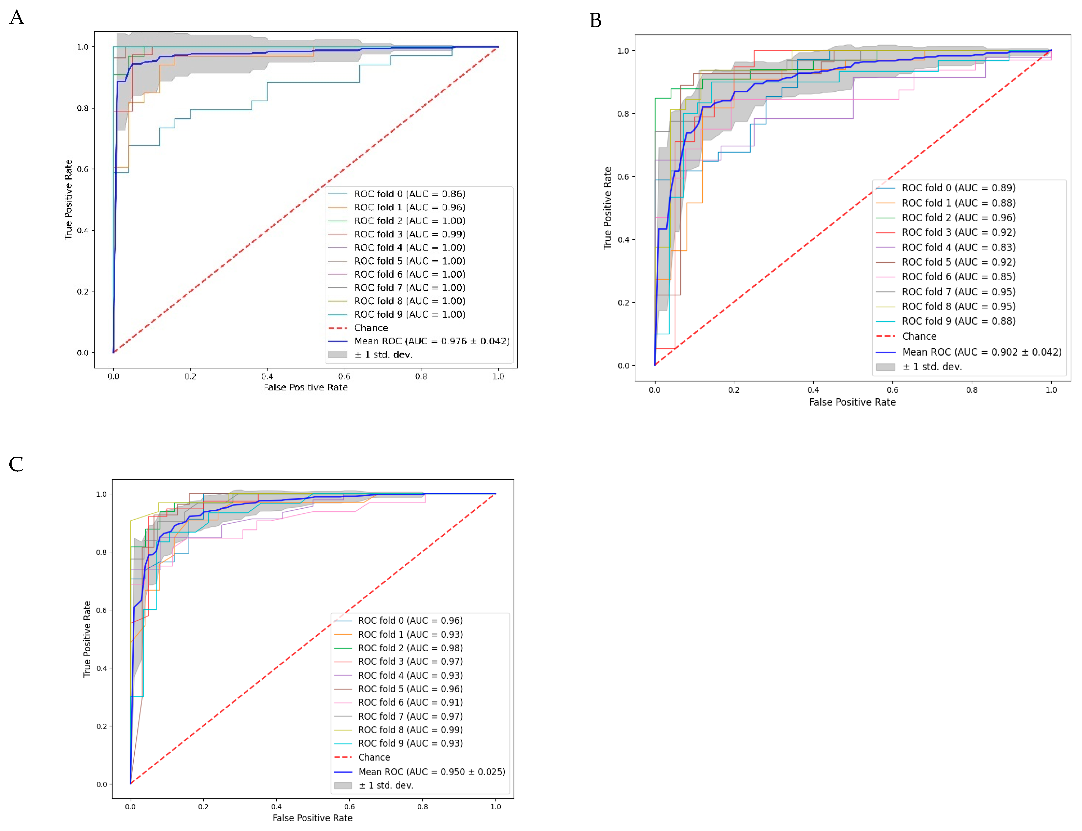
2.8. Receiver Operating Characteristic (ROC)
2.9. y-Randomization
2.10. Classification of Cimicifuga racemosa (CR) Constituents
2.10.1. Comparison of Cimicifuga racemosa (CR) Metabolites with Database
2.10.2. Comparison of Cimicifuga racemosa (CR) Saponins with Their Estimated Aglycones
2.10.3. Assessment of Markers for Oral Absorption
3. Results
3.1. t-SNE Analysis
3.2. Feature Reduction
3.3. Hyperparameter Tuning
3.4. Test Performances
3.5. y-Randomization
3.6. Classification of Cimicifuga racemosa (CR) Constituents
3.7. Comparison of Saponins with Their Aglycones
4. Discussion
- Balancing unevenly distributed dataset classes;
- Employing simpler models;
- Implementing cross-validation;
- Utilizing regularization techniques;
- Employing early stopping techniques.
5. Conclusions
Supplementary Materials
Author Contributions
Funding
Institutional Review Board Statement
Informed Consent Statement
Data Availability Statement
Conflicts of Interest
Appendix A. Details of the Deep Neural Networks Model
- Details of the Deep Neural Networks model;
- Python code: Model.ipynb;
- Database: database.csv.
| from sklearn.model_selection import KFold |
| from sklearn.metrics import make_scorer, accuracy_score |
| from keras.models import Sequential |
| from keras.callbacks import ModelCheckpoint |
| from keras.models import load_model |
| from sklearn.model_selection import GridSearchCV |
| from sklearn.model_selection import cross_val_score |
| n_features = X_train.shape [1] |
| n_targets = 1 |
| learning_rate = 0.01 |
| n_hidden = 4 |
| batch_size = 32 |
| epochs = 10 |
| def create_model (n_features: int, learning_rate: float, n_hidden: int, batch_size: int, |
| dropout: float) -> Sequential:inputs = Input (shape = (number of features)) |
| x = Dense (1_500, kernel_initializer = init_w, bias_initializer = init_b) (inputs) |
| x = Activation (“elu”)(x) |
| x = Dropout (dropout)(x) |
| for i in range (0,n_hidden): |
| (x) = Dense (1_500-i*300, kernel_initializer = init_w, bias_initializer = init_b) (x) |
| (x) = Activation (“elu”) (x) |
| (x) = Dropout (dropout) (x) |
| outputs = Dense (n_targets, activation = “sigmoid”) (x) |
| model = Model (inputs = inputs, outputs = outputs) |
| model.compile (loss = ‘binary_crossentropy’, optimizer = Adam(learning_rate = learning_rate), metrics = [‘accuracy’]) |
| return model |
Appendix B
Shengmanol type (16-ketone type)![]() | ||||||||
| Compounds | R1 | R2 | R3 | R4 | R5 | R6 | Δ7,8 | CID |
| 23-O-Acetylshengmanol | OH | H | H | OH | O-Ac | Epoxy | - | 91827092 |
| 23-O-Acetylshengmanol-3- O-β-D-xylopyranoside | O-Xyl | H | H | OH | O-Ac | Epoxy | - | 56962372 |
| 23-O-Acetylshengmanol-3-O-α-L- arabinopyranoside | O-Ara | H | H | OH | O-Ac | Epoxy | - | 10865257 |
| Bugbanoside C | O-Ara | H | O-Ac | OH | =O | OH/OH | + | 15894670 |
| Bugbanoside D | O-Ara | H | O-Ac | OH | =O | Epoxy | + | 15894671 |
| Bugbanoside E | O-Ara | H | O-Ac | H | =O | Epoxy | + | 15894672 |
| Cimicifugoside H-1 | O-Xyl | OH | H | H | =O | Epoxy | + | 15241163 |
| Cimicifugoside H-3 | O-Xyl | OH | H | H | =O | CH2OH | + | 15241164 |
| Cimiracemoside L | 4′-O-Ac-Xyl | H | H | OH | O-Ac | Epoxy | - | 10952624 |
| Cimicidanol | OH | OH | H | H | =O | Epoxy | + | 10413064 |
Hydroxyshengmanol type![]() | |||||||||
| Compounds | R1 | R2 | R3 | R4 | R5 | 16 | 23 | 24 | CID |
| 24-Acetylhydroshengmanol-3-O-β-D- xylopyranoside | O-Xyl | OH | OH | CH3 | O-Ac/OH | S | S | S | 157168 |
| Cimiracemoside E | O-Xyl | =O | H | CH2OH | O-Ac/OH | R | R | S | 91827210 |
| Shengmanol | OH | OH | OH | CH3 | Epoxy | S | R | S | 101133349 |
| Shengmanol-3-O-β-D-xylopyranoside | O-Xyl | OH | OH | CH3 | Epoxy | S | R | S | 158275 |
Cimigenol type (A)![]() | ||||||||
| Compounds | R1 | R2 | R3 | R4 | Δ7,8 | 15 | 24 | CID |
| Cimigenol | OH | H | CH3 | OH | - | R | S | 16020000 |
| Cimigol | OH | H | CH3 | OH | - | S | R | 101596828 |
| 25-O-Acetylcimigenol | OH | H | CH3 | O-Ac | - | R | S | 46881255 |
| 25-O-Acetylcimigenol 3-O-α-L- arabinopyranoside | O-Xyl | H | CH3 | O-Ac | - | R | S | 24721386 |
| 25-O-Methylcimigenol | OH | H | CH3 | O-CH3 | - | R | S | 146027510 |
| 25-O-Methylcimigenol-3-O-β-D- xylopyranoside | O-Xyl | H | CH3 | O-CH3 | - | R | S | 146027510 |
| 25-O-Ethylcimigenol-3-O-β-D- xylopyranoside | O-Xyl | H | CH3 | O-CH2CH3 | - | R | S | 16091662 |
| 12-β-Acetoxycimigenol | OH | O-Ac | CH3 | OH | - | R | S | 16104912 |
| 12-β-Acetylcimigenol-3-O-β-D- xylopyranoside | O-Xyl | O-Ac | CH3 | OH | - | R | S | 44418831 |
| 12-β-Hydroxycimigenol | OH | OH | CH3 | OH | - | R | S | 10006332 |
| Bugbanoside F | O-Ara | OH | CH3 | OH | + | R | S | 101096469 |
| Cimiracemoside B | O-Xyl | H | CH2OH | OH | - | R | S | 91826883 |
| Cimiracemoside C (=Cimifugoside M) | O-Ara | H | CH3 | OH | - | R | S | 15541911 |
| Cimiracemoside D | O-Ara | O-Ac | CH3 | OH | - | R | S | 70698290 |
| Cimiside A | O-Xyl | OH | CH3 | OH | - | R | S | 91827183 |
| Cimiside B | 3′-O-Xyl-3-O-Xyl | H | CH3 | OH | - | R | S | 10054869 |
Cimigenol type (B)![]() | ||||
| Compounds | R1 | R2 | 24 | CID |
| 25-AnhydroCimigenol-3-O-α-L- arabinopyranoside | O-Ara | H | R | 70698285 |
| Cimiracemoside J | O-Ara | O-Ac | S | 10952455 |
| Cimiracemoside K | O-Xyl | O-Ac | S | 10930352 |
| Cimiside E | O-Xyl | H | S | 102147078 |
Acteol type![]() | |||||||
| Compounds | R1 | R2 | R3 | Δ7,8 | 24 | 25 | CID |
| Acteol | OH | OH | OH | - | S | R | 59595161 |
| Actein | O-Xyl | O-Ac | OH | - | R | S | 10032468 |
| 23-Epi-26-deoxyactein | O-Xyl | O-Ac | H | - | R | R | 10974362 |
| Cimiracemoside N | O-Ara | O-Ac | H | - | S | S | 21591918 |
| Cimiracemoside P | O-Xyl | O-Ac | =O | - | S | R | 91827183 |
| 12-O-Acetylacteol | OH | O-Ac | OH | - | S | S | 23640137 |
Cimiracemoside type![]() | |||
| Compounds | R1 | Δ7,8 | CID |
| Cimiracemoside A (=F) | O-Xyl | + | 21606551 |
| Cimiracemoside H | O-Xyl | - | 21606553 |
Neocimigenoside type![]() | ||
| Compounds | R1 | CID |
| Neocimicigenoside A | O-Ara | 44583839 |
| Neocimicigenoside B | O-Xyl | 44583840 |
Cimilactone type![]() | |||
| Compounds | R1 | Δ7,8 | CID |
| Cimilactone A | O-Xyl | - | 10908062 |
Podocarpaside type![]() | ||||||||||||
| Compounds | R1 | R2 | R3 | R4 | R5 | R6 | Δ5,6 | Δ5,11 | Δ10,11 | 5 | 11 | CID |
| Podocarpaside A | O-Ara | OH | - | H | H | H | - | + | - | - | - | 16110015 |
| Podocarpaside B | O-Ara | H | H | OH | H | H | - | - | - | R | S | 16110011 |
| Podocarpaside C | O-Ara | H | H | OH | H | OH | - | - | - | R | S | 16110016 |
| Podocarpaside D | O-Ara | H | OH | H | H | H | - | - | - | S | S | 16110012 |
| Podocarpaside E | O-Ara | H | - | OH | OH | OH | - | + | - | - | - | 139071967 |
| Podocarpaside F | O-Ara | H | - | - | H | OH | - | - | + | R | - | 16110017 |
| Podocarpaside G | O-Ara | H | - | - | - | OH | + | - | + | - | - | 16110014 |
Podocarpaside type![]() | ||||||||||||
| Compounds | R1 | R2 | R3 | R4 | R5 | R6 | Δ5,6 | Δ5,11 | Δ10,11 | 5 | 11 | CID |
| Podocarpaside A | O-Ara | OH | - | H | H | H | - | + | - | - | - | 16110015 |
| Podocarpaside B | O-Ara | H | H | OH | H | H | - | - | - | R | S | 16110011 |
| Podocarpaside C | O-Ara | H | H | OH | H | OH | - | - | - | R | S | 16110016 |
| Podocarpaside D | O-Ara | H | OH | H | H | H | - | - | - | S | S | 16110012 |
| Podocarpaside E | O-Ara | H | - | OH | OH | OH | - | + | - | - | - | 139071967 |
| Podocarpaside F | O-Ara | H | - | - | H | OH | - | - | + | R | - | 16110017 |
| Podocarpaside G | O-Ara | H | - | - | - | OH | + | - | + | - | - | 16110014 |
Acerinol type![]() | ||
| Compounds | R1 | CID |
| 24-O-Acetylacerionol | O-Ac | 101596791 |
| Acerinol | OH | 73347277 |
Cimicinol![]() | |
| Compound | CID |
| Cimicinol | 102146755 |
Actaeaepoxide-3-O-beta-D-xylopyranoside![]() | |
| Compound | CID |
| Actaeaepoxide-3-O--D-xylopyranoside | 15515494 |
Friedelin![]() | |
| Compound | CID |
| Friedelin | 91472 |
Cinnamic acid derivatives![]() | ||||
| Compounds | R1 | R2 | R3 | CID |
| Sinapic acid | O-Me | OH | O-Me | 637775 |
| p-Coumaric acid | H | OH | H | 637542 |
| Isoferulic acid | OH | O-Me | H | 736186 |
| 3,4-Dimethoxycinnamic acid | O-Me | O-Me | H | 717531 |
Cimiracemate type![]() | ||||
| Compounds | R1 | R2 | R3 | CID |
| Cimiracemate A | OH | O-Me | H | 5315874 |
| Cimiracemate B | O-Me | OH | H | 5315876 |
| Cimiracemate C | OH | O-Me | O-Me * | 5315877 |
| Cimiracemate D | O-Me | OH | O-Me * | 5315878 |
| * Stereochemistry not known. | ||||
Cimiciphenone type![]() | ||
| Compounds | R | CID |
| Cimiciphenone | O-Me | 71487912 |
| Petasiphenone | OH | 16066851 |
Protocatechuic acid type![]() | ||
| Compounds | R1 | CID |
| Protocatechuic acid | OH | 72 |
| Protocatechuic aldehyde | H | 637542 |
Fukiic acid derivatives![]() | ||
| Compounds | R1 | CID |
| Fukiic acid | OH | 161871 |
| Piscidic acid | H | 120693 |
Cimicifugic acid derivatives![]() | |||||
| Compounds | R1 | R2 | R3 | R4 | CID |
| Cimicifugic acid A (2-Feruloyl fukinolic acid) | OH | OH | O-Me | OH | 6449879 |
| Cimicifugic acid B (2-Isoferuloyl piscidic acid) | OH | OH | OH | O-Me | 6449880 |
| Cimicifugic acid C (2-p Coumaric fukinolic acid) | OH | OH | H | OH | 6401178 |
| Cimicifugic acid D (2-Caffeoyl piscidic acid) | OH | H | OH | OH | 11742743 |
| Cimicifugic acid E (2-Feruloyl piscidic acid) | OH | H | O-Me | OH | 10002902 |
| Cimicifugic acid F (2-Isoferuloyl piscidic acid) | OH | H | OH | O-Me | 6450179 |
| Cimicifugic acid G (2-Feruloyl piscidic acid) | OH | OH | O-Me | O-Me | 11655574 |
| Fukinolic acid | OH | OH | OH | OH | 6441059 |
Actealactone![]() | |
| Compound | CID |
| Actealactone | 11537736 |
Astilbin![]() | |
| Compound | CID |
| Astilbin | 119258 |
Chromones![]() | ||||||
| Compound | R1 | R2 | R3 | Δ7a−7b | 7b | CID |
| Angelicain | CH2-OH | propan-2-ol | OH | - | S | 46240156 |
| Cimifugin | O-Me | propan-2-ol | O-Me | - | S | 4411960 |
| Visnagin | Me | H | O-Me | + | - | 6716 |
Cimidahurine![]() | |
| Compound | CID |
| Cimidahurine | 5315870 |
Cimipronidine![]() | ||
| Compounds | R1 | CID |
| Cimipronidine | OH | 21594000 |
| Cimipronidine methylester | O-Me | 101467166 |
Dopargine![]() | |
| Compound | CID |
| Dopargine | 10357001 |
Cyclocimipronidine![]() | |
| Compound | CID |
| Cyclocimipronidine | 101467165 |
N-Methycytisine![]() | |
| Compound | CID |
| N-Methycytisine | 670971 |
| (Cosine-Similarity Score) | |||||||||||
|---|---|---|---|---|---|---|---|---|---|---|---|
| No | Generic Name | Top 1 | Score | Top 2 | Sore | Top 3 | Score | Top 4 | Score | Top 5 | Score |
| Cimi_1 | 12-beta-Acetoxy-Cimigenol | DMAT | 0.902 | 2-Hydroxyestradiol | 0.899 | CHEMBL3393133 | 0.899 | CHEMBL3133762 | 0.899 | CHEMBL196759 | 0.899 |
| Cimi_2 | 12-beta-Acetyl-Cimigenol-3-O-beta-D-xylopyranoside | CHEMBL3393133 | 0.951 | CHEMBL3133762 | 0.951 | CHEMBL196759 | 0.951 | 2-Hydroxyestradiol | 0.951 | Ezetimibe | 0.940 |
| Cimi_3 | 12-beta-Hydroxy-Cimigenol | DMAT | 0.900 | CHEMBL196759 | 0.899 | CHEMBL3133762 | 0.899 | 2-Hydroxyestradiol | 0.899 | CHEMBL3393133 | 0.899 |
| Cimi_4 | 12-O-Acetylacteol | DMAT | 0.903 | CHEMBL3133762 | 0.900 | CHEMBL196759 | 0.900 | CHEMBL3393133 | 0.900 | 2-Hydroxyestradiol | 0.900 |
| Cimi_5 | 15-O-Methyl-Cimigenol | CHEMBL3393133 | 0.899 | 2-Hydroxyestradiol | 0.899 | CHEMBL3133762 | 0.899 | CHEMBL196759 | 0.899 | CHEMBL3361128 | 0.887 |
| Cimi_6 | 23-epi-26-Deoxyactein=27-Deoxyactein | CHEMBL3393133 | 0.952 | CHEMBL196759 | 0.952 | CHEMBL3133762 | 0.952 | 2-Hydroxyestradiol | 0.952 | CHEMBL2325901 | 0.931 |
| Cimi_7 | 23-O-Acetylshengmanol | Compound C2 | 0.909 | CHEMBL2017214 | 0.899 | CHEMBL383246 | 0.895 | CHEMBL3963444 | 0.894 | 6 Paradol | 0.894 |
| Cimi_8 | 23-O-Acetylshengmanol 3-O-beta-D-xylopyranoside | CHEMBL2325901 | 0.951 | CHEMBL371968 | 0.934 | CHEMBL2420899 | 0.934 | Polydatin | 0.934 | Teneligliptin | 0.934 |
| Cimi_9 | 23-O-Acetylshengmanol xyloside | CHEMBL2325901 | 0.951 | CHEMBL371968 | 0.934 | CHEMBL2420899 | 0.934 | Polydatin | 0.934 | Teneligliptin | 0.934 |
| Cimi_10 | 24-Acetylhydroshengmanol xyloside | CHEMBL196759 | 0.941 | CHEMBL3393133 | 0.941 | CHEMBL3133762 | 0.941 | 2-Hydroxyestradiol | 0.941 | CHEMBL2325901 | 0.939 |
| Cimi_11 | 24-O-Acetylacerionol | CHEMBL3746293 | 0.923 | GW275944X | 0.921 | Theasinensis A | 0.917 | CHEMBL1078665 | 0.901 | Mogrol | 0.897 |
| Cimi_12 | 25-AnhydroCimigenol-3-O-alpha-L-arabinoside | 6-O-Cinnamoyl-D-glucopyranose | 0.952 | GW290597X | 0.952 | GW458787A | 0.952 | delphinidin-3-glucoside | 0.952 | Ezetimibe | 0.952 |
| Cimi_13 | 25-O-AcetylCimigenol | CHEMBL383246 | 0.901 | CHEMBL3963444 | 0.900 | 6 Paradol | 0.900 | CHEMBL4112013 | 0.900 | Ascofuranone | 0.878 |
| Cimi_14 | 25-O-AcetylCimigenol 3-o-alpha-L-arabinoside | CHEMBL3393133 | 0.951 | CHEMBL3133762 | 0.951 | CHEMBL196759 | 0.951 | 2-Hydroxyestradiol | 0.951 | Ezetimibe | 0.940 |
| Cimi_15 | 25-O-Acetyl-cimigenol xyloside | CHEMBL3393133 | 0.951 | CHEMBL3133762 | 0.951 | CHEMBL196759 | 0.951 | 2-Hydroxyestradiol | 0.951 | Ezetimibe | 0.940 |
| Cimi_16 | 25-O-Ethyl-cimigenol-3-O-beta-D-xylopyranoside | 2-Hydroxyestradiol | 0.951 | CHEMBL3393133 | 0.951 | CHEMBL3133762 | 0.951 | CHEMBL196759 | 0.951 | GYY4137 | 0.928 |
| Cimi_17 | 25-O-Methyl-cimigenol | CHEMBL3393133 | 0.899 | 2-Hydroxyestradiol | 0.899 | CHEMBL3133762 | 0.899 | CHEMBL196759 | 0.899 | CHEMBL3361128 | 0.887 |
| Cimi_18 | 25-O-Methyl-cimigenol-3-O-beta-D-xyloside | 2-Hydroxyestradiol | 0.951 | CHEMBL3393133 | 0.951 | CHEMBL3133762 | 0.951 | CHEMBL196759 | 0.951 | GYY4137 | 0.928 |
| Cimi_20 | 3,4-Dimethoxycinnamic acid | 4a-Isoalantolactone | 0.958 | Nootkatone | 0.958 | Gemcitabine | 0.957 | Fenoldopam | 0.936 | GW439255X | 0.913 |
| Cimi_22 | Acerinol | Theasinensis A | 0.917 | GW275944X | 0.895 | Folic caid | 0.892 | 6-O-cinnamoyl-D-glucopyranose | 0.890 | Karaviloside X | 0.886 |
| Cimi_23 | Actaeaepoxide 3-O-beta-D-xylopyranoside | GSK978744A | 0.945 | CHEMBL2338231 | 0.943 | LCZ696 | 0.943 | Tadalafil | 0.943 | Berteroin | 0.943 |
| Cimi_24 | Actaealactone | C129 | 0.859 | GW644007X | 0.827 | Clozapin | 0.827 | CHEMBL1081678 | 0.813 | CHEMBL4092508 | 0.812 |
| Cimi_25 | Actein | CHEMBL196759 | 0.941 | CHEMBL3133762 | 0.941 | 2-Hydroxyestradiol | 0.941 | CHEMBL3393133 | 0.941 | Ezetimibe | 0.931 |
| Cimi_26 | Acteol | DMAT | 0.902 | CHEMBL3133762 | 0.899 | 2-Hydroxyestradiol | 0.899 | CHEMBL3393133 | 0.899 | CHEMBL196759 | 0.899 |
| Cimi_27 | Angelicain | GW644007X | 0.899 | CHEMBL3730916 | 0.864 | CHEMBL2338229 | 0.857 | CHEMBL204420 | 0.838 | CHEMBL4217199 | 0.834 |
| Cimi_28 | Bugbanoside E | CHEMBL2420899 | 0.954 | Teneligliptin | 0.954 | Polydatin | 0.954 | CHEMBL371968 | 0.954 | Cinacalcet | 0.954 |
| Cimi_29 | Bugbanoside F | Folic acid | 0.961 | GSK978744A | 0.954 | GW290597X | 0.952 | SC4 | 0.952 | 6-O-cinnamoyl-D-glucopyranose | 0.952 |
| Cimi_30 | Caffeic acid | 3-O-methylquercetin | 1.000 | CHEMBL208286 | 0.977 | CHEMBL2408232 | 0.934 | 4a-Isoalantolactone | 0.914 | Nootkatone | 0.914 |
| Cimi_31 | Caffeic methyl ester | Nootkatone | 0.980 | 4a-Isoalantolactone | 0.980 | Fenoldopam | 0.959 | 3-O-methylquercetin | 0.938 | CHEMBL208286 | 0.917 |
| Cimi_32 | Cimicfugoside M | CHEMBL196759 | 0.961 | 2-Hydroxyestradiol | 0.961 | CHEMBL3133762 | 0.961 | CHEMBL3393133 | 0.961 | GYY4137 | 0.938 |
| Cimi_33 | Cimicidanol | Gamma linolenic acid | 0.924 | Fluvastatin | 0.923 | CHEMBL1078665 | 0.913 | CHEMBL4114120 | 0.912 | Compound C2 | 0.912 |
| Cimi_34 | Cimicifugic acid C | Glyceolin | 0.957 | GW780056X | 0.926 | Oligomycin | 0.926 | Ibuprofen | 0.926 | CHEMBL4092508 | 0.878 |
| Cimi_35 | Cimicifugic acid D | Glyceolin | 0.957 | GW780056X | 0.926 | Oligomycin | 0.926 | Ibuprofen | 0.926 | CHEMBL4092508 | 0.878 |
| Cimi_36 | Cimicifugic acid E | Glyceolin | 0.930 | GW780056X | 0.900 | Oligomycin | 0.900 | Ibuprofen | 0.900 | Melatonin | 0.885 |
| Cimi_37 | Cimicifugic acid F | Glyceolin | 0.930 | GW780056X | 0.900 | Oligomycin | 0.900 | Ibuprofen | 0.900 | Melatonin | 0.885 |
| Cimi_38 | Cimicifugoside H-1 | CHEMBL2420899 | 0.954 | Teneligliptin | 0.954 | Polydatin | 0.954 | CHEMBL371968 | 0.954 | Cinacalcet | 0.954 |
| Cimi_39 | Cimicifugoside H-2 | CHEMBL1230171 | 0.962 | Meriolin 1 | 0.962 | CHEMBL2420899 | 0.953 | Polydatin | 0.953 | Cinacalcet | 0.953 |
| Cimi_40 | Cimicifugoside H-3 | CHEMBL1230171 | 0.982 | Polydatin | 0.973 | Teneligliptin | 0.973 | CHEMBL371968 | 0.973 | GW576924A | 0.973 |
| Cimi_41 | Cimicinol | Folic acid | 0.939 | GSK978744A | 0.934 | SC4 | 0.932 | GW290597X | 0.932 | 6-O-cinnamoyl-D-glucopyranose | 0.932 |
| Cimi_42 | Cimiciphenone | Paroxetine | 0.969 | CHEMBL4112741 | 0.921 | Melatonin | 0.919 | CHEMBL4066628 | 0.904 | Ibuprofen | 0.904 |
| Cimi_43 | Cimidahurine | Gamma-oryzanol | 0.973 | Atractylenolide III | 0.960 | Sirtinol | 0.937 | Zidovudine | 0.933 | Compound 59 | 0.926 |
| Cimi_44 | Cimifugin | CHEMBL3930006 | 0.858 | GW644007X | 0.858 | GW708336X | 0.852 | Palbociclib | 0.849 | CHEMBL204420 | 0.844 |
| Cimi_45 | Cimigenol | DMAT | 0.900 | CHEMBL196759 | 0.899 | CHEMBL3133762 | 0.899 | 2-Hydroxyestradiol | 0.899 | CHEMBL3393133 | 0.899 |
| Cimi_46 | Cimigenol xyloside | CHEMBL196759 | 0.961 | 2-Hydroxyestradiol | 0.961 | CHEMBL3133762 | 0.961 | CHEMBL3393133 | 0.961 | GYY4137 | 0.938 |
| Cimi_47 | Cimigol | DMAT | 0.900 | CHEMBL196759 | 0.899 | CHEMBL3133762 | 0.899 | 2-Hydroxyestradiol | 0.899 | CHEMBL3393133 | 0.899 |
| Cimi_48 | Cimilactone B | GW576924A | 0.953 | Teneligliptin | 0.953 | CHEMBL2420899 | 0.953 | polydatin | 0.953 | Cinacalcet | 0.953 |
| Cimi_49 | Cimipronidine | CHEMBL1933279 | 0.778 | Cheletyrine | 0.764 | Pinosylvin | 0.758 | Nordihydroguaiaretic acid | 0.755 | CHEMBL3730146 | 0.723 |
| Cimi_50 | Cimipronidine methyl ester | CHEMBL1933279 | 0.743 | Pinosylvin | 0.741 | GSK182497A | 0.713 | Cheletyrine | 0.710 | BDE-209 | 0.705 |
| Cimi_51 | Cimiracemate A | Paroxetine | 0.954 | Oligomycin | 0.922 | GW780056X | 0.922 | Ibuprofen | 0.922 | CHEMBL4112741 | 0.907 |
| Cimi_52 | Cimiracemate B | Paroxetine | 0.954 | Oligomycin | 0.922 | GW780056X | 0.922 | Ibuprofen | 0.922 | CHEMBL4112741 | 0.907 |
| Cimi_53 | Cimiracemate C | Paroxetine | 0.956 | CHEMBL4066628 | 0.926 | Melatonin | 0.910 | CHEMBL4112741 | 0.880 | CHEMBL4092508 | 0.878 |
| Cimi_54 | Cimiracemate D | Paroxetine | 0.956 | CHEMBL4066628 | 0.926 | Melatonin | 0.910 | CHEMBL4112741 | 0.880 | CHEMBL4092508 | 0.878 |
| Cimi_55 | Cimiracemoside A (=F) | GSK978744A | 0.963 | Ezetimibe | 0.962 | Monensin | 0.952 | Folic acid | 0.952 | GSK192082A | 0.945 |
| Cimi_56 | Cimiracemoside B | CHEMBL3393133 | 0.990 | CHEMBL3133762 | 0.990 | CHEMBL196759 | 0.990 | 2-Hydroxyestradiol | 0.990 | GYY4137 | 0.970 |
| Cimi_57 | Cimiracemoside C | CHEMBL196759 | 0.961 | 2-Hydroxyestradiol | 0.961 | CHEMBL3133762 | 0.961 | CHEMBL3393133 | 0.961 | GYY4137 | 0.938 |
| Cimi_58 | Cimiracemoside D | CHEMBL3393133 | 0.951 | CHEMBL3133762 | 0.951 | CHEMBL196759 | 0.951 | 2-Hydroxyestradiol | 0.951 | Ezetimibe | 0.940 |
| Cimi_59 | Cimiracemoside E | CHEMBL2325901 | 0.981 | Cinacalcet | 0.962 | Teneligliptin | 0.962 | Polydatin | 0.962 | CHEMBL371968 | 0.962 |
| Cimi_60 | Cimiracemoside G | GSK978744A | 0.963 | Ezetimibe | 0.962 | Monensin | 0.952 | Folic acid | 0.952 | GSK192082A | 0.945 |
| Cimi_61 | Cimiracemoside H | CHEMBL3393133 | 0.951 | CHEMBL3133762 | 0.951 | CHEMBL196759 | 0.951 | 2-Hydroxyestradiol | 0.951 | Ezetimibe | 0.940 |
| Cimi_62 | Cimiracemoside J | Ezetimibe | 0.962 | Monensin | 0.952 | CHEMBL3975011 | 0.952 | CHEMBL4246000 | 0.952 | GSK978744A | 0.945 |
| Cimi_63 | Cimiracemoside K | Ezetimibe | 0.962 | Monensin | 0.952 | CHEMBL3975011 | 0.952 | CHEMBL4246000 | 0.952 | GSK978744A | 0.945 |
| Cimi_64 | Cimiracemoside L | CHEMBL2325901 | 0.929 | CDN1163 | 0.918 | Cinacalcet | 0.914 | CHEMBL2420899 | 0.914 | polydatin | 0.914 |
| Cimi_65 | Cimiracemoside N | CHEMBL3393133 | 0.952 | CHEMBL196759 | 0.952 | CHEMBL3133762 | 0.952 | 2-Hydroxyestradiol | 0.952 | CHEMBL2325901 | 0.931 |
| Cimi_66 | Cimiracemoside P | CHEMBL3133762 | 0.932 | CHEMBL196759 | 0.932 | 2-Hydroxyestradiol | 0.932 | CHEMBL3393133 | 0.932 | CHEMBL2325901 | 0.931 |
| Cimi_67 | Cimiside A | CHEMBL196759 | 0.961 | 2-Hydroxyestradiol | 0.961 | CHEMBL3133762 | 0.961 | CHEMBL3393133 | 0.961 | GYY4137 | 0.938 |
| Cimi_68 | Cimiside B | CHEMBL196759 | 0.971 | 2-Hydroxyestradiol | 0.971 | CHEMBL3133762 | 0.971 | CHEMBL3393133 | 0.971 | GYY4137 | 0.949 |
| Cimi_69 | Cimiside E | 6-O-Cinnamoyl-D-glucopyranose | 0.952 | GW290597X | 0.952 | GW458787A | 0.952 | delphinidin-3-glucoside | 0.952 | Ezetimibe | 0.952 |
| Cimi_70 | Cyclocmipronidine | Cheletyrine | 0.801 | 15,16-dihydrotanshinone I | 0.800 | CHEMBL3730933 | 0.800 | Nordihydroguaiaretic acid | 0.791 | CHEMBL188282 | 0.757 |
| Cimi_71 | Dahurinol | CHEMBL383246 | 0.901 | CHEMBL4094080 | 0.897 | 2G11 | 0.897 | Gamma linolenic acid | 0.884 | CHEMBL3735890 | 0.884 |
| Cimi_72 | Dopargine | Tangeretin | 0.768 | GSK182497A | 0.751 | SC-202671 | 0.748 | CHEMBL3927465 | 0.748 | Oleic acid | 0.747 |
| Cimi_73 | Ferulic acid methyl ester | 4a-Isoalantolactone | 0.958 | Nootkatone | 0.958 | Gemcitabine | 0.957 | Fenoldopam | 0.936 | GW439255X | 0.913 |
| Cimi_74 | Formononetin | CHEMBL3774632 | 1.000 | SB-409514 | 0.984 | PP487 | 0.969 | CHEMBL3393131 | 0.969 | CHEMBL207674 | 0.969 |
| Cimi_75 | Friedelin | Procyanidin B2 | 0.891 | CHEMBL4112013 | 0.857 | GSK635416A | 0.857 | CHEMBL3727865 | 0.850 | CHEMBL3859268 | 0.840 |
| Cimi_76 | Fukiic acid | Glyceolin | 0.924 | Adenine | 0.861 | CHEMBL2408232 | 0.861 | Icaritin | 0.859 | Oligomycin | 0.853 |
| Cimi_77 | Fukinolic acid | Glyceolin | 0.957 | GW780056X | 0.926 | Oligomycin | 0.926 | Ibuprofen | 0.926 | CHEMBL4092508 | 0.878 |
| Cimi_78 | IsoCimicifugamide | Compound 59 | 0.869 | Nummularic acid | 0.858 | Sirtinol | 0.858 | Bupivacaine | 0.849 | CHEMBL3931350 | 0.837 |
| Cimi_79 | Isoferulic acid | Nootkatone | 1.000 | 4a-Isoalantolactone | 1.000 | fenoldopam | 0.979 | 3-O-methylquercetin | 0.914 | Gemcitabine | 0.914 |
| Cimi_80 | Neocimicigenoside A | CHEMBL196759 | 0.941 | CHEMBL3393133 | 0.941 | CHEMBL3133762 | 0.941 | 2-Hydroxyestradiol | 0.941 | CHEMBL2325901 | 0.939 |
| Cimi_81 | Neocimicigenoside B | CHEMBL196759 | 0.941 | CHEMBL3393133 | 0.941 | CHEMBL3133762 | 0.941 | 2-Hydroxyestradiol | 0.941 | CHEMBL2325901 | 0.939 |
| Cimi_82 | N-Methylcytisine | TBB | 0.797 | CHEMBL3967075 | 0.784 | Soyasapogenol C | 0.780 | Momordicoside Q | 0.780 | GW827396X | 0.738 |
| Cimi_83 | p-Coumaric acid | Sulforaphane | 1.000 | 3-O-Methylquercetin | 0.879 | GW782612X | 0.868 | CHEMBL3736320 | 0.849 | CHEMBL208286 | 0.847 |
| Cimi_84 | Petasiphenone | CHEMBL4112741 | 0.951 | Paroxetine | 0.936 | Ibuprofen | 0.933 | GW780056X | 0.933 | Oligomycin | 0.933 |
| Cimi_85 | Piscidic acid | Glyceolin | 0.892 | Adenine | 0.891 | Icaritin | 0.831 | Ibuprofen | 0.814 | Oligomycin | 0.814 |
| Cimi_86 | Podocarpaside A | CHEMBL1230171 | 0.962 | Meriolin | 0.962 | CHEMBL2420899 | 0.953 | Polydatin | 0.953 | Cinacalcet | 0.953 |
| Cimi_87 | Podocarpaside B | CHEMBL1230171 | 0.962 | Meriolin | 0.962 | CHEMBL2420899 | 0.953 | Polydatin | 0.953 | Cinacalcet | 0.953 |
| Cimi_88 | Podocarpaside C | CHEMBL1230171 | 0.962 | Meriolin | 0.962 | CHEMBL2420899 | 0.953 | Polydatin | 0.953 | Cinacalcet | 0.953 |
| Cimi_89 | Podocarpaside D | CHEMBL1230171 | 0.962 | Meriolin | 0.962 | CHEMBL2420899 | 0.953 | Polydatin | 0.953 | Cinacalcet | 0.953 |
| Cimi_90 | Podocarpaside F | CHEMBL1230171 | 0.962 | Meriolin | 0.962 | CHEMBL2420899 | 0.953 | Polydatin | 0.953 | Cinacalcet | 0.953 |
| Cimi_91 | Podocarpaside G | CHEMBL1230171 | 0.952 | Meriolin | 0.952 | Teneligliptin | 0.944 | Polydatin | 0.944 | CHEMBL371968 | 0.944 |
| Cimi_92 | Protocatechualdehyde | CHEMBL208286 | 0.951 | 3-O-Methylquercetin | 0.929 | Belinostat | 0.923 | CHEMBL2408232 | 0.909 | GW782612X | 0.872 |
| Cimi_93 | Protocatechuic acid | CHEMBL208286 | 1.000 | 3-O-Methylquercetin | 0.977 | CHEMBL2408232 | 0.956 | Fenoldopam | 0.910 | Nootkatone | 0.891 |
| Cimi_94 | Shengmanol | CHEMBL196759 | 0.910 | DMAT | 0.892 | CHEMBL3133762 | 0.889 | CHEMBL3393133 | 0.889 | 2-Hydroxyestradiol | 0.889 |
| Cimi_95 | Shengmanol xyloside | CHEMBL196759 | 0.951 | CHEMBL3133762 | 0.931 | 2-Hydroxyestradiol | 0.931 | CHEMBL3393133 | 0.931 | Ezetimibe | 0.920 |
| Cimi_96 | Sinapic acid | Nootkatone | 0.961 | 4a-Isoalantolactone | 0.961 | Fenoldopam | 0.941 | Gemcitabine | 0.920 | CHEMBL4066628 | 0.895 |
| Cimi_97 | Visnagin | Prednisolone | 0.938 | CHEMBL3976646 | 0.889 | Rifampicin | 0.889 | CHEMBL208118 | 0.889 | Monascus | 0.889 |
| Cimi_2_ metab | 12-beta-Acetoxycimigenol | DMAT | 0.902 | 2-Hydroxyestradiol | 0.899 | CHEMBL3393133 | 0.899 | CHEMBL3133762 | 0.899 | CHEMBL196759 | 0.899 |
| Cimi_6_ metab | Cimi_6_metab | CHEMBL3393133 | 0.910 | CHEMBL196759 | 0.910 | 2-Hydroxyestradiol | 0.910 | CHEMBL3133762 | 0.910 | Monensin | 0.908 |
| Cimi_8_ metab | 23-O-Acetylshengmanol | Compound C2 | 0.909 | CHEMBL2017214 | 0.899 | CHEMBL383246 | 0.895 | CHEMBL3963444 | 0.894 | 6 Paradol | 0.894 |
| Cimi_9_ metab | Cimi_9_metab | Compound C2 | 0.909 | CHEMBL2017214 | 0.899 | CHEMBL383246 | 0.895 | CHEMBL3963444 | 0.894 | 6 Paradol | 0.894 |
| Cimi_10_ metab | Cimi_10_metab | CHEMBL196759 | 0.899 | 2-Hydroxyestradiol | 0.899 | CHEMBL3133762 | 0.899 | CHEMBL3393133 | 0.899 | CHEMBL4094080 | 0.899 |
| Cimi_12_ metab | Cimi_12_metab | Ascofuranone | 0.919 | AKOS007865932 | 0.907 | CHEMBL4246000 | 0.907 | CHEMBL3975011 | 0.907 | delphinidin-3-glucoside | 0.898 |
| Cimi_14_ metab | Cimi_14_metab | DMAT | 0.902 | 2-Hydroxyestradiol | 0.899 | CHEMBL3393133 | 0.899 | CHEMBL3133762 | 0.899 | CHEMBL196759 | 0.899 |
| Cimi_15_ metab | Cimi_15_metab | DMAT | 0.902 | 2-Hydroxyestradiol | 0.899 | CHEMBL3393133 | 0.899 | CHEMBL3133762 | 0.899 | CHEMBL196759 | 0.899 |
| Cimi_16_ metab | 25- O-Methylcimigenol | CHEMBL3393133 | 0.899 | 2-Hydroxyestradiol | 0.899 | CHEMBL3133762 | 0.899 | CHEMBL196759 | 0.899 | CHEMBL3361128 | 0.887 |
| Cimi_18_ metab | 25-O-Methylcimigenol | CHEMBL3393133 | 0.899 | 2-Hydroxyestradiol | 0.899 | CHEMBL3133762 | 0.899 | CHEMBL196759 | 0.899 | CHEMBL3361128 | 0.887 |
| Cimi_19_ metab | Cimi_19_metab | DMAT | 0.903 | CHEMBL3133762 | 0.900 | CHEMBL196759 | 0.900 | CHEMBL3393133 | 0.900 | 2-Hydroxyestradiol | 0.900 |
| Cimi_22_ metab | Cimi_22_metab | Monensin | 0.909 | GSK978744A | 0.905 | CHEMBL2338231 | 0.903 | Berteroin | 0.903 | LCZ696 | 0.903 |
| Cimi_23_ metab | Cimi_23_metab | Monensin | 0.909 | GSK978744A | 0.905 | CHEMBL2338231 | 0.903 | Berteroin | 0.903 | LCZ696 | 0.903 |
| Cimi_25_ metab | Cimi_25_metab | DMAT | 0.903 | CHEMBL3133762 | 0.900 | CHEMBL196759 | 0.900 | CHEMBL3393133 | 0.900 | 2-Hydroxyestradiol | 0.900 |
| Cimi_28_ metab | Cimi_28_metab | CHEMBL3746293 | 0.925 | CHEMBL1078665 | 0.925 | Compound C2 | 0.924 | CHEMBL4114120 | 0.902 | GW275944X | 0.902 |
| Cimi_29_ metab | Cimi_29_metab | CHEMBL2376144 | 0.899 | CHEMBL2041962 | 0.898 | CHEMBL3427184 | 0.898 | Epiberberine | 0.898 | GW275944X | 0.898 |
| Cimi_32_ metab | Cimi_32_metab | DMAT | 0.900 | CHEMBL196759 | 0.899 | CHEMBL3133762 | 0.899 | 2-Hydroxyestradiol | 0.899 | CHEMBL3393133 | 0.899 |
| Cimi_38_ metab | Cimicidanol | Gamma linolenic acid | 0.924 | Fluvastatin | 0.923 | CHEMBL1078665 | 0.913 | CHEMBL4114120 | 0.912 | Compound C2 | 0.912 |
| Cimi_39_ metab | Cimi_39_metab | Gamma linolenic acid | 0.966 | Fluvastatin | 0.966 | CHEMBL2337767 | 0.955 | Epiberberine | 0.955 | CHEMBL1078665 | 0.933 |
| Cimi_40_ metab | Cimi_40_metab | C128 | 0.956 | Pitavastatin | 0.955 | Xanthohumol | 0.928 | Fluvastatin | 0.920 | CHEMBL4114120 | 0.909 |
| Cimi_41_ metab | Cimi_41_metab | GW631581B | 0.894 | Theasinensis A | 0.884 | Compound C2 | 0.884 | GW275944X | 0.881 | Folic acid | 0.880 |
| Cimi_43_ metab | Hydroxytyrosol | CHEMBL1233881 | 1.000 | CHEMBL4112741 | 0.830 | CHEMBL3909286 | 0.823 | gamma-oryzanol | 0.802 | CHEMBL4215572 | 0.793 |
| Cimi_46_ metab | Cimigenol | DMAT | 0.900 | CHEMBL196759 | 0.899 | CHEMBL3133762 | 0.899 | 2-Hydroxyestradiol | 0.899 | CHEMBL3393133 | 0.899 |
| Cimi_56_ metab | Cimi_56_metab | CHEMBL3393133 | 0.941 | 2-Hydroxyestradiol | 0.941 | CHEMBL3133762 | 0.941 | CHEMBL196759 | 0.941 | CHEMBL4278763 | 0.917 |
| Cimi_57_ metab | Cimigenol | DMAT | 0.900 | CHEMBL196759 | 0.899 | CHEMBL3133762 | 0.899 | 2-Hydroxyestradiol | 0.899 | CHEMBL3393133 | 0.899 |
| Cimi_58_ metab | 12beta-acetoxycimigenol | DMAT | 0.902 | 2-Hydroxyestradiol | 0.899 | CHEMBL3393133 | 0.899 | CHEMBL3133762 | 0.899 | CHEMBL196759 | 0.899 |
| Cimi_59_ metab | Cimi_59_metab | CHEMBL2325901 | 0.939 | CHEMBL2420899 | 0.923 | CHEMBL371968 | 0.923 | Teneligliptin | 0.923 | Polydatin | 0.923 |
| Cimi_61_ metab | Cimi_61_metab | CHEMBL3393133 | 0.920 | CHEMBL3133762 | 0.920 | CHEMBL196759 | 0.920 | 2-Hydroxyestradiol | 0.920 | Monensin | 0.917 |
| Cimi_62_ metab | Cimi_62_metab | Ascofuranone | 0.923 | AKOS007865932 | 0.911 | Monensin | 0.908 | CHEMBL3975011 | 0.908 | CHEMBL4246000 | 0.908 |
| Cimi_63_ metab | Cimi_63_metab | Ascofuranone | 0.923 | AKOS007865932 | 0.911 | Monensin | 0.908 | CHEMBL3975011 | 0.908 | CHEMBL4246000 | 0.908 |
| Cimi_64_ metab | 23-O-Acetylshengmanol | Compound C2 | 0.909 | CHEMBL2017214 | 0.899 | CHEMBL383246 | 0.895 | CHEMBL3963444 | 0.894 | 6 Paradol | 0.894 |
| Cimi_65_ metab | Cimi_65_metab | CHEMBL3393133 | 0.910 | CHEMBL196759 | 0.910 | 2-Hydroxyestradiol | 0.910 | CHEMBL3133762 | 0.910 | Monensin | 0.908 |
| Cimi_66_ metab | Cimi_66_metab | CHEMBL2017214 | 0.911 | DMAT | 0.903 | CHEMBL3735890 | 0.889 | CHEMBL383246 | 0.885 | CHEMBL3393133 | 0.879 |
| Cimi_67_ metab | 12beta-Hydroxycimigenol | DMAT | 0.900 | CHEMBL196759 | 0.899 | CHEMBL3133762 | 0.899 | 2-Hydroxyestradiol | 0.899 | CHEMBL3393133 | 0.899 |
| Cimi_68_ metab | Cimigenol | DMAT | 0.900 | CHEMBL196759 | 0.899 | CHEMBL3133762 | 0.899 | 2-Hydroxyestradiol | 0.899 | CHEMBL3393133 | 0.899 |
| Cimi_69_ metab | Cimi_69_metab | Ascofuranone | 0.919 | AKOS007865932 | 0.907 | CHEMBL4246000 | 0.907 | CHEMBL3975011 | 0.907 | delphinidin-3-glucoside | 0.898 |
| Cimi_78_ metab | Cimi_78_metab | SB-732941 | 0.924 | CHEMBL3933251 | 0.875 | CHEMBL3728128 | 0.870 | Corosolic acid | 0.852 | Hernandezine | 0.800 |
| Cimi_80_ metab | Cimi_80_metab | Urolithin A | 0.907 | CHEMBL2017214 | 0.897 | CHEMBL383246 | 0.891 | DMAT | 0.890 | CHEMBL3963444 | 0.890 |
| Cimi_81_ metab | Cimi_81_metab | Urolithin A | 0.907 | CHEMBL2017214 | 0.897 | CHEMBL383246 | 0.891 | DMAT | 0.890 | CHEMBL3963444 | 0.890 |
| Cimi_86_ metab | Cimi_86_metab | Gamma linolenic acid | 0.955 | CHEMBL1078665 | 0.944 | CHEMBL4114120 | 0.943 | GW780159X | 0.942 | Crocin | 0.941 |
| Cimi_87_ metab | Cimi_87_metab | CHEMBL4114120 | 0.953 | Crocin | 0.952 | Gamma linolenic acid | 0.943 | Fluvastatin | 0.941 | Fucoxanthin | 0.940 |
| Cimi_88_ metab | Cimi_88_metab | Gamma linolenic acid | 0.955 | Fluvastatin | 0.954 | CHEMBL1078665 | 0.944 | CHEMBL4114120 | 0.943 | Epiberberine | 0.942 |
| Cimi_89_ metab | Cimi_89_metab | CHEMBL4114120 | 0.953 | Crocin | 0.952 | Gamma linolenic acid | 0.943 | Fluvastatin | 0.941 | Fucoxanthin | 0.940 |
| Cimi_90_ metab | Cimi_90_metab | CHEMBL1230171 | 0.962 | Meriolin 1 | 0.962 | CHEMBL2420899 | 0.953 | polydatin | 0.953 | Cinacalcet | 0.953 |
| Cimi_91_ metab | Cimi_91_metab | Gamma linolenic acid | 0.943 | Fluvastatin | 0.941 | CHEMBL1078665 | 0.932 | CHEMBL4114120 | 0.930 | Epiberberine | 0.929 |
| Cimi_92_ metab | Cimi_92_metab | CHEMBL196759 | 0.910 | DMAT | 0.892 | CHEMBL3133762 | 0.889 | CHEMBL3393133 | 0.889 | 2-Hydroxyestradiol | 0.889 |
| Median | 0.941 | 0.923 | 0.922 | 0.912 | 0.907 | ||||||
References
- Wuttke, W.; Seidlová-Wuttke, D.; Gorkow, C. The Cimicifuga preparation BNO 1055 vs. conjugated estrogens in a double-blind placebo-controlled study: Effects on menopause symptoms and bone markers. Maturitas 2003, 44, S67–S77. [Google Scholar] [CrossRef] [PubMed]
- Osmers, R.; Friede, M.; Liske, E.; Schnitker, J.; Freudenstein, J.; Henneicke von Zepelin, H.H. Efficacy and safety of isopropanolic black cohosh extract for climacteric symptoms. Obstet. Gynecol. 2005, 105, 1074–1083. [Google Scholar] [CrossRef] [PubMed]
- Schellenberg, R.; Saller, R.; Hess, L.; Melzer, J.; Zimmermann, C.; Drewe, J.; Zahner, C. Dose-dependent effects of the Cimicifuga racemosa extract Ze450 in the treatment of climacteric complaints: A randomized, placebo-controlled study. Evid. Based Complement. Altern. Med. 2012, 2012, 260301. [Google Scholar] [CrossRef] [PubMed]
- Drewe, J.; Zimmermann, C.; Zahner, C. The effect of a Cimicifuga racemosa extracts Ze 450 in the treatment of climacteric complaints—An observational study. Phytomed. Int. J. Phytother. Phytopharm. 2013, 20, 659–666. [Google Scholar] [CrossRef] [PubMed]
- HMPC. European Union Herbal Monograph on Cimicifuga racemosa (L.) Nutt., Rhizoma; European Medicines Agency: Amsterdam, The Netherlands, 2018. [Google Scholar]
- Seidlova-Wuttke, D.; Eder, N.; Stahnke, V.; Kammann, M.; Stecher, G.; Haunschild, J.; Wessels, J.T.; Wuttke, W. Cimicifuga racemosa and its triterpene-saponins prevent the Metabolic Syndrome and deterioration of cartilage in the knee joint of ovariectomized rats by similar mechanisms. Phytomed. Int. J. Phytother. Phytopharm. 2012, 19, 846–853. [Google Scholar] [CrossRef] [PubMed]
- Hardie, D.G. Keeping the home fires burning: AMP-activated protein kinase. J. R. Soc. Interface 2018, 15, 20170774. [Google Scholar] [CrossRef] [PubMed]
- Moser, C.; Vickers, S.P.; Brammer, R.; Cheetham, S.C.; Drewe, J. Antidiabetic effects of the Cimicifuga racemosa extract Ze 450 in vitro and in vivo in ob/ob mice. Phytomed. Int. J. Phytother. Phytopharm. 2014, 21, 1382–1389. [Google Scholar] [CrossRef] [PubMed]
- Drewe, J.; Boonen, G.; Culmsee, C. Treat more than heat New therapeutic implications of Cimicifuga racemosa through AMPK-dependent metabolic effects. Phytomed. Int. J. Phytother. Phytopharm. 2022, 100, 154060. [Google Scholar] [CrossRef]
- Hardie, D.G. Regulation of AMP-activated protein kinase by natural and synthetic activators. Acta Pharm. Sin. B 2016, 6, 1–19. [Google Scholar] [CrossRef]
- Sharma, H.; Kumar, S. Natural AMPK Activators: An Alternative Approach for the Treatment and Management of Metabolic Syndrome. Curr. Med. Chem. 2017, 24, 1007–1047. [Google Scholar] [CrossRef]
- Drewe, J.; Küsters, E.; Hammann, F.; Kreuter, M.; Boss, P.; Schöning, V. Modeling Structure-Activity Relationship of AMPK Activation. Molecules 2021, 26, 6508. [Google Scholar] [CrossRef] [PubMed]
- Vazirian, M.; Nabavi, S.M.; Jafari, S.; Manayi, A. Natural activators of adenosine 5′-monophosphate (AMP)-activated protein kinase (AMPK) and their pharmacological activities. Food Chem. Toxicol. 2018, 122, 69–79. [Google Scholar] [CrossRef] [PubMed]
- Francini, F.; Schinella, G.R.; Rios, J.L. Activation of AMPK by Medicinal Plants and Natural Products: Its Role in Type 2 Diabetes Mellitus. Mini Rev. Med. Chem. 2019, 19, 880–901. [Google Scholar] [CrossRef]
- Anjum, J.; Mitra, S.; Das, R.; Alam, R.; Mojumder, A.; Emran, T.B.; Islam, F.; Rauf, A.; Hossain, M.J.; Aljohani, A.S.M.; et al. A renewed concept on the MAPK signaling pathway in cancers: Polyphenols as a choice of therapeutics. Pharmacol. Res. 2022, 184, 106398. [Google Scholar] [CrossRef] [PubMed]
- Francis, G.; Kerem, Z.; Makkar, H.P.; Becker, K. The biological action of saponins in animal systems: A review. Br. J. Nutr. 2002, 88, 587–605. [Google Scholar] [CrossRef] [PubMed]
- Yu, K.; Chen, F.; Li, C. Absorption, disposition, and pharmacokinetics of saponins from Chinese medicinal herbs: What do we know and what do we need to know more? Curr. Drug Metab. 2012, 13, 577–598. [Google Scholar] [CrossRef] [PubMed]
- Tawab, M.A.; Bahr, U.; Karas, M.; Wurglics, M.; Schubert-Zsilavecz, M. Degradation of ginsenosides in humans after oral administration. Drug Metab. Dispos. 2003, 31, 1065–1071. [Google Scholar] [CrossRef] [PubMed]
- Setchell, K.D.; Brown, N.M.; Desai, P.B.; Zimmer-Nechimias, L.; Wolfe, B.; Jakate, A.S.; Creutzinger, V.; Heubi, J.E. Bioavailability, disposition, and dose-response effects of soy isoflavones when consumed by healthy women at physiologically typical dietary intakes. J. Nutr. 2003, 133, 1027–1035. [Google Scholar] [CrossRef] [PubMed]
- Setchell, K.D.; Brown, N.M.; Zimmer-Nechemias, L.; Brashear, W.T.; Wolfe, B.E.; Kirschner, A.S.; Heubi, J.E. Evidence for lack of absorption of soy isoflavone glycosides in humans, supporting the crucial role of intestinal metabolism for bioavailability. Am. J. Clin. Nutr. 2002, 76, 447–453. [Google Scholar] [CrossRef]
- Li, J.X.; Yu, Z.Y. Cimicifugae rhizoma: From origins, bioactive constituents to clinical outcomes. Curr. Med. Chem. 2006, 13, 2927–2951. [Google Scholar] [CrossRef]
- Durant, J.L.; Leland, B.A.; Henry, D.R.; Nourse, J.G. Reoptimization of MDL keys for use in drug discovery. J. Chem. Inf. Comput. Sci. 2002, 42, 1273–1280. [Google Scholar] [CrossRef]
- Orosz, A.; Heberger, K.; Racz, A. Comparison of Descriptor- and Fingerprint Sets in Machine Learning Models for ADME-Tox Targets. Front. Chem. 2022, 10, 852893. [Google Scholar] [CrossRef] [PubMed]
- Chawla, N.V.; Bowyer, K.W.; Hall, L.O.; Kegelmeyer, W.P. SMOTE: Synthetic Minority Over-sampling Technique. J. Artif. Intellig. Res. 2002, 16, 321–357. [Google Scholar] [CrossRef]
- OECD. OECD Principles for the Validation, for Regulatory Purposes, of (Quantitative) Structure-Activity Relationship Models; OECD: Paris, France, 2004; Available online: https://www.oecd.org (accessed on 4 April 2024).
- Tropsha, A. Best Practices for QSAR Model Development, Validation, and Exploitation. Mol. Inf. 2010, 29, 476–488. [Google Scholar] [CrossRef] [PubMed]
- van der Maaten, L.J.P.; Hinton, G.E. Visualizing high-dimensional data using t-SNE. J. Mach. Learn. Res. 2008, 9. [Google Scholar]
- Goodfellow, L.; Bengio, Y.; Courville, A. Deep Learning; MIT Press: Cambridge, UK, 2016. [Google Scholar]
- Tolles, J.; Meurer, W.J. Logistic Regression: Relating Patient Characteristics to Outcomes. JAMA 2016, 316, 533–534. [Google Scholar] [CrossRef] [PubMed]
- Fawcett, T. An introduction to ROC analysis. Pattern Recognit. Lett. 2006, 27, 861–874. [Google Scholar] [CrossRef]
- Daina, A.; Michielin, O.; Zoete, V. SwissADME: A free web tool to evaluate pharmacokinetics, drug-likeness and medicinal chemistry friendliness of small molecules. Sci. Rep. 2017, 7, 42717. [Google Scholar] [CrossRef]
- Delaney, J.S. ESOL: Estimating aqueous solubility directly from molecular structure. J. Chem. Inf. Comput. Sci. 2004, 44, 1000–1005. [Google Scholar] [CrossRef]
- Ali, J.; Camilleri, P.; Brown, M.B.; Hutt, A.J.; Kirton, S.B. Revisiting the general solubility equation: In silico prediction of aqueous solubility incorporating the effect of topographical polar surface area. J. Chem. Inf. Model. 2012, 52, 420–428. [Google Scholar] [CrossRef]
- Cheng, T.; Zhao, Y.; Li, X.; Lin, F.; Xu, Y.; Zhang, X.; Li, Y.; Wang, R.; Lai, L. Computation of octanol-water partition coefficients by guiding an additive model with knowledge. J. Chem. Inf. Model. 2007, 47, 2140–2148. [Google Scholar] [CrossRef]
- Lipinski, C.A.; Lombardo, F.; Dominy, B.W.; Feeney, P.J. Experimental and computational approaches to estimate solubility and permeability in drug discovery and development settings. Adv. Drug Deliv. Rev. 2012, 64, 4–17. [Google Scholar] [CrossRef]
- Bae, I.S.; Kim, S.H. Sinapic Acid Promotes Browning of 3T3-L1 Adipocytes via p38 MAPK/CREB Pathway. Biomed. Res. Int. 2020, 2020, 5753623. [Google Scholar] [CrossRef]
- Singh, S.S.B.; Patil, K.N. trans-ferulic acid attenuates hyperglycemia-induced oxidative stress and modulates glucose metabolism by activating AMPK signaling pathway in vitro. J. Food Biochem. 2022, 46, e14038. [Google Scholar] [CrossRef]
- Lin, B.; Wan, H.; Yang, J.; Yu, L.; Zhou, H.; Wan, H. Lipid regulation of protocatechualdehyde and hydroxysafflor yellow A via AMPK/SREBP2/PCSK9/LDLR signaling pathway in hyperlipidemic zebrafish. Heliyon 2024, 10, e24908. [Google Scholar] [CrossRef]
- Dong, Y.Z.; Li, L.; Espe, M.; Lu, K.L.; Rahimnejad, S. Hydroxytyrosol Attenuates Hepatic Fat Accumulation via Activating Mitochondrial Biogenesis and Autophagy through the AMPK Pathway. J. Agric. Food Chem. 2020, 68, 9377–9386. [Google Scholar] [CrossRef]
- Navarro del Hierro, J.; Herrera, T.; Fornari, T.; Reglero, G. The gastrointestinal behavior of saponins and its significance for their bioavailability and bioactivities. J. Funct. Food 2018, 40, 484–497. [Google Scholar] [CrossRef]
- Disch, L.; Forsch, K.; Siewert, B.; Drewe, J.; Fricker, G. In vitro and in situ characterization of triterpene glycosides from Cimicifuga racemosa extract. J. Pharm. Sci. 2017, 106, 3642–3650. [Google Scholar] [CrossRef]
- van Breemen, R.B.; Liang, W.; Banuvar, S.; Shulman, L.P.; Pang, Y.; Tao, Y.; Nikolic, D.; Krock, K.M.; Fabricant, D.S.; Chen, S.N.; et al. Pharmacokinetics of 23-epi-26-deoxyactein in women after oral administration of a standardized extract of black cohosh. Clin. Pharmacol. Ther. 2010, 87, 219–225. [Google Scholar] [CrossRef]
- Ramesh, M.; Vepuri, S.B.; Oosthuizen, F.; Soliman, M.E. Adenosine Monophosphate-Activated Protein Kinase (AMPK) as a Diverse Therapeutic Target: A Computational Perspective. Appl. Biochem. Biotechnol. 2016, 178, 810–830. [Google Scholar] [CrossRef]
- Li, Y.; Peng, J.; Li, P.; Du, H.; Li, Y.; Liu, X.; Zhang, L.; Wang, L.L.; Zuo, Z. Identification of potential AMPK activator by pharmacophore modeling, molecular docking and QSAR study. Comput. Biol. Chem. 2019, 79, 165–176. [Google Scholar] [CrossRef] [PubMed]






| Method | Training Accuracy (%) | Test Accuracy (%) | Y-Randomization (**) | Precision (%) | Sensitivity (%) | Specificity (%) | ROC AUC (*) | TN | FN | FP | TP |
|---|---|---|---|---|---|---|---|---|---|---|---|
| Deep Neural Network (DNN) | 96.9 | 86.2 | 57.6 ± 1.8 | 89.8 | 86.0 | 86.5 | 97.6 ± 4.2 | 50 | 3 | 0 | 47 |
| Logistic Regression Classification (LRC) | 90.2 | 90.2 | 57.7 ± 1.5 | 87.9 | 84.5 | 84.1 | 90.2 ± 4.2 | 43 | 10 | 7 | 40 |
| Random Forest Classification (RFC) | 99.7 | 89.0 | 57.8 ± 1.8 | 93.3 | 87.2 | 91.4 | 95.0 ± 2.5 | 49 | 8 | 1 | 42 |
Disclaimer/Publisher’s Note: The statements, opinions and data contained in all publications are solely those of the individual author(s) and contributor(s) and not of MDPI and/or the editor(s). MDPI and/or the editor(s) disclaim responsibility for any injury to people or property resulting from any ideas, methods, instructions or products referred to in the content. |
© 2024 by the authors. Licensee MDPI, Basel, Switzerland. This article is an open access article distributed under the terms and conditions of the Creative Commons Attribution (CC BY) license (https://creativecommons.org/licenses/by/4.0/).
Share and Cite
Drewe, J.; Schöning, V.; Danton, O.; Schenk, A.; Boonen, G. Machine Learning-Based Analysis Reveals Triterpene Saponins and Their Aglycones in Cimicifuga racemosa as Critical Mediators of AMPK Activation. Pharmaceutics 2024, 16, 511. https://doi.org/10.3390/pharmaceutics16040511
Drewe J, Schöning V, Danton O, Schenk A, Boonen G. Machine Learning-Based Analysis Reveals Triterpene Saponins and Their Aglycones in Cimicifuga racemosa as Critical Mediators of AMPK Activation. Pharmaceutics. 2024; 16(4):511. https://doi.org/10.3390/pharmaceutics16040511
Chicago/Turabian StyleDrewe, Jürgen, Verena Schöning, Ombeline Danton, Alexander Schenk, and Georg Boonen. 2024. "Machine Learning-Based Analysis Reveals Triterpene Saponins and Their Aglycones in Cimicifuga racemosa as Critical Mediators of AMPK Activation" Pharmaceutics 16, no. 4: 511. https://doi.org/10.3390/pharmaceutics16040511
APA StyleDrewe, J., Schöning, V., Danton, O., Schenk, A., & Boonen, G. (2024). Machine Learning-Based Analysis Reveals Triterpene Saponins and Their Aglycones in Cimicifuga racemosa as Critical Mediators of AMPK Activation. Pharmaceutics, 16(4), 511. https://doi.org/10.3390/pharmaceutics16040511





























