Hydrophilic High Drug-Loaded 3D Printed Gastroretentive System with Robust Release Kinetics
Abstract
1. Introduction
2. Materials and Methods
2.1. Materials
2.2. Methods
2.2.1. Tablet Design and 3D Printing
2.2.2. Characterization of 3DP Tablets
- Thermal analysis
- X-ray powder diffraction
- Physical tests of printed systems
- Evaluation of surface and inner 3DP tablets
2.2.3. Pharmaceutical Characterization
- Buoyancy study and in vitro drug release
- Drug release kinetics mechanism study
2.2.4. Statistical Analysis
3. Results
3.1. Characterization of 3DP Tablets
3.1.1. Physical Characterization
3.1.2. Thermal Characterization
3.1.3. X-ray Powder Diffraction (XRPD)
3.2. Pharmaceutical Characterization
3.2.1. Buoyancy of the 3DP Tablets
3.2.2. Drug Release Behaviour
- Effect of drug load
- Effect of auxiliary excipients load
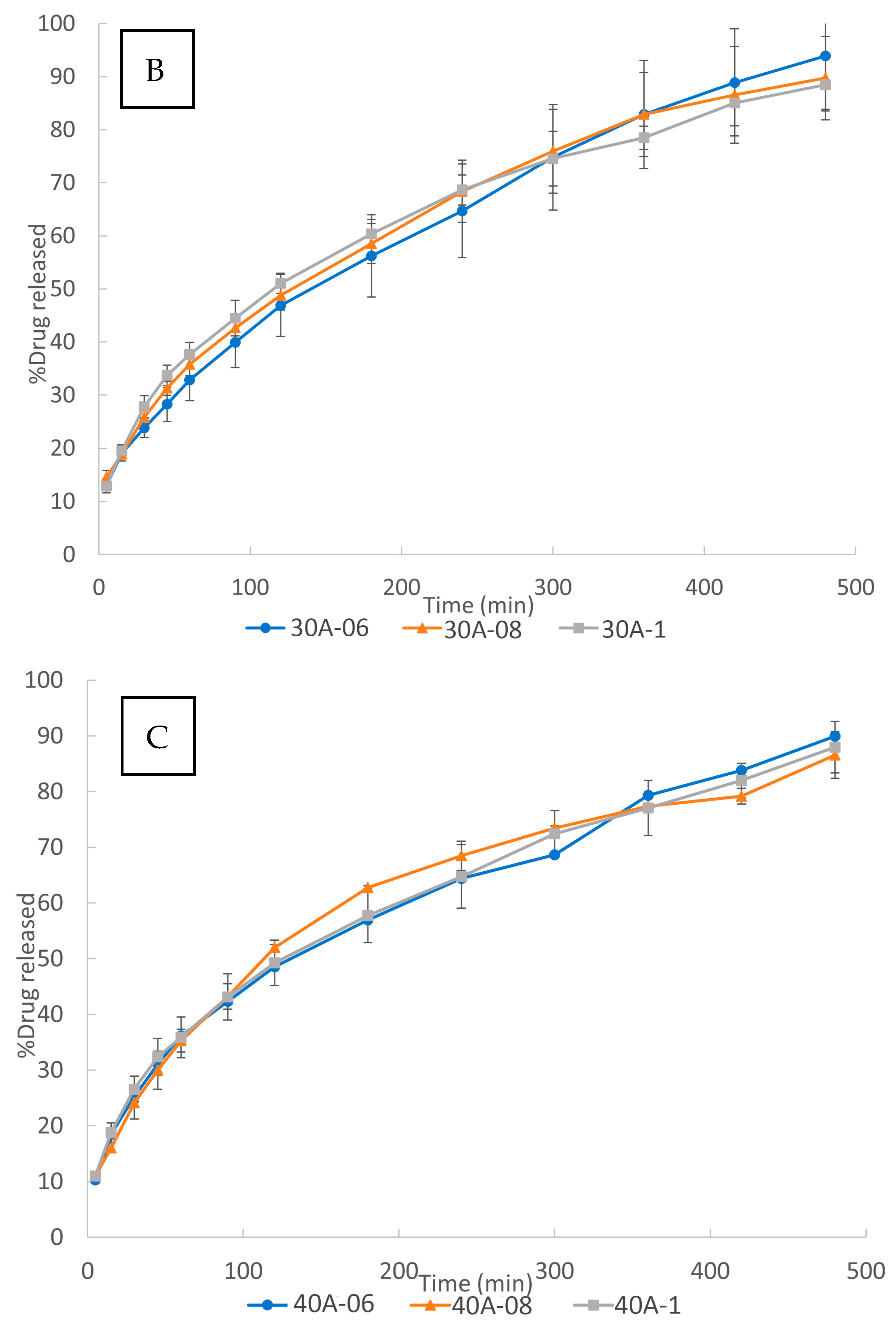
- Effect of internal mesh size
3.2.3. Drug Release Kinetics
4. Conclusions
Author Contributions
Funding
Institutional Review Board Statement
Informed Consent Statement
Data Availability Statement
Acknowledgments
Conflicts of Interest
Correction Statement
References
- Prajapati, V.D.; Jani, G.K.; Khutliwala, T.A.; Zala, B.S. Raft forming system—An upcoming approach of gastroretentive drug delivery system. J. Control. Release 2013, 168, 151–165. [Google Scholar] [CrossRef] [PubMed]
- Streubel, A.; Siepmann, J.; Bodmeier, R. Gastroretentive drug delivery systems. Expert Opin. Drug Deliv. 2006, 3, 217–233. [Google Scholar] [CrossRef] [PubMed]
- Pahwa, R.; Saini, N.; Kumar, V.; Kohli, K. Chitosan-based gastroretentive floating drug delivery technology: An updated review Chitosan-based gastroretentive floating drug delivery technology: An updated review. Expert Opin. Drug Deliv. 2012, 9, 525–539. [Google Scholar] [CrossRef] [PubMed]
- Bardonnet, P.L.; Faivre, V.; Pugh, W.J.; Piffaretti, J.C.; Falson, F. Gastroretentive dosage forms: Overview and special case of Helicobacter pylori. J. Control. Release 2006, 111, 1–18. [Google Scholar] [CrossRef]
- Kotreka, U.K.; Adeyeye, M.C. Gastroretentive floating drug-delivery systems: A critical review. Crit. Rev. Ther. Drug Carrier Syst. 2011, 28, 47–99. [Google Scholar] [CrossRef]
- WorsØe, J.; Fynne, L.; Gregersen, T.; Schlageter, V.; Christensen, L.A.; Dahlerup, J.F.; Rijkhoff, N.J.M.; Laurberg, S.; Krogh, K. Gastric transit and small intestinal transit time and motility assessed by a magnet tracking system. BMC Gastroenterol. 2011, 11, 145. [Google Scholar] [CrossRef]
- Lopes, C.M.; Bettencourt, C.; Rossi, A.; Buttini, F.; Barata, P. Overview on gastroretentive drug delivery systems for improving drug bioavailability. Int. J. Pharm. 2016, 510, 144–158. [Google Scholar] [CrossRef]
- Tripathi, J.; Thapa, P.; Maharjan, R.; Jeong, S.H. Current state and future perspectives on gastroretentive drug delivery systems. Pharmaceutics 2019, 11, 193. [Google Scholar] [CrossRef] [PubMed]
- Vrettos, N.N.; Roberts, C.J.; Zhu, Z. Gastroretentive technologies in tandem with controlled-release strategies: A potent answer to oral drug bioavailability and patient compliance implications. Pharmaceutics 2021, 13, 1591. [Google Scholar] [CrossRef]
- Kirtane, A.R.; Abouzid, O.; Minahan, D.; Bensel, T.; Hill, A.L.; Selinger, C.; Bershteyn, A.; Craig, M.; Mo, S.S.; Mazdiyasni, H.; et al. Development of an oral once-weekly drug delivery system for HIV antiretroviral therapy. Nat. Commun. 2018, 9, 2. [Google Scholar] [CrossRef]
- Melocchi, A.; Uboldi, M.; Inverardi, N.; Briatico-Vangosa, F.; Baldi, F.; Pandini, S.; Scalet, G.; Auricchio, F.; Cerea, M.; Foppoli, A.; et al. Expandable drug delivery system for gastric retention based on shape memory polymers: Development via 4D printing and extrusion. Int. J. Pharm. 2019, 571, 118700. [Google Scholar] [CrossRef] [PubMed]
- Inverardi, N.; Scalet, G.; Melocchi, A.; Uboldi, M.; Maroni, A.; Zema, L.; Gazzaniga, A.; Auricchio, F.; Briatico-Vangosa, F.; Baldi, F.; et al. Experimental and computational analysis of a pharmaceutical-grade shape memory polymer applied to the development of gastroretentive drug delivery systems. J. Mech. Behav. Biomed. Mater. 2021, 124, 104814. [Google Scholar] [CrossRef]
- Großmann, L.; Kieckhöfer, M.; Weitschies, W.; Krause, J. 4D prints of flexible dosage forms using thermoplastic polyurethane with hybrid shape memory effect. Eur. J. Pharm. Biopharm. 2022, 181, 227–238. [Google Scholar] [CrossRef] [PubMed]
- Preda, M.; Leucuta, S.E. Oxprenolol-loaded bioadhesive microspheres: Preparation and in vitro/in vivo characterization. J. Microencapsulation 2010, 20, 777–789. [Google Scholar] [CrossRef]
- Lemieux, M.; Gosselin, P.; Mateescu, M.A. Carboxymethyl starch mucoadhesive microspheres as gastroretentive dosage form. Int. J. Pharm. 2015, 496, 497–508. [Google Scholar] [CrossRef] [PubMed]
- Li, Z.; Xu, H.; Li, S.; Li, Q.; Zhang, W.; Ye, T.; Yang, X.; Pan, W. A novel gastro-floating multiparticulate system for dipyridamole (DIP) based on a porous and low-density matrix core: In vitro and in vivo evaluation. Int. J. Pharm. 2014, 461, 540–548. [Google Scholar] [CrossRef]
- Almutairy, B.K.; Alshetaili, A.S.; Ashour, E.A.; Patil, H.; Tiwari, R.V.; Alshehri, S.M.; Repka, M.A. Development of a floating drug delivery system with superior buoyancy in gastric fluid using hot-melt extrusion coupled with pressurized CO2. Pharmazie 2016, 71, 128–133. [Google Scholar] [CrossRef] [PubMed]
- Li, Q.; Guan, X.; Cui, M.; Zhu, Z.; Chen, K.; Wen, H.; Jia, D.; Hou, J.; Xu, W.; Yang, X.; et al. Preparation and investigation of novel gastro-floating tablets with 3D extrusion-based printing. Int. J. Pharm. 2018, 535, 325–332. [Google Scholar] [CrossRef] [PubMed]
- Lalge, R.; Thipsay, P.; Shankar, V.K.; Maurya, A.; Pimparade, M.; Bandari, S.; Zhang, F.; Murthy, S.N.; Repka, M.A. Preparation and evaluation of cefuroxime axetil gastro-retentive floating drug delivery system via hot melt extrusion technology. Int. J. Pharm. 2019, 566, 520–531. [Google Scholar] [CrossRef]
- Lamichhane, S.; Park, J.B.; Sohn, D.H.; Lee, S. Customized Novel Design of 3D Printed Pregabalin Tablets for Intra-Gastric Floating and Controlled Release Using Fused Deposition Modeling. Pharmaceutics 2019, 11, 564. [Google Scholar] [CrossRef]
- Svirskis, D.; Seyfoddin, A.; Chalabi, S.; Kim, J.H.I.; Langford, C.; Painter, S.; Al-Kassas, R. Development of mucoadhesive floating hollow beads of acyclovir with gastroretentive properties. Pharm. Dev. Technol. 2014, 19, 571–576. [Google Scholar] [CrossRef] [PubMed]
- Patil, H.; Tiwari, R.V.; Repka, M.A. Hot-Melt Extrusion: From Theory to Application in Pharmaceutical Formulation. AAPS PharmSciTech 2016, 17, 20–42. [Google Scholar] [CrossRef] [PubMed]
- Zhao, Q.; Gao, B.; Ma, L.; Lian, J.; Deng, L.; Chen, J. Innovative intragastric ascaridole floating tablets: Development, optimization, and in vitro-in vivo evaluation. Int. J. Pharm. 2015, 496, 432–439. [Google Scholar] [CrossRef]
- Albadry, A.A.; Ali, W.K.; Al-saady, F.A. Formulation and evaluation of prochlorperazine maleate sustained release floating tablet. Int. J. Pharm. Pharm. Sci. 2017, 9, 89. [Google Scholar] [CrossRef]
- Pawar, V.K.; Kansal, S.; Asthana, S.; Chourasia, M.K. Industrial perspective of gastroretentive drug delivery systems: Physicochemical, biopharmaceutical, technological and regulatory consideration. Expert Opin. Drug Deliv. 2012, 9, 551–565. [Google Scholar] [CrossRef]
- Zhao, X.; Wei, W.; Niu, R.; Li, Q.; Hu, C.; Jiang, S. 3D Printed Intragastric Floating and Sustained-Release Tablets with Air Chambers. J. Pharm. Sci. 2022, 111, 116–123. [Google Scholar] [CrossRef]
- Whitehead, L.; Fell, J.T.; Collett, J.H.; Sharma, H.L.; Smith, A.M. Floating dosage forms: An in vivo study demonstrating prolonged gastric retention. J. Control. Release 1998, 55, 3–12. [Google Scholar] [CrossRef]
- Ishak, R.A.H. Buoyancy-Generating Agents for Stomach-Specific Drug Delivery: An Overview with Special Emphasis on Floating Behavior. J. Pharm. Pharm. Sci. 2015, 18, 77–100. [Google Scholar] [CrossRef]
- Khatri, P.; Shah, M.K.; Vora, N. Formulation strategies for solid oral dosage form using 3D printing technology: A mini-review. J. Drug Deliv. Sci. Technol. 2018, 46, 148–155. [Google Scholar] [CrossRef]
- Charoenying, T.; Patrojanasophon, P.; Ngawhirunpat, T.; Rojanarata, T.; Akkaramongkolporn, P.; Opanasopit, P. Three-dimensional (3D)-printed devices composed of hydrophilic cap and hydrophobic body for improving buoyancy and gastric retention of domperidone tablets. Eur. J. Pharm. Sci. 2020, 155, 105555. [Google Scholar] [CrossRef]
- Shin, S.; Kim, T.H.; Jeong, S.W.; Chung, S.E.; Lee, D.Y.; Kim, D.-H.; Shin, B.S. Development of a gastroretentive delivery system for acyclovir by 3D printing technology and its in vivo pharmacokinetic evaluation in Beagle dogs. PLoS ONE 2019, 14, e0216875. [Google Scholar] [CrossRef]
- Chen, D.; Xu, X.Y.; Li, R.; Zang, G.A.; Zhang, Y.; Wang, M.R.; Xiong, M.F.; Xu, J.R.; Wang, T.; Fu, H.; et al. Preparation and In vitro Evaluation of FDM 3D-Printed Ellipsoid-Shaped Gastric Floating Tablets with Low Infill Percentages. AAPS PharmSciTech 2020, 21, 6. [Google Scholar] [CrossRef]
- Giri, B.; Song, E.; Kwon, J.; Lee, J.-H.; Park, J.-B.; Kim, D. Fabrication of Intragastric Floating, Controlled Release 3D Printed Theophylline Tablets Using Hot-Melt Extrusion and Fused Deposition Modeling. Pharmaceutics 2020, 12, 77. [Google Scholar] [CrossRef]
- Lin, X.; Fu, H.; Hou, Z.; Si, Y.; Shan, W.; Yang, Y. Three-dimensional printing of gastro-floating tablets using polyethylene glycol diacrylate-based photocurable printing material. Int. J. Pharm. 2021, 603, 120674. [Google Scholar] [CrossRef]
- Han, S.; Kathuria, H.; Jia, J.; Tan, Y.; Kang, L. 3D printed drug delivery and testing systems—A passing fad or the future? Adv. Drug Deliv. Rev. 2018, 132, 139–168. [Google Scholar] [CrossRef]
- Fu, J.; Yu, X.; Jin, Y. 3D printing of vaginal rings with personalized shapes for controlled release of progesterone. Int. J. Pharm. 2018, 539, 75–82. [Google Scholar] [CrossRef]
- Charoenying, T.; Patrojanasophon, P.; Ngawhirunpat, T.; Rojanarata, T.; Akkaramongkolporn, P.; Opanasopit, P. Fabrication of floating capsule-in- 3D-printed devices as gastro-retentive delivery systems of amoxicillin. J. Drug Deliv. Sci. Technol. 2020, 55, 101393. [Google Scholar] [CrossRef]
- Melocchi, A.; Uboldi, M.; Maroni, A.; Foppoli, A.; Palugan, L.; Zema, L.; Gazzaniga, A. 3D printing by fused deposition modeling of single- and multi-compartment hollow systems for oral delivery—A review. Int. J. Pharm. 2020, 579, 119155. [Google Scholar] [CrossRef]
- Dumpa, N.R.; Bandari, S.; Repka, M.A. Novel Gastroretentive Floating Pulsatile Drug Delivery System Produced via Hot-Melt Extrusion and Fused Deposition Modeling 3D Printing. Pharmaceutics 2020, 12, 52. [Google Scholar] [CrossRef]
- Chai, X.; Chai, H.; Wang, X.; Yang, J.; Li, J.; Zhao, Y.; Cai, W.; Tao, T.; Xiang, X. Fused deposition modeling (FDM) 3D printed tablets for intragastric floating delivery of domperidone. Sci. Rep. 2017, 7, 2829. [Google Scholar] [CrossRef]
- Vo, A.Q.; Zhang, J.; Nyavanandi, D.; Bandari, S.; Repka, M.A. Hot melt extrusion paired fused deposition modeling 3D printing to develop hydroxypropyl cellulose based floating tablets of cinnarizine. Carbohydr. Polym. 2020, 246, 116519. [Google Scholar] [CrossRef]
- Qian, H.; Chen, D.; Xu, X.; Li, R.; Yan, G.; Fan, T. FDM 3D-Printed Sustained-Release Gastric-Floating Verapamil Hydrochloride Formulations with Cylinder, Capsule and Hemisphere Shapes, and Low Infill Percentage. Pharmaceutics 2022, 14, 281. [Google Scholar] [CrossRef]
- Windolf, H.; Chamberlain, R.; Breitkreutz, J. 3D Printed Mini-Floating-Polypill for Parkinson’ s Disease: Combination of Levodopa, Benserazide, and Pramipexole in Various Dosing for Personalized Therapy. Pharmaceutics 2022, 14, 931. [Google Scholar] [CrossRef]
- Tan, D.; Maniruzzaman, M.; Nokhodchi, A. Advanced Pharmaceutical Applications of Hot-Melt Extrusion Coupled with Fused Deposition Modelling (FDM) 3D Printing for Personalised Drug Delivery. Pharmaceutics 2018, 10, 203. [Google Scholar] [CrossRef]
- Tambe, S.; Jain, D.; Agarwal, Y.; Amin, P. Hot-melt extrusion: Highlighting recent advances in pharmaceutical applications. J. Drug Deliv. Sci. Technol. 2021, 63, 102452. [Google Scholar] [CrossRef]
- Zhang, J.; Yang, W.; Vo, A.Q.; Feng, X.; Ye, X.; Kim, D.W.; Repka, M.A. Hydroxypropyl methylcellulose-based controlled release dosage by melt extrusion and 3D printing: Structure and drug release correlation. Carbohydr. Polym. 2017, 177, 49–57. [Google Scholar] [CrossRef] [PubMed]
- Chen, Y.; Ho, H.; Liu, D.; Siow, W.; Sheu, M. Swelling/Floating Capability and Drug Release Characterizations of Gastroretentive Drug Delivery System Based on a Combination of Hydroxyethyl Cellulose and Sodium Carboxymethyl Cellulose. PLoS ONE 2015, 10, e0116914. [Google Scholar] [CrossRef]
- Simons, F.J.; Wagner, K.G. Modeling, design and manufacture of innovative floating gastroretentive drug delivery systems based on hot-melt extruded tubes. Eur. J. Pharm. Biopharm. 2019, 137, 196–208. [Google Scholar] [CrossRef] [PubMed]
- Gioumouxouzis, C.I.; Baklavaridis, A.; Katsamenis, O.L.; Markopoulou, C.K.; Bouropoulos, N.; Tzetzis, D.; Fatouros, D.G. European Journal of Pharmaceutical Sciences A 3D printed bilayer oral solid dosage form combining metformin for prolonged and glimepiride for immediate drug delivery. Eur. J. Pharm. Sci. 2018, 120, 40–52. [Google Scholar] [CrossRef]
- Mora-Castaño, G.; Millán-Jiménez, M.; Linares, V.; Caraballo, I. Assessment of the Extrusion Process and Printability of Suspension-Type Drug-Loaded AffinisolTM Filaments for 3D Printing. Pharmaceutics 2022, 14, 871. [Google Scholar] [CrossRef]
- Select Committee on GRAS Substances (SCOGS). Report 25: Evaluation of the Health Aspects of Cellulose and Certain Cellulose Derivatives as Food Ingredients; FDA: Silver Spring, MD, USA, 1973. [Google Scholar]
- Awad, A.; Trenfield, S.J.; Gaisford, S.; Basit, A.W. 3D printed medicines: A new branch of digital healthcare. Int. J. Pharm. 2018, 548, 586–596. [Google Scholar] [CrossRef] [PubMed]
- Jamróz, W.; Szafraniec, J.; Kurek, M.; Jachowicz, R. 3D Printing in Pharmaceutical and Medical Applications—Recent Achievements and Challenges. Pharm. Res. 2018, 35, 176. [Google Scholar] [CrossRef]
- Higuchi, T. Mechanism of sustained-action medication. Theoretical analysis of rate of release of solid drugs dispersed in solid matrices. J. Pharm. Sci. 1963, 52, 1145–1149. [Google Scholar] [CrossRef] [PubMed]
- Korsmeyer, R.W.; Gurny, R.; Doelker, E.; Buri, P.; Peppas, N.A. Mechanisms of solute release from porous hydrophilic polymers. Int. J. Pharm. 1983, 15, 25–35. [Google Scholar] [CrossRef]
- Peppas, N.A.; Sahlin, J.J. A simple equation for the description of solute release. III. Coupling of diffusion and relaxation. Int. J. Pharm. 1989, 57, 169–172. [Google Scholar] [CrossRef]
- Ritger, P.L.; Peppas, N.A. A simple equation for description of solute release I. Fickian and non-fickian release from non-swellable devices in the form of slabs, spheres, cylinders or discs. J. Control. Release 1987, 5, 23–36. [Google Scholar] [CrossRef]
- Patel, H.l.V.; Patel, K.D.; Patel, N.K. Formulation and Evaluation of Metformin Hydrochloride Microparticles By Emulsion Solvent Evaporation Technique. J. Drug Deliv. Ther. 2013, 3, 125–130. [Google Scholar] [CrossRef]
- Bouriche, S.; Alonso-García, A.; Cárceles-Rodríguez, C.M.; Rezgui, F.; Fernández-Varón, E. An in vivo pharmacokinetic study of metformin microparticles as an oral sustained release formulation in rabbits. BMC Vet. Res. 2021, 17, 315. [Google Scholar] [CrossRef] [PubMed]
- Vo, A.Q.; Feng, X.; Morott, J.T.; Pimparade, M.B.; Tiwari, R.V.; Zhang, F.; Repka, M.A. A novel floating controlled release drug delivery system prepared by hot-melt extrusion. Eur. J. Pharm. Biopharm. 2016, 98, 108–121. [Google Scholar] [CrossRef]
- Bagheri, A.; Asadi-Eydivand, M.; Rosser, A.A.; Fellows, C.M.; Brown, T.C. 3D Printing of Customized Drug Delivery Systems with Controlled Architecture via Reversible Addition-Fragmentation Chain Transfer Polymerization. Adv. Eng. Mater. 2023, 2201785. [Google Scholar] [CrossRef]










| Drug-Loaded Filament | MET (%) | AFF (%) | MS (%) | PEG 6000 (%) |
|---|---|---|---|---|
| 10A | 10 | 80 | 5 | 5 |
| 20A | 20 | 70 | 5 | 5 |
| 30A | 30 | 60 | 5 | 5 |
| 40A | 40 | 50 | 5 | 5 |
| 50A | 50 | 40 | 5 | 5 |
| 20B | 20 | 65 | 7.5 | 7.5 |
| 30B | 30 | 55 | 7.5 | 7.5 |
| 40B | 40 | 45 | 7.5 | 7.5 |
| 50B | 50 | 35 | 7.5 | 7.5 |
| 3DP Tablets | Internal Mesh Size (mm × mm) | Height (mm) | Weight (mg) | Diameter (mm) | Density (g/mL) |
|---|---|---|---|---|---|
| 20A-06 | 0.6 × 0.6 | 6.33 ± 0.34 | 669.74 ± 18.03 | 13.00 ± 0.21 | 0.80 ± 0.03 |
| 30A-06 | 0.6 × 0.6 | 5.94 ± 0.01 | 626.29 ± 7.33 | 13.30 ± 0.14 | 0.76 ± 0.01 |
| 40A-06 | 0.6 × 0.6 | 6.21 ± 0.11 | 683.71 ± 17.71 | 13.27 ± 0.16 | 0.80 ± 0.03 |
| 10A-08 | 0.8 × 0.8 | 6.22 ± 0.06 | 687.60 ± 5.00 | 13.25 ± 0.18 | 0.80 ± 0.02 |
| 20A-08 | 0.8 × 0.8 | 6.21 ± 0.16 | 666.80 ± 42.14 | 12.95 ± 0.07 | 0.82 ± 0.02 |
| 30A-08 | 0.8 × 0.8 | 6.10 ± 0.02 | 644.97 ± 6.24 | 12.93 ± 0.03 | 0.80 ± 0.01 |
| 40A-08 | 0.8 × 0.8 | 6.37 ± 0.13 | 652.80 ± 5.87 | 13.01 ± 0.03 | 0.77 ± 0.02 |
| 20B-08 | 0.8 × 0.8 | 5.97 ± 0.18 | 635.56 ± 9.05 | 13.24 ± 0.17 | 0.77 ± 0.02 |
| 30B-08 | 0.8 × 0.8 | 5.59 ± 0.54 | 617.58 ± 14.22 | 13.13 ± 0.23 | 0.82 ± 0.04 |
| 50B-08 | 0.8 × 0.8 | 5.32 ± 0.08 | 594.70 ± 24.98 | 13.54 ± 0.21 | 0.78 ± 0.06 |
| 20A-1 | 1.0 × 1.0 | 6.15 ± 0.18 | 626.64 ± 29.81 | 13.33 ± 0.40 | 0.73 ± 0.04 |
| 30A-1 | 1.0 × 1.0 | 5.77 ± 0.21 | 620.83 ± 1.74 | 13.40 ± 0.00 | 0.76 ± 0.03 |
| 40A-1 | 1.0 × 1.0 | 6.22 ± 0.14 | 618.92 ± 25.36 | 13.19 ± 0.20 | 0.73 ± 0.01 |
| 40B-1 | 1.0 × 1.0 | 6.21 ± 0.16 | 666.80 ± 42.14 | 12.95 ± 0.07 | 0.82 ± 0.02 |
| 3DP Tablets | Zero Order | Higuchi | Korsmeyer | Peppas and Sahlin | |||||
|---|---|---|---|---|---|---|---|---|---|
| k | r2 | b | r2 | n | r2 | kd | kr | r2 | |
| 20p06A | 0.1871 | 0.9540 | 0.0348 | 0.9997 | 0.4622 | 0.9989 | 0.0344 | 0.0000 | 0.9997 |
| 30p06A | 0.2003 | 0.9568 | 0.0391 | 0.9965 | 0.4481 | 0.9918 | 0.0308 | 0.0005 | 0.9989 |
| 40p06A | 0.2529 | 0.9241 | 0.0419 | 0.9959 | 0.4780 | 0.9979 | 0.0534 | −0.0007 | 0.9996 |
| 10p08A | 0.1760 | 0.9433 | 0.0334 | 0.9983 | 0.4634 | 0.9987 | 0.0331 | 0.0000 | 0.9983 |
| 20p08A | 0.1822 | 0.9700 | 0.0336 | 0.9965 | 0.4461 | 0.9939 | 0.0263 | 0.0004 | 0.9988 |
| 30p08A | 0.2331 | 0.9647 | 0.0404 | 0.9979 | 0.4572 | 0.9999 | 0.0373 | 0.0002 | 0.9986 |
| 40p08A | 0.3496 | 0.9797 | 0.0475 | 0.9949 | 0.4981 | 0.9904 | 0.0332 | 0.0011 | 0.9985 |
| 20p08B | 0.1469 | 0.9434 | 0.0305 | 0.9991 | 0.4111 | 0.9992 | 0.0339 | −0.0002 | 0.9997 |
| 30p08B | 0.2395 | 0.9732 | 0.0407 | 0.9957 | 0.4581 | 0.9990 | 0.0318 | 0.0006 | 0.9981 |
| 50p08B | 0.3492 | 0.9138 | 0.0490 | 0.9900 | 0.4604 | 0.9949 | 0.0735 | −0.0019 | 1.0000 |
| 20p1A | 0.1937 | 0.9521 | 0.0361 | 0.9989 | 0.4622 | 0.9975 | 0.0360 | 0.0000 | 0.9989 |
| 30p1A | 0.3179 | 0.9479 | 0.0440 | 0.9979 | 0.4394 | 0.9978 | 0.0505 | −0.0005 | 0.9988 |
| 40p1A | 0.2531 | 0.9247 | 0.0419 | 0.9961 | 0.4645 | 0.9983 | 0.0532 | −0.0007 | 0.9996 |
| 40p1B | 0.3503 | 0.9401 | 0.0486 | 0.9970 | 0.4535 | 0.9990 | 0.0602 | −0.0009 | 0.9993 |
Disclaimer/Publisher’s Note: The statements, opinions and data contained in all publications are solely those of the individual author(s) and contributor(s) and not of MDPI and/or the editor(s). MDPI and/or the editor(s) disclaim responsibility for any injury to people or property resulting from any ideas, methods, instructions or products referred to in the content. |
© 2023 by the authors. Licensee MDPI, Basel, Switzerland. This article is an open access article distributed under the terms and conditions of the Creative Commons Attribution (CC BY) license (https://creativecommons.org/licenses/by/4.0/).
Share and Cite
Mora-Castaño, G.; Millán-Jiménez, M.; Caraballo, I. Hydrophilic High Drug-Loaded 3D Printed Gastroretentive System with Robust Release Kinetics. Pharmaceutics 2023, 15, 842. https://doi.org/10.3390/pharmaceutics15030842
Mora-Castaño G, Millán-Jiménez M, Caraballo I. Hydrophilic High Drug-Loaded 3D Printed Gastroretentive System with Robust Release Kinetics. Pharmaceutics. 2023; 15(3):842. https://doi.org/10.3390/pharmaceutics15030842
Chicago/Turabian StyleMora-Castaño, Gloria, Mónica Millán-Jiménez, and Isidoro Caraballo. 2023. "Hydrophilic High Drug-Loaded 3D Printed Gastroretentive System with Robust Release Kinetics" Pharmaceutics 15, no. 3: 842. https://doi.org/10.3390/pharmaceutics15030842
APA StyleMora-Castaño, G., Millán-Jiménez, M., & Caraballo, I. (2023). Hydrophilic High Drug-Loaded 3D Printed Gastroretentive System with Robust Release Kinetics. Pharmaceutics, 15(3), 842. https://doi.org/10.3390/pharmaceutics15030842

