The Development of Super-Saturated Rebamipide Eye Drops for Enhanced Solubility, Stability, Patient Compliance, and Bioavailability
Abstract
1. Introduction
2. Materials and Methods
2.1. Materials
2.2. REB Solubility on pH According to NaOH Concentration
2.3. HPLC Condition
2.4. REB Precipitation pH in Hydrophilic Polymer Solution
2.5. Hydrophilic Polymer on the Suppression of REB Precipitation
2.6. Buffering Agents on the Suppression of REB Precipitation
2.7. Osmotic Agent and Osmolarity on the Suppression of REB Precipitation
2.8. Na Analysis from Representative Precipitation Formulation Using LIBS (Laser-Induced Breakdown Spectrometer)
2.9. Long-Term Stability of Optimized Formulation
2.10. Eye Distribution in Rats
3. Results and Discussion
3.1. REB Solubility on pH According to NaOH Concentration
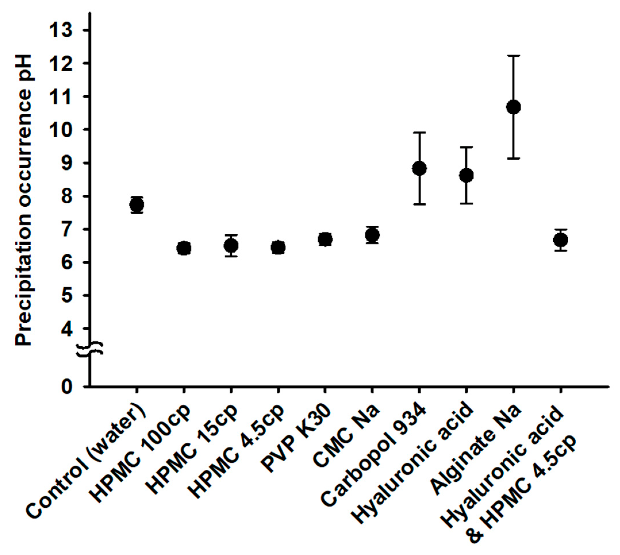
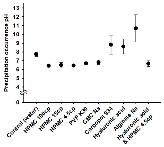
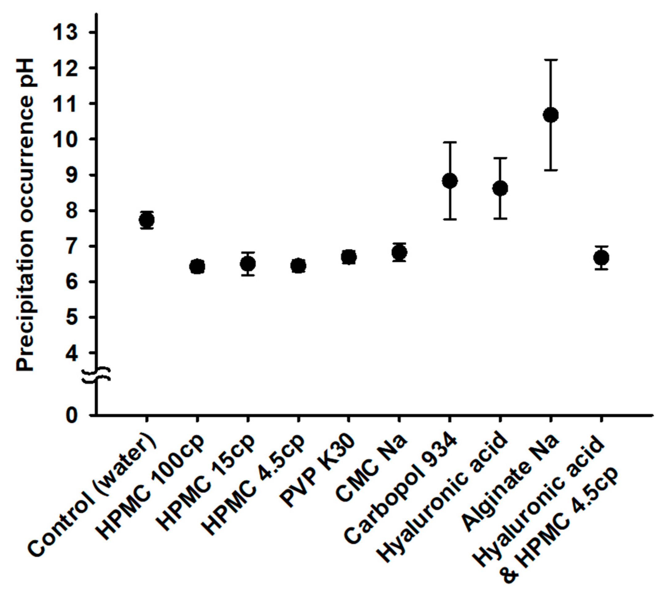
3.2. REB Precipitation pH in Hydrophilic Polymer Solution
3.3. Hydrophilic Polymer on the Suppression of REB Precipitation
3.4. Buffering Agents on the Suppression of REB Precipitation
3.5. Osmotic Agent and Osmolarity on the Suppression of REB Precipitation
3.6. Na Analysis from the Representative Precipitation Formulation Using LIBS
3.7. Long-Term Stability of Optimized Formulation
3.8. Eye Distribution in Rats
4. Conclusions
Author Contributions
Funding
Conflicts of Interest
References
- Takeji, Y.; Urashima, H.; Aoki, A.; Shinohara, H. Rebamipide Increases the Mucin-Like Glycoprotein Production in Corneal Epithelial Cells. J. Ocul. Pharmacol. Ther. 2012, 28, 259–263. [Google Scholar] [CrossRef] [PubMed]
- Rios, J.D.; Shatos, M.A.; Urashima, H.; Dartt, D.A. Effect of OPC-12759 on EGF receptor activation, p44/p42 MAPK activity, and secretion in conjunctival goblet cells. Exp. Eye Res. 2008, 86, 629–636. [Google Scholar] [CrossRef]
- Tanito, M.; Takanashi, T.; Kaidzu, S.; Yoshida, Y.; Ohira, A. Cytoprotective Effects of Rebamipide and Carteolol Hydrochloride against Ultraviolet B-Induced Corneal Damage in Mice. Investig. Ophthalmol. Vis. Sci. 2003, 44, 2980–2985. [Google Scholar] [CrossRef] [PubMed]
- Urashima, H.; Okamato, T.; Takeji, Y.; Shinohara, H.; Fujisawa, S. Rebamipide Increases the Amount of Mucin-like Substances on the Conjunctiva and Cornea in the N-Acetylcysteine-Treated In Vivo Model. Cornea 2004, 23, 613–619. [Google Scholar] [CrossRef]
- Nagai, N.; Ishii, M.; Seiriki, R.; Ogata, F.; Otake, H.; Nakazawa, Y.; Okamoto, N.; Kanai, K.; Kawasaki, N. Novel Sustained-Release Drug Delivery System for Dry Eye Therapy by Rebamipide Nanoparticles. Pharmaceutics 2020, 12, 155. [Google Scholar] [CrossRef]
- Markovic, A.; Zur, M.; Dahan, A.; Cvijić, S. Biopharmaceutical characterization of rebamipide: The role of mucus binding in regional-dependent intestinal permeability. Eur. J. Pharm. Sci. 2020, 152, 105440. [Google Scholar] [CrossRef] [PubMed]
- Agrahari, V.; Singh, O.N. Ocular Suspension and Nanosuspension Products: Formulation Development Considerations. In AAPS Advances in the Pharmaceutical Sciences Series; Springer: Berlin, Germany, 2021; pp. 317–347. ISBN 9783030763671. [Google Scholar]
- Kim, Y.C.; Shin, M.D.; Hackett, S.F.; Hsueh, H.T.; Silva, R.L.E.; Date, A.; Han, H.; Kim, B.-J.; Xiao, A.; Kim, Y.; et al. Gelling hypotonic polymer solution for extended topical drug delivery to the eye. Nat. Biomed. Eng. 2020, 4, 1053–1062. [Google Scholar] [CrossRef]
- Sandle, T. Sterile Ophthalmic Preparations and Contamination Control. J. GXP Compliance 2014, 18, 1–5. [Google Scholar]
- Qiao, H.; Xu, Z.; Sun, M.; Fu, S.; Zhao, F.; Wang, D.; He, Z.; Zhai, Y.; Sun, J. Rebamipide liposome as an effective ocular delivery system for the management of dry eye disease. J. Drug Deliv. Sci. Technol. 2022, 75, 103654. [Google Scholar] [CrossRef]
- Nagai, N.; Ito, Y.; Okamoto, N.; Shimomura, Y. Size effect of rebamipide ophthalmic nanodispersions on its therapeutic efficacy for corneal wound healing. Exp. Eye Res. 2016, 151, 47–53. [Google Scholar] [CrossRef]
- Matsuda, T.; Hiraoka, S.; Urashima, H.; Ogura, A.; Ishida, T. Preparation of an Ultrafine Rebamipide Ophthalmic Suspension with High Transparency. Biol. Pharm. Bull. 2017, 40, 665–674. [Google Scholar] [CrossRef] [PubMed]
- Ngo, L.; Yoo, H.D.; Tran, P.; Cho, H.Y.; Lee, Y.B. Population pharmacokinetic analysis of rebamipide in healthy Korean subjects with the characterization of atypical complex absorption kinetics. J. Pharm. Pharm. 2017, 44, 291–303. [Google Scholar] [CrossRef] [PubMed]
- Guo, Y.; Wnag, Y.; Xu, L. Enhanced bioavailability of rebamipide nanocrystal tablets: Formulation and in vitro/in vivo evaluation. Asian J. Pharm. Sci. 2015, 10, 223–229. [Google Scholar] [CrossRef]
- Bonta, M.; Török, S.; Döme, B.; Limbeck, A. Tandem LA-LIBS coupled to ICP-MS for comprehensive analysis of tumor samples. Spectroscopy 2017, 32, 42–46. [Google Scholar]
- Bioanalytical Method Validation Guidance for Industry. Available online: https://www.fda.gov/regulatory-information/search-fda-guidance-documents/bioanalytical-method-validation-guidance-industry (accessed on 10 February 2022).
- Nguyen, T.T.L.; Kim, J.W.; Choi, H.I.; Maeng, H.J.; Koo, T.S. Development of an LC-MS/MS Method for ARV-110, a PROTAC Molecule, and Applications to Pharmacokinetic Studies. Molecules 2022, 27, 1977. [Google Scholar] [CrossRef] [PubMed]
- Okawa, S.; Sumimoto, Y.; Masuda, K.; Ogawara, K.; Maruyama, M.; Higaki, K. Improvement of lipid solubility and oral bioavailability of a poorly water- and poorly lipid-soluble drug, rebamipide, by utilizing its counter ion and SNEDDS preparation. Eur. J. Pharmaceut. Sci. 2021, 159, 105721. [Google Scholar] [CrossRef]
- Waszczykowska, A.; Żyro, D.; Ochocki, J.; Jurowski, P. Clinical Application and Efficacy of Silver Drug in Ophthalmology: A Literature Review and New Formulation of EYE Drops with Drug Silver (I) Complex of Metronidazole with Improved Dosage Form. Biomedicines 2021, 9, 210. [Google Scholar] [CrossRef]
- Lainer, O.L.; Manfre, M.G.; BAILEY, C.; Liu, Z.; Sparks, Z.; Kulkarni, S.; Chauhan, A. Review of Approaches for Increasing Ophthalmic Bioavailability for Eye Drop Formulations. AAPS Pharmscitech 2021, 22, 107. [Google Scholar] [CrossRef]
- Curatolo, W.; Nightingale, J.A.; Herbig, S.M. Utility of hydroxypropylmethylcellulose acetate succinate (HPMCAS) for initiation and maintenance of drug supersaturation in the GI milieu. Pharm. Res. 2009, 26, 1419–1431. [Google Scholar] [CrossRef]
- Gao, P.; Shi, Y. Characterization of supersaturatable formulations for improved absorption of poorly soluble drugs. AAPS J. 2012, 14, 703–713. [Google Scholar] [CrossRef]
- Miyake, M.; Oka, Y.; Minami, T.; Toguchi, H.; Odomi, M.; Ogawara, K.I.; Higaki, K.; Kimura, T. Combinatorial use of sodium laurate with taurine or l-glutamine enhances colonic absorption of rebamipide, poorly absorbable antiulcer drug, without any serious histopathological mucosal damages. J. Pharm. Sci. 2003, 92, 911–921. [Google Scholar] [CrossRef]
- Warrem, D.B.; Benameur, H.; Porter, C.J.H.; Pouton, C.W. Using polymeric precipitation inhibitors to improve the absorption of poorly water-soluble drugs: A mechanistic basis for utility. J. Drug Target. 2010, 18, 704–731. [Google Scholar] [CrossRef] [PubMed]
- Mckinnon, B.T.; Avis, K.E. Membrane Filtration of Pharmaceutical Solutions. Am. J. Hosp. Pharm. 1993, 50, 1921–1936. [Google Scholar] [CrossRef] [PubMed]
- Newton, D.W. Drug incompatibility chemistry. Am. J. Health Syst. Pharm. 2009, 66, 348–357. [Google Scholar] [CrossRef]
- Tong, L.; Petznick, A.; Lee, S.; Tan, J. Choice of artificial tear formulation for patients with dry eye: Where do we start? Cornea. 2012, 31, S32–S36. [Google Scholar] [CrossRef]
- Wang, Z.; Afgan, M.S.; Gu, W.; Song, Y.; Wang, Y.; Hou, Z.; Song, W.; Li, Z. Recent advances in laser-induced breakdown spectroscopy quantification: From fundamental understanding to data processing. Trends Anal. Chem. 2021, 143, 116385. [Google Scholar] [CrossRef]
- Patel, A.; Cholkar, K.; Agrahari, V.; Mitra, A.K. Ocular drug delivery systems: An overview. World J. Pharmacol. 2013, 2, 47–64. [Google Scholar] [CrossRef] [PubMed]
- Achouri, D.; Alhanout, K.; Piccerelle, P.; Andrieu, V. Recent advances in ocular drug delivery. Drug Dev. Ind. Pharm. 2013, 39, 1599–1617. [Google Scholar] [CrossRef]
- Ludwig, A. The use of mucoadhesive polymers in ocular drug delivery. Adv. Drug Deliv. Rev. 2005, 57, 1595–1639. [Google Scholar] [CrossRef]
- Jünemann, A.G.M.; Chorągiewicz, T.; Ozimek, M.; Grieb, P.; Rejdak, R. Drug bioavailability from topically applied ocular drops. Does drop size matter? J. Ophthalmol. 2016, 1, 29–35. [Google Scholar] [CrossRef]









| Formulation | F1 | F2 | F3 | F4 | F5 |
|---|---|---|---|---|---|
| REB (g) | 1.5 | 1.5 | 1.5 | 1.5 | 1.5 |
| 1 N NaOH (mL) | 5.0 | 5.0 | 5.0 | 5.0 | 5.0 |
| HPMC 100cp (g) | 0.5 | ||||
| HPMC 15cp (g) | 0.5 | ||||
| HPMC 4.5cp (g) | 0.5 | ||||
| PVP K30 (g) | 0.5 | ||||
| CMC Na (g) | 0.5 | ||||
| 1 N HCl (mL) | Adjustment to pH 7.4 | ||||
| Water (mL) | Adjustment to 100 mL | ||||
| Formulation | F6 | F7 | F8 | F9 | F10 |
|---|---|---|---|---|---|
| REB (g) | 1.5 | 1.5 | 1.5 | 1.5 | 1.5 |
| HPMC 4.5cp (g) | 0.5 | 0.5 | 0.5 | 0.5 | 0.5 |
| 1 N NaOH (mL) | 4.2 | 4.2 | 4.2 | 4.2 | 4.2 |
| H3BO3 (g) | 0.31 | 0.09 | |||
| Na2B4O7 • 10H2O (g) | 0.12 | ||||
| Na2HPO4 (g) | 0.37 | ||||
| Aminocaproic acid (g) | 0.3 | ||||
| L-lysine (g) | 0.4 | ||||
| Glycerine (g) | 1.51 | 1.89 | 1.49 | 1.7 | 1.56 |
| 1 N HCl (mL) | Adjustment to pH 7.2~7.6 | ||||
| Water (mL) | Adjustment to 100 mL | ||||
| Formulation | F11 | F12 | F13 | F14 | F15 | F16 |
|---|---|---|---|---|---|---|
| RBP (g) | 1.50 | 1.50 | 1.50 | 1.50 | 1.50 | 2.00 |
| HPMC 4.5cp (g) | 0.50 | 0.50 | 0.50 | 0.50 | 0.50 | 0.60 |
| 1 N NaOH (mL) | 4.20 | 4.20 | 4.20 | 4.20 | 4.20 | 5.50 |
| Aminocaproic acid (g) | 0.30 | 0.30 | 0.30 | 0.30 | 0.30 | 0.30 |
| Dextrose (g) | 3.25 | |||||
| NaCl (g) | 0.23 | |||||
| D-sorbitol (g) | 3.55 | 2.45 | 1.64 | 3.00 | ||
| 1 N HCl (mL) | Adjustment to pH 7.2~7.6 | |||||
| Water (mL) | Adjustment to 100 mL | |||||
| Storage | Quality Attribute | Time Point | F14 | F15 |
|---|---|---|---|---|
| 25 °C | Appearance | Initial | Clear solution | Clear solution |
| 24 weeks | Clear solution | Clear solution | ||
| pH | Initial | 7.62 ± 0.01 | 7.49 ± 0.01 | |
| 24 weeks | 7.45 ± 0.01 | 7.41 ± 0.01 | ||
| Content (%) | Initial | 98.19 ± 0.45 | 97.68 ± 0.71 | |
| 24 weeks | 97.82 ± 1.12 | 97.68 ± 2.11 | ||
| 40 °C | Appearance | Initial | Clear solution | Clear solution |
| 24 weeks | Clear solution | Clear solution | ||
| pH | Initial | 7.62 ± 0.01 | 7.49 ± 0.01 | |
| 24 weeks | 7.43 ± 0.02 | 7.42 ± 0.01 | ||
| Content (%) | Initial | 98.19 ± 0.45 | 97.68 ± 0.71 | |
| 24 weeks | 98.22 ± 1.31 | 98.22 ± 1.76 |
| PK Parameters | (a) | |||
| Aqueous Humor | Cornea | Vitreous Humor | Retina | |
| Tmax (h) | 0.875 ± 0.250 | 1.750 ± 1.443 | 0.375 ± 0.144 | 0.313 ± 0.125 |
| Cmax (ng/g) | 27,055 ± 9644 | 39,556 ± 6347 | 5728 ± 2621 | 20,952 ± 11,447 |
| AUClast (ng·h/g) | 87,844 ± 13,093 | 154,892 ± 20,308 | 7064 ± 2183 | 9994 ± 1961 |
| PK Parameters | (b) | |||
| Aqueous Humor | Cornea | Vitreous Humor | Retina | |
| Tmax (h) | 0.250 ± 0.000 | 0.250 ± 0.000 | 0.250 ± 0.000 | 0.250 ± 0.00 |
| Cmax (ng/g) | 54,336 ± 16,561 | 47,598 ± 8244 | 13,082 ± 4674 | 25,973 ± 5656 |
| AUClast (ng·h/g) | 33,737 ± 4371 | 45,731 ± 11,963 | 7145 ± 1546 | 15,364 ± 1651 |
Disclaimer/Publisher’s Note: The statements, opinions and data contained in all publications are solely those of the individual author(s) and contributor(s) and not of MDPI and/or the editor(s). MDPI and/or the editor(s) disclaim responsibility for any injury to people or property resulting from any ideas, methods, instructions or products referred to in the content. |
© 2023 by the authors. Licensee MDPI, Basel, Switzerland. This article is an open access article distributed under the terms and conditions of the Creative Commons Attribution (CC BY) license (https://creativecommons.org/licenses/by/4.0/).
Share and Cite
Jang, D.-J.; Lee, J.H.; Kim, D.H.; Kim, J.-W.; Koo, T.-S.; Cho, K.H. The Development of Super-Saturated Rebamipide Eye Drops for Enhanced Solubility, Stability, Patient Compliance, and Bioavailability. Pharmaceutics 2023, 15, 950. https://doi.org/10.3390/pharmaceutics15030950
Jang D-J, Lee JH, Kim DH, Kim J-W, Koo T-S, Cho KH. The Development of Super-Saturated Rebamipide Eye Drops for Enhanced Solubility, Stability, Patient Compliance, and Bioavailability. Pharmaceutics. 2023; 15(3):950. https://doi.org/10.3390/pharmaceutics15030950
Chicago/Turabian StyleJang, Dong-Jin, Jun Hak Lee, Da Hun Kim, Jin-Woo Kim, Tae-Sung Koo, and Kwan Hyung Cho. 2023. "The Development of Super-Saturated Rebamipide Eye Drops for Enhanced Solubility, Stability, Patient Compliance, and Bioavailability" Pharmaceutics 15, no. 3: 950. https://doi.org/10.3390/pharmaceutics15030950
APA StyleJang, D.-J., Lee, J. H., Kim, D. H., Kim, J.-W., Koo, T.-S., & Cho, K. H. (2023). The Development of Super-Saturated Rebamipide Eye Drops for Enhanced Solubility, Stability, Patient Compliance, and Bioavailability. Pharmaceutics, 15(3), 950. https://doi.org/10.3390/pharmaceutics15030950

