Amide-to-Triazole Switch in Somatostatin-14-Based Radioligands: Impact on Receptor Affinity and In Vivo Stability
Abstract
1. Introduction
2. Materials and Methods
2.1. Materials and Instrumentation
2.2. Synthesis
2.2.1. General Procedure 1. Manual Solid-Phase Peptide Synthesis
2.2.2. General Procedure 2. Fmoc Deprotection on Resin
2.2.3. General Procedure 3. On Resin Azido Functionalization of Peptide N-Terminus
2.2.4. General Procedure 4. On Resin Copper(I) Catalyzed Alkyne Azide Cycloaddition (CuAAC)
2.2.5. General Procedure 5. Peptide Cleavage, Cyclization, Complete Deprotection and Purification
2.2.6. De Novo Synthesis of AT2S
2.2.7. Synthesis of XG1
2.2.8. Synthesis of XG2
2.2.9. Synthesis of XG3
2.2.10. Synthesis of XG4
2.2.11. Synthesis of XG5
2.2.12. Preparation of natIn-XG1
2.3. Radiolabeling with [111In]InCl3
2.4. In Vitro Studies
2.4.1. Cell Culture
2.4.2. Cell Binding and Internalization Assays and Blocking Experiments with AR42J Cells
2.4.3. Receptor Saturation Binding Assay with SST2R-Expressing in AR42J Cells
2.4.4. Competition Binding Assays in hSST1,2,3,5R Cell Membrane Homogenates
2.4.5. In Vitro Blood Plasma Stability Studies
2.5. In Vivo Studies
2.5.1. Metabolic Stability Studies
2.5.2. SPECT/CT Imaging and Ex Vivo Determination of Tumor/Kidney Uptake
3. Results and Discussion
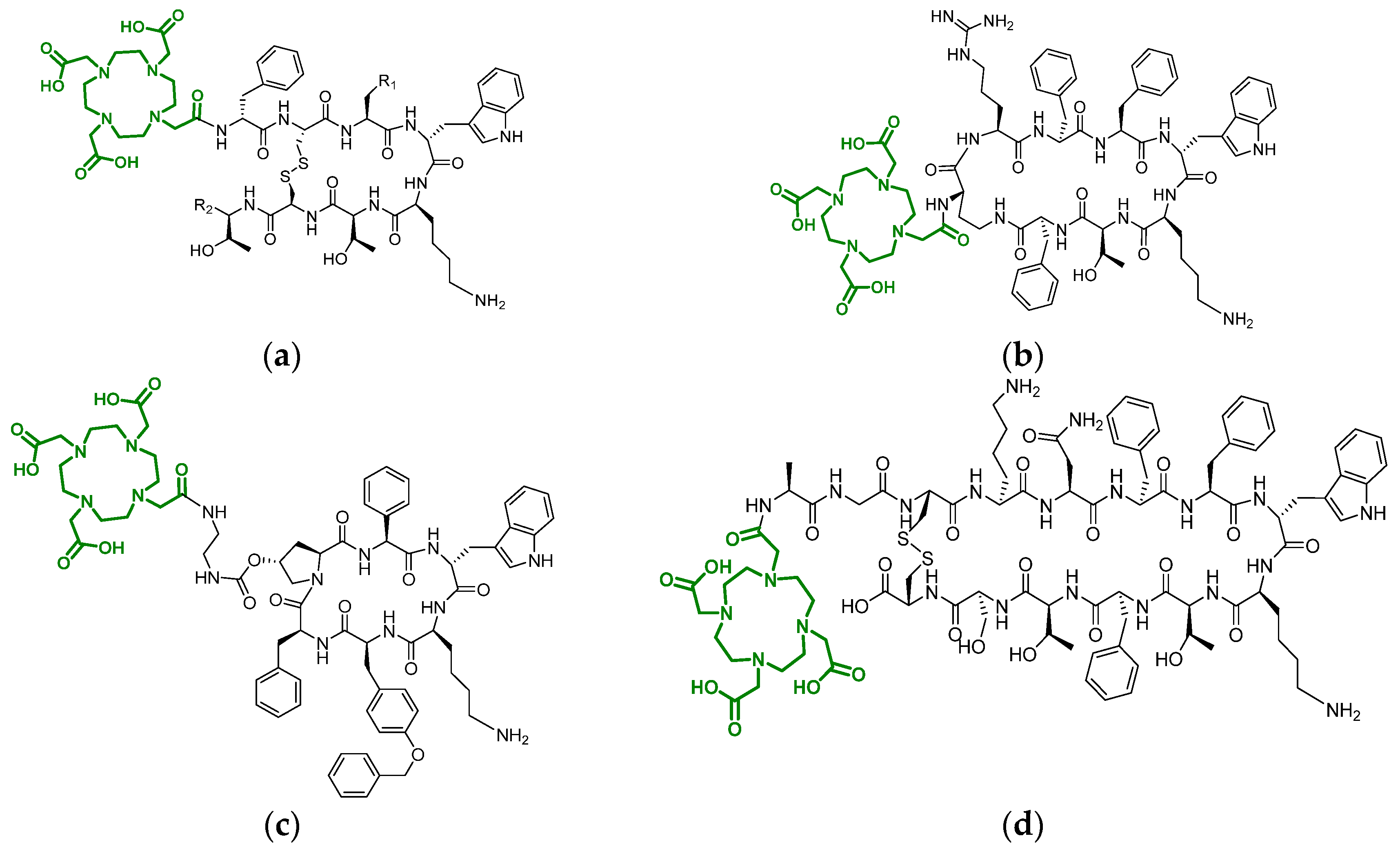
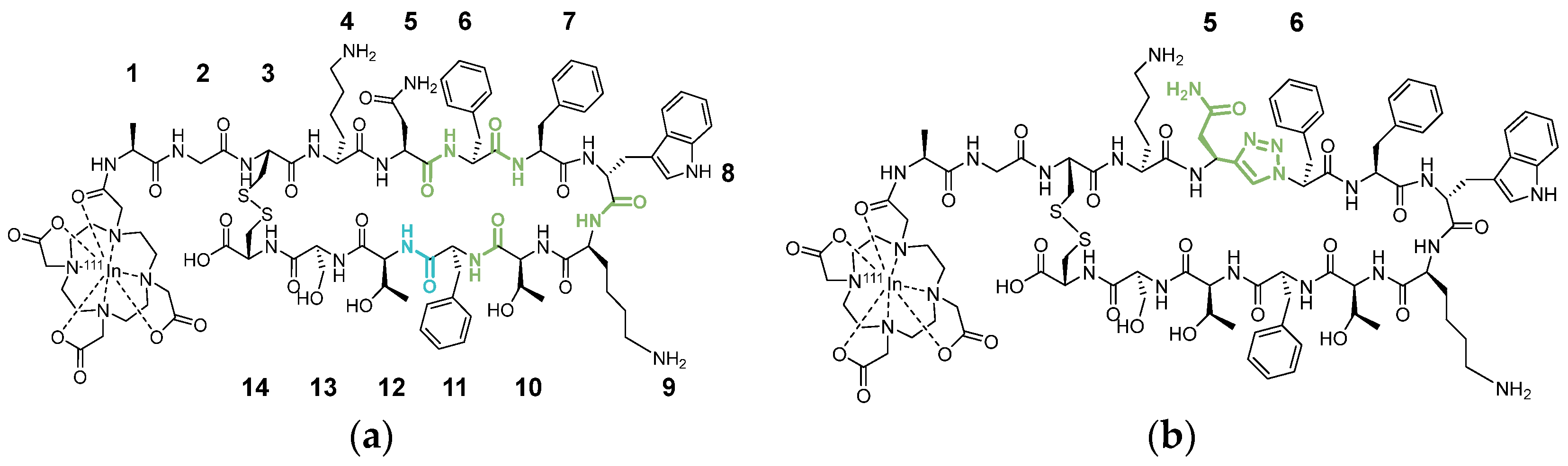
3.1. Synthesis and (Radio)Metal Labeling of Triazolo-Peptidomimetics
3.2. In Vitro Evaluation
3.3. In Vivo Evaluation
4. Conclusions
Supplementary Materials
Author Contributions
Funding
Institutional Review Board Statement
Informed Consent Statement
Data Availability Statement
Acknowledgments
Conflicts of Interest
References
- Guillemin, R. Somatostatin: The Beginnings, 1972. Mol. Cell. Endocrinol. 2008, 286, 3–4. [Google Scholar] [CrossRef]
- Barbieri, F.; Bajetto, A.; Pattarozzi, A.; Gatti, M.; Würth, R.; Thellung, S.; Corsaro, A.; Villa, V.; Nizzari, M.; Florio, T. Peptide Receptor Targeting in Cancer: The Somatostatin Paradigm. Int. J. Pept. 2013, 2013, 926295. [Google Scholar] [CrossRef]
- Reubi, J.C.; Waser, B.; Schaer, J.C.; Laissue, J.A. Somatostatin Receptor Sst1-Sst5 Expression in Normal and Neoplastic Human Tissues Using Receptor Autoradiography with Subtype-Selective Ligands. Eur. J. Nucl. Med. 2001, 28, 836–846. [Google Scholar] [CrossRef] [PubMed]
- Priyadarshini, S.; Allison, D.B.; Chauhan, A. Comprehensive Assessment of Somatostatin Receptors in Various Neoplasms: A Systematic Review. Pharmaceutics 2022, 14, 1394. [Google Scholar] [CrossRef]
- Kumar, U.; Grigorakis, S.I.; Watt, H.L.; Sasi, R.; Snell, L.; Watson, P.; Chaudhari, S. Somatostatin Receptors in Primary Human Breast Cancer: Quantitative Analysis of MRNA for Subtypes 1–5 and Correlation with Receptor Protein Expression and Tumor Pathology. Breast Cancer Res. Treat. 2005, 92, 175–186. [Google Scholar] [CrossRef] [PubMed]
- Mazzucchelli, R.; Morichetti, D.; Scarpelli, M.; Bono, A.V.; Lopez-Beltran, A.; Cheng, L.; Kirkali, Z.; Montironi, R. Somatostatin Receptor Subtypes in Hormone-Refractory (Castration-Resistant) Prostatic Carcinoma. Asian J. Androl. 2011, 13, 242–247. [Google Scholar] [CrossRef] [PubMed]
- Keskin, O.; Yalcin, S. A Review of the Use of Somatostatin Analogs in Oncology. OncoTargets Ther. 2013, 6, 471–483. [Google Scholar] [CrossRef][Green Version]
- Hennrich, U.; Benešová, M. [68 Ga]Ga-DOTA-TOC: The First FDA-Approved 68Ga-Radiopharmaceutical for PET Imaging. Pharmaceuticals 2020, 13, 38. [Google Scholar] [CrossRef] [PubMed]
- Wild, D.; Schmitt, J.S.; Ginj, M.; Mäcke, H.R.; Bernard, B.F.; Krenning, E.; De Jong, M.; Wenger, S.; Reubi, J.C. DOTA-NOC, a High-Affinity Ligand of Somatostatin Receptor Subtypes 2, 3 and 5 for Labelling with Various Radiometals. Eur. J. Nucl. Med. Mol. Imaging 2003, 30, 1338–1347. [Google Scholar] [CrossRef]
- Reubi, J.C.; Schär, J.C.; Waser, B.; Wenger, S.; Heppeler, A.; Schmitt, J.S.; Mäcke, H.R. Affinity Profiles for Human Somatostatin Receptor Subtypes SST1–SST5 of Somatostatin Radiotracers Selected for Scintigraphic and Radiotherapeutic Use. Eur. J. Nucl. Med. 2000, 27, 273–282. [Google Scholar] [CrossRef]
- Öberg, K.; Sundin, A. Imaging of Neuroendocrine Tumors. Front. Horm. Res. 2016, 45, 142–151. [Google Scholar] [CrossRef]
- Maina, T.; Cescato, R.; Waser, B.; Tatsi, A.; Kaloudi, A.; Krenning, E.P.; De Jong, M.; Nock, B.A.; Reubi, J.C. LTT-SS28, a First Pansomatostatin Radioligand for in vivo Targeting of Somatostatin Receptor-Positive Tumors. J. Med. Chem. 2014, 57, 6564–6571. [Google Scholar] [CrossRef]
- Reubi, J.C.; Eisenwiener, K.P.; Rink, H.; Waser, B.; Mäcke, H.R. A New Peptidic Somatostatin Agonist with High Affinity to All Five Somatostatin Receptors. Eur. J. Pharmacol. 2002, 456, 45–49. [Google Scholar] [CrossRef]
- Liu, F.; Liu, T.; Xu, X.; Guo, X.; Li, N.; Xiong, C.; Li, C.; Zhu, H.; Yang, Z. Design, Synthesis, and Biological Evaluation of 68 Ga-DOTA-PA1 for Lung Cancer: A Novel PET Tracer for Multiple Somatostatin Receptor Imaging. Mol. Pharm. 2018, 15, 619–628. [Google Scholar] [CrossRef]
- Tatsi, A.; Maina, T.; Cescato, R.; Waser, B.; Krenning, E.P.; de Jong, M.; Cordopatis, P.; Reubi, J.C.; Nock, B.A. [111In-DOTA]Somatostatin-14 Analogs as Potential Pansomatostatin-like Radiotracers—First Results of a Preclinical Study. EJNMMI Res. 2012, 2, 1. [Google Scholar] [CrossRef] [PubMed]
- Rivier, J.; Brown, M.; Vale, W. D-Trp8-Somatostatin: An analog of somatostatin more potent than the native molecule. Biochem. Biophys. Res. Commun. 1973, 65, 7466–7751. [Google Scholar] [CrossRef]
- Doris, M.R.; Patel, Y.C. Somatostatin Metabolism by the Isolated Rat Lung. Endocrinology 1985, 117, 1870–1873. [Google Scholar] [CrossRef]
- Nock, B.A.; Maina, T.; Krenning, E.P.; De Jong, M. To Serve and Protect: Enzyme Inhibitors as Radiopeptide Escorts Promote Tumor Targeting. J. Nucl. Med. 2014, 55, 121–127. [Google Scholar] [CrossRef]
- Sakurada, C.; Yokosawa, H.; Ishii, S.I. The Degradation of Somatostatin by Synaptic Membrane of Rat Hippocampus Is Initiated by Endopeptidase-24.11. Peptides 1990, 11, 287–292. [Google Scholar] [CrossRef] [PubMed]
- Patel, Y.C.; Wheatley, T. In Vivo and In Vitro Plasma Disappearance and Metabolism of Somatostatin-28 and Somatostatin-14 in the Rat. Endocrinology 1983, 112, 220–225. [Google Scholar] [CrossRef] [PubMed]
- Choudhary, A.; Raines, R.T. An Evaluation of Peptide-Bond Isosteres. ChemBioChem 2011, 12, 1801–1807. [Google Scholar] [CrossRef]
- Rostovtsev, V.V.; Green, L.G.; Fokin, V.V.; Sharpless, K.B. A Stepwise Huisgen Cycloaddition Process: Copper(I)-Catalyzed Regioselective “Ligation” of Azides and Terminal Alkynes. Angew. Chem. Int. Ed. 2002, 41, 2596–2599. [Google Scholar] [CrossRef]
- Tornøe, C.W.; Christensen, C.; Meldal, M. Peptidotriazoles on Solid Phase: [1–3]-Triazoles by Regiospecific Copper(I)-Catalyzed 1,3-Dipolar Cycloadditions of Terminal Alkynes to Azides. J. Org. Chem. 2002, 67, 3057–3064. [Google Scholar] [CrossRef]
- Guarrochena, X.; Kaudela, B.; Mindt, T.L. Automated Solid-phase Synthesis of Metabolically Stabilized Triazolo-peptidomimetics. J. Pept. Sci. 2023, 29, e3488. [Google Scholar] [CrossRef]
- Recnik, L.; Kandioller, W.; Mindt, T.L. Surrogates for the Stabilisation of Linear Peptides. Molecules 2020, 25, 3576. [Google Scholar] [PubMed]
- Valverde, I.E.; Bauman, A.; Kluba, C.A.; Vomstein, S.; Walter, M.A.; Mindt, T.L. 1,2,3-Triazoles as Amide Bond Mimics: Triazole Scan Yields Protease-Resistant Peptidomimetics for Tumor Targeting. Angew. Chem. Int. Ed. 2013, 52, 8957–8960. [Google Scholar] [CrossRef] [PubMed]
- Grob, N.M.; Häussinger, D.; Deupi, X.; Schibli, R.; Behe, M.; Mindt, T.L. Triazolo-Peptidomimetics: Novel Radiolabeled Minigastrin Analogs for Improved Tumor Targeting. J. Med. Chem. 2020, 63, 4484–4495. [Google Scholar] [CrossRef] [PubMed]
- Vrettos, E.I.; Valverde, I.E.; Mascarin, A.; Pallier, P.N.; Cerofolini, L.; Fragai, M.; Parigi, G.; Hirmiz, B.; Bekas, N.; Grob, N.M.; et al. Single Peptide Backbone Surrogate Mutations to Regulate Angiotensin GPCR Subtype Selectivity. Chem. Eur. J. 2020, 26, 10690–10694. [Google Scholar] [CrossRef] [PubMed]
- Kanellopoulos, P.; Kaloudi, A.; Rouchota, M.; Loudos, G.; de Jong, M.; Krenning, E.P.; Nock, B.A.; Maina, T. One Step Closer to Clinical Translation: Enhanced Tumor Targeting of [99mTc]Tc-DB4 and [111In]In-SG4 in Mice Treated with Entresto. Pharmaceutics 2020, 12, 1145. [Google Scholar] [CrossRef] [PubMed]
- Schiering, N.; D’Arcy, A.; Villard, F.; Ramage, P.; Logel, C.; Cumin, F.; Ksander, G.M.; Wiesmann, C.; Karki, R.G.; Mogi, M. Structure of Neprilysin in Complex with the Active Metabolite of Sacubitril. Sci. Rep. 2016, 6, 27909. [Google Scholar] [CrossRef]
- Gu, J.; Noe, A.; Chandra, P.; Al-Fayoumi, S.; Ligueros-Saylan, M.; Sarangapani, R.; Maahs, S.; Ksander, G.; Rigel, D.F.; Jeng, A.Y.; et al. Pharmacokinetics and Pharmacodynamics of LCZ696, a Novel Dual-Acting Angiotensin Receptor-Neprilysin Inhibitor (ARNi). J. Clin. Pharmacol. 2010, 50, 401–414. [Google Scholar] [CrossRef] [PubMed]
- Ayalasomayajula, S.; Langenickel, T.; Pal, P.; Boggarapu, S.; Sunkara, G. Clinical pharmacokinetics of sacubitril/valsartan (LCZ696): A novel angiotensin receptor-neprilysin inhibitor. Clin. Pharmacokinet. 2017, 56, 1461–1478. [Google Scholar] [CrossRef]
- McMurray, J.J.; Packer, M.; Solomon, S.D. Neprilysin inhibition for heart failure. N. Engl. J. Med. 2014, 371, 2336–2337. [Google Scholar] [CrossRef]
- Expasy, Swiss Bioinformatics Resource Portal. Available online: https://web.expasy.org/protparam/ (accessed on 19 December 2023).
- Cook, P.S.; Bossinger, C.D.; Colescott, R.L.; Kaiser, E. Color test for detection of free terminal amino groups in the solid-phase synthesis of peptides. Anal. Biochem. 1970, 34, 595–598. [Google Scholar] [CrossRef]
- Gude, M.; Ryf, J.; White, P.D. An Accurate Method for the Quantitation of Fmoc-Derivatized Solid Phase Supports. Int J Pept Res Ther 2002, 9, 203–206. [Google Scholar] [CrossRef]
- Punna, S.; Finn, M.G. A Convenient Colorimetric Test for Aliphatic Azides. Synlett 2004, 1, 99–100. [Google Scholar] [CrossRef]
- Reubi, J.-C.; Perrin, M.H.; Rivier, J.E.; Vale, W. High Affinity Binding Sites for a Somatostatin-28 Analog in Rat Brain. Life Sci. 1981, 28, 2191–2198. [Google Scholar] [CrossRef]
- Ohisi, M. Sacubitril/Valsartan-A new weapon for fighting the hypertension paradox. Hypertens. Res. 2022, 45, 915–916. [Google Scholar] [CrossRef] [PubMed]
- Roques, B.P.; Noble, F.; Dauge, V.; Fournie-Zaluski, M.C.; Beaumont, A. Neutral endopeptidase 24.11: Structure, inhibition, and experimental and clinical pharmacology. Pharmacol. Rev. 1993, 45, 87–146. [Google Scholar]
- Roques, B.P. Zinc metallopeptidases: Active site structure and design of selective and mixed inhibitors: New approaches in the search for analgesics and anti-hypertensives. Biochem. Soc. Trans. 1993, 21 Pt 3, 678–685. [Google Scholar] [CrossRef]
- Nuyts, K.; Ceulemans, M.; Parac-Vogt, T.N.; Bultynck, G.; de Borggraeve, W.M. Facile azide formation via diazotransfer reaction in a copper tube flow reactor. Tetrahedron Lett. 2015, 56, 1687–1690. [Google Scholar] [CrossRef]
- Wünsch, M.; Schröder, D.; Fröhr, T.; Teichmann, L.; Hedwig, S.; Janson, N.; Belu, C.; Simon, J.; Heidemeyer, S.; Holtkamp, P.; et al. Asymmetric Synthesis of Propargylamines as Amino Acid Surrogates in Peptidomimetics. Beilstein J. Org. Chem. 2017, 13, 2428–2441. [Google Scholar] [CrossRef] [PubMed]
- Bo, Q.; Yang, F.; Li, Y.; Meng, X.; Zhang, H.; Zhou, Y.; Ling, S.; Sun, D.; Lv, P.; Liu, L.; et al. Structural Insights into the Activation of Somatostatin Receptor 2 by Cyclic SST Analogues. Cell Discov. 2022, 8, 47. [Google Scholar] [CrossRef] [PubMed]
- Rens-Domiano, S.; Reisine, T. Structural Analysis and Functional Role of the Carbohydrate Component of Somatostatin Receptors. J. Bio. Chem. 1991, 266, 20094–20102. [Google Scholar] [CrossRef]
- Rossi, G.P. Dual ACE and NEP Inhibitors: A Review of the Pharmacological Properties of MDL 100,240. Cardiovasc. Drug Rev. 2003, 21, 51–66. [Google Scholar] [CrossRef]
- Vegt, E.; Melis, M.; Eek, A.; De Visser, M.; Brom, M.; Oyen, W.J.G.; Gotthardt, M.; De Jong, M.; Boerman, O.C. Renal Uptake of Different Radiolabelled Peptides Is Mediated by Megalin: SPECT and Biodistribution Studies in Megalin-Deficient Mice. Eur. J. Nucl. Med. Mol. Imaging 2011, 38, 623–632. [Google Scholar] [CrossRef]
- Chigoho, D.M.; Bridoux, J.; Hernot, S. Reducing the Renal Retention of Low- to Moderate-Molecular-Weight Radiopharmaceuticals. COCHBI 2021, 68, 219–228. [Google Scholar] [CrossRef]
- Rolleman, E.J.; de Jong, M.; Valkema, R.; Kwekkeboom, D.; Kam, B.; Krenning, E.P. Inhibition of kidney uptake of radiolabeled somatostatin analogs: Amino acids or gelofusine? J. Nucl. Med. 2006, 47, 1730–1731. [Google Scholar]
- de Roode, K.E.; Joosten, L.; Behe, M. Towards the Magic Radioactive Bullet: Improving Targeted Radionuclide Therapy by Reducing the Renal Retention of Radioligands. Pharmaceuticals 2024, 17, 256. [Google Scholar] [CrossRef]
- Miao, Y.; Owen, N.K.; Whitener, D.; Gallazzi, F.; Hoffman, T.J.; Quinn, T.P. In Vivo Evaluation of 188re-Labeled Alpha-Melanocyte Stimulating Hormone Peptide Analogs for Melanoma Therapy. Int. J. Cancer 2002, 101, 480–487. [Google Scholar] [CrossRef] [PubMed]
- Trachsel, B.; Valpreda, G.; Lutz, A.; Schibli, R.; Mu, L.; Béhé, M. Reducing Kidney Uptake of Radiolabelled Exendin-4 Using Variants of the Renally Cleavable Linker MVK. EJNMMI Radiopharm. Chem. 2023, 8, 21. [Google Scholar] [CrossRef]
- Fujioka, Y.; Satake, S.; Uehara, T.; Mukai, T.; Akizawa, H.; Ogawa, K.; Saji, H.; Endo, K.; Arano, Y. In vitro system to estimate renal brush border enzyme-mediated cleavage of Peptide linkages for designing radiolabeled antibody fragments of low renal radioactivity levels. Bioconjug. Chem. 2005, 16, 1610–1616. [Google Scholar] [CrossRef]







| Compound 1 | Structure 2 | Purity [%] 3 | m/z, [M+2H]2+ [Da] 4,5 |
|---|---|---|---|
| AT2S | [DOTA,d-Trp8]SST-14 | >95 | 1012.9581 |
| XG1 | [DOTA,Asn5-Ψ[Tz]-Phe6, d-Trp8]SST-14 | >95 | 1024.9629 |
| XG2 | [DOTA,Phe6-Ψ[Tz]-Phe7, d-Trp8]SST-14 | >95 | 1024.9634 |
| XG3 | [DOTA,D-Trp8-Ψ[Tz]-Lys9, d-Trp8]SST-14 | >95 | 1024.9619 |
| XG4 | [DOTA,Thr10-Ψ[Tz]-Phe11, d-Trp8]SST-14 | >95 | 1024.9620 |
| XG5 | [DOTA,Phe11-Ψ[Tz]-Thr12, d-Trp8]SS14 | >95 | 1024.9635 |
| natIn-XG1 | [natIn-DOTA,Asn5-Ψ[Tz]-Phe6, d-Trp8]SST-14 | >95 | 1080.9044 |
| Peptide 1 | hSST1R 2 | hSST2R 2 | hSST3R 2 | hSST5R 2 |
|---|---|---|---|---|
| AT2S [15] | 14.0 ± 2.0 | 1.5 ± 0.3 | 2.4 ± 0.5 | 12.0 ± 2.0 |
| XG1 | 81.7 ± 24.0 | 5.0 ± 3.5 | 3.0 ± 0.9 | 18.5 ± 6.0 |
| natIn-XG1 | 23.1 ± 11.3 | 4.9 ± 3.5 | 1.8 ± 0.6 | 14.7 ± 1.6 |
Disclaimer/Publisher’s Note: The statements, opinions and data contained in all publications are solely those of the individual author(s) and contributor(s) and not of MDPI and/or the editor(s). MDPI and/or the editor(s) disclaim responsibility for any injury to people or property resulting from any ideas, methods, instructions or products referred to in the content. |
© 2024 by the authors. Licensee MDPI, Basel, Switzerland. This article is an open access article distributed under the terms and conditions of the Creative Commons Attribution (CC BY) license (https://creativecommons.org/licenses/by/4.0/).
Share and Cite
Guarrochena, X.; Kanellopoulos, P.; Stingeder, A.; Rečnik, L.-M.; Feiner, I.V.J.; Brandt, M.; Kandioller, W.; Maina, T.; Nock, B.A.; Mindt, T.L. Amide-to-Triazole Switch in Somatostatin-14-Based Radioligands: Impact on Receptor Affinity and In Vivo Stability. Pharmaceutics 2024, 16, 392. https://doi.org/10.3390/pharmaceutics16030392
Guarrochena X, Kanellopoulos P, Stingeder A, Rečnik L-M, Feiner IVJ, Brandt M, Kandioller W, Maina T, Nock BA, Mindt TL. Amide-to-Triazole Switch in Somatostatin-14-Based Radioligands: Impact on Receptor Affinity and In Vivo Stability. Pharmaceutics. 2024; 16(3):392. https://doi.org/10.3390/pharmaceutics16030392
Chicago/Turabian StyleGuarrochena, Xabier, Panagiotis Kanellopoulos, Anna Stingeder, Lisa-Maria Rečnik, Irene V. J. Feiner, Marie Brandt, Wolfgang Kandioller, Theodosia Maina, Berthold A. Nock, and Thomas L. Mindt. 2024. "Amide-to-Triazole Switch in Somatostatin-14-Based Radioligands: Impact on Receptor Affinity and In Vivo Stability" Pharmaceutics 16, no. 3: 392. https://doi.org/10.3390/pharmaceutics16030392
APA StyleGuarrochena, X., Kanellopoulos, P., Stingeder, A., Rečnik, L.-M., Feiner, I. V. J., Brandt, M., Kandioller, W., Maina, T., Nock, B. A., & Mindt, T. L. (2024). Amide-to-Triazole Switch in Somatostatin-14-Based Radioligands: Impact on Receptor Affinity and In Vivo Stability. Pharmaceutics, 16(3), 392. https://doi.org/10.3390/pharmaceutics16030392

