Abstract
The combination of one molecule of organic and metal-based fragments that exhibit antitumor activity is a modern approach in the search for new promising drugs. In this work, biologically active ligands based on lonidamine (a selective inhibitor of aerobic glycolysis used in clinical practice) were introduced into the structure of an antitumor organometallic ruthenium scaffold. Resistant to ligand exchange reactions, compounds were prepared by replacing labile ligands with stable ones. Moreover, cationic complexes containing two lonidamine-based ligands were obtained. Antiproliferative activity was studied in vitro by MTT assays. It was shown that the increase in the stability in ligand exchange reactions does not influence cytotoxicity. At the same time, the introduction of the second lonidamine fragment approximately doubles the cytotoxicity of studied complexes. The ability to induce apoptosis and caspase activation in tumour cell MCF7 was studied by employing flow cytometry.
1. Introduction
Platinum-based drugs have been successfully used in clinical practice as anticancer drugs for a long time, but side effects and primary or acquired resistance limited their use [1,2,3,4]. Ruthenium compounds are the most promising replacement due to their unique mode of action; for example, they do not show cross-resistance to platinum drugs and possess relatively low general toxicity in in vivo tests [5,6,7,8,9,10,11,12,13,14]. Two coordination Ru(III) compounds (Figure 1) NAMI-A and NKP-1339 (BOLD-100) were the first to enter into clinical trials [15,16,17,18,19,20,21]. In preclinical trials, it was shown that NAMI-A was less effective against a primary tumour but exhibits activity against metastases [22]. Unfortunately, the compound was found to be insufficiently effective and was withdrawn from clinical trials [23]. BOLD-100 was recently approved by FDA as an orphan drug designated for the treatment of gastric cancer [24]. Organometallic derivatives, such as RAPTA and RAED, come from another promising class of ruthenium antitumor compounds being included in advanced preclinical studies [25,26,27,28,29,30,31,32].
Figure 1.
Structures of ruthenium lead compounds.
It is known that the introduction of bioactive organic moieties into the structure of metal-based agents can increase anticancer activity and selectivity due to the interaction with several molecular targets [33,34,35]. One of the most important metabolic features of malignant cells is their increased glycolytic activity known as the Warburg Effect [36,37]. Lonidamine (Figure 2) stimulates lactate production in noncancer cells and reduced glycolysis in their malignant counterparts by inhibiting mitochondrial-associated hexokinase or reprogramming cellular metabolism and mitochondrial function [38,39,40,41]. Lonidamine is widely studied for the treatment of different types of cancer [42,43,44] and is of special interest in the development of dual-acting anticancer compounds.
Figure 2.
Structure of 1-(2,4-dichlorobenzyl)-1H-indazole-3-carboxylic acid (lonidamine).
Previously, lonidamine was introduced into the structures of Pt(IV) complexes [35,45,46] and Ru(II/III) compounds [47,48,49]. The obtained platinum prodrugs and ruthenium twin drugs showed a significantly improved cytotoxicity, superiority to cisplatin and lonidamine, and also some degree of selectivity [35]. The Ru(III) complexes were also shown to be non-competitive thioredoxin reductase inhibitors that effectively induce apoptosis via caspase activation incubation for 24 h. The cytotoxicity of the Ru(III) complexes as well as cellular uptake, apoptosis induction, and thioredoxin reductase inhibition positively correlate with the length of the linker between the ruthenium center and lonidamine moiety [49]. Two organometallic Ru(II) lonidamine conjugates showed promising cytotoxicity on human glioblastoma cell lines and also exhibited a degree of selectivity towards these cells [47].
This work aims to introduce lonidamine-containing ligands into the structure of organometallic Ru(II) compounds to study the antitumor activity and its dependence on the distance between the lonidamine moiety and ruthenium centre, ligand exchange reactions, and the number of lonidamine moieties in the molecule as well as a possible mode of action of cell death via apoptosis induction and caspase activation.
2. Materials and Methods
All solvents were purified and degassed before use [50]. Ligands 1–6 were prepared following the published procedure [47,49]. NMR spectra were recorded on a Bruker Avance II 400 spectrometer at room temperature at 400.13 (1H) and 100.61 (13C{1H}) MHz. 2D NMR measurements were carried out using standard pulse programs. Chemical shifts were referenced relative to the solvent signal for 1H and 13C spectra. Elemental analysis was performed with MicroCube Elementar analyzer. Electrospray ionization (ESI) mass spectra were recorded using a TSQ Endura (Thermo Fisher Scientific, Waltham, MA, USA) instrument. Each analysed compound was dissolved in methanol (HPLC grade) and injected directly into the ionization source through a syringe pump. The spectra were recorded during 30 s in the m/z range 150–1400 in both positive and negative ionization modes with spray voltage 3.4 and 2.5 kV, correspondingly. The human HCT116 colorectal carcinoma, A549 non-small cell lung carcinoma, MCF7 breast adenocarcinoma and SW480 colon adenocarcinoma cell lines were obtained from the European collection of authenticated cell cultures (ECACC; Salisbury, UK).
2.1. Synthesis
(η6-p-cymene){N-(2-(1H-imidazol-1-yl)ethyl)-1-(2,4-dichlorobenzyl)-1H-indazole-3-carboxamide}ruthenium(II)-N dichloride (7)

N-(2-(1H-imidazol-1-yl)ethyl)-1-(2,4-dichlorobenzyl)-1H-indazole-3-carboxamide 1 (80 mg, 0.193 mmol) in 5 mL of CH2Cl2 was added to the dimer (η6-p-cymene-RuCl2)2 solution (59 mg, 0.096 mmol) in 5 mL CH2Cl2. The reaction was stirred for 10 h at room temperature. The reaction mixture was evaporated to 1 mL, and 10 mL of ether and 15 mL of hexane were added. The resulting orange solid was filtered off, washed with hexane, and dried in a vacuum. Yield 70 mg (50%), Tdec. = 103–105 °C.
1H NMR (400.13 MHz, CDCl3) δ: 8.33 (d, 1H, J = 8.2 Hz, H19), 7.97 (s, 1H, H11), 7.46–7.27 (m, 6H, H20–22, H29, H12, NH), 7.19 (dd, 1H, J = 8.2, 1.6 Hz, H28), 6.95–6.85 (m, 2H, H13, H26), 5.67 (s, 2H, H24), 5.37 (d, 2H, J = 5.8 Hz, H5, H6), 5.18 (d, 2H, J = 5.8 Hz, H3, H4), 4.14 (t, 2H, J = 4.4 Hz, H14), 3.73 (q, 2H, J = 4.3 Hz, H15), 2.98–2.85 (m, 1H, H8), 2.08 (s, 3H, H1), 1.21 (d, 6H, J = 6.9 Hz, H9, H10).
13C{1H} NMR (100.61 MHz, CDCl3) δ: 162.9 (C16), 141.1 (C17), 140.0 (C23), 137.5 (C11), 134.7 (C25), 133.3 (C30), 132.2 (C27), 132.1 (C29), 130.3 (C26), 129.5 (C12), 127.9 (C28), 127.5 (C21), 123.2 (C19), 122.9 (C18), 122.6 (C20), 120.1 (C13), 109.6 (C22), 102.8 (C7), 97.1 (C2), 82.4 (C5, C6), 81.5 (C3, C4), 50.1 (C24), 47.9 (C14), 39.8 (C15), 30.7 (C8), 22.2 (C9, C10), 18.4 (C1).
Elem. anal. Calc. (%) for C30H31Cl4N5ORu: C 50.01, H 4.34, and N 9.72. Found: C 49.64, H 4.22, and N 9.61.
ESI-MS: m/z 686 [M − Cl]+.
(η6-p-cymene){N-(4-(1H-imidazol-1-yl)butyl)-1-(2,4-dichlorobenzyl)-1H-indazole-3-carboxamide}ruthenium(II)-N dichloride (9)

N-(4-(1H-imidazol-1-yl)butyl)-1-(2,4-dichlorobenzyl)-1H-indazole-3-carboxamide 3 (100 mg, 0.22 mmol) in 5 mL CH2Cl2 was added to the dimer (η6-p-cymene-RuCl2)2 solution (69 mg, 0.11 mmol) in 5 mL of CH2Cl2. The reaction mixture was stirred for 10 h. The solution was evaporated to 1 mL, and 10 mL of ether and 15 mL of hexane were added. The resulting orange precipitate was filtered off, washed with hexane, and dried in a vacuum. Yield 70 mg (41%), Tdec. = 62–64 °C.
1H NMR (400.13 MHz, CDCl3) δ: 8.41 (d, 1H, J = 8.1 Hz, H21), 7.93 (s, 1H, H11), 7.49–7.29 (m, 5H, H22–24, H31, H12), 7.18–7.08 (m, 2H, H30, NH), 6.92 (s, 1H, H13), 6.71 (d, 1H, J = 8.3 Hz, H28), 5.69 (s, 2H, H26), 5.44 (d, 2H, J = 5.7 Hz, H5, H6), 5.26 (d, 2H, J = 5.7 Hz, H3, H4), 3.99 (t, 2H, J = 7.1 Hz, H14), 3.56–3.46 (m, 2H, H17), 3.02–2.92 (m, 1H, H8), 1.96–1.82 (m, 2H, H16), 1.72–1.56 (m, 5H, H15, H1), 1.27 (d, 6H, J = 6.9 Hz, H9, H10).
13C{1H} NMR (100.61 MHz, CDCl3) δ: 162.7 (C18), 141.2 (C19), 139.7 (C11), 138.2 (C25), 134.6 (C27), 133.2 (C29/C32), 132.3 (C29/C32), 132.2 (C31), 129.6 (C28), 129.5 (C12), 127.7 (C30), 127.5 (C23), 123.1 (C21), 123.0 (C20/C22), 123.0 (C20/C22), 119.5 (C13), 109.3 (C24), 102.6 (C7), 97.3 (C2), 82.5 (C5, C6), 81.4 (C3, C4), 50.0 (C26), 47.8 (C14), 38.0 (C17), 30.7 (C8), 28.0 (C16), 27.0 (C15), 22.2 (C9, C10), 18.5 (C1).
Elem. anal. Calc. (%) for C32H35Cl4N5ORu: C 51.35, H 4.71 and N 9.36. Found: C 51.16, H 4.86, and N 8.99.
ESI-MS: m/z 714 [M − Cl]+.
(η6-p-cymene){N-(6-(1H-imidazol-1-yl)hexyl)-1-(2,4-dichlorobenzyl)-1H-indazole-3-carboxamide}ruthenium(II)-N dichloride (10)

N-(6-(1H-imidazol-1-yl)hexyl)-1-(2,4-dichlorobenzyl)-1H-indazole-3-carboxamide 4 (80 mg, 0.17 mmol) in 5 mL CH2Cl2 was added to the dimer (η6-p-cymene-RuCl2)2 solution (52 mg, 0.085 mmol) in 5 mL CH2Cl2. The reaction mixture was stirred for 10 h. The solution was evaporated to 1 mL, and 10 mL of ether and 15 mL of hexane were added. The resulting orange precipitate was filtered off, washed with hexane, and dried in a vacuum. Yield 90 mg (68%), Tdec. = 82–83 °C.
1H NMR (400.13 MHz, CDCl3) δ: 8.40 (d, 1H, J = 8.1 Hz, H23), 7.88 (s, 1H, H11), 7.47–7.23 (m, 5H, H24–26, H33, H12), 7.14–6.97 (m, 2H, H32, NH), 6.86 (s, 1H, H13), 6.63 (d, 1H, J = 8.3 Hz, H30), 5.65 (s, 2H, H28), 5.42 (d, 2H, J = 5.6 Hz, H5, H6), 5.23 (d, 2H, J = 5.6 Hz, H3, H4), 3.85 (t, 2H, J = 7.1 Hz, H14), 3.52–3.40 (m, 2H, H19), 3.02–2.87 (m, 1H, H8), 2.16 (s, 3H, H1), 1.82–1.70 (m, 2H, H18), 1.69–1.55 (m, 2H, H15), 1.47–1.17 (m, 10H, H9, H10, H16, H17).
13C{1H} NMR (100.61 MHz, CDCl3) δ: 162.5 (C20), 141.2 (C21), 139.7 (C11), 138.5 (C27), 134.5 (C29), 133.2 (C31/C34), 132.4 (C31/C34), 132.1 (C33), 129.5 (C30), 129.4 (C12), 127.6 (C32), 127.4 (C25), 123.1 (C23), 123.0 (C22, C24), 119.4 (C13), 109.2 (C26), 102.5 (C7), 97.3 (C2), 82.6 (C5, C6), 81.4 (C3, C4), 50.1 (C28), 48.2 (C14), 38.7 (C19), 30.7 (C8), 30.4 (C18), 29.6(C15), 26.3 (C16/C17), 26.1 (C16/C17), 22.2 (C9, C10), 18.5 (C1).
Elem. anal. Calc. (%) for C34H39Cl4N5ORu: C 52.58, H 5.06, and N 9.01. Found: C 52.29, H 5.16, and N 8.57.
ESI-MS: m/z 742 [M − Cl]+.
(η6-p-cymene){N-(8-(1H-imidazol-1-yl)octyl)-1-(2,4-dichlorobenzyl)-1H-indazole-3-carboxamide}ruthenium(II)-N dichloride (11)

N-(8-(1H-imidazol-1-yl)octyl)-1-(2,4-dichlorobenzyl)-1H-indazole-3-carboxamide 5 (100 mg, 0.2 mmol) in 5 mL CH2Cl2 was added to the dimer (η6-p-cymene-RuCl2)2 solution (61 mg, 0.1 mmol) in 5 mL of CH2Cl2. The reaction mixture was stirred for 10 h. The solution was evaporated to 1 mL, and 10 mL of ether and 15 mL of hexane were added. The resulting orange precipitate was filtered off, washed with hexane, and dried in a vacuum. Yield 133 mg (82%), Tdec. = 63–65 °C.
1H NMR (400.13 MHz, CDCl3) δ: 8.44 (d, 1H, J = 8.1 Hz, H25), 7.91 (s, 1H, H11), 7.49–7.29 (m, 5H, H26–28, H35, H12), 7.13 (dd, 1H, J = 8.3, 2.0 Hz, H34), 7.02 (t, 1H, J = 6.4 Hz, NH), 6.88 (s, 1H, H13), 6.64 (d, 1H, J = 8.3 Hz, H32), 5.69 (s, 2H, H30), 5.45 (d, 2H, J = 5.9 Hz, H5, H6), 5.25 (d, 2H, J = 5.9 Hz, H3, H4), 3.88 (t, 2H, J = 7.4 Hz, H14), 3.50 (q, 2H, J = 6.8 Hz, H21), 3.03–2.93 (m, 1H, H8), 2.19 (s, 3H, H1), 1.82–1.71 (m, 2H, H20), 1.70–1.61 (m, 2H, H15), 1.46–1.24 (m, 14H, H9, H10, H16, H17, H18, H19).
13C{1H} NMR (100.61 MHz, CDCl3) δ: 162.5 (C22), 141.3 (C23), 139.8 (C11), 138.7 (C29), 134.6 (C31), 133.3 (C33/C36), 132.6 (C33/C36), 132.3 (C35), 129.6 (C32), 129.4 (C12), 127.6 (C34), 127.6 (C27), 123.3 (C25), 123.2 (C24/C26), 123.1 (C24/C26), 119.5 (C13), 109.3 (C28), 102.6 (C7), 97.5 (C2), 82.8 (C5, C6), 81.5 (C3, C4), 50.2 (C30), 48.4 (C14), 39.1 (C21), 30.8 (C8), 30.6 (C20), 29.9(C15), 29.2 (C16–20), 29.0 (C16–20), 26.9 (C16–20), 26.5 (C16–20), 22.4 (C9, C10), 18.7 (C1).
Elem. anal. Calc. (%) for C36H43Cl4N5ORu*0.1CH2Cl2: C 53.32, H 5.35, and N 8.61. Found: C 53.04, H 5.45, and N 8.32.
ESI-MS: m/z 770 [M − Cl]+.
(η6-p-cymene){N-(3-(1H-imidazol-1-yl)propyl)-1-(2,4-dichlorobenzyl)-1H-indazole-3-carboxamide}ruthenium(II)-N oxalate (12)

Silver oxalate Ag2C2O4 (67 mg, 0.22 mmol) was added to the dimer (η6-p-cymene-RuCl2)2 solution (69 mg; 0.11 mmol) in 40.0 mL of H2O. The reaction mixture was stirred for 12 h. Precipitated AgCl was filtered off, and the solvent was evaporated under a vacuum. The resulting ruthenium complex was dissolved in 18.0 mL of MeOH, and a solution of compound 2 (100 mg, 0.22 mmol) in 2.0 mL of MeOH was added. The reaction mixture was stirred for 8 h, the solvent was evaporated under a vacuum, and the product was precipitated with hexane and filtered. The resulting orange precipitate was dried in a vacuum. Yield 82 mg (76%), Tdec. = 67–70 °C.
1H NMR (400.13 MHz, CDCl3) δ: 8.39 (d, 1H, J = 8.1 Hz, H22), 7.45–7.30 (m, 5H, H23–25, H31, H14), 7.17 (m, 1H, NH), 7.01 (s, 1H, H13), 6.95 (m, 1H, H32), 6.82 (d, 1H, J = 8.4 Hz, H30), 6.68 (s, 1H, H15), 5.70 (s, 2H, H27), 5.52 (d, 2H, J = 6.0 Hz, H5, H6), 5.35 (d, 2H, J = 6.0 Hz, H3, H4), 4.03 (t, 2H, J = 6.7 Hz, H16), 3.45 (m, 2H, H18), 2.82 (m, 1H, H8), 2.17 (s, 3H, H1), 1.28 (m, 8H, H9, H10, H17).
13C{1H} NMR (100.61 MHz, CDCl3) δ: 165.9 (C11, C12), 163.0 (C19), 141.1 (C20), 139.3 (C13), 138.0 (C26), 134.5 (C28), 133.2 (C29/C33), 132.3 (C29/C33), 130.0 (C31), 129.7 (C30), 129.4 (C14), 127.8 (C32), 127.4 (C24), 123.0 (C22), 123.0 (C21, C23), 120.5 (C15), 109.5 (C25), 100.9 (C7), 96.9 (C2), 82.3 (C5, C6), 80.0 (C3, C4), 50.0 (C27), 45.4 (C16), 35.4 (C18), 30.9 (C8), 27.7 (C17), 22.5 (C9, C10), 17.9 (C1).
Elem. anal. Calc. (%) for C33H33Cl2N5O5Ru: C 52.73, H 4.43, and N 9.32. Found: C 52.70, H 4.70, and N 8.83.
ESI-MS: m/z 774 [M + Na]+.
(η6-p-cymene){N-(6-(1H-imidazol-1-yl)hexyl)-1-(2,4-dichlorobenzyl)-1H-indazole-3-carboxamide}ruthenium(II)-N oxalate (13)

Silver oxalate Ag2C2O4 (67 mg, 0.22 mmol) was added to the dimer (η6-p-cymene-RuCl2)2 solution (69 mg; 0.11 mmol) in 40.0 mL H2O. The reaction mixture was stirred for 12 h. Precipitated AgCl was filtered off, and the solvent was evaporated under a vacuum. The resulting ruthenium complex was dissolved in 18.0 mL of MeOH, and a solution of compound 4 (100 mg, 0.22 mmol) in 2.0 mL of MeOH was added. The reaction mixture was stirred for 8 h, the solvent was evaporated under a vacuum, and the product was precipitated with hexane and filtered. The resulting orange precipitate was dried in a vacuum. Yield 78 mg (72%).
1H NMR (400.13 MHz, CDCl3) δ: 8.29 (d, 1H, J = 8.5 Hz, H25), 7.48–7.29 (m, 5H, H26–28, H34, H14), 7.12 (m, 2H, H35, NH), 7.05 (s, 1H, H13), 6.90 (d, 1H, J = 8.4 Hz, H33), 6.68 (s, 1H, H15), 5.67 (s, 2H, H30), 5.48 (d, 2H, J = 5.8 Hz, H5, H6), 5.26 (d, 2H, J = 5.6 Hz, H3, H4), 3.89 (t, 2H, J = 7.7 Hz, H16), 3.52–3.45 (m, 2H, H21), 2.80–2.79 (m, 1H, H8), 2.17 (s, 3H, H1), 1.66–1.61 (m, 2H, H17), 1.42–1.40 (m, 2H, H20), 1.29–1.28 (m, 10H, H9, H10, H18, H19).
13C{1H} NMR (100.61 MHz, CDCl3) δ: 165.7 (C11, C12), 162.5 (C22), 141.1 (C23), 138.4 (C13), 138.1 (C29), 134.5 (C31), 133.2 (C32/C36), 132.4 (C32/C36), 130.6 (C34), 129.6 (C33), 129.4 (C14), 127.6 (C35), 127.4 (C27), 123.0 (C25), 122.6 (C24, C26), 120.5 (C15), 109.3 (C28), 100.9 (C7), 97.0 (C2), 82.3 (C5, C6), 79.8 (C3, C4), 50.0 (C30), 48.3 (C16), 38.7 (C21), 30.9 (C8), 30.4 (C20), 29.5 (C17), 26.2 (C18/C19), 25.9 (C18/C19), 22.5 (C9, C10), 18.0 (C1).
Elem. anal. Calc. (%) for C36H39Cl2N5O5Ru: C 54.48, H 4.95, and N 8.82. Found: C 54.02, H 4.89, and N 8.56.
ESI-MS: m/z 816 [M + Na]+.
(η6-p-cymene){N-(12-(1H-imidazol-1-yl)dodecyl)-1-(2,4-dichlorobenzyl)-1H-indazole-3-carboxamide}ruthenium(II)-N oxalate (14)

Silver oxalate Ag2C2O4 (67 mg, 0.22 mmol) was added to the dimer (η6-p-cymene-RuCl2)2 solution (69 mg; 0.11 mmol) in 40.0 mL of H2O. The reaction mixture was stirred for 12 h. Precipitated AgCl was filtered off, and the solvent was evaporated under a vacuum. The resulting ruthenium complex was dissolved in 18.0 mL of MeOH, and a solution of compound 6 (122 mg, 0.22 mmol) in 2.0 mL of MeOH was added. The reaction mixture was stirred for 8 h, the solvent was evaporated under a vacuum, and the product was precipitated with hexane and filtered. The resulting orange precipitate was dried in a vacuum. Yield 98 mg (65%), Tmelt. = 84–86 °C.
1H NMR (400.13 MHz, CDCl3) δ: 8.42 (d, 1H, J = 8.1 Hz, H32), 7.44–7.27 (m, 5H, H14, H33–35, H41), 7.13–7.10 (m, 2H, H42, NH), 7.05 (s, 1H, H15), 6.91 (d, 1H, J = 8.3 Hz, H40), 6.43 (s, 1H, H16), 5.66 (s, 2H, H37), 5.47 (d, 2H, J = 5.7 Hz, H5, H6), 5.26 (d, 2H, J = 5.9 Hz, H3, H4), 3.86 (t, 2H, J = 7.3 Hz, H17), 3.48 (q, 2H, J = 6.9 Hz, H28), 2.83–2.77 (m, 1H, H8), 2.16 (s, 3H, H1), 1.78–1.63 (m, 4H, H18, H27), 1.45–1.23 (m, 22H, H19–26, H9, H10).
13C{1H} NMR (100.61 MHz, CDCl3) δ: 165.4 (C11, C12), 162.3 (C28), 141.1 (C13), 138.5 (C29), 137.9 (C35), 134.4 (C37), 133.1 (C42), 132.4 (C38), 130.5 (C14), 129.4 (C39), 129.3 (C33), 127.5 (C41), 127.4 (C40), 123.1 (C31), 123.1 (C30), 123.0 (C32), 120.4 (C15), 109.3 (C34), 100.7 (C7), 96.9 (C2), 82.3 (C5, C6), 79.8 (C3, C4), 50.0 (C36), 48.4 (C16), 39.1 (C27), 30.9 (C8), 30.6 (C17), 29.8 (C26), 28.8 (C18–25), 28.7 (C18–25), 28.6 (C18–25), 28.6 (C18–25), 28.2 (C18–25), 27.2 (C18–25), 26.6 (C18–25), 22.5 (C9, C10), 18.0 (C1).
Elem. anal. Calc. (%) for C38H43Cl2N5O5Ru*0.7CH3OH: C 56.97, H 6.02, and N 7.78. Found: C 56.53, H 5.65, and N 7.94.
ESI-MS: m/z 900 [M + Na]+.
(η6-p-cymene){N-(3-(1H-imidazol-1-yl)propyl)-1-(2,4-dichlorobenzyl)-1H-indazole-3-carboxamide}ruthenium(II)-N malonate (15)

Silver malonate Ag2C3H2O4 (70 mg, 0.2195 mmol) was added to the dimer (η6-p-cymene-RuCl2)2 solution (67 mg; 0.1097 mmol) in 40.0 mL of H2O. The reaction mixture was stirred for 12 h. Precipitated AgCl was filtered off, and the solvent was evaporated under a vacuum. The resulting ruthenium complex was dissolved in 18.0 mL of MeOH, and a solution of compound 2 (94 mg, 0.2195 mmol) in 2.0 mL of MeOH was added. The reaction mixture was stirred for 8 h, the solvent was evaporated under a vacuum, and the product was isolated by column chromatography on silica gel (eluent: EtOAc:MeOH:CH2Cl2 3:3:1, Rf = 0.5). The resulting orange precipitate was dried in a vacuum. Yield 97 mg (58%), Tmelt. = 115–117 °C.
1H NMR (400.13 MHz, CDCl3) δ: 8.37 (d, 1H, J = 8.2 Hz, H23), 7.75 (s, 1H, H14), 7.45–7.27 (m, 4H, H24–26, H32), 7.17–7.13 (m, 3H, H33, H15, NH), 7.02 (s, 1H, H16), 6.74 (d, 1H, J = 8.4 Hz, H31), 5.69 (s, 2H, H28), 5.52 (d, 2H, J = 6.0 Hz, H5, H6), 5.33 (d, 2H, J = 6.0 Hz, H3, H4), 4.02 (t, 2H, J = 6.8 Hz, H17), 3.46 (q, 2H, J = 6.4 Hz, H19), 3.38 (d, 1H, J = 15.9 Hz, H12), 2.85–2.77 (m, 2H, H12, H8), 2.16 (s, 3H, H1), 2.11–2.04 (m, 2H, H18), 1.27 (d, 6H, J = 6.9 Hz, H9, H10).
13C{1H} NMR (100.61 MHz, CDCl3) δ: 175.1 (C11, C13), 163.0 (C20), 141.2 (C14), 139.1 (C21), 137.9 (C27), 134.6 (C29), 133.3 (C30/C34), 132.2 (C30/C34), 130.3 (C15), 129.7 (C31), 129.5 (C25), 127.8 (C33), 127.6 (C32), 123.2 (C23), 123.0 (C22/C24), 122.8 (C22/C24), 120.0 (C16), 109.5 (C26), 101.4 (C7), 97.1 (C2), 82.3 (C5, C6), 80.5 (C3, C4), 50.2 (C28), 46.7 (C12), 45.5 (C17), 35.3 (C19), 31.1 (C18), 30.7 (C8), 22.4 (C9, C10), 18.0 (C1).
Elem. anal. Calc. (%) for C34H35Cl2N5O5Ru*0.1CH2Cl2: C 52.91, H 4.58, and N 9.05. Found: C 52.68, H 4.50, and N 8.97.
ESI-MS: m/z 766 [M + H]+, m/z 788 [M + Na]+.
(η6-p-cymene){N-(6-(1H-imidazol-1-yl)hexyl)-1-(2,4-dichlorobenzyl)-1H-indazole-3-carboxamide}ruthenium(II)-N malonate (16)

Silver malonate Ag2C3H2O4 (86 mg, 0.2722 mmol) was added to the dimer (η6-p-cymene-RuCl2)2 solution (83 mg; 0.1361 mmol) in 50.0 mL of H2O. The reaction mixture was stirred for 12 h. Precipitated AgCl was filtered off, and the solvent was evaporated under a vacuum. The resulting ruthenium complex was dissolved in 22.0 mL of MeOH, and a solution of compound 4 (128 mg, 0.2722 mmol) in 3.0 mL of MeOH was added. The reaction mixture was stirred for 8 h, the solvent was evaporated under a vacuum, and the product was isolated by column chromatography on silica gel (eluent: EtOAc:MeOH:CH2Cl2 3:3:1, Rf = 0.5). The resulting orange precipitate was dried in a vacuum. Yield 138 mg (62%), Tmelt. = 110–113 °C.
1H NMR (400.13 MHz, CDCl3) δ: 8.40 (d, 1H, J = 8.2 Hz, H26), 7.56 (s, 1H, H14), 7.45–7.27 (m, 4H, H27–29, H35), 7.20 (s, 1H, H15), 7.12–7.07 (m, 2H, H36, NH), 6.93 (s, 1H, H16), 6.65 (d, 1H, J = 8.4 Hz, H34), 5.66 (s, 2H, H31), 5.47 (d, 2H, J = 5.9 Hz, H5, H6), 5.26 (d, 2H, J = 5.9 Hz, H3, H4), 3.91 (t, 2H, J = 7.2 Hz, H17), 3.47 (q, 2H, J = 6.8 Hz, H22), 3.36 (d, 1H, J = 16.1 Hz, H12), 2.83–2.77 (m, 2H, H8), 2.75 (d, 1H, J = 16.1 Hz, H12), 2.14 (s, 3H, H1), 1.81–1.74 (m, 2H, H18), 1.67–1.61 (m, 2H, H21), 1.45–1.39 (m, 2H, H19), 1.35–1.29 (m, 2H, H20), 1.26 (d, 6H, J = 6.9 Hz, H9, H10).
13C{1H} NMR (100.61 MHz, CDCl3) δ: 175.0 (C11, C13), 162.5 (C23), 141.2 (C14), 138.5 (C24), 138.0 (C30), 134.5 (C32), 133.2 (C37), 132.4 (C33), 130.8 (C15), 129.5 (C34), 129.4 (C28), 127.6 (C36), 127.4 (C35), 123.1 (C26), 123.1 (C25), 123.0 (C27), 120.2 (C16), 109.3 (C29), 101.4 (C7), 97.2 (C2), 82.3 (C5, C6), 80.4 (C3, C4), 50.1 (C31), 48.4 (C17), 46.5 (C12), 38.7 (C22), 30.7 (C8), 30.5 (C18), 29.6 (C21), 26.2 (C19), 26.0 (C20), 22.4 (C9, C10), 18.0 (C1).
Elem. anal. Calc. (%) for C37H41Cl2N5O5Ru: C 55.02, H 5.12, and N 8.67. Found: C 54.97, H 4.98, and N 8.58.
ESI-MS: m/z 810 [M + H]+, 830 [M + Na]+.
(η6-p-cymene){N-(12-(1H-imidazol-1-yl)dodecyl)-1-(2,4-dichlorobenzyl)-1H-indazole-3-carboxamide}ruthenium(II)-N malonate (17)

Silver malonate Ag2C3H2O4 (96 mg, 0.3029 mmol) was added to the dimer (η6-p-cymene-RuCl2)2 solution (93 mg; 0.1515 mmol) in 60.0 mL of H2O. The reaction mixture was stirred for 12 h. Precipitated AgCl was filtered off, and the solvent was evaporated under a vacuum. The resulting ruthenium complex was dissolved in 27.0 mL of MeOH, and a solution of compound 6 (168 mg, 0.3029 mmol) in 3.0 mL of MeOH was added. The reaction mixture was stirred for 8 h, the solvent was evaporated under a vacuum, and the product was isolated by column chromatography on silica gel (eluent: EtOAc:MeOH:CH2Cl2 3:3:1, Rf = 0.5). The resulting orange precipitate was dried in a vacuum. Yield 171 mg (63%), Tmelt. = 90–94 °C.
1H NMR (400.13 MHz, CDCl3) δ: 8.42 (d, 1H, J = 8.1 Hz, H32), 7.53 (s, 1H, H14.), 7.45–7.27 (m, 4H, H33–35, H41), 7.21 (s, 1H, H15), 7.10 (dd, 1H, J = 8.4, 1.9 Hz, H42), 7.00 (t, 1H, J = 5.7 Hz, NH), 6.93 (s, 1H, H16), 6.62 (d, 1H, J = 8.3 Hz, H40), 5.66 (s, 2H, H37), 5.46 (d, 2H, J = 5.7 Hz, H5, H6), 5.25 (d, 2H, J = 5.9 Hz, H3, H4), 3.89 (t, 2H, J = 7.3 Hz, H17), 3.48 (q, 2H, J = 6.9 Hz, H28), 3.36 (d, 1H, J = 16.1 Hz, H12), 2.83–2.77 (m, 1H, H8), 2.75 (d, 1H, J = 16.1 Hz, H12), 2.14 (s, 3H, H1), 1.78–1.71 (m, 2H, H18), 1.68–1.61 (m, 2H, H27), 1.43–1.22 (m, 22H, H19–26, H9, H10).
13C{1H} NMR (100.61 MHz, CDCl3) δ: 174.0 (C11, C13), 161.4 (C29), 140.2 (C14), 137.6 (C30), 136.9 (C36), 133.5 (C38), 132.2 (C43), 131.5 (C39), 129.8 (C15), 128.5 (C40), 128.3 (C34), 126.6 (C42), 126.4 (C41), 122.2 (C32), 122.1 (C31), 122.0 (C33), 119.2 (C16), 108.2 (C35), 100.3 (C7), 96.2 (C2), 81.3 (C5, C6), 79.3 (C3, C4), 49.0 (C37), 47.5 (C17), 45.5 (C12), 38.1 (C28), 29.7 (C8), 29.6 (C18), 28.8 (C27), 28.5 (C19–26), 28.4 (C19–26), 28.3 (C19–26), 28.3 (C19–26), 27.9 (C19–26), 26.0 (C19–26), 25.4 (C19–26), 21.4 (C9, C10), 17.0 (C1).
Elem. anal. Calc. (%) for C43H53Cl2N5O5Ru: C 57.91, H 5.99, and N 7.85. Found: C 57.63, H 5.90, and N 7.77.
ESI-MS: m/z 892 [M + H]+, m/z 914 [M + Na]+.
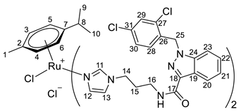
(η6-p-cymene)bis-{N-(3-(1H-imidazol-1-yl)propyl)-1-(2,4-dichlorobenzyl)-1H-indazole-3-carboxamide}ruthenium(II)-N chloride (18)

N-(3-(1H-imidazol-1-yl)propyl)-1-(2,4-dichlorobenzyl)-1H-indazole-3-carboxamide 2 (123 mg, 0.2872 mmol) in 2.0 mL of CH2Cl2 was added to the dimer (η6-p-cymene-RuCl2)2 solution (44 mg, 0.0718 mmol) in 23.0 mL of CH2Cl2. The reaction mixture was stirred for 5 h, the solvent was evaporated under a vacuum, and the product was isolated by column chromatography on silica gel (eluent: CH2Cl2:MeOH 10:1, Rf = 0.5). The resulting orange precipitate was dried in a vacuum. Yield 132 mg (79%), Tmelt. = 100–103 °C.
1H NMR (400.13 MHz, CDCl3) δ: 9.35 (s, 2H, H11), 8.28 (d, 2H, J = 8.2 Hz, H20), 7.73 (t, 2H, J = 6.0 Hz, NH), 7.44 (s, 2H, H12), 7.34–7.17 (m, 8H, H21–23, H29), 7.04 (dd, 2H, J = 8.3, 1.9 Hz, H30), 6.82 (s, 2H, H13), 6.73 (d, 2H, J = 8.4 Hz, H28), 5.77 (s, 2H, H5, H6), 5.57 (s, 2H, H3, H4), 4.17–4.04 (m, 4H, H14), 3.44–3.31 (m, 4H, H16), 2.42–2.34 (m, 1H, H8), 2.18–2.09 (m, 4H, H15), 1.74 (s, 3H, H1), 1.07 (d, 6H, J = 6.9 Hz, H9, H10).
13C{1H} NMR (100.61 MHz, CDCl3) δ: 162.0 (C17), 140.9 (C11), 140.0 (C18), 137.2 (C24), 133.4 (C26), 132.1 (C27/C31), 131.3 (C27/C31), 129.2 (C12), 128.9 (C28), 128.3 (C22), 126.7 (C30), 126.3 (C29), 122.0 (C20), 122.0 (C19/C21), 121.8 (C19/C21), 118.5 (C13), 108.3 (C23), 102.1 (C7), 99.6 (C2), 85.2 (C5, C6), 81.0 (C3, C4), 49.0 (C25), 44.8 (C14), 34.8 (C16), 29.9 (C15), 29.9 (C8), 21.3 (C9, C10), 16.9 (C1).
Elem. anal. Calc. (%) for C52H52Cl6N10O2Ru*0.7CH2Cl2: C 51.79, H 4.40, and N 11.46. Found: C 51.85, H 4.45, and N 11.65.
ESI-MS: m/z 1127 [M − Cl]+.
(η6-p-cymene)bis-{N-(12-(1H-imidazol-1-yl)dodecyl)-1-(2,4-dichlorobenzyl)-1H-indazole-3-carboxamide}ruthenium(II)-N chloride (19)

N-(12-(1H-imidazol-1-yl)dodecyl)-1-(2,4-dichlorobenzyl)-1H-indazole-3-carboxamide 6 (155 mg, 0.2795 mmol) in 2.0 mL of CH2Cl2 was added to the dimer (η6-p-cymene-RuCl2)2 solution (43 mg, 0.0699 mmol) in 23.0 mL CH2Cl2. The reaction mixture was stirred for 5 h, the solvent was evaporated under a vacuum, and the product was isolated by column chromatography on silica gel (eluent: CH2Cl2:MeOH 10:1, Rf = 0.5). The resulting orange precipitate was dried in a vacuum. Yield 137 mg (69%), Tmelt. = 70–73 °C.
1H NMR (400.13 MHz, CDCl3) δ: 9.13 (s, 2H, H11), 8.42 (d, 2H, J = 8.1 Hz, H29), 7.63 (s, 2H, H12), 7.46–7.27 (m, 8H, H30–32, H38), 7.09 (dd, 2H, J = 8.4, 1.9 Hz, H39), 7.01 (t, 2H, J = 5.5 Hz, NH), 6.79 (s, 2H, H13), 6.60 (d, 2H, J = 8.4 Hz, H37), 5.88 (d, 2H, J = 5.8 Hz, H5, H6), 5.84 (d, 2H, J = 5.8 Hz, H3, H4), 5.65 (s, 4H, H34), 4.03–3.94 (m, 4H, H14), 3.47 (q, 4H, J = 7.0 Hz, H25), 2.40–2.32 (m, 1H, H8), 1.78–1.60 (m, 11H, H15, H24, H1), 1.44–1.16 (m, 32H, H16–23), 1.12 (d, 6H, J = 6.9 Hz, H9, H10).
13C{1H} NMR (100.61 MHz, CDCl3) δ: 161.3 (C26), 140.4 (C11), 140.1 (C27), 137.6 (C33), 133.4 (C35), 132.1 (C36/C40), 131.4 (C36/C40), 129.6 (C12), 128.4 (C37), 128.2 (C31), 126.6 (C39), 126.4 (C38), 122.2 (C29), 122.0 (C28), 121.9 (C30), 118.2 (C13), 108.1 (C32), 102.3 (C7), 99.3 (C2), 84.9 (C5, C6), 81.4 (C3, C4), 49.0 (C34), 47.2 (C14), 38.1 (C25), 29.8 (C8), 29.7 (C15), 28.8 (C24), 28.5 (C16–23), 28.5 (C16–23), 28.5 (C16–23), 28.5 (C16–23), 28.3 (C16–23), 28.0 (C16–23), 26.0 (C16–23), 25.3 (C16–23), 21.2 (C9, C10), 16.8 (C1).
Elem. anal. Calc. (%) for C70H88Cl6N10O2Ru*0.7CH2Cl2: C 57.58, H 6.11, and N 9.50. Found: C 57.90, H 5.60, and N 9.75.
ESI-MS: m/z 1379 [M − Cl]+.
(η6-p-cymene){N-(3-(1H-imidazol-1-yl)propyl)acetamide}ruthenium(II)-N oxalate (21)

Silver oxalate Ag2C2O4 (70 mg, 0.2282 mmol) was added to the dimer (η6-p-cymene-RuCl2)2 solution (70 mg; 0.1141 mmol) in 40.0 mL of H2O. The reaction mixture was stirred for 12 h. Precipitated AgCl was filtered off, and the solvent was evaporated under a vacuum. The resulting ruthenium complex was dissolved in 18.0 mL of MeOH, and a solution of compound 20 [51] (38 mg, 0.2282 mmol) in 2.0 mL of MeOH was added. The reaction mixture was stirred for 8 h, the solvent was evaporated under a vacuum, and the product was isolated by column chromatography on silica gel (eluent: MeOH:CH2Cl2 1:9, Rf = 0.5). The resulting orange precipitate was dried in a vacuum. Yield 85 mg (76%).
1H NMR (400.13 MHz, CDCl3) δ: 7.76 (t, 1H, J = 5.4 Hz, NH), 7.66 (s, 1H, H13), 6.93 (s, 1H, H14), 6.82 (s, 1H, H15), 5.56 (d, 2H, J = 6.1 Hz, H5, H6), 5.39 (d, 2H, J = 6.0 Hz, H3, H4), 3.76 (t, 2H, J = 6.9 Hz, H16), 3.03 (q, 2H, J = 5.8 Hz, H18), 2.83–2.75 (m, 1H, H8), 2.16 (s, 3H, H1), 1.99 (s, 3H, H20), 1.78–1.70 (m, 2H, H17), 1.28 (d, 6H, J = 6.9 Hz, H9, H10).
ESI-MS: m/z 526 [M + Cl]−, 492 [M + H]+, 514 [M + Na]+.
2.2. Log P Determination
Log P values of the new compounds were determined by the HPLC method [42,43] using a Phenomenex Kinetex 5 μ XB-C18 100 Å column 150 × 4.6 mm using two mobile phases: phase A was 20 mM MOPS, 0.15% decylamine, pH = 7.4; phase B was 0.25% 1-octanol in methanol. Briefly, samples dissolved in methanol with uracil as an internal standard were injected into the column and eluted with mobile phase B between 70%, 80%, and 90%. The log P values were calculated as previously described [43] using benzaldehyde, methyl benzoate, ethoxybenzene, naphthalene, and 1-chloronaphthalene as standards. These experiments were repeated three times for each of the compounds.
2.3. Cell Death Studies
The antiproliferative activity was studied by MTT assays as published previously [45]. For the flow cytometry studies, cells were plated into 6-well plates (Eppendorf, Germany; HCT-116 cells, 4 × 105 cells in 2 mL of DMEM) and incubated for 24 h. Solutions of complexes in DMSO were prepared immediately prior to the day of the experiments. A Cisplatin solution was prepared in DMEM without the addition of DMSO. Cells were treated with either 20 µM of cisplatin, 25 µM of 12, 25 µM of 14, 20 µM of 18, or 20 µM of 19. Concentrations corresponded to twofold IC50 values based on MTT assays. Cells were incubated for 24, 48 and 72 h, pooled, washed with PBS, and resuspended in DMEM. Aliquots of cells were processed as recommended in the Muse Annexin V&Dead Cell Kit or Muse Caspase-3/7 Kit (Luminex). Measurements were carried out on a Muse Cell Analyser, Luminex corp., Austin, TX, USA according to the manufacturer protocol.
2.4. TrxR1 Assay
The activity of rat TrxR1 in the presence of target compounds was determined in vitro using hepatocyte homogenate as we described previously [49].
3. Results and Discussion
Synthesis and Characterization
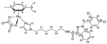
Previously, we have reported the synthetic route and antiproliferative activity data for the lonidamine-modified imidazole ligands 1–6 [47,49] and utilized them for the preparation of various Ru(III) and Ru(II) compounds, including complex 8 [47]. In this work, new complexes 7, 9–11 were obtained by coordination of imidazole ligands 1, 3–5 with the ruthenium dimer ((η6-p-cymene)RuCl2)2 in CH2Cl2 in the ratio 2:1 (Scheme 1).
Scheme 1.
Synthesis of Ru(II) complexes.
Complexes 12–17 with the oxalate or malonate moiety were prepared in two steps procedure: first the formation in situ ruthenium aqua complexes from the ruthenium dimer with silver oxalate or malonate, correspondingly, were carried out and later, coordination of aqua complex with ligands 2, 4, and 6. Complexes 18–19 were prepared by coordination ligands 2, 6, and ((η6-p-cymene)RuCl2)2 in the ratio 4:1 (Scheme 1). All obtained complexes, 7–19, were fully characterized with 1H and 13C{1H} NMR spectroscopy, ESI mass-spectrometry, and elemental analysis which have fully confirmed the structure of expected products (see Supplementary Figures S1–S6).
It has been found that Ru(II) organometallic compounds with chloride ligands easily entered into ligand exchange reactions with several solvent molecules, such as water or DMSO [52]. DMSO is widely used in in vitro tests, while the transformation of organometallic compounds in DMSO-containing solutions can hinder the study of biological activity. To overcome the mentioned problem, we have proposed an approach to obtaining analogues resistant to the ligand exchange reactions. This was achieved by replacing the chloride ligands with the dicarboxylic acid moiety or introducing a second imidazole ligand into the coordination sphere.
The stability of complexes 7–19 in DMSO-containing solutions has been studied by NMR spectroscopy. 1H NMR spectra of compounds 7–11 bearing two chloride ligands include additional signals corresponding to ligand exchange products when a DMSO-containing solvent is used; whereas, compounds with an oxalate or malonate fragment as well as complexes 18–19 with two imidazole ligands do not show any additional signals, hence demonstrating no transformation of the complex in the solution (Figure 3). Complexes 12–19 were also found to be stable in pure DMSO.
Figure 3.
The formation of additional signals in presence of d6-DMSO (signal at δ 2.5 ppm) for 8, and stability of complex 12 at least for 24 h.
The lipophilicity of complexes 12–14 with oxalate moiety was determined by HPLC (Table 1). For complexes 7–11 and 18, 19 we observed irreversible absorption on the column. Complexes showed high lipophilicity, as was expected, and an increase in Log P values with an increase in linker length.
Table 1.
The lipophilicity of complexes.
To confirm the key role of lonidamine in the cytotoxicity of the obtained complexes, analogue 21 without lonidamine moiety was obtained (Scheme 2). The complex was synthesized by coordination of ligand 20 to ruthenium aqua complex with an oxalate group obtained in situ.
Scheme 2.
Synthesis of the Ru(II) analogue without lonidamine.
Cytotoxicity of new Ru(II) complexes was investigated by the MTT assay on human cancer cell lines A549 (non-small cell lung cancer), MCF7 (breast cancer), SW480 (colon carcinoma), and HCT116 (colorectal carcinoma) (Table 2).
Table 2.
Antiproliferative activity against human tumour cells.
Complexes show cytotoxicity in a medium micromolar range exceeding or equal activity of the parent organic drug lonidamine and corresponding ligands 1–6 [47,49]. Moreover, in some cases, their activity is higher than the cytotoxicity of cisplatin. Cytotoxicity studies have established that, regardless of the complex stability in the presence of DMSO, cytotoxicity was in a similar range. For complexes 18–19, it was shown that the introduction of the second ligand containing lonidamine into the structure leads to a two-times increase in cytotoxicity in in vitro tests compare to complexes with only one ligand. An increase in the linker length about twice increases activity, however, it significantly raised lipophilicity. Unfortunately, we did not observe any selectivity toward the cancer cells in the experiments with the non-tumorigenic WI38 cell line (IC50 25.05 ± 0.03 for 15). Moreover, the antiproliferative study confirmed the significance of lonidamine moiety in the compound, as ligand 20 and complex 21 exhibited no activity. For further cell death studies by flow cytometry, complexes 12, 14, 18, and 19 were chosen, and cisplatin was used as a reference drug (Figure 4).
Figure 4.
Flow cytometry studies of apoptosis induction on HCT116 cell lines (1a–f incubation for 48 h, 2a–f incubation for 72 h) and caspase activation (3a–f incubation for 48 h, 4a–f incubation for 72 h), 1–4a—control, 1–4b—cisplatin (20 µM), 1–4c—complex 12 (25 µM), 1–4d—complex 14 (25 µM), 1–4e—complex 18 (20 µM), 1–4f—complex 19 (20 µM).
Cytometric studies of apoptosis induction and caspase activation on the HCT116 cell line revealed that Ru(II) organometallic compounds with lonidamine-containing ligands at an early stage (after 24 h of incubation) do not lead to significant apoptosis induction (~15%), and there are no cells with activated caspases (0%). This is probably due to the slow transformation to the active form of the Ru-prodrug. However, after 48 h, and especially after 72 h organometallic derivatives start to show significant apoptosis induction which is accompanied by caspase activation.
Thioredoxin reductases belong to the thioredoxin system and play a crucial role in regulating redox processes, transcription, and protection from reactive oxygen species. TrxR1 is one of the cytosolic isoforms of this enzyme, which is overexpressed in cancer cells, making it a target for developing new anticancer therapies [53]. Due to the presence of the selenocysteine enzyme in the active centre, the majority of known TrxR inhibitors are electrophilic compounds [54], making it necessary to study the inhibitory effect of new compounds on TrxR1 in vitro.
To assess whether the engagement of thioredoxin reductase 1 contributes to the cytotoxic action of novel Ru(II) complexes, we evaluated selected compounds as TrxR1 inhibitors in a functional in vitro assay. Complexes 12, 15, and 18, which comprise lonidamine/oxalate, lonidamine/malonate, and bis-lonidamine moieties, respectively, were tested at a final concentration of 100 μM (Figure 5). We have found that these Ru(II) complexes lack significant TrxR1 inhibitory properties regardless of the ligand’s nature, unlike previously reported Ru(III) complexes [40]. Thus, it appears that the ruthenium oxidation state and the presence of the Ru-C bond play a definitive role in the compounds’ mechanism of action.
Figure 5.
Kinetics of TrxR1 activity in the presence of selected Ru(II) complexes.
4. Conclusions
The ruthenium organometallic compounds with lonidamine ligand connected by an imidazole linker were prepared. The presence of oxalate, malonate moiety, or second lonidamine ligand leads to high stability in the ligand exchange reaction. These complexes showed good antiproliferative activity and high lipophilicity but also some increase in activity with an increase in the length of the linker. The study on the mechanism of cell death revealed slow induction of apoptosis without activation of caspases. In contrast to previously studied Ru(III) complexes with the same ligand, the TrxR1 is not inhibited by Ru(II) organometallic analogues. The new compounds described herein represent an interesting and promising class of antiproliferative ruthenium complexes that will be studied further, including in vivo evaluation.
Supplementary Materials
The following supporting information can be downloaded at: https://www.mdpi.com/article/10.3390/pharmaceutics15051366/s1, Figure S1. Experimental spectrum for complex 15, simulated spectrum for [M + H]+, simulated spectrum for [M + Na]+; Figure S2. Experimental spectrum for complex 16, simulated spectrum for [M + H]+, simulated spectrum for [M + Na]+; Figure S3. Experimental spectrum for complex 17, simulated spectrum for [M + H]+, simulated spectrum for [M + Na]+; Figure S4. Experimental spectrum for complex 18, simulated spectrum for [M − Cl]+; Figure S5. Experimental spectrum for complex 19, simulated spectrum for [M − Cl]+; Figure S6. Signal shifts in 1H NMR spectra of ligand 5 and complexes 11, 14.
Author Contributions
Conceptualisation, A.A.N. and E.R.M.; Funding acquisition, E.R.M.; Investigation, I.A.S., Y.N.O., D.M.M., N.A.M., E.V.S., D.A.B. and A.A.N.; Supervision, A.A.S., E.R.M. and A.A.N.; Writing—original draft preparation, I.A.S., D.A.B. and A.A.N. All authors have read and agreed to the published version of the manuscript.
Funding
This research was funded by Russian Science Foundation, grant number 22-63-00016.
Institutional Review Board Statement
Not applicable.
Informed Consent Statement
Not applicable.
Data Availability Statement
Data will be made available on request.
Conflicts of Interest
The authors declare no conflict of interest.
References
- Todd, R.C.; Lippard, S.J. Consequences of cisplatin binding on nucleosome structure and dynamics. Chem. Biol. 2010, 17, 1334–1343. [Google Scholar] [CrossRef]
- Florea, A.-M.; Buesselberg, D. Cisplatin as an anti-tumor drug: Cellular mechanisms of activity, drug resistance and induced side effects. Cancers 2011, 3, 1351–1371. [Google Scholar] [CrossRef] [PubMed]
- Johnstone, T.C.; Suntharalingam, K.; Lippard, S.J. The Next Generation of Platinum Drugs: Targeted Pt(II) Agents, Nanoparticle Delivery, and Pt(IV) Prodrugs. Chem. Rev. 2016, 116, 3436–3486. [Google Scholar] [CrossRef] [PubMed]
- Brabec, V.; Hrabina, O.; Kasparkova, J. Cytotoxic platinum coordination compounds. DNA binding agents. Coord. Chem. Rev. 2017, 351, 2–31. [Google Scholar] [CrossRef]
- Bakewell, S.; Conde, I.; Fallah, Y.; McCoy, M.; Jin, L.; Shajahan-Haq, A.N. Inhibition of DNA Repair Pathways and Induction of ROS Are Potential Mechanisms of Action of the Small Molecule Inhibitor BOLD-100 in Breast Cancer. Cancers 2020, 12, 2647. [Google Scholar] [CrossRef]
- Bergamo, A.; Dyson, P.J.; Sava, G. The mechanism of tumour cell death by metal-based anticancer drugs is not only a matter of DNA interactions. Coord. Chem. Rev. 2018, 360, 17–33. [Google Scholar] [CrossRef]
- Brescacin, L.; Masi, A.; Sava, G.; Bergamo, A. Effects of the ruthenium-based drug NAMI-A on the roles played by TGF-β1 in the metastatic process. J. Biol. Inorg. Chem. 2015, 20, 1163–1173. [Google Scholar] [CrossRef] [PubMed]
- Burris, H.A.; Bakewell, S.; Bendell, J.C.; Infante, J.; Jones, S.F.; Spigel, D.R.; Weiss, G.J.; Ramanathan, R.K.; Ogden, A.; Von Hoff, D. Safety and activity of IT-139, a ruthenium-based compound, in patients with advanced solid tumours: A first-in-human, open-label, dose-escalation phase I study with expansion cohort. ESMO Open 2016, 1, e000154. [Google Scholar] [CrossRef]
- Hartinger, C.G.; Zorbas-Seifried, S.; Jakupec, M.A.; Kynast, B.; Zorbas, H.; Keppler, B.K. From bench to bedside—Preclinical and early clinical development of the anticancer agent indazolium trans-[tetrachlorobis(1H-indazole)ruthenate(III)] (KP1019 or FFC14A). J. Inorg. Biochem. 2006, 100, 891–904. [Google Scholar] [CrossRef]
- Neuditschko, B.; Legin, A.A.; Baier, D.; Schintlmeister, A.; Reipert, S.; Wagner, M.; Keppler, B.K.; Berger, W.; Meier-Menches, S.M.; Gerner, C. Interaction with Ribosomal Proteins Accompanies Stress Induction of the Anticancer Metallodrug BOLD-100/KP1339 in the Endoplasmic Reticulum. Angew. Chem. Int. Ed. 2021, 60, 5063–5068. [Google Scholar] [CrossRef] [PubMed]
- Vadori, M.; Florio, C.; Groppo, B.; Cocchietto, M.; Pacor, S.; Zorzet, S.; Candussio, L.; Sava, G. The antimetastatic drug NAMI-A potentiates the phenylephrine-induced contraction of aortic smooth muscle cells and induces a transient increase in systolic blood pressure. J. Biol. Inorg. Chem. 2015, 20, 831–840. [Google Scholar] [CrossRef] [PubMed]
- Ankathatti Munegowda, M.; Manalac, A.; Weersink, M.; McFarland, S.A.; Lilge, L. Ru(II) containing photosensitizers for photodynamic therapy: A critique on reporting and an attempt to compare efficacy. Coord. Chem. Rev. 2022, 470, 214712. [Google Scholar] [CrossRef]
- Gandosio, A.; Purkait, K.; Gasser, G. Recent Approaches towards the Development of Ru(II) Polypyridyl Complexes for Anticancer Photodynamic Therapy. CHIMIA 2021, 75, 845. [Google Scholar] [CrossRef]
- Li, A.; Turro, C.; Kodanko, J.J. Ru(II) Polypyridyl Complexes Derived from Tetradentate Ancillary Ligands for Effective Photocaging. Acc. Chem. Res. 2018, 51, 1415–1421. [Google Scholar] [CrossRef] [PubMed]
- Alessio, E. Thirty Years of the Drug Candidate NAMI-A and the Myths in the Field of Ruthenium Anticancer Compounds: A Personal Perspective. Eur. J. Inorg. Chem. 2017, 2017, 1549–1560. [Google Scholar] [CrossRef]
- Alessio, E.; Messori, L. NAMI-A and KP1019/1339, Two Iconic Ruthenium Anticancer Drug Candidates Face-to-Face: A Case Story in Medicinal Inorganic Chemistry. Molecules 2019, 24, 1995. [Google Scholar] [CrossRef]
- Coverdale, J.P.C.; Laroiya-McCarron, T.; Romero-Canelón, I. Designing Ruthenium Anticancer Drugs: What Have We Learnt from the Key Drug Candidates? Inorganics 2019, 7, 31. [Google Scholar] [CrossRef]
- Hartinger, C.G.; Jakupec, M.A.; Zorbas-Seifried, S.; Groessl, M.; Egger, A.; Berger, W.; Zorbas, H.; Dyson, P.J.; Keppler, B.K. KP1019, A New Redox-Active Anticancer Agent—Preclinical Development and Results of a Clinical Phase I Study in Tumor Patients. Chem. Biodivers. 2008, 5, 2140–2155. [Google Scholar] [CrossRef]
- Jakupec, M.A.; Arion, V.B.; Kapitza, S.; Reisner, E.; Eichinger, A.; Pongratz, M.; Marian, B.; Graf von Keyserlingk, N.; Keppler, B.K. KP1019 (FFC14A) from bench to bedside: Preclinical and early clinical development—An overview. Int. J. Clin. Pharmacol. Ther. 2005, 43, 595–596. [Google Scholar] [CrossRef]
- Lentz, F.; Drescher, A.; Lindauer, A.; Henke, M.; Hilger, R.A.; Hartinger, C.G.; Scheulen, M.E.; Dittrich, C.; Keppler, B.K.; Jaehde, U.; et al. Pharmacokinetics of a novel anticancer ruthenium complex (KP1019, FFC14A) in a phase I dose-escalation study. Anti-Cancer Drugs 2009, 20, 97–103. [Google Scholar] [CrossRef]
- Rademaker-Lakhai, J.M.; van den Bongard, D.; Pluim, D.; Beijnen, J.H.; Schellens, J.H.M. A Phase I and Pharmacological Study with Imidazolium-trans-DMSO-imidazole-tetrachlororuthenate, a Novel Ruthenium Anticancer Agent. Clin. Cancer Res. 2004, 10, 3717–3727. [Google Scholar] [CrossRef]
- Sava, G.; Gagliardi, R.; Bergamo, A.; Alessio, E.; Mestroni, G. Treatment of metastases of solid mouse tumours by NAMI-A: Comparison with cisplatin, cyclophosphamide and dacarbazine. Anticancer Res. 1999, 19, 969–972. [Google Scholar] [PubMed]
- Leijen, S.; Burgers, S.A.; Baas, P.; Pluim, D.; Tibben, M.; van Werkhoven, E.; Alessio, E.; Sava, G.; Beijnen, J.H.; Schellens, J.H.M. Phase I/II study with ruthenium compound NAMI-A and gemcitabine in patients with non-small cell lung cancer after first line therapy. Investig. New Drugs 2015, 33, 201–214. [Google Scholar] [CrossRef] [PubMed]
- FDA Grants Bold Therapeutics BOLD-100 an Orphan Drug Designation (ODD) in the Treatment of Gastric Cancer. Available online: https://www.bold-therapeutics.com/news-post?FDA+Grants+Bold+Therapeutics+BOLD-100+an+Orphan+Drug+Designation+%28ODD%29+in+the+Treatment+of+Gastric+Cancer (accessed on 11 May 2021).
- Chen, H.; Parkinson, J.A.; Morris, R.E.; Sadler, P.J. Highly Selective Binding of Organometallic Ruthenium Ethylenediamine Complexes to Nucleic Acids: Novel Recognition Mechanisms. J. Am. Chem. Soc. 2003, 125, 173–186. [Google Scholar] [CrossRef]
- Hayward, R.L.; Schornagel, Q.C.; Tente, R.; Macpherson, J.S.; Aird, R.E.; Guichard, S.; Habtemariam, A.; Sadler, P.; Jodrell, D.I. Investigation of the role of Bax, p21/Waf1 and p53 as determinants of cellular responses in HCT116 colorectal cancer cells exposed to the novel cytotoxic ruthenium(II) organometallic agent, RM175. Cancer Chemother. Pharmacol. 2005, 55, 577–583. [Google Scholar] [CrossRef] [PubMed]
- Allardyce, C.S.; Dyson, P.J.; Ellis, D.J.; Heath, S.L. [Ru(η--cymene)Cl(pta)] (pta = 1,3,5-triaza-7-phosphatricyclo- [3.3.1.1]decane): A water soluble compound that exhibits pH dependent DNA binding providing selectivity for diseased cells. Chem. Commun. 2001, 1396–1397. [Google Scholar] [CrossRef]
- Scolaro, C.; Bergamo, A.; Brescacin, L.; Delfino, R.; Cocchietto, M.; Laurenczy, G.; Geldbach, T.J.; Sava, G.; Dyson, P.J. In Vitro and in Vivo Evaluation of Ruthenium(II)−Arene PTA Complexes. J. Med. Chem. 2005, 48, 4161–4171. [Google Scholar] [CrossRef]
- Scolaro, C.; Geldbach, T.J.; Rochat, S.; Dorcier, A.; Gossens, C.; Bergamo, A.; Cocchietto, M.; Tavernelli, I.; Sava, G.; Rothlisberger, U.; et al. Influence of Hydrogen-Bonding Substituents on the Cytotoxicity of RAPTA Compounds. Organometallics 2006, 25, 756–765. [Google Scholar] [CrossRef]
- Nazarov, A.A.; Hartinger, C.G.; Dyson, P.J. Opening the lid on piano-stool complexes: An account of ruthenium(II)–arene complexes with medicinal applications. J. Organomet. Chem. 2014, 751, 251–260. [Google Scholar] [CrossRef]
- Adhireksan, Z.; Davey, G.E.; Campomanes, P.; Groessl, M.; Clavel, C.M.; Yu, H.; Nazarov, A.A.; Yeo, C.H.F.; Ang, W.H.; Dröge, P.; et al. Ligand substitutions between ruthenium–cymene compounds can control protein versus DNA targeting and anticancer activity. Nat. Commun. 2014, 5, 3462. [Google Scholar] [CrossRef]
- Nowak-Sliwinska, P.; van Beijnum, J.R.; Casini, A.; Nazarov, A.A.; Wagnières, G.; van den Bergh, H.; Dyson, P.J.; Griffioen, A.W. Organometallic Ruthenium(II) Arene Compounds with Antiangiogenic Activity. J. Med. Chem. 2011, 54, 3895–3902. [Google Scholar] [CrossRef] [PubMed]
- Kenny, R.G.; Marmion, C.J. Toward Multi-Targeted Platinum and Ruthenium Drugs—A New Paradigm in Cancer Drug Treatment Regimens? Chem. Rev. 2019, 119, 1058–1137. [Google Scholar] [CrossRef] [PubMed]
- Tremlett, W.D.J.; Goodman, D.M.; Steel, T.R.; Kumar, S.; Wieczorek-Błauż, A.; Walsh, F.P.; Sullivan, M.P.; Hanif, M.; Hartinger, C.G. Design concepts of half-sandwich organoruthenium anticancer agents based on bidentate bioactive ligands. Coord. Chem. Rev. 2021, 445, 213950. [Google Scholar] [CrossRef]
- Kasparkova, J.; Kostrhunova, H.; Novohradsky, V.; Ma, L.; Zhu, G.; Milaeva, E.R.; Shtill, A.A.; Vinck, R.; Gasser, G.; Brabec, V.; et al. Is antitumor Pt(IV) complex containing two axial lonidamine ligands a true dual- or multi-action prodrug? Metallomics 2022, 14, mfac048. [Google Scholar] [CrossRef] [PubMed]
- Warburg, O. On the Origin of Cancer Cells. Science 1956, 123, 309–314. [Google Scholar] [CrossRef] [PubMed]
- Vander Heiden, M.G.; Cantley, L.C.; Thompson, C.B. Understanding the Warburg Effect: The Metabolic Requirements of Cell Proliferation. Science 2009, 324, 1029–1033. [Google Scholar] [CrossRef]
- Bhutia, Y.D.; Babu, E.; Ganapathy, V. Re-programming tumour cell metabolism to treat cancer: No lone target for lonidamine. Biochem. J. 2016, 473, 1503–1506. [Google Scholar] [CrossRef]
- Floridi, A.; Paggi, M.G.; D’Atri, S.; De Martino, C.; Marcante, M.L.; Silvestrini, B.; Caputo, A. Effect of Lonidamine on the Energy Metabolism of Ehrlich Ascites Tumor Cells1. Cancer Res. 1981, 41, 4661–4666. [Google Scholar]
- Nath, K.; Guo, L.; Nancolas, B.; Nelson, D.S.; Shestov, A.A.; Lee, S.-C.; Roman, J.; Zhou, R.; Leeper, D.B.; Halestrap, A.P.; et al. Mechanism of antineoplastic activity of lonidamine. Biochim. Biophys. Acta Rev. Cancer 2016, 1866, 151–162. [Google Scholar] [CrossRef] [PubMed]
- Cheng, G.; Zhang, Q.; Pan, J.; Lee, Y.; Ouari, O.; Hardy, M.; Zielonka, M.; Myers, C.R.; Zielonka, J.; Weh, K.; et al. Targeting lonidamine to mitochondria mitigates lung tumorigenesis and brain metastasis. Nat. Commun. 2019, 10, 2205. [Google Scholar] [CrossRef]
- Berruti, A.; Bitossi, R.; Gorzegno, G.; Bottini, A.; Alquati, P.; Matteis, A.D.; Nuzzo, F.; Giardina, G.; Danese, S.; Lena, M.D.; et al. Time to Progression in Metastatic Breast Cancer Patients Treated With Epirubicin Is Not Improved by the Addition of Either Cisplatin or Lonidamine: Final Results of a Phase III Study With a Factorial Design. J. Clin. Oncol. 2002, 20, 4150–4159. [Google Scholar] [CrossRef] [PubMed]
- Huang, Y.; Sun, G.; Sun, X.; Li, F.; Zhao, L.; Zhong, R.; Peng, Y. The Potential of Lonidamine in Combination with Chemotherapy and Physical Therapy in Cancer Treatment. Cancers 2020, 12, 3332. [Google Scholar] [CrossRef]
- Zhang, Y.; Li, Q.; Huang, Z.; Li, B.; Nice, E.C.; Huang, C.; Wei, L.; Zou, B. Targeting Glucose Metabolism Enzymes in Cancer Treatment: Current and Emerging Strategies. Cancers 2022, 14, 4568. [Google Scholar] [CrossRef]
- Nosova, Y.N.; Foteeva, L.S.; Zenin, I.V.; Fetisov, T.I.; Kirsanov, K.I.; Yakubovskaya, M.G.; Antonenko, T.A.; Tafeenko, V.A.; Aslanov, L.A.; Lobas, A.A.; et al. Enhancing the Cytotoxic Activity of Anticancer Pt(IV) Complexes by Introduction of Lonidamine as an Axial Ligand. Eur. J. Inorg. Chem. 2017, 2017, 1785–1791. [Google Scholar] [CrossRef]
- Okulova, Y.N.; Zenin, I.V.; Shutkov, I.A.; Kirsanov, K.I.; Kovaleva, O.N.; Lesovaya, E.A.; Fetisov, T.I.; Milaeva, E.R.; Nazarov, A.A. Antiproliferative activity of Pt(IV) complexes with lonidamine and bexarotene ligands attached via succinate-ethylenediamine linker. Inorg. Chim. Acta 2019, 495, 119010. [Google Scholar] [CrossRef]
- Nazarov, A.A.; Gardini, D.; Baquie, M.; Juillerat-Jeanneret, L.; Serkova, T.P.; Shevtsova, E.P.; Scopelliti, R.; Dyson, P.J. Organometallic anticancer agents that interfere with cellular energy processes: A subtle approach to inducing cancer cell death. Dalton Trans. 2013, 42, 2347–2350. [Google Scholar] [CrossRef]
- Shutkov, I.A.; Antonets, A.A.; Tyurin, V.Y.; Milaeva, E.R.; Nazarov, A.A. Ruthenium(III) Complexes of NAMI-A Type with Ligands Based on Lonidamine and Bexarotene as Antiproliferative Agents. Russ. J. Inorg. Chem. 2021, 66, 502–509. [Google Scholar] [CrossRef]
- Shutkov, I.A.; Okulova, Y.N.; Tyurin, V.Y.; Sokolova, E.V.; Babkov, D.A.; Spasov, A.A.; Gracheva, Y.A.; Schmidt, C.; Kirsanov, K.I.; Shtil, A.A.; et al. Ru(III) Complexes with Lonidamine-Modified Ligands. Int. J. Mol. Sci. 2021, 22, 13468. [Google Scholar] [CrossRef]
- Armarego, W.L.F.; Chai, C. Purification of Laboratory Chemicals, 5th ed.; Butterworth-Heinemann: Oxford, UK, 2003; p. 608. [Google Scholar]
- De Vita, D.; Angeli, A.; Pandolfi, F.; Bortolami, M.; Costi, R.; Di Santo, R.; Suffredini, E.; Ceruso, M.; Del Prete, S.; Capasso, C.; et al. Inhibition of the α-carbonic anhydrase from Vibrio cholerae with amides and sulfonamides incorporating imidazole moieties. J. Enzym. Inhib. Med. Chem. 2017, 32, 798–804. [Google Scholar] [CrossRef]
- Patra, M.; Joshi, T.; Pierroz, V.; Ingram, K.; Kaiser, M.; Ferrari, S.; Spingler, B.; Keiser, J.; Gasser, G. DMSO-Mediated Ligand Dissociation: Renaissance for Biological Activity of N-Heterocyclic-[Ru(η6-arene)Cl2] Drug Candidates. Chem. Eur. J. 2013, 19, 14768–14772. [Google Scholar] [CrossRef]
- Zhang, J.; Zhang, B.; Li, X.; Han, X.; Liu, R.; Fang, J. Small molecule inhibitors of mammalian thioredoxin reductase as potential anticancer agents: An update. Med. Res. Rev. 2019, 39, 5–39. [Google Scholar] [CrossRef] [PubMed]
- Zhang, B.; Zhang, J.; Peng, S.; Liu, R.; Li, X.; Hou, Y.; Han, X.; Fang, J. Thioredoxin reductase inhibitors: A patent review. Expert Opin. Ther. Pat. 2017, 27, 547–556. [Google Scholar] [CrossRef] [PubMed]
Disclaimer/Publisher’s Note: The statements, opinions and data contained in all publications are solely those of the individual author(s) and contributor(s) and not of MDPI and/or the editor(s). MDPI and/or the editor(s) disclaim responsibility for any injury to people or property resulting from any ideas, methods, instructions or products referred to in the content. |
© 2023 by the authors. Licensee MDPI, Basel, Switzerland. This article is an open access article distributed under the terms and conditions of the Creative Commons Attribution (CC BY) license (https://creativecommons.org/licenses/by/4.0/).