Terbinafine Nanohybrid: Proposing a Hydrogel Carrying Nanoparticles for Topical Release
Abstract
1. Introduction
2. Materials and Methods
2.1. Materials
2.2. PCL-Terbinafine Nanoparticle Formulation
2.3. Nanoparticle Characterization
2.3.1. Nanoparticle Size Distribution and Zeta Potential
2.3.2. Transmission Electron Microscopy (TEM)
2.3.3. Terbinafine Encapsulation Efficiency (EE)
2.3.4. Fourier Transform Infrared (FTIR)
2.3.5. Terbinafine Release from Nanoparticle Formulation
2.3.6. Nanoparticle Cytotoxicity
2.4. P407-Casein Hydrogel Formulation
2.4.1. Rheological Analysis
2.4.2. Thixotropy Analysis
2.4.3. Texture Analysis
2.4.4. Particle Release from P407-Casein Hydrogel
2.5. Statistical Analysis
3. Results and Discussion
3.1. Nanoparticle Characterization
3.2. Drug Encapsulation Efficiency
3.3. Fourier Transform Infrared (FTIR)
3.4. Terbinafine Release from Nanoparticle Formulation
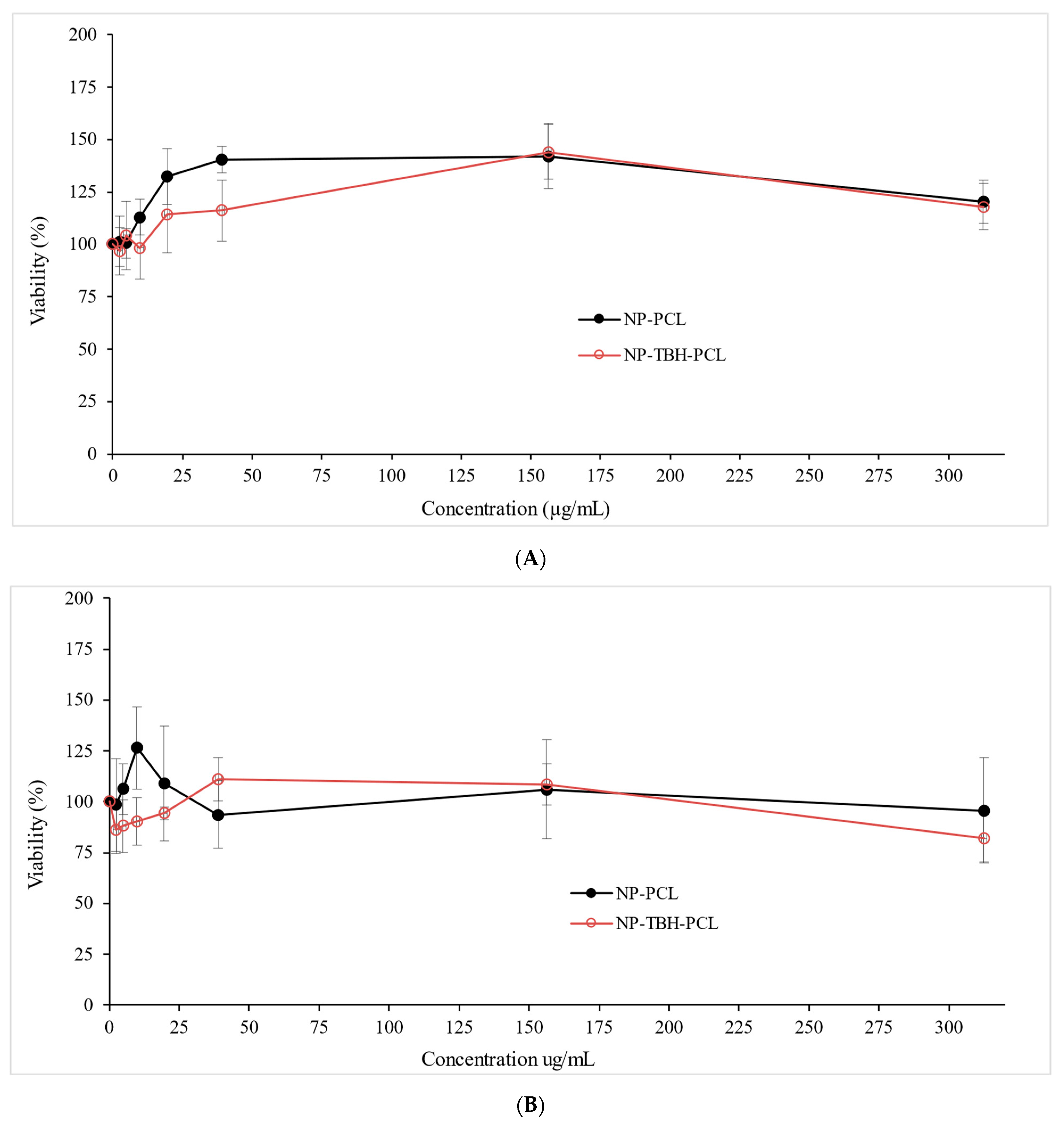
3.5. Citotoxicity
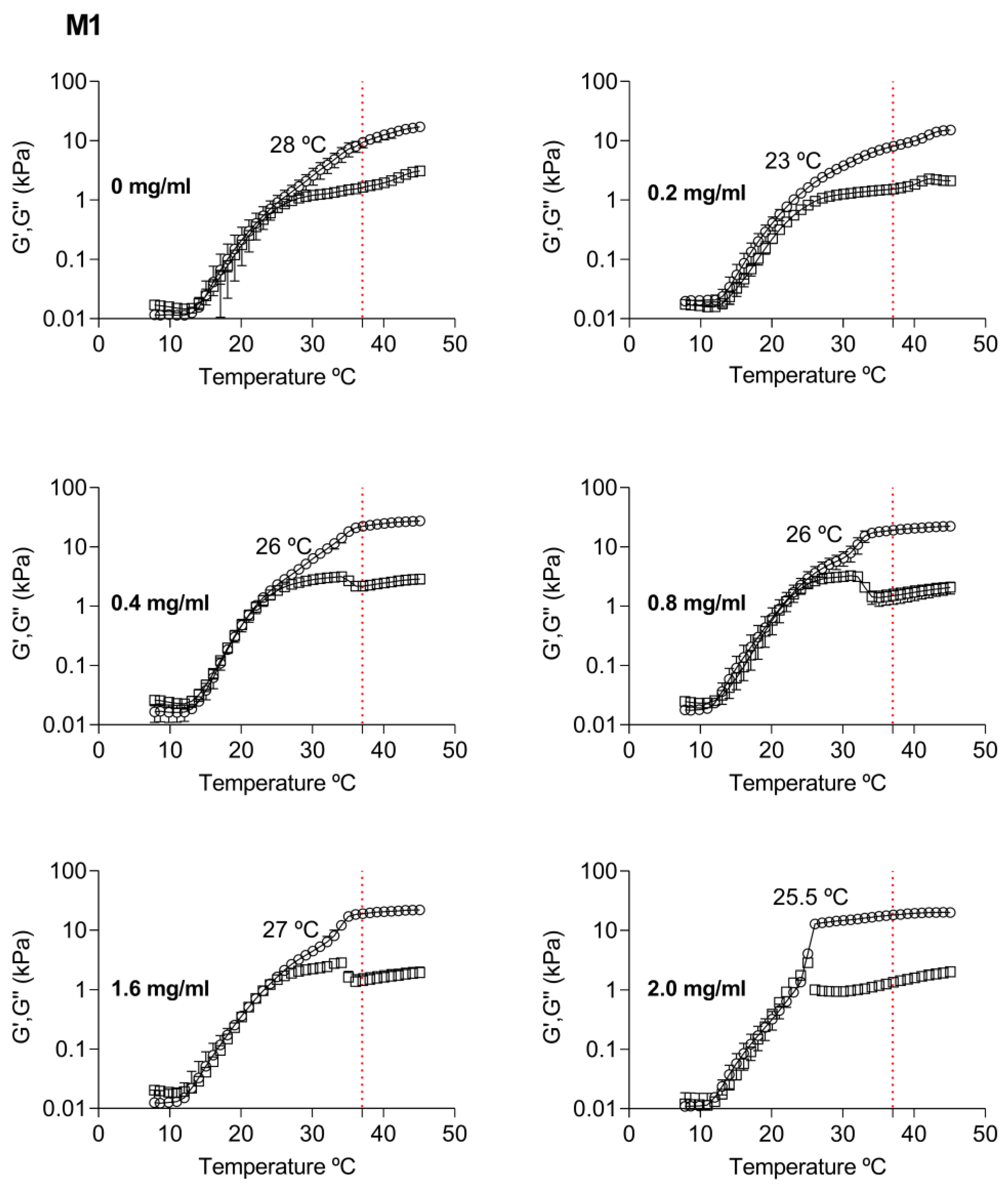
3.6. Nanohybrid Hydrogel Rheology
3.7. Nanohybrid Hydrogel Tixotropy
3.8. Nanohybrid Hydrogel Spreadability
3.9. Particle Release from Nanohybrid Hydrogel
4. Conclusions
Author Contributions
Funding
Institutional Review Board Statement
Informed Consent Statement
Data Availability Statement
Conflicts of Interest
References
- Dias, M.F.R.G.; Quaresma-Santos, M.V.P.; Bernardes-Filho, F.; Amorim, A.G.d.F.; Schechtman, R.C.; Azulay, D.R. Treatment of superficial mycoses: Review-part II. An. Bras. Dermatol. 2013, 88, 937–944. [Google Scholar] [CrossRef] [PubMed]
- Yang, R.; Wei, T.; Goldberg, H.; Wang, W.; Cullion, K.; Kohane, D.S. Getting Drugs Across Biological Barriers. Adv. Mater. 2017, 29, 1606596. [Google Scholar] [CrossRef] [PubMed]
- Havlickova, B.; Friedrich, M. The advantages of topical combination therapy in the treatment of inflammatory dermatomycoses. Mycoses 2008, 51, 16–26. [Google Scholar] [CrossRef] [PubMed]
- Tundisi, L.L.; Yang, R.; Borelli, L.P.P.; Alves, T.; Mehta, M.; Chaud, M.V.; Mazzola, P.G.; Kohane, D.S. Enhancement of the Mechanical and Drug-Releasing Properties of Poloxamer 407 Hydrogels with Casein. Pharm. Res. 2021, 38, 515–522. [Google Scholar] [CrossRef] [PubMed]
- Dias, M.F.R.G.; Quaresma-Santos, M.V.P.; Bernardes-Filho, F.; Amorim, A.G.d.F.; Schechtman, R.C.; Azulay, D.R. Update on therapy for superficial mycoses: Review article part I. An. Bras. Dermatol. 2013, 88, 764–774. [Google Scholar] [CrossRef]
- Zhao, F.; Wu, D.; Yao, D.; Guo, R.; Wang, W.; Dong, A.; Kong, D.; Zhang, J. An injectable particle-hydrogel hybrid system for glucose-regulatory insulin delivery. Acta Biomater. 2017, 64, 334–345. [Google Scholar] [CrossRef]
- Wang, W.; Deng, L.; Xu, S.; Zhao, X.; Lv, N.; Zhang, G.; Gu, N.; Hu, R.; Zhang, J.; Liu, J.; et al. A reconstituted “two into one” thermosensitive hydrogel system assembled by drug-loaded amphiphilic copolymer nanoparticles for the local delivery of paclitaxel. J. Mater. Chem. B 2013, 1, 552–563. [Google Scholar] [CrossRef]
- Liu, X.; Feng, Z.; Wang, C.; Su, Q.; Song, H.; Zhang, C.; Huang, P.; Liang, X.-J.; Dong, A.; Kong, D.; et al. Co-localized delivery of nanomedicine and nanovaccine augments the postoperative cancer immunotherapy by amplifying T-cell responses. Biomaterials 2020, 230, 119649. [Google Scholar] [CrossRef]
- Croisfelt, F.M.; Tundisi, L.L.; Ataide, J.A.; Silveira, E.; Tambourgi, E.B.; Jozala, A.F.; Souto, E.M.B.; Mazzola, P.G. Modified-release topical hydrogels: Year review. J. Mater. Sci. 2019, 54, 10963–10983. [Google Scholar] [CrossRef]
- Liu, H.; Shi, X.; Wu, D.; Kahsay Khshen, F.; Deng, L.; Dong, A.; Wang, W.; Zhang, J. Injectable, Biodegradable, Thermosensitive Nanoparticles-Aggregated Hydrogel with Tumor-Specific Targeting, Penetration, and Release for Efficient Postsurgical Prevention of Tumor Recurrence. ACS Appl. Mater. Interfaces 2019, 11, 19700–19711. [Google Scholar] [CrossRef]
- Abdel-Mottaleb, M.M.A.; Neumann, D.; Lamprecht, A. Lipid nanocapsules for dermal application: A comparative study of lipid-based versus polymer-based nanocarriers. Eur. J. Pharm. Biopharm. 2011, 79, 36–42. [Google Scholar] [CrossRef] [PubMed]
- Rosado, C.; Silva, C.; Reis, C.P. Hydrocortisone-loaded poly(ε-caprolactone) nanoparticles for atopic dermatitis treatment. Pharm. Dev. Technol. 2013, 18, 710–718. [Google Scholar] [CrossRef] [PubMed]
- Ourique, A.F.; Melero, A.; Silva, C.d.B.d.; Schaefer, U.F.; Pohlmann, A.R.; Guterres, S.S.; Lehr, C.-M.; Kostka, K.-H.; Beck, R.C.R. Improved photostability and reduced skin permeation of tretinoin: Development of a semisolid nanomedicine. Eur. J. Pharm. Biopharm. 2011, 79, 95–101. [Google Scholar] [CrossRef] [PubMed]
- Alvarez-Román, R.; Naik, A.; Kalia, Y.N.; Guy, R.H.; Fessi, H. Skin penetration and distribution of polymeric nanoparticles. J. Control. Release 2004, 99, 53–62. [Google Scholar] [CrossRef] [PubMed]
- Cha, G.D.; Lee, W.H.; Lim, C.; Choi, M.K.; Kim, D.-H. Materials engineering, processing, and device application of hydrogel nanocomposites. Nanoscale 2020, 12, 10456–10473. [Google Scholar] [CrossRef]
- Bruschi, M.L. (Ed.) Mathematical models of drug release. In Strategies to Modify the Drug Release from Pharmaceutical Systems; Woodhead Publishing: Sawston, UK, 2015; pp. 63–86. [Google Scholar]
- Yang, R.; Sabharwal, V.; Okonkwo, O.S.; Shlykova, N.; Tong, R.; Lin, L.Y.; Wang, W.; Guo, S.; Rosowski, J.J.; Pelton, S.I.; et al. Treatment of otitis media by transtympanic delivery of antibiotics. Sci. Transl. Med. 2016, 8, 356ra120. [Google Scholar] [CrossRef]
- Wishart, D.S.; Feunang, Y.D.; Guo, A.C.; Lo, E.J.; Marcu, A.; Grant, J.R.; Sajed, T.; Johnson, D.; Li, C.; Sayeeda, Z.; et al. DrugBank 5.0: A major update to the DrugBank database for 2018. Nucleic Acids Res. 2018, 46, D1074–D1082. [Google Scholar] [CrossRef]
- Bhattacharjee, S. DLS and zeta potential–What they are and what they are not? J. Control. Release 2016, 235, 337–351. [Google Scholar] [CrossRef]
- Bhakay, A.; Rahman, M.; Dave, R.N.; Bilgili, E. Bioavailability Enhancement of Poorly Water-Soluble Drugs via Nanocomposites: Formulation–Processing Aspects and Challenges. Pharmaceutics 2018, 10, 86. [Google Scholar] [CrossRef]
- Cortés, H.; Hernández-Parra, H.; Bernal-Chávez, S.A.; Prado-Audelo, M.L.D.; Caballero-Florán, I.H.; Borbolla-Jiménez, F.V.; González-Torres, M.; Magaña, J.J.; Leyva-Gómez, G. Non-Ionic Surfactants for Stabilization of Polymeric Nanoparticles for Biomedical Uses. Materials 2021, 14, 3197. [Google Scholar] [CrossRef]
- Allotey-Babington, G.L.; Nettey, H.; D’Sa, S.; Braz Gomes, K.; D’Souza, M.J. Cancer chemotherapy: Effect of poloxamer modified nanoparticles on cellular function. J. Drug Deliv. Sci. Technol. 2018, 47, 181–192. [Google Scholar] [CrossRef]
- Saqib, M.; Ali Bhatti, A.S.; Ahmad, N.M.; Ahmed, N.; Shahnaz, G.; Lebaz, N.; Elaissari, A. Amphotericin B Loaded Polymeric Nanoparticles for Treatment of Leishmania Infections. Nanomaterials 2020, 10, 1152. [Google Scholar] [CrossRef]
- Bell, N.C.; Minelli, C.; Tompkins, J.; Stevens, M.M.; Shard, A.G. Emerging Techniques for Submicrometer Particle Sizing Applied to Stöber Silica. Langmuir 2012, 28, 10860–10872. [Google Scholar] [CrossRef]
- Deng, P.; Teng, F.; Zhou, F.; Song, Z.; Meng, N.; Liu, N.; Feng, R. Y-shaped methoxy poly (ethylene glycol)-block-poly (epsilon-caprolactone)-based micelles for skin delivery of ketoconazole: In vitro study and in vivo evaluation. Mater. Sci. Eng. C 2017, 78, 296–304. [Google Scholar] [CrossRef]
- Elzein, T.; Nasser-Eddine, M.; Delaite, C.; Bistac, S.; Dumas, P. FTIR study of polycaprolactone chain organization at interfaces. J. Colloid Interface Sci. 2004, 273, 381–387. [Google Scholar] [CrossRef]
- Mudunkotuwa, I.A.; Minshid, A.A.; Grassian, V.H. ATR-FTIR spectroscopy as a tool to probe surface adsorption on nanoparticles at the liquid–solid interface in environmentally and biologically relevant media. Analyst 2014, 139, 870–881. [Google Scholar] [CrossRef]
- Beraldo-de-Araújo, V.L.; Beraldo-de-Araújo, A.; Costa, J.S.R.; Pelegrine, A.C.M.; Ribeiro, L.N.M.; Paula, E.d.; Oliveira-Nascimento, L. Excipient-excipient interactions in the development of nanocarriers: An innovative statistical approach for formulation decisions. Sci. Rep. 2019, 9, 10738. [Google Scholar] [CrossRef]
- Siepmann, J.; Peppas, N.A. Higuchi equation: Derivation, applications, use and misuse. Int. J. Pharm. 2011, 418, 6–12. [Google Scholar] [CrossRef]
- Giarola, L.R.; Coco, J.C.; Sousa, I.M.d.O.; Cefali, L.C.; Ataide, J.A.; Tavares, G.D.; Rodrigues, R.A.F.; Foglio, M.A.; Mazzola, P.G. Pterodon pubescens Benth (sucupira) microencapsulation influence on formulation stability outcome compared to non-encapsulated extract. J. Drug Deliv. Sci. Technol. 2021, 67, 102875. [Google Scholar] [CrossRef]
- Siepmann, J.; Peppas, N.A. Modeling of drug release from delivery systems based on hydroxypropyl methylcellulose (HPMC). Adv. Drug Deliv. Rev. 2001, 48, 139–157. [Google Scholar] [CrossRef]
- Hailemeskel, B.Z.; Hsu, W.-H.; Addisu, K.D.; Andrgie, A.T.; Chou, H.-Y.; Lai, J.-Y.; Tsai, H.-C. Diselenide linkage containing triblock copolymer nanoparticles based on Bi(methoxyl poly(ethylene glycol))-poly(ε-carprolactone): Selective intracellular drug delivery in cancer cells. Mater. Sci. Eng. C 2019, 103, 109803. [Google Scholar] [CrossRef] [PubMed]
- Maatouk, B.; Jaffa, M.A.; Karam, M.; Fahs, D.; Nour-Eldine, W.; Hasan, A.; Jaffa, A.A.; Mhanna, R. Sulfated alginate/polycaprolactone double-emulsion nanoparticles for enhanced delivery of heparin-binding growth factors in wound healing applications. Colloids Surf. B Biointerfaces 2021, 208, 112105. [Google Scholar] [CrossRef] [PubMed]
- Lim, M.M.; Sun, T.; Sultana, N.J.J.o.N. In vitro biological evaluation of electrospun polycaprolactone/gelatine nanofibrous scaffold for tissue engineering. J. Nanomater. 2015, 2015, 416. [Google Scholar] [CrossRef]
- Wang, W.-Y.; Hui, P.C.L.; Wat, E.; Ng, F.S.F.; Kan, C.-W.; Lau, C.B.S.; Leung, P.-C. Enhanced Transdermal Permeability via Constructing the Porous Structure of Poloxamer-Based Hydrogel. Polymers 2016, 8, 406. [Google Scholar] [CrossRef]
- Sharma, S.; Shankar, V.; Joshi, Y.M. Viscoelasticity and rheological hysteresis. J. Rheol. 2023, 67, 139–155. [Google Scholar] [CrossRef]
- Russo, E.; Villa, C. Poloxamer Hydrogels for Biomedical Applications. Pharmaceutics 2019, 11, 671. [Google Scholar] [CrossRef]
- Ahmad Wsoo, M.; Izwan Abd Razak, S.; Shahir, S.; Ahmed Abdullah Al-Moalemi, H.; Rafiq Abdul Kadir, M.; Hasraf Mat Nayan, N. Development of prolonged drug delivery system using electrospun cellulose acetate/polycaprolactone nanofibers: Future subcutaneous implantation. Polym. Adv. Technol. 2021, 32, 3664–3678. [Google Scholar] [CrossRef]









| Settings and Parameters | Spreadability |
|---|---|
| Test Mode | Compression |
| Pre-Test Speed | 1.00 mm/s |
| Test Speed | 3.00 mm/s |
| Post-Test Speed | 10.00 mm/s |
| Target Mode | Distance |
| Force | 100.0 g |
| Distance | 23.000 mm |
| Strain | 10.0 % |
| Trigger Type | Button |
| Trigger Force | 5.0 g |
| Probe | HDP/SR; spreadability rig |
| Temperature | 37 °C |
| NP-PCL | NP-TBH-PCL | ||
|---|---|---|---|
| Size (nm) | Mean * | 186.4 ± 0.4 | 196.7 ± 0.7 |
| D(10) | 127.7 ± 8.1 | 139.0 ± 2.1 | |
| D(50) * | 195.7 ± 3.1 | 205.0 ± 2.1 | |
| D(90) | 306.3 ± 29.5 | 305.0 ± 11.7 | |
| PDI * | 0.093 ± 0.003 | 0.069 ± 0.010 | |
| Zeta potential (mV) * | −11.9 ± 0.7 | −0.7 ± 0.1 | |
| Free-TBH | NP-TBH-PCL | |||
|---|---|---|---|---|
| Kp | R2 | Kp | R2 | |
| Zero Order | 0.0114 ± 0.0004 | 0.7983 | 0.0091 ± 0.0001 | 0.9557 |
| First Order | 0.0265 ± 0.0007 | 0.9722 | 0.0149 ± 0.0002 | 0.9878 |
| Higuchi model | 0.0948 ± 0.0015 | 0.9459 | 0.0736 ± 0.0012 | 0.9518 |
| Korsmeyer-Peppas model | 0.0804 ± 0.0082 | 0.9483 | 0.0307 ± 0.0019 | 0.9903 |
| Formulation | Firmness (g) | Work of Shear (g.s) | |
|---|---|---|---|
| Method | NP Concentration (mg/mL) | ||
| Blank | - | 295.13 ± 54.76 a | 212.74 ± 55.54 a |
| M1 | 0.2 | 255.35 ± 30.42 a,d,e,f,g | 255.35 ± 30.42 a,d,e,f,g |
| 0.4 | 262.21 ± 42.72 a | 262.21 ± 42.72 a | |
| 0.8 | 223.79 ± 53.75 a,e,f,g | 223.79 ± 53.75 a,e,f,g | |
| 1.6 | 219.42 ± 52.90 a | 219.42 ± 52.90 a | |
| 2.0 | 354.03 ± 23.41 a,b | 354.03 ± 23.41 a,b | |
| M2 | 0.2 | 395.50 ± 27.00 b | 395.50 ± 27.00 b |
| 0.4 | 499.48 ± 45.54 b | 499.48 ± 45.54 b | |
| 0.8 | 322.43 ± 22.77 a,b,c,d | 322.43 ± 22.77 a,b,c,d | |
| 1.6 | 453.18 ± 58.92 b | 453.18 ± 58.92 b | |
| 2.0 | 365.03 ± 26.11 a,b,c | 365.03 ± 26.11 a,b,c | |
Disclaimer/Publisher’s Note: The statements, opinions and data contained in all publications are solely those of the individual author(s) and contributor(s) and not of MDPI and/or the editor(s). MDPI and/or the editor(s) disclaim responsibility for any injury to people or property resulting from any ideas, methods, instructions or products referred to in the content. |
© 2023 by the authors. Licensee MDPI, Basel, Switzerland. This article is an open access article distributed under the terms and conditions of the Creative Commons Attribution (CC BY) license (https://creativecommons.org/licenses/by/4.0/).
Share and Cite
Tundisi, L.L.; Ataide, J.A.; da Fonseca, J.H.L.; Silvério, L.A.L.; Lancellotti, M.; Paiva-Santos, A.C.; d’Ávila, M.A.; Kohane, D.S.; Mazzola, P.G. Terbinafine Nanohybrid: Proposing a Hydrogel Carrying Nanoparticles for Topical Release. Pharmaceutics 2023, 15, 841. https://doi.org/10.3390/pharmaceutics15030841
Tundisi LL, Ataide JA, da Fonseca JHL, Silvério LAL, Lancellotti M, Paiva-Santos AC, d’Ávila MA, Kohane DS, Mazzola PG. Terbinafine Nanohybrid: Proposing a Hydrogel Carrying Nanoparticles for Topical Release. Pharmaceutics. 2023; 15(3):841. https://doi.org/10.3390/pharmaceutics15030841
Chicago/Turabian StyleTundisi, Louise Lacalendola, Janaína Artem Ataide, Jéssica Heline Lopes da Fonseca, Luiza Aparecida Luna Silvério, Marcelo Lancellotti, Ana Cláudia Paiva-Santos, Marcos Akira d’Ávila, Daniel S. Kohane, and Priscila Gava Mazzola. 2023. "Terbinafine Nanohybrid: Proposing a Hydrogel Carrying Nanoparticles for Topical Release" Pharmaceutics 15, no. 3: 841. https://doi.org/10.3390/pharmaceutics15030841
APA StyleTundisi, L. L., Ataide, J. A., da Fonseca, J. H. L., Silvério, L. A. L., Lancellotti, M., Paiva-Santos, A. C., d’Ávila, M. A., Kohane, D. S., & Mazzola, P. G. (2023). Terbinafine Nanohybrid: Proposing a Hydrogel Carrying Nanoparticles for Topical Release. Pharmaceutics, 15(3), 841. https://doi.org/10.3390/pharmaceutics15030841

