Catheters with Dual-Antimicrobial Properties by Gamma Radiation-Induced Grafting
Abstract
1. Introduction
2. Materials and Methods
2.1. Materials
2.2. Synthesis of PVC-g-4VP
2.3. Formation of PVC-g-4VP/4VPPS Graft by Functionalization
2.4. Infrared Spectroscopy and Thermal Analysis
2.5. Swelling and Contact Angle
2.6. pH-Responsiveness
2.7. Load and Realese of Ciprofloxacin
2.7.1. Ciprofloxacin Load
2.7.2. Ciprofloxacin Release
2.8. Protein Adsorption Test
2.9. Cell Viability Assay
2.10. Bacterial Inhibition Test
2.11. Bacterial Adhetion Test
3. Results
3.1. Synthesis of PVC-g-4VP/4VPPS
3.2. Infrared Spectroscopy and Themal Analysis
3.3. Swelling and Contact Angle
3.4. pH-Sensitivity
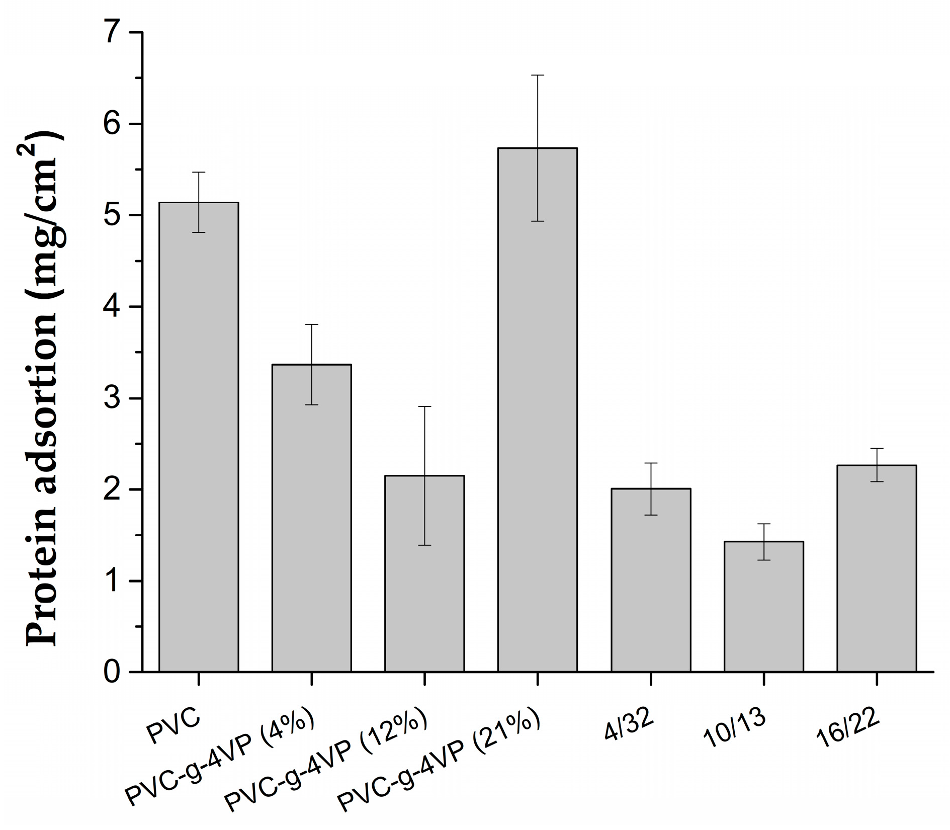
3.5. Protein Adsortion Test
3.6. Load and Release of Ciprofloxacin
3.7. Cell Viability
3.8. Antimicrobial Activity and Antifouling Capability
4. Discussion
5. Conclusions
Supplementary Materials
Author Contributions
Funding
Institutional Review Board Statement
Informed Consent Statement
Data Availability Statement
Acknowledgments
Conflicts of Interest
References
- Khan, H.A.; Baig, F.K.; Mehboob, R. Nosocomial infections: Epidemiology, prevention, control and surveillance. Asian Pac. J. Trop. Biomed. 2017, 7, 478–482. [Google Scholar] [CrossRef]
- Jenkins, D.R. Nosocomial infections and infection control. Medicine 2017, 45, 629–633. [Google Scholar] [CrossRef]
- Rosenthal, V.D.; Maki, D.G.; Graves, N. The International Nosocomial Infection Control Consortium (INICC): Goals and objectives, description of surveillance methods, and operational activities. Am. J. Infect. Control 2008, 36, e1–e12. [Google Scholar] [CrossRef]
- Aitken, C.; Jeffries, D.J. Nosocomial spread of viral disease. Clin. Microbiol. Rev. 2001, 14, 528–546. [Google Scholar] [CrossRef]
- Fätkenheuer, G.; Cornely, O.; Seifert, H. Clinical management of catheter-related infections. Clin. Microbiol. Infect. 2002, 8, 545–550. [Google Scholar] [CrossRef] [PubMed]
- Pujol, M.; Limón, E. General epidemiology of nosocomial infections. Surveillance systems and programs. Enferm. Infecc. Microbiol. Clin. 2013, 31, 108–113. [Google Scholar] [CrossRef] [PubMed]
- D’Agata, R.; Bellassai, N.; Jungbluth, V.; Spoto, G. Recent Advances in Antifouling Materials for Surface Plasmon Resonance Biosensing in Clinical Diagnostics and Food Safety. Polymers 2021, 13, 1929. [Google Scholar] [CrossRef] [PubMed]
- Wang, Z.; Scheres, L.; Xia, H.; Zuilhof, H. Developments and Challenges in Self-Healing Antifouling Materials. Adv. Funct. Mater. 2020, 30, 1908098. [Google Scholar] [CrossRef]
- Choudhury, R.R.; Gohil, J.M.; Mohanty, S.; Nayak, S.K. Antifouling, fouling release and antimicrobial materials for surface modification of reverse osmosis and nanofiltration membranes. J. Mater. Chem. A 2018, 6, 313–333. [Google Scholar] [CrossRef]
- Zander, Z.K.; Becker, M.L. Antimicrobial and antifouling strategies for polymeric medical devices. ACS Macro Lett. 2018, 7, 16–25. [Google Scholar] [CrossRef]
- Liu, Y.; Ren, X.; Huang, T.S. Antimicrobial cotton containing N-halamine and quaternary ammonium groups by grafting copolymerization. Appl. Surf. Sci. 2014, 296, 231–236. [Google Scholar] [CrossRef]
- Massi, L.; Guittard, F.; Levy, R.; Géribaldi, S. Enhanced activity of fluorinated quaternary ammonium surfactants against Pseudomonas aeruginosa. Eur. J. Med. Chem. 2009, 44, 1615–1622. [Google Scholar] [CrossRef]
- Maleki Dizaj, S.; Lotfipour, F.; Barzegar-Jalali, M.; Hossein Zarrintan, M.; Adibkia, K. Antimicrobial activity of the metals and metal oxide nanoparticles. Mater. Sci. Eng. C 2014, 44, 278–284. [Google Scholar] [CrossRef]
- Affes, S.; Maalej, H.; Aranaz, I.; Kchaou, H.; Acosta, N.; Heras, Á.; Nasri, M. Controlled size green synthesis of bioactive silver nanoparticles assisted by chitosan and its derivatives and their application in biofilm preparation. Carbohydr. Polym. 2020, 236, 116063. [Google Scholar] [CrossRef] [PubMed]
- Rajivgandhi, G.; Maruthupandy, M.; Muneeswaran, T.; Anand, M.; Quero, F.; Manoharan, N.; Li, W.J. Biosynthesized silver nanoparticles for inhibition of antibacterial resistance and biofilm formation of methicillin-resistant coagulase negative Staphylococci. Bioorg. Chem. 2019, 89, 103008. [Google Scholar] [CrossRef] [PubMed]
- Zhao, J.; Ma, L.; Millians, W.; Wu, T.; Ming, W. Dual-Functional Antifogging/Antimicrobial Polymer Coating. ACS Appl. Mater. Interfaces 2016, 8, 8737–8742. [Google Scholar] [CrossRef] [PubMed]
- Qiu, H.; Si, Z.; Luo, Y.; Feng, P.; Wu, X.; Hou, W.; Zhu, Y.; Chan-Park, M.B.; Xu, L.; Huang, D. The Mechanisms and the Applications of Antibacterial Polymers in Surface Modification on Medical Devices. Front. Bioeng. Biotechnol. 2020, 8, 910. [Google Scholar] [CrossRef]
- Do Nascimento Marques, N.; Da Silva Maia, A.M.; De Carvalho Balaban, R. Development of dual-sensitive smart polymers by grafting chitosan with poly (N-isopropylacrylamide): An overview. Polimeros 2015, 25, 237–246. [Google Scholar] [CrossRef]
- Edis, Z.; Bloukh, S.H.; Ibrahim, M.R.; Sara, H.A. “Smart” Antimicrobial Nanocomplexes with Potential to Decrease Surgical Site Infections (SSI). Pharmaceutics 2020, 12, 361. [Google Scholar] [CrossRef]
- Rizwan, M.; Yahya, R.; Hassan, A.; Yar, M.; Azzahari, A.D.; Selvanathan, V.; Sonsudin, F.; Abouloula, C.N. pH sensitive hydrogels in drug delivery: Brief history, properties, swelling, and release mechanism, material selection and applications. Polymers 2017, 9, 137. [Google Scholar] [CrossRef]
- Blackman, L.D.; Gunatillake, P.A.; Cass, P.; Locock, K.E.S. An introduction to zwitterionic polymer behavior and applications in solution and at surfaces. Chem. Soc. Rev. 2019, 48, 757–770. [Google Scholar] [CrossRef]
- Sin, M.C.; Chen, S.H.; Chang, Y. Hemocompatibility of zwitterionic interfaces and membranes. Polym. J. 2014, 46, 436–443. [Google Scholar] [CrossRef]
- Ladd, J.; Zhang, Z.; Chen, S.; Hower, J.C.; Jiang, S. Zwitterionic Polymers Exhibiting High Resistance to Nonspecific Protein Adsorption from Human Serum and Plasma. Biomacromolecules 2008, 9, 1357–1361. [Google Scholar] [CrossRef]
- Laschewsky, A. Structures and synthesis of zwitterionic polymers. Polymers 2014, 6, 1544–1601. [Google Scholar] [CrossRef]
- Venault, A.; Lai, M.-W.; Jhong, J.-F.; Yeh, C.-C.; Yeh, L.-C.; Chang, Y. Superior Bioinert Capability of Zwitterionic Poly(4-vinylpyridine propylsulfobetaine) Withstanding Clinical Sterilization for Extended Medical Applications. ACS Appl. Mater. Interfaces 2018, 10, 17771–17783. [Google Scholar] [CrossRef] [PubMed]
- Yang, W.; Sundaram, H.S.; Ella, J.-R.; He, N.; Jiang, S. Low-fouling electrospun PLLA films modified with zwitterionic poly(sulfobetaine methacrylate)-catechol conjugates. Acta Biomater. 2016, 40, 92–99. [Google Scholar] [CrossRef] [PubMed]
- Kao, C.W.; Cheng, P.H.; Wu, P.T.; Wang, S.W.; Chen, I.C.; Cheng, N.C.; Yang, K.C.; Yu, J. Zwitterionic poly(sulfobetaine methacrylate) hydrogels incorporated with angiogenic peptides promote differentiation of human adipose-derived stem cells. RSC Adv. 2017, 7, 51343–51351. [Google Scholar] [CrossRef]
- Harijan, M.; Singh, M. Zwitterionic polymers in drug delivery: A review. J. Mol. Recognit. 2022, 35, e2944. [Google Scholar] [CrossRef] [PubMed]
- Stevenson, K.; McVey, A.F.; Clark, I.B.N.; Swain, P.S.; Pilizota, T. General calibration of microbial growth in microplate readers. Sci. Rep. 2016, 6, 38828. [Google Scholar] [CrossRef]
- Raad, I.I.; Sabbagh, M.F.; Rand, K.H.; Sherertz, R.J. Quantitative tip culture methods and the diagnosis of central venous catheter-related infections. Diagn. Microbiol. Infect. Dis. 1992, 15, 13–20. [Google Scholar] [CrossRef]
- Aldea Mansilla, C.; Martínez-Alarcón, J.; Gracia Ahufinger, I.; Guembe Ramírez, M. Microbiological diagnosis of catheter-related infections. Enferm. Infecc. Microbiol. Clin. 2019, 37, 668–672. [Google Scholar] [CrossRef]
- Brugger, S.D.; Baumberger, C.; Jost, M.; Jenni, W.; Brugger, U.; Mühlemann, K. Automated counting of bacterial colony forming units on agar plates. PLoS ONE 2012, 7, e33695. [Google Scholar] [CrossRef]
- Duarte-Peña, L.; López-Saucedo, F.; Concheiro, A.; Alvarez-Lorenzo, C.; Bucio, E. Modification of indwelling PVC catheters by ionizing radiation with temperature- and pH-responsive polymers for antibiotic delivery. Radiat. Phys. Chem. 2022, 193, 110005. [Google Scholar] [CrossRef]
- Xue, Y.; Xiao, H. Antibacterial/Antiviral Property and Mechanism of Dual-Functional Quaternized Pyridinium-type Copolymer. Polymers 2015, 7, 2290–2303. [Google Scholar] [CrossRef]
- Wu, C.; Zheng, J.; Hu, J. Novel antifouling polysulfone matrix membrane modified with zwitterionic polymer. J. Saudi Chem. Soc. 2021, 25, 101281. [Google Scholar] [CrossRef]
- Shafi, H.Z.; Wang, M.; Gleason, K.K.; Khan, Z. Synthesis of surface-anchored stable zwitterionic films for inhibition of biofouling. Mater. Chem. Phys. 2020, 239, 121971. [Google Scholar] [CrossRef]
- Lucio, D.S.V.; Rivera-Armenta, J.L.; Rivas-Orta, V.; Díaz-Zavala, N.P.; Páramo-García, U.; Rivas, N.V.G.; Cinco, M.Y.C. Manufacturing of composites from chicken feathers and polyvinyl chloride (PVC). In Handbook of Composites from Renewable Materials; John Wiley & Sons: New York, NY, USA, 2017; pp. 159–174. [Google Scholar] [CrossRef]
- Ibrahim, G.P.S.; Isloor, A.M.; Inamuddin; Asiri, A.M.; Ismail, N.; Ismail, A.F.; Ashraf, G.M. Novel, one-step synthesis of zwitterionic polymer nanoparticles via distillation-precipitation polymerization and its application for dye removal membrane. Sci. Rep. 2017, 7, 15889. [Google Scholar] [CrossRef]
- Zhang, Y.; Huo, M.; Zhou, J.; Zou, A.; Li, W.; Yao, C.; Xie, S. DDSolver: An Add-In Program for Modeling and Comparison of Drug Dissolution Profiles. AAPS J. 2010, 12, 263–271. [Google Scholar] [CrossRef]
- Bruschi, M.L. (Ed.) 5—Mathematical models of drug release. In Strategies to Modify the Drug Release from Pharmaceutical Systems; Woodhead Publishing: Cambridge, UK, 2015; pp. 63–86. ISBN 978-0-08-100092-2. [Google Scholar]
- International Organization for Standardization (ISO). ISO 10993-5:2009 Biological Evaluation of Medical Devices—Part 5: Tests for In Vitro Cytotoxicity, 3rd ed.; International Organization for Standardization: Geneva, Switzerland, 2009. [Google Scholar]
- Lowe, A.B.; McCormick, C.L. Synthesis and Solution Properties of Zwitterionic Polymers. Chem. Rev. 2002, 102, 4177–4190. [Google Scholar] [CrossRef]
- Brown, M.U.; Seong, H.-G.; Margossian, K.O.; Bishop, L.; Russell, T.P.; Muthukumar, M.; Emrick, T. Zwitterionic Ammonium Sulfonate Polymers: Synthesis and Properties in Fluids. Macromol. Rapid Commun. 2022, 43, 2100678. [Google Scholar] [CrossRef] [PubMed]
- Meléndez-Ortiz, H.I.; Varca, G.H.C.; Lugão, A.B.; Bucio, E. Smart polymers and coatings obtained by ionizing radiation: Synthesis and biomedical applications. Open J. Polym. Chem. 2015, 5, 17–33. [Google Scholar] [CrossRef]
- Ashfaq, A.; Clochard, M.-C.; Coqueret, X.; Dispenza, C.; Driscoll, M.S.; Ulański, P.; Al-Sheikhly, M. Polymerization reactions and modifications of polymers by ionizing radiation. Polymers 2020, 12, 2877. [Google Scholar] [CrossRef] [PubMed]
- Jin, S.; Chen, P.-Y.; Qiu, Y.; Zhang, Z.; Hong, S.; Joo, Y.L.; Yang, R.; Archer, L.A. Zwitterionic Polymer Gradient Interphases for Reversible Zinc Electrochemistry in Aqueous Alkaline Electrolytes. J. Am. Chem. Soc. 2022, 144, 19344–19352. [Google Scholar] [CrossRef] [PubMed]
- Pimenta, A.F.R.; Vieira, A.P.; Colaço, R.; Saramago, B.; Gil, M.H.; Coimbra, P.; Alves, P.; Bozukova, D.; Correia, T.R.; Correia, I.J.; et al. Controlled release of moxifloxacin from intraocular lenses modified by Ar plasma-assisted grafting with AMPS or SBMA: An in vitro study. Colloids Surf. B Biointerfaces 2017, 156, 95–103. [Google Scholar] [CrossRef]
- Han, L.; Tan, Y.Z.; Xu, C.; Xiao, T.; Trinh, T.A.; Chew, J.W. Zwitterionic grafting of sulfobetaine methacrylate (SBMA) on hydrophobic PVDF membranes for enhanced anti-fouling and anti-wetting in the membrane distillation of oil emulsions. J. Memb. Sci. 2019, 588, 117196. [Google Scholar] [CrossRef]
- Yang, Y.F.; Li, Y.; Li, Q.L.; Wan, L.S.; Xu, Z.K. Surface hydrophilization of microporous polypropylene membrane by grafting zwitterionic polymer for anti-biofouling. J. Memb. Sci. 2010, 362, 255–264. [Google Scholar] [CrossRef]
- Yang, B.; Wang, C.; Zhang, Y.; Ye, L.; Qian, Y.; Shu, Y.; Wang, J.; Li, J.; Yao, F. A thermoresponsive poly(N-vinylcaprolactam-co-sulfobetaine methacrylate) zwitterionic hydrogel exhibiting switchable anti-biofouling and cytocompatibility. Polym. Chem. 2015, 6, 3431–3442. [Google Scholar] [CrossRef]
- Gui, Z.; Qian, J.; An, Q.; Xu, H.; Zhao, Q. Synthesis, characterization and flocculation performance of zwitterionic copolymer of acrylamide and 4-vinylpyridine propylsulfobetaine. Eur. Polym. J. 2009, 45, 1403–1411. [Google Scholar] [CrossRef]










| Samples |
|---|
| -◄- PVC-g-4VP4%/4VPPS32% |
| -▲- PVC-g-4VP10%/4VPPS13% -●- PVC-g-4VP16%/4VPPS22% PVC-g-4VP13%/4VPPS32% |
| Sample | 10% Weight Loss (°C) | Decomposition Temperatures (°C) |
|---|---|---|
| PVC | 236 | 243 287 457 |
| PVC-g-4VP | 240 | 261 301 470 |
| PVC-g-4VP/4VPPS | 256 | 272 333 364 453 |
| Parameter | PVC-g-4VP4%/4VPPS32% | PVC-g-4VP10%/4VPPS13% | PVC-g-4VP16%/4VPPS22% |
|---|---|---|---|
| k1 | 13.22 | 14.48 | 13.63 |
| k2 | 0.523 | −0.678 | −0.657 |
| m | 0.573 | 0.377 | 0.601 |
Disclaimer/Publisher’s Note: The statements, opinions and data contained in all publications are solely those of the individual author(s) and contributor(s) and not of MDPI and/or the editor(s). MDPI and/or the editor(s) disclaim responsibility for any injury to people or property resulting from any ideas, methods, instructions or products referred to in the content. |
© 2023 by the authors. Licensee MDPI, Basel, Switzerland. This article is an open access article distributed under the terms and conditions of the Creative Commons Attribution (CC BY) license (https://creativecommons.org/licenses/by/4.0/).
Share and Cite
Duarte-Peña, L.; Magaña, H.; Bucio, E. Catheters with Dual-Antimicrobial Properties by Gamma Radiation-Induced Grafting. Pharmaceutics 2023, 15, 960. https://doi.org/10.3390/pharmaceutics15030960
Duarte-Peña L, Magaña H, Bucio E. Catheters with Dual-Antimicrobial Properties by Gamma Radiation-Induced Grafting. Pharmaceutics. 2023; 15(3):960. https://doi.org/10.3390/pharmaceutics15030960
Chicago/Turabian StyleDuarte-Peña, Lorena, Héctor Magaña, and Emilio Bucio. 2023. "Catheters with Dual-Antimicrobial Properties by Gamma Radiation-Induced Grafting" Pharmaceutics 15, no. 3: 960. https://doi.org/10.3390/pharmaceutics15030960
APA StyleDuarte-Peña, L., Magaña, H., & Bucio, E. (2023). Catheters with Dual-Antimicrobial Properties by Gamma Radiation-Induced Grafting. Pharmaceutics, 15(3), 960. https://doi.org/10.3390/pharmaceutics15030960

