Abstract
Over the past two decades, significant technological innovations have led to messenger RNA (mRNA) becoming a promising option for developing prophylactic and therapeutic vaccines, protein replacement therapies, and genome engineering. The success of the two COVID-19 mRNA vaccines has sparked new enthusiasm for other medical applications, particularly in cancer treatment. In vitro-transcribed (IVT) mRNAs are structurally designed to resemble naturally occurring mature mRNA. Delivery of IVT mRNA via delivery platforms such as lipid nanoparticles allows host cells to produce many copies of encoded proteins, which can serve as antigens to stimulate immune responses or as additional beneficial proteins for supplements. mRNA-based cancer therapeutics include mRNA cancer vaccines, mRNA encoding cytokines, chimeric antigen receptors, tumor suppressors, and other combination therapies. To better understand the current development and research status of mRNA therapies for cancer treatment, this review focused on the molecular design, delivery systems, and clinical indications of mRNA therapies in cancer.
1. Introduction
Messenger RNA (mRNA), a transient intermediator between genes and proteins, was first discovered in 1961 by Brenner et al. []. In 1990, in a study by Wolff et al. [], in vitro-transcribed mRNA was directly injected into mouse muscles for the first time, and the corresponding protein products were detected, which proved the feasibility of mRNA therapy. Since then, several strategies have been explored to ameliorate the high immunogenicity and instability of IVT mRNA and its inefficiency in in vivo delivery. Advances in IVT mRNA with chemical modifications and in vivo delivery systems have expedited the development of mRNA as a new class of drugs. mRNA therapy has several advantages. The first is safety, as mRNA does not enter the nucleus; therefore, it has no risk of integration into the genome. Second, mRNA can be degraded through normal cellular pathways, and the metabolites are natural. Third, for any target protein of a known sequence, mRNA can be quickly produced in vitro by an enzymatic reaction, thereby avoiding complex manufacturing [].
The effectiveness of these two COVID-19 mRNA vaccines in the real world has again aroused an upsurge in mRNA therapy research worldwide. In cancer treatment, in 2017, Sahin et al. [] reported for the first time a clinical trial of applying personalized mRNA cancer vaccines against multiple antigens to patients with melanoma. In addition to mRNA cancer vaccines, treatment methods such as mRNA encoding immunomodulatory factors, tumor suppressor genes, and antibodies are also in the preclinical/clinical stages of cancer treatment. This review focused on the modification regulation/sequence optimization system of in vitro transcription of mRNA molecules, in vivo delivery, and the clinical application scenarios of mRNA as a promising new generation of biomacromolecule drugs in the field of cancer.
2. Components and Design of IVT mRNAs
Similar to natural mRNA, IVT mRNA contains five components from the 5′ to the 3′ end: a 5′ cap, 5′ untranslated region (5′ UTR), coding sequence (CDS), 3′ UTR, and poly(A) tail (Figure 1). IVT mRNAs are susceptible to non-enzymatic decay and attack by the host cellular mRNA degradation system []. They should be optimized to take better advantage of the eukaryotic protein translation machinery than endogenous mRNAs and to ensure sufficient half-life to achieve protein expression levels and durations. With a deeper understanding of the influence of mRNA sequence and structure on its biological performance, the emergence of diverse design strategies provides broader options for mRNA optimization, typically with chemical synthesis, computational biology, and bioinformatics. The current advances in the design of the five elements of IVT mRNA are discussed below.

Figure 1.
Structure and design considerations of IVT mRNAs.
2.1. 5′ Cap
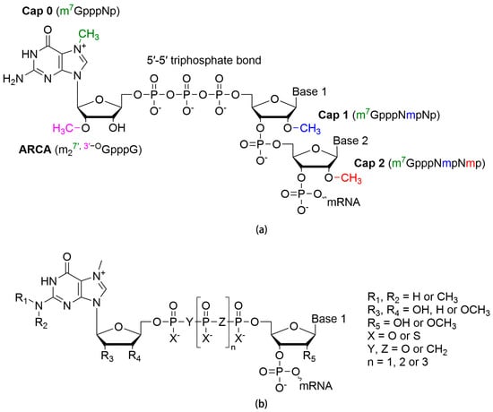
In eukaryotic transcription, 7-methylguanosine (m7G) is connected to the 5′ terminal nucleotide of mRNA via a 5′-5′ triphosphate bond to form the 5′-cap structure (m7G(5′)ppp(5′)Np). The cap structure recruits eukaryotic initiation factor 4E (eIF4E) to initiate the translation process []. In addition to facilitating polyadenylation at the 3′ end [,,], splicing [,], and nuclear export of endogenous precursor mRNA (pre-mRNA) [,] in natural situations, the cap structure in the case of IVT mRNA is essential for translation efficiency and stability (half-life). Based on the number of methylated nucleotides at the C2′ position (2′-OMe) of the ribose from the 5′ end, cap 0 (m7GpppNp) can be distinguished from cap 1 (m7GpppNmpNp) or cap 2 (m7GpppNmpNmp) by the ribose methylation at C2′ or both C2′ and C3′, respectively (Figure 2a). Uncapped mRNAs or those with cap 0 can be recognized by pattern recognition receptors (PRRs), such as retinoic-acid-inducible gene I (RIG-I) and melanoma-differentiation-associated protein 5 (MDA5), triggering the IFN innate immune response to inhibit translation and protein synthesis [].

Figure 2.
The 5′-cap structures of IVT mRNAs. (a) Structure of cap 0, cap 1, cap 2, and ARCA. (b) Chemical modifications of 5′-cap analogs.
There are two common methods for IVT mRNA capping: one is the addition of cap analogs as RNA polymerase substrates for one-step co-transcription capping, and the other is to employ specialized capping enzymes for post-transcription capping. Co-transcription capping with synthetic cap analogs, such as anti-reverse cap analogs (ARCAs) with a typical structure of m27′, 3′−OGpppG or m7(3)dGpppG (Figure 2a), is used earlier and more frequently, allowing IVT to be completed in a single step. In ARCAs, the C3′ hydroxyl of m7G is modified such that the 3′-5′ phosphodiester bond cannot be formed, ensuring correct capping. Modification of the C2′ position can also prevent reverse capping []. Linking two nucleosides with tetra- instead of triphosphate and appropriate modification of this oligophosphate chain can improve stability and translation efficiency by facilitating eIF4E binding [,,,,] (Figure 2b). At present, CleanCap®, a next-generation one-pot capping technology, enables co-transcription capping without cap analogs with a capping rate of >95% []. Post-transcription capping implies that an additional enzymatic capping step is performed after transcription. At present, the vaccinia capping enzyme (VCE) is commercially available and completes mRNA capping similarly to the eukaryotic capping machinery to produce IVT mRNA with cap 0 (m7GpppNp). Commercialization of the 2′-O-methyltransferase VP39 in vaccinia viruses for further processing renders IVT mRNA with a cap 1 []. Some viral enzymes, such as VP4 in Bluetongue viruses, can obtain cap 1 directly []. Capping, as an additional step, complicates industrial production and may reduce yield.
2.2. Untranslated Region (UTR)
There are many cis-elements and secondary structures on the 5′ and 3′ UTRs of eukaryotic mRNA that interact with various RNA-binding proteins (RBPs), and it is widely accepted that 5′ and 3′ UTRs are essential for mRNA translation and stabilization. However, due to the lack of in-depth insight into the regulatory mechanisms involved, current IVT mRNA design predominantly uses UTRs derived from genes with high expression, such as α-globin or β-globin UTRs from Xenopus laevis and Homo sapiens [,], which leaves much room for optimization.
Several aspects are relevant to UTR sequence engineering. (1) Structure: in general, translation efficiency suffers when excess secondary structures are introduced into the 5′ UTR []. (2) Kozak sequence: For efficient translation of the CDS region, the “AUG background” nucleotides around the initiation site AUG should be an optimal Kozak sequence. In vertebrates, the general sequence can be described as follows: (gcc)gccRccAUGG (AUG: initiation codon; [gcc]: importance unknown; R: purine (adenine accounts for ~97%); lower case: most common bases (may vary); upper case: highly conserved bases) []. (3) Upstream start codon (upstream AUG, uAUG) or upstream open reading frames (uORFs): unexpected start codons or open reading frames upstream of the designed CDS may interfere with target protein expression [] or cause the regulator of nonsense transcript 1 (UPF1)-dependent degradation of mRNA [,,]. (4) Internal ribosome entry sites (IRESs): The IRES consists of hundreds of nucleotides (nt) that were first discovered in viral gene expression and later confirmed in some mRNAs of eukaryotic cells. It can bind to the 40S subunit of the ribosome and initiate translation of CDS, bypassing canonical cap-dependent translation initiation. The IRES in the 5′ UTR is approved for the translation of IVT mRNA without cap [,].
Optimization of the 3′ UTR may improve IVT mRNA stability []. Adenylate–uridylate-rich elements (AREs; usually, AUUUA motifs are scattered or overlapped within or near U-rich regions) are the most common mRNA stability determinants in mammals. Some AU-rich element RNA-binding proteins (AUBPs) stabilize mRNA, whereas others, such as AU-rich element RNA-binding protein (AUF1), tristetraprolin (TTP), and human antigen R (HuR), form exosomes that mediate 3′→5′ degradation starting from the poly(A) tail [,]. Guanosine–uridine-rich elements (GREs) [] and cytosine-rich elements (CREs) also regulate mRNA expression through combined factors. The 3′ UTR also plays a role in mRNA transport and localization. At specific regions in the 3′ UTR, mRNA localization signals function as zip codes and interact with trans-acting factors in a sequence- and structure-dependent manner to determine the subcellular transport and anchoring of the mRNA, which affects translation. For IVT mRNA sequence engineering, it is advisable to locate the best translation site based on the synthesis, processing, (secretion), and functional pathway of the encoded protein by editing the 3′ UTR [].
Machine learning combined with high-throughput sequence screening may be a hotspot for next-generation mRNA design. Castillo-Hair et al. [] conceived a three-step workflow for this pattern, which can be interpreted as follows: establishment of a training set from experimental data, generation and verification of a machine learning model, and model-based computational mRNA design. The first step requires a massively parallel screening assay of the mRNA library containing the sequence fragment to be optimized with freely chosen metrics to quantify mRNA performance. The experimental results in step three can serve as data input for feedback [,,,]. Since plasmid-based screening cannot reliably characterize the expression level of IVT mRNA [], a well-designed screening assay is required []. The machine-learning-based framework is expected to thrive in future mRNA design because of its iterative optimization capability and open-source linkage of data and algorithms.
2.3. Coding Sequence (CDS)
The coding sequence (CDS) is the core of the IVT mRNA. Codon optimization in the CDS region refers to synonymous substitutions that regulate protein translation while avoiding attack by endonucleases []. Considering the “codon bias,” one common method is to use more frequently used codons in human mRNAs as replacements for rare codons to accelerate mRNA translation and avoid degradation caused by translation blockage [,]. In addition, the frequency of certain codon pairs (“codon pair bias”) and dinucleotides is thought to be related to the translation efficiency [,,]. Optimization of G/C at the third position of the codon stabilizes mRNA and promotes translation. Hia et al. [] combined high-throughput sample analysis and experimental methods to comprehensively explain that GC3 (G or C at the third position of codons) and the GC content of the whole mRNA affect stability. Since the exchange of G↔A and C↔U at position three of the codon has little effect on the determination of amino acids, GC3 and AU3 content can be used to some extent as markers to reflect the properties of mRNAs. Studies have shown that GC3-rich mRNAs have a higher ribosome reading rate and protein expression efficiency than AU3-rich mRNAs. Total GC content provides a translation-independent stabilization effect that correlates with mRNA degradation mediated by RBPs []. Moreover, decreasing the U ratio attenuates the activation of PRRs such as Toll-like receptor-7 (TLR-7), resulting in mRNA degradation [,,,,].
Both the primary and high-level structures are essential for CDS translation. Undesirable codon optimization may generate unanticipated secondary structures and unfavorably affect the kinetics and authenticity of ribosome scanning, resulting in erroneous wobble pairing and reduced quality and quantity of protein expression [,,]. Therefore, the optimization of both mRNA and secondary structures may have a synergistic effect in terms of enhancing and prolonging protein expression.
Computer-aided mRNA design is applicable to CDS engineering. In addition to the machine learning framework mentioned above, LinearDesign, a word lattice parsing-based algorithm developed by Baidu that enables the rapid optimization of sequence design, is promising for mRNA-based cancer treatment [].
2.4. Poly(A) Tailing
Polyadenylation of pre-mRNA in eukaryotic cells occurs after transcription and before transport from the nucleus to the cytoplasm to form the poly(A) tail, which contains consecutive adenine nucleotides (50–250 nt) bound by PABPs to promote nuclear export [], increase translation [,], and inhibit degradation []. In the closed-loop model of mRNA translation, poly(A) prevents mRNA degeneration []. Poly(A)-specific ribonucleases (PARNs) with 3′→5′ exonuclease activity can bind to the 5′ cap to cause deadenylation [], which acts as an important initiator of some crucial mRNA decay pathways. In eukaryotes, the poly(A) of most cytoplasmic mRNAs gradually becomes shorter, and mRNAs with shorter poly(A) tails have been found to be less translated and more rapidly degraded []. However, with advances in poly(A) tail sequencing, seemingly paradoxically, tails truncated to a minimal length are emerging as a feature of highly enriched and well-expressed transcripts, which may be partly due to the shrinking of binding regions for deadenylases and translation inhibitors [].
IVT mRNAs with different poly(A) tail lengths, ranging from 60–70 nt [] to the generally accepted appropriate length of 120–150 nt, have been tested in various cell lines [,]. The optimal tail length of IVT mRNAs requires adaptation to a specific case, based on the intrinsic properties of IVT mRNAs and the cytoplasmic environment [].
There are two methods for synthesizing IVT mRNAs with poly (A) tails of a specific length. One is to insert the poly[d(A/T)] sequence of a certain length into the DNA template (pDNA or PCR product), and the other is to perform post-transcriptional enzymatic polyadenylation with recombinant poly(A) polymerases. The former provides mRNA with a specific length of poly(A) tail in one step, which facilitates the quality control of IVT mRNA, particularly for clinical applications. The latter offers the possibility of inserting chemically modified nucleotides into the poly(A) tail to increase its stability and promote translation []. A conserved hairpin, rather than the poly(A) tail at the 3′ end of histone mRNAs, performs a poly(A)-like function that can replace poly(A) or be appended downstream as a possible optimization [,,].
2.5. Chemical Modification
The role of nucleotide modification of mRNA is multifaceted and context-dependent []. It affects dsRNA formation in IVT, secondary structure, translation, and immunogenicity [,,,]. As foreign substances with immunostimulatory properties, unmodified IVT mRNAs can be recognized by the PRRs of innate immune cells, eventually leading to the breakdown of the entire translational apparatus of the host cell. The ability to elicit an innate immune response is also referred to as intrinsic adjuvant activity. Appropriate chemical modifications can reduce the degradation of mRNA and maintain the stability of its secondary structure []. More importantly, chemical modification of nucleotides can regulate the immunogenicity of IVT mRNA.
In tumor IVT mRNA vaccines, overdue intrinsic adjuvant activity is unfavorable for antigen processing and presentation and insufficient for T and B cell activation; however, the moderate intrinsic adjuvant activity of IVT mRNA vaccines can promote the maturation of antigen-presenting cells (APCs), such as DCs (cytokines TNF, IL-12, and IL-6 involved), to exert APC function in adaptive immunity []. According to our cancer therapy strategy, methods for IVT mRNA optimization, including chemical modification and purification techniques such as high-performance liquid chromatography (HPLC) [], should be applied to adjust immunogenicity to a suitable level.
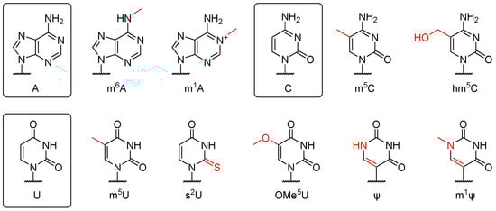
Modification of nucleosides prevents the recognition of PRRs, including TLR3, TLR7, and TLR8 []. Adenosine is commonly replaced by N6-methyladenosine (m6A) or N1-methyladenosine (m1A), cytidine by 5-methylcytidine (m5C) or 5-hydorxymethylcytidine (hm5C), and uridine by pseudouridine (ψ), 2-thiouridine (s2U), N1-methylpseudouridine (m1ψ), or 5-methyluridine (m5U) (Figure 3). Karikó et al. [,] found that m5C and ψ significantly reduce the immune response and improve translation efficiency. In a study by Kormann et al. [], 14 days after intramuscular administration of IVT mRNA containing 25% uridine and cytidine replaced with s2U and m5C, respectively, protein expression levels were 4.8- and 4.4-fold higher, respectively, than those in mice injected with unmodified mRNA. As the modification in two FDA-approved COVID-19 mRNA vaccines, m1ψ reduces immunogenicity compared with canonical U, with the change in mRNA structure affecting translation initiation and half-life [,,,]. In general, the proportion of chemically modified nucleotides is determined by their loading ratio to achieve optimal protein expression [,]; post-transcriptional nucleotide modification could also be an alternative [].

Figure 3.
Chemical modifications on bases of IVT mRNAs.
3. mRNA Delivery System
Although the first attempt to inject naked mRNA has been shown to generate an encoded protein [], the lack of an efficient delivery system has limited its use in the early years. Naked mRNAs can be rapidly degraded by extracellular RNases and have difficulty passing freely across cell membranes. Thus, to play an important role in vivo, mRNA delivery platforms must overcome several extracellular and intracellular barriers. These include protection from degradation by nucleases in physiological fluids, protection from interception by the mononuclear phagocytosis system, elimination of glomerular filtration after systemic administration, and improvement in the ability of mRNA to reach the cytoplasm for translation after reaching the target tissue and being swallowed by the target cell. Therefore, appropriate methods are required for efficient mRNA delivery to achieve these functions. After being encapsulated in a delivery vehicle, mRNA is able to enter the target cells through multiple mechanisms, which depends on the properties of the delivery platform and the cell type. For instance, mRNA delivered by lipid nanoparticles (LNPs) can be internalized by micropinocytosis and endocytosis; polyplexes enter the cells via caveolae-mediated endocytosis while lipoplexs via clathrin-mediated endocytosis or fusion with the cell membrane []. The optimization of mRNA delivery systems is of great importance for mRNA drug development.
3.1. Naked mRNA Injection or Electroporation
Naked mRNA can hardly enter cell lines cultured in vitro because of its negative charge and large size []. The in vivo delivery efficiency of naked mRNA is highly dependent on the route of administration. Naked mRNA has low delivery efficiency, except with subcutaneous injection []. Eukaryotic cells can take up naked mRNA; however, the uptake efficiency of naked mRNA is too low (<1%) to have a significant effect on most somatic cells, except dendritic cells (DCs). Some researchers have suggested that immature DCs in the lymph nodes or dermis can selectively take up naked mRNA via micropinocytosis [,]. Thus, the injection of naked mRNA is now used for vaccines containing encoded antigens, mainly intradermal [,] (i.d.) or intranodal [,] injections. Some adjuvants are added to enhance the therapeutic immune response triggered by naked mRNA, such as granulocyte–macrophage colony-stimulating factor (GM-CSF) [] or tyrosine kinase 3 (FLT3) ligand []. Naked mRNA administration has made some progress in both cancer vaccines [] and infectious disease vaccines [].
Some ex vivo loading methods have been used for immunological application of mRNA. Although DCs have been shown to engulf naked mRNA in vivo, ex vivo transfection still has higher efficiency and specificity. In these cases, mRNA is introduced by electroporation, forming membrane pores and directly entering the cytoplasm. The ex vivo mRNA loading strategy was applied to DCs [] and CAR-T cells [,]. The ex vivo procedure is usually associated with superfluous costs and risks, but this shortcoming no longer exists with CAR-T, which initially involves an ex vivo procedure. In vivo electroporation has been used in preclinical studies to increase uptake efficiency [,].
3.2. Liposome and RNA Lipoplexes (LPX)
Lipids have always been attractive materials for mRNA transfer because they are selectively electrical and biodegradable. Among them, cationic lipids are the first choice for nucleic acid delivery because they carry an electrical charge opposite to that of RNA. Liposomes are closed spherical lipid bilayers that form an internal cavity that can hold aqueous solutions. Liposomes usually contain cationic lipids (DOTAP [] and DOTMA []) that can bind negatively charged RNA and some helper lipids (DOPC, DOPE, and DSPC) to form the lipid bilayer structure.
RNA LPX refers to cationic liposomes that are mixed with RNA. Liposomes are lipid carriers of nucleic acids that are used as transfection reagents in vitro. Owing to their positive surface charge, they can form complexes (spherical or continuous bilayer structures) with negatively charged nucleic acids. LPX was first used for RNA delivery in 1989, inspired by its success in DNA delivery [], and has now been widely used for mRNA vaccine delivery. RNA-LPX was prepared by diluting the RNA with liposomes in ethanol and sodium chloride solutions at a selected charge ratio [].
Changing the ratio of cationic lipids to RNA could alter target specificity. Decreasing cationic lipid content could allow systematic delivery to the spleen. This improved mRNA-LPX, when injected intravenously, could systematically be targeted to the spleen DCs and serve as a cancer vaccine []. The same formulation is effective in the treatment of autoimmune encephalomyelitis by delivery of autoantigens [] and in the treatment of melanoma by delivery of tumor-associated antigens (TAAs) []. LPX mRNA can be administered via several routes, with intravenous administration being the most common. Intravenous administration showed the highest delivery efficiency and satisfactory immune organ specificity. LPX mRNA is mainly used for the systematic delivery of cancer vaccines, and several projects are in clinical trials (summarized in another review []).
3.3. Lipid Nanoparticle (LNP)
At present, the LNP-based mRNA delivery system is considered to be one of the most advanced and promising delivery systems, particularly after the great progress achieved with regard to the COVID-19 vaccine. LNPs differ from liposomes in that they have micellar structures within their particle core [].
LNPs typically contain four types of lipid materials: cationic or ionizable lipids, cholesterol, phospholipids, and polyethylene glycol (PEG) lipids. Of these, cationic/ionizable lipids play an important role in forming a core with mRNA through electrostatic interactions to protect against RNase. LNPs are prepared via self-assembly and rapid mixing, which is generally facilitated by microfluidic chip devices [].
Initially, cationic lipids, such as DOTMA/DOTAP, were used because they not only bind anionic mRNA but also fuse the membrane to promote cellular uptake and endosomal escape. Although cationic lipids showed promising effects for successful delivery, the permanent charge they carried resulted in high cytotoxicity and limited their potential applications []. Ionizable lipids, which have no charge at physiological pH but become positively charged at low pH, were introduced as second-generation cationic lipids to reduce cytotoxicity. In the preparation of LNPs, ionizable lipids carry a positive charge and efficiently bind mRNA. This type of ionizable LNP remained neutral in a physiological pH environment, thus reducing cytotoxicity. In addition, endocytosis of LNPs could trigger a pH decrease mediated by the proton pump, allowing them to escape more easily [,]. Hundreds of ionizable lipids have been developed for various applications. Several parameters, such as tail length, unsaturation, branching, and pKa, significantly influence the properties of ionizable lipids. The unsaturation and tail length of ionizable lipids affect the pKa, fusogenicity, cellular uptake, and delivery efficiency []. Unsaturated ionizable lipids with proper unsaturation have higher efficiency in mRNA delivery [,]. pKa is thought to affect the particle characteristics, cellular uptake, and endosomal escape. Some studies have shown that the optimal pKa value for mRNA delivery to the liver is 6.2–6.8; however, it varies from organ to organ [,]. Multi-tailed [] and branched-tail [] ionizable lipids have also been developed and have progressed in their expression. Significant efforts have been made to optimize these properties to achieve the best delivery efficiency and lowest cytotoxicity. The nitrogen-to-phosphate (N/P) ratio is a major property in LNP packaging formulations, and most formulas adopt a ratio of 6 or 3. DLin-MC3-DMA, which was optimized from DODMA, DLin-DMA, and DLin-KC2-DMA [], is a promising product for use in commercial siRNA drugs [] and various mRNA applications [,,]. ALC-0315 and SM-102 were used by BioNTech and Moderna, respectively, for the COVID-19 vaccine [] (Figure 4). Many companies have developed various ionizable compounds, such as LP01 (Intellia Therapeutics) [] and ATX (LUNAR composition, Arcturus) [], which have been described in detail in another review [].

Figure 4.
Molecular structures of lipids used in three FDA-approved clinical applications.
Helper lipids, including phospholipids and cholesterol, are incorporated to promote formulation stability, membrane fusion, and escape from the endosome []. For example, 1,2-distearoyl-sn-glycero-3-phosphocholine (DSPC) is a widely used helper phospholipid that can stabilize the structure of LNPs []. Both the mRNA-1273 [] and BNT162b2 [] COVID-19 vaccines use DSPC. DOPE is another commonly used phospholipid. Some studies show that an optimized formulation containing DOPE instead of DSPC could destabilize endosomal membranes to promote endosomal escape []. Hydrophobic and rigid cholesterol can fill the gaps in lipid membranes to stabilize the structure, as it plays a role in the cytoplasmic membrane []. PEG is normally anchored to lipids to prolong their half-life in the circulation [] by decreasing macrophage-mediated clearance [] and apolipoprotein adhesion. In addition, modification of PEG could improve steric stability to extend storage time []. DMG-PEG is the most commonly used agent, whereas some formulations contain DSPE-PEG to further extend the half-life in the circulation. DSPE-PEG has saturated alkyl chains (C18) in contrast to DMG-PEG (C14). Longer alkyl chains affect the efficiency of cellular uptake and endosomal escape but dissociate more slowly in the circulatory system []. The amount of incorporated PEG lipid determines the particle size [].
In addition to their successful application in the local delivery of vaccines, LNPs have also enabled targeted delivery to organs via systematic administration [,]. This specificity of organ selectivity is mainly based on the global/obvious pKa of the lipid and serum protein interactions of selective organ-targeting (SORT) nanoparticles []. The alkyl length of the lipid can also alter delivery to the target organs, such as the liver and spleen []. Neurotransmitter-derived lipidoids (NT-lipidoids) have also been developed to transport mRNA cargo across the blood–brain barrier (BBB). Cell-targeted delivery can also be achieved by decoration with targeted antibodies [,]. This type of LNP-targeting T cell has been shown to produce CAR-T cells in vivo by targeted delivery of mRNA encoding CAR []. The formulation could also be modified by adding new components to improve performance, for example, the addition of poly (disulfide amide) (PDSA) to promote triggered release in cancer [,].
In addition to release specificity, release efficiency is another important concern for LNPs. Lipid materials induce efficient cellular uptake; however, very few mRNA transporters can escape from endosomes and enter the cytosol. Studies on siRNA [] and mRNA [] revealed that less than 5% could escape from the endosome because the RNA could only be released within a limited time window []. Although many efforts have been made to elucidate the mechanism of endosomal escape, it remains unclear to date.
Several quality control standards have been established to ensure the safety and efficacy of the mRNA-LNP products. The encapsulation efficiency and concentration of mRNA are usually determined using the Quant-iT RiboGreen RNA assay []. The physicochemical properties of the particles, including particle size distribution, polymer dispersity index (PDI), and zeta potential, were measured using particle size analyzers. The morphology, size, and structure of the nanoparticles were visualized using transmission electron microscopy (TEM). Intraserum stability [], anti-RNase performance, and storage stability [] were also evaluated to ensure a stable product quality. The payload distribution and capacity of mRNA-LNPs are critical but remain a challenge, and some researchers have developed a method based on multi-laser cylindrical illumination confocal spectroscopy (CICS) [].
3.4. Polymer-Based Nanoparticles
Polymeric materials, such as polyetherimide (PEI), poly-L-lysine (PLL), polyamidoamine (PAMAM), and poly (lactic-co-glycolic acid) (PLGA), are other options that are not as clinically advanced as lipids (Figure 5). Polymeric materials have the advantages of easy synthesis and scalability. However, they have some disadvantages compared to lipids, such as polydispersity and biodegradability. To overcome the shortcomings of biodegradability, various efforts have been made to extend branching structures [] or construct biodegradable domains [].

Figure 5.
Structures of lipoplexes, lipid nanoparticles, and polyplexes.
PEI is one of the most widely used polymeric materials, and its linear derivative is commercially available and can be used for mRNA delivery []. However, PEI is still highly toxic because commercial high-molecular-weight PEI is not degradable []. Some researchers have tried to solve this problem by adding acid-labile imine linkers [] or by reducing its molecular weight and introducing branching [].
Most polymeric materials are cationic; however, PLGA is anionic and has received FDA approval for certain applications. Anionic polymers are unlikely to bind to negatively charged mRNA, so they are always used in conjunction with other cationic polymers. PLGA improves delivery efficiency [] and prolongs the half-life of the mRNA complex in the circulatory system [,]. By coupling an anti-CD8 antibody to another anionic material, polyglutamic acid (PGA), nanoparticles of poly (β-amino ester) (PbAE)/PGA-anti-CD8 were sufficient to target circulating T cells. mRNA could be delivered to T cells by injection, and encoded CARs or TCRs could mediate therapeutic effects [].
3.5. Cationic Nanoemulsions (CNEs)
CNEs are oil-phase dispersions in the aqueous phase. CNEs are mainly composed of two parts: one is a cationic lipid such as DOTAP, which can be added to the oil phase to bind mRNA; the other is an oil-in-water emulation adjuvant composed of squalene and surfactants. CNEs are prepared by different strategies, in which the aqueous phase containing buffer and Tween is mixed with the oil phase containing cationic lipid, Span 85, and squalene []. It has been used mainly for DNA transport and as a self-amplifying mRNA vaccine with valid efficacy [].
3.6. Protamine-Based Delivery
In addition to cationic lipids, negatively charged mRNA can also be transferred by cationic peptides via electrostatic interactions. Similar to lipids, the amount incorporated into the complex and the expression efficiency of charged mRNA are determined by the N/P ratio []. Protamine is one of the best-known cationic peptides and was used in early studies. Protamine and mRNA can form condensed nanoparticles that protect mRNA from degradation by serum RNase [,]; however, this overly tight combination could also impair expression efficiency []. Protamine-formulated mRNA elicited a stronger immune response than naked mRNA [] but could be advantageous in the application of mRNA vaccines [,,].
4. mRNA-Based Cancer Immunotherapies
Immunotherapies are used to eliminate cancer cells by activating the innate and adaptive immunity, and various studies and strategies have been well tested. Owing to their efficacy and wide range of applications, immunotherapies are considered the most promising strategies for cancer treatment. There are a number of stepwise processes in the immune response to cancer. First, cancer cells release antigens that are taken up by DCs, presented on the major histocompatibility complex (MHC), and recognized by T cells to initiate proliferation and activation. Effector T cells then recognize and kill cancer target cells via T cell receptors (TCRs) and peptide–MHC-specific recognition, releasing more tumor antigens to expand the immune response. However, there are many reasons for the poor performance of the autoimmune response in patients with cancer. For example, (1) a low abundance of tumor antigens protects them from being presented by MHC; (2) DCs and T cells cannot recognize the antigens due to peripheral tolerance; (3) immunosuppression may be caused by the tumor microenvironment; and (4) immune suppression markers on the surface of cancer cells assist cancer cells in causing immune suppression [,]. To restore and strengthen cancer immunity, cancer immunotherapies that target different targets have been developed. Among these, cancer vaccines based on mRNA platforms have been rapidly developed. In particular, the recent FDA approval of two mRNA-LNP vaccines for COVID-19 prevention makes the clinical use of mRNA vaccines in cancer treatment promising. In this review, we present the preclinical/clinical cases, characteristics, and prospects of mRNA-based cancer immunotherapies. Based on the different mechanisms of immunotherapies mediated by mRNA [], mRNAs can be divided into (1) neoantigen mRNA, (2) tumor-associated antigen (TAA) mRNA, (3) antibody mRNA, and (4) immunomodulator mRNA (Figure 6).

Figure 6.
Overview of mRNA-based cancer immunotherapies.
4.1. Neoantigen mRNA Vaccines
The most critical aspect of tumor antigen mRNA vaccine design is the selection of antigens that are ideally expressed only by cancer cells and are immunogenic []. This class of cancer cell epitopes is referred to as neoantigens or tumor-specific antigens (TSAs). In non-viral pathogenic human tumors, new epitopes are exclusively generated by tumor-specific DNA alterations caused by genetic instability []. These DNA changes include nonsynonymous mutations, frameshift mutations (insertions or deletions), gene fusions, post-translational modifications that alter the amino acid sequence, and intron retention [,,,,]. In addition, post-translational modifications that alter the amino acid sequence and intron retention at the mRNA level can lead to the expression of non-autologous proteins. These new epitopes with individual specificity, called neoantigens [], enable the immune system to recognize and destroy a tumor carrying these mutations. Epitopes from viral open reading frames (ORF) also contribute to neoantigens in virus-associated tumors, such as those caused by human papillomavirus (HPV). Thereafter, they undergo cytosolic degradation, are processed into short peptides (8–10 amino acid residues), and then transported to the endoplasmic reticulum to be loaded onto HLA molecules []. In contrast to autologous sequences, to which the immune system is tolerant, the ‘foreign’ peptide will be recognized by the T cell receptor (TCR) of CD8+ T cells and activated cytotoxic T lymphocytes (CTLs), which are responsible for the killing of tumor cells [,]. However, although tumor cells have many mutations, few are recognized by the patient’s own T cells, because neoantigen-specific T cell reactivity is generally limited to a few mutant epitopes []. One way to break the immune tolerance of T cells is to use mRNA to express neoantigen peptides to establish systemic DC targeting and neoantigen-specific T cell immunity.
Some neoantigens have high prevalence and conserved mutation profiles and are referred to as shared neoantigens, which have significant potential for use as broad-spectrum therapeutic cancer vaccines for patients with the same mutated genes. When the same neoantigen is present in a patient’s tumor cell, the corresponding off-the-shelf neoantigen-targeted immunotherapy can be used for treatment, which can significantly shorten the development cycle. For example, BRAF V600E, ERBB2 S310F, KRAS G12D, PIK3CA E545K, etc., are all generated by somatic mutations that are common in cancer patients []. Approaches to predict and prioritize immunogenic shared neoantigens are becoming more comprehensive, opening up new opportunities to develop neoantigen-targeted therapies in a very general way. For example, researchers have used computational epitope prediction, biochemical analysis, and proteomic analysis to predict and identify an mKRAS G12 peptide with high stability and affinity to HLA-A and HLA-B in a specific race []. In 2018, Moderna and Merck developed a novel shared antigen mRNA vaccine formulated with lipid nanoparticles called V941 (mRNA-5671), which targets the four most common KRAS mutations (G12D, G12V, G13D, and G12C) in solid tumors. Preclinical data show that after vaccination in a mouse model, the neoantigen is translated to induce CD8+IFN+ T cells that specifically target KRAS mutant tumor cells. Phase I trials of mRNA-5671 were recently completed in two groups (NCT03948763), either as monotherapy (intramuscular injection) or in combination with the anti-PD-1 antibody pembrolizumab (intravenous injection) to assess the safety and tolerability, involving 100 patients with lung, pancreatic, and colorectal cancers (not published yet). Since all types of HPV encode “early proteins” (E proteins: E1, E2, E6, E7) and “late proteins” (L proteins: L1, L2), the development of mRNA vaccines for HPV-positive malignancies has also evolved rapidly []. BNT113 (HPV16 E7 mRNA), an intravenous cancer vaccine that efficiently matures and amplifies antigen-specific effector and memory CD8+ T cells, was tested in mice using lipoplex (LPX) delivery. Its administration mediated tumor regression and prevented tumor recurrence in two HPV-positive mouse tumor models (TC-1 and C3) and showed a combined effect with PD-L1 inhibitors []. BNT113 in combination with anti-CD40 (HARE-40) is currently being tested in a phase I/II vaccine dose-escalation study in patients with advanced HPV16+ cancer (NCT03418480). Another phase II trial of BNT113 combined with pembrolizumab versus pembrolizumab alone as a first-line treatment in patients with HPV16+ head and neck cancer expressing PD-L1 is also underway (NCT04534205).
However, most cancer mutations are unique to each individual patient and require a personalized medical approach; thus, a highly specific procedure has been developed. Surgically resected tumors, tumor biopsies, and healthy blood cells were collected, and the extracted DNA from the samples was subjected to whole-exome and RNA sequencing to identify nonsynonymous mutations. Whether a mutation can be used as a therapeutic target depends on several critical factors []: (1) the mutated sequence can be translated into a protein in tumor cells, and the expression level of the originating gene should be greater than 33 TPM; (2) the mutated protein can be processed into a peptide; immunogenic peptides usually have low hydrophobicity and mutations do not occur at the second amino acid site; (3) the peptide can be presented by MHC with a binding stability greater than 1.4 h; (4) the mutated peptide has high affinity, which is usually stronger than 34 nM for MHC molecules; and (5) the mutated peptide–MHC complex has high affinity, ranging from 30 nM to 26 pM, for the T cell receptor (TCR) []. Therefore, the prediction of neoantigens requires not only the identification of mutations expressed in the genome, but also data on the patient’s MHC type []. A number of computational, biochemical, proteomic, and immunological assays have been used to predict the high affinity, immunogenicity, and expression efficiency of mutant peptides and HLA in tumors. Furthermore, a number of MS-based immunopeptidomic datasets such as IEDB [], SysteMHC Atlas [], and PRIDE [] have been used in machine learning for neoantigen prediction. Tools such as NetMHC [], MHCflurry [], NetMHCpan [], PSSMHCpan antigen-garnish [], pVAC-Seq [], and others have been widely used to predict peptide–HLA affinity based on various algorithms. The expression of mutated alleles and the processing and presentation of neoantigens can be confirmed by RNA-seq [], HLA immunoprecipitation, and targeted mass spectrometry separately []. However, candidate neoantigens selected on a computer may not be recognized by T cells; therefore, it is necessary to verify the presentation and immunogenicity of neoepitopes [,]. Biochemical assays were performed to characterize the affinity and stability of peptide–HLA (p-HLA). Immunological datasets were collected by co-culturing T cells with mature dendritic cells (mDCs) pulsed with candidate epitopes [,] or stimulating peripheral blood mononuclear cells (PBMCs) from patients with neoepitopes, followed by T cell activation assessment by IFN-γ-ELISPOT, flow cytometry, etc. []. Subsequently, a series of potentially immunogenic peptides can be selected based on their immunogenicity and protein-binding affinity.
A one-step procedure for the design and synthesis of neoantigenic mRNA has been developed. A patient-tailored DNA plasmid encoding a selected set of several neoantigens in tandem with minigenes (TMGNEO plasmid) was developed (Figure 7). It has been reported that the combination of an N-terminal leader peptide with MITD bound to the C-terminus of the antigen significantly improves the presentation of HLA epitopes in DCs []. The TMG template design consists of the T7 promoter, sequences encoding the MHC-I signal peptide (SP), TMGNEO, the trafficking domain of major histocompatibility complex class I (MITD), two consecutive 3’-untranslated regions of human β-globin, and 120 adenosine poly(A) tails []. To generate a tandem minigene, minigenes were linked with a non-immunogenic glycine/serine linker [,,]. After plasmid synthesis, in vitro-transcribed mRNA can be produced, which can be used for ex vivo loading of autologous DCs or LNP encapsulation to produce the final vaccine [].

Figure 7.
Design for TMGNEO pDNA. Abbreviations: ARGS, antibiotic resistance genes; T7-P, T7 promoter; SP, signal peptide; TMG, tandem of minigenes; MITD, the trafficking domain of major histocompatibility complex class I; GS, glycine/serine linker.
BioNTech SE has developed an iNeST platform for patient-specific cancer antigen therapy, including BNT121 and BNT122. BNT121, a vaccine containing 10 neoantigens, was tested by intranodal administration in 13 melanoma patients. It was found to induce T cell infiltration to kill tumor cells and to have recurrence-free disease activity (NCT02035956) []. Strong immunogenicity has also been observed in a number of tumor types following injection of BNT122 (RO7198457), which contains up to 20 patient-specific novel epitopes (NCT03289962). mRNA-4157 is another personalized mRNA cancer vaccine developed by Moderna, which contains 20 neoepitopes with strong immunogenicity selected according to the unique characteristics of the patient’s immune system and specific mutations. The mRNA is encapsulated in the LNP, and the vaccine is injected intramuscularly. The drug is being tested for an acceptable safety profile and observed clinical responses in patients with solid tumors (NCT03313778) and melanoma (NCT03897881) (Table 1).

Table 1.
Clinical trials of neoantigen mRNA.
4.2. TAA mRNA Vaccines
In addition to neoantigen vaccines, another class of tumor antigen vaccines is also widely used, namely tumor-associated antigen (TAA) vaccines [,]. TAAs are autoantigens that are preferentially or abnormally expressed in tumor cells and can also be expressed at certain levels in normal cells. They can be classified into the following categories [,]: (1) cancer/germline antigens (or cancer testis antigens), which are normally expressed only in immune-privileged germline cells but are transcriptionally reactivated in tumor cells (e.g., melanoma antigen gene family (MAGE), B-M antigen-1 (BAGE), New York esophageal squamous cell carcinoma (NY-ESO-1), and synovial sarcoma X chromosome breakpoint-2 (SSX-2)) []; (2) cell lineage differentiation antigens, which are derived from normal tissues (e.g., tyrosinase, glycoprotein 100 (gp100), melanoma antigen recognized by T cells 1 (Melan-A/MART-1), prostate-specific antigen (PSA) and prostate acid phosphatase (PAP) in prostate cancer, and mammaglobin-A (MAM-A) in breast cancer) []; and (3) proliferation-, differentiation-, and antiapoptosis-related proteins with tumor-selective high expression contributing to the malignant phenotype (e.g., carcinoembryonic antigen (CEA), human telomerase reverse transcriptase (hTERT), human epidermal growth factor-2/neu (HER2/Neu), baculoviral inhibitor of apoptosis repeat-containing protein 7 (livin), baculoviral inhibitor of apoptosis repeat-containing 5 (survivin), and mucin-1 (MUC-1)) []. Despite significant differences in the expression of TAAs in normal tissues and cancer cells, TAAs are characterized by low tumor specificity and low immunogenicity [,]. Therefore, cancer vaccines using these antigens must be sufficiently effective to break immune tolerance with several features. Incomplete peripheral tolerance of TAA-reactive T cells and very low expression of TAA in peripheral tissues are critical for restoring immunoreactivity via expression of the relevant TAA in APCs [].
In 1995, the first TAA mRNA encoding the human carcinoembryonic antigen CEA was constructed, capped, polyadenylated, and stabilized by the 5′ and 3′ UTRs of human β-globin. After the injection of naked mRNA into mice, CEA antibody production was observed, which was the first proof of concept for TAA mRNA vaccines for cancer therapy []. A series of TAA mRNAs were then validated in a mouse cancer model, including gp100 [], melanoma antigen recognized by T cells 1 (MART1) [], and tyrosinase-related protein 2 (TRP2) [,] in B16F10 melanoma tumors, cytokeratin19 mRNA in Lewis lung cancer [], and CD133 mRNA in gliomas [].
The main problem in the development of TAA mRNA vaccines is the achievement of immunogenicity from TAA. The use of multiple shared TAA mRNA has become the main trend in the development of clinical cancer vaccines, which have been verified in various clinical trials and show strong potential for the induction of antitumor immune responses [] (Table 2). Vaccination with DCs electroporated with mRNA encoding WT1 (NCT00965224) or WT1, PRAME, and CMVpp65 (NCT01734304) or CT7, MAGE-A3, and WT1 mRNA (NCT01995708) or WT1/PRAME (NCT02405338) mRNA was tested in acute myeloid leukemia (AML). An increase in antigen-specific T cells and induced antibody responses was observed [,], and overall survival (OS) improved [].

Table 2.
Clinical trials of TAA mRNA.
Melanoma, a form of skin cancer, is a malignant tumor that is prone to metastasis. Because of the location of the lesion, which lends itself to the local injection of mRNA with a high degree of safety, melanoma mRNA vaccines have been tested in several clinical trials and have significantly advanced. BNT111, a mixture of RNA-LPX encoding four TAAs (NY-ESO-1, MAGE-A3, tyrosinase, and TPTE), has shown great therapeutic potential alone or in combination with the PD-1 inhibitor, inducing strong CD4+ and CD8+ T cell immunity and maintaining antitumor effects for months after vaccination was ceased []. Moderate flu-like symptoms (such as fever and chills), which were classified as grade 1-2 adverse events, occurred in 5% of the patients (NCT02410733). Based on these results, BNT111 was fast-tracked by the FDA for a phase II clinical trial with the anti-PD-1 antibody cemiplimab in patients with anti-PD-1 refractory or relapsed, unresectable stage III/IV melanoma (NCT04526899). The BNT112 cancer vaccine has also been tested as monotherapy or in combination with cemiplimab in patients with prostate cancer (NCT04382898). BNT114 (a mixture of TAA mRNAs encoding breast cancer antigens) and BNT115 (a mixture of three ovarian cancer antigen mRNAs) are being developed. Reinhard et al. described another strategy, called CarVac, in which TAA mRNA was used as a chimeric antigen receptor (CAR)-T therapy stimulator to achieve adjustable expansion of low doses of CAR-T cells. CLDN6-CAR-T cells gradually disappeared from the tumor microenvironment (TME) in the absence of a proliferation signal. Administration of CLDN6 mRNA-LPX (BNT211) effectively induced APCs to present antigens, and the number of CLDN6-CAR-T cells peaked 3-4 days after vaccination and then declined. Good safety and efficacy have also been demonstrated after multiple administrations [].
Another mRNA drug company, CureVac AG, has developed a series of RNActive® vaccines that use chemically unmodified, sequence-optimized mRNA to encode TAAs for cancer treatment []. Specific cytotoxic T lymphocytes and antibodies can be induced by exposure to unmodified mRNA to produce self-adjuvants. CV9103, a prostate cancer vaccine containing protamine-stabilized mRNA encoding the antigens PSA, PSCA, PSMA, and STEAP1, was well tolerated in a clinical trial of 48 participants and induced immune responses that could lead to prolonged patient survival [] (NCT00906243, NCT00906243). CV9201 is another mRNA-based cancer immunotherapy encoding five TAAs (NY-ESO-1, MAGE-C1, MAGE-C2, survivin, and 5T4). In 60% of the patients, there was more than a twofold increase in B cells directed against antigens after treatment with CV9201 []. CV9202 contains mRNAs encoding six different NSCLC TAAs (MUC-1, survivin, trophoblast glycoprotein, NY-ESO-1, MAGE-C1, and MAGE-C2) (NCT01915524). Following intradermal administration, antigen-specific immune responses increased in 84% of patients; 80% of patients had a 40% increase in antigen-specific antibody levels and functional T cell levels, and 52% of patients had multiple antigen specificities [] (NCT01915524). Based on these studies, CV9202 has also been evaluated in phase I/II studies in combination with the anti-PD-L1 antibody durvalumab or the anti-CTLA4 antibody tremelimumab, administered subcutaneously with a needle-free injection device (NCT03164772).
Standardization of TAA mRNA construction is also possible; BNT111 is a good example. The addition of a 5′-cap analog, 5′ and 3′ UTRs, and a poly(A) tail can increase mRNA stability and translation efficiency. The full-length TAA-coding sequence was tagged with a signal peptide (SP), tetanus toxoid CD4+ epitopes P2 and P16, and MITD for enhanced HLA presentation and immunogenicity [] (Figure 8).

Figure 8.
Design for TAA mRNA. Abbreviations: SP, signal peptide; P2 and P16, the tetanus toxoid CD4+ epitopes P2 and P16; MITD, major histocompatibility complex class I; linker, glycine/serine linker.
In TAA mRNA vaccines, other strategies have been used to activate antigen-presenting cells, such as the electrical transfer of DC in adoptive therapy or administration of antigen mRNA targeting the spleen. These strategies have considerable therapeutic value in AML and offer potential treatment options for non-solid cancers that are difficult to treat.
Clinical trials with an mRNA cancer vaccine have shown that vaccination against mutant epitopes or TAAs was safe and well tolerated, with most of these conditions being early onset, transient, and manageable. When injected intramuscularly, the most common adverse events of mRNA-LNP were pain at the injection site, fatigue, headache, arthritis, and myalgias []. When the mRNA-based cancer vaccine was administered intravenously by LPX, the clinical adverse events were mild to moderate flu-like symptoms, such as pyrexia and chills []. Future preclinical and clinical studies should investigate potential safety concerns such as local and systemic inflammation.
4.3. mRNA Encoding Ab
Since the development of hybridoma technology for the production of monoclonal antibodies (mAbs) in 1975, antibodies have become the most rapidly developing cancer-targeted drugs []. A series of antibodies that mediate tumor cell killing by antibody-dependent cellular cytotoxicity (ADCC), antibody-dependent cell phagocytosis (ADCP), and complement-dependent cytotoxicity (CDC) activities, or by immunosuppressive signal blockade, are well used in clinical trials. Conventional antibodies consist of antigen-binding sites (Fabs) and constant region (Fc) fragments. Fab fragments bind to tumor antigens and the Fc region lyses cancer cells by interacting with Fc receptors (FcγRs) on effector cells (such as NK cells and macrophages) []. Many chimeric antibodies against cancer antigens (murine Fab and human Fc regions) have been approved for clinical use (Table 3). In addition, many immune checkpoint inhibitors (ICIs) are also widely used in immunotherapies [,,,] (Table 4) and are often combined with other therapies (such as neoantigen mRNA and TAA mRNA). In addition to traditional antibodies, antibody fragments (including single-chain variable fragments (scFvs) and single-domain antibodies (sdAds)) and bispecific/multispecific antibodies have shown great potential in immunotherapies. Bispecific antibodies (bsAbs) have two antigen-binding arms and function to mediate immune cell killing by forming a T cell–bsAb–tumor cell complex, blocking two receptors of tumor cells [].

Table 3.
Clinically approved mAbs.

Table 4.
Clinically approved ICI mAbs.
However, customization of each antibody, quality control, and purification are challenges for mass antibody production. Therefore, the use of mRNA to generate intact mAbs in vivo was tested. Compared with protein antibody therapy, mRNA platforms have some unique advantages: (1) different antibodies can share the same design, production, and purification protocol of IVT mRNA; (2) optimized variants can be produced by changing the coding region of the IVT mRNA; (3) IVT mRNA uses the cells’ own ribosomes to encode proteins and undergoes correct assembly and post-translational modification; (4) as the serum half-life of the mRNA-encoded Ab is determined by the half-life of both the Ab itself and the mRNA, the half-life of short-lived proteins can be extended []; and (5) in the current study, there was no upper dose and no dose-limiting toxicity for antibody mRNA administration. mRNA therapy features easy quality control, rapid production, and good tolerance and safety, which makes it a better mAb protein alternative [].
In 2008, CureVac attempted the expression of mRNA-encoded antibodies against HER2, EGFR, and CD20 in vitro. Nine years later, the CureVac team tried to use mRNA-LNPs encoding the anti-CD20 antibody rituximab in vivo and established high serum titers in mice with curative effects of significant inhibition of tumor cell growth in lymphoma models, demonstrating for the first time that mAb mRNA is effective in cancer immunotherapy []. Rybakova et al. tested the pharmacokinetics and pharmacodynamics of the mRNA-encoded anti-HER2 antibody, trastuzumab, and demonstrated its anticancer activity [].
In addition to monoclonal antibodies, a series of mRNA-encoded bispecific antibodies (bsAbs) have been developed. Two chemokines, chemokine ligand 2 (CCL2) and CCL5, play major roles in the accumulation of tumor-associated macrophages (TAMs) and induction of immunosuppression in hepatocellular carcinoma (HCC). To prevent immune cell chemotaxis, a bsAb, BisCCL2/5i, which binds CCL2 and CCL5, was developed by Wang et al. The drug effectively promotes the differentiation of TAM into the antitumoral M1 phenotype and reverses immunosuppression in the TME. The use of BisCCL2/5i renders HCC sensitive to trimeric PD-1 ligand inhibitors (PD-Li) and prolongs survival in liver malignancy models [].
Bispecific T cell engagers (BiTEs) are a class of bsAbs without the Fc region. They consist of two single-chain variable fragments (scFv) joined by a flexible linker. One scFv recognizes the T cell surface protein CD3, whereas the other scFv binds to a target antigen on cancer cells. This specific structure of BiTEs enables the localization of T cells to tumor cells and thus mediates tumor killing []. Stadler et al. generated a RiboMab platform with three BiTE mRNAs targeting three tumor-associated antigens (TAAs) (CD3 × tight-junction proteins claudin 6 (CLDN6), claudin 18.2 (CLDN18.2) × CD3, and epithelial cell adhesion molecule (EpCAM) × CD3). mRNA-encoded CD3×CLDN6 BiTE (which remained above half-maximum levels for up to 6 days) had a longer duration in serum than protein (which was barely detectable after 24 h). CD3×CLDN6 and EpCAM×CD3 IVT mRNA in a human ovarian cancer xenograft mouse model showed complete tumor regression without a systemic immune response []. CD3×CLDN6 mRNA (BNT142) is currently in phase I/II clinical trials (NCT05262530) (Table 5).

Table 5.
Clinical trials of mRNA encoding Ab.
Although the number of clinical studies relying on mRNA antibody expression is still very limited, the applications of both mAb and bsAb have already been validated. Targeting cancer antigens, blocking immunosuppressive molecules on the surface of cancer cells, and mediating the antitumor effect of T cells through mRNA-encoded antibodies demonstrate the great potential of mRNA antibody immunotherapy. The development of mRNA antibody platforms is expected to lead to more optimal antibody design, longer half-life, and more clinical product applications in the future.
4.4. Immunomodulator mRNA Vaccines
The TME is closely associated with tumorigenesis and development. Tumor cells mediate immune suppression by releasing signaling molecules into the TME. This explains the difficulty in activating immune responses in tumors and results in the failure of cancer therapies in some patients []. Therefore, it is important to restore the antitumor immune response environment by regulating immunosuppression with immunomodulatory agents []. Clinically, injecting cytokines into cancer patients has become a cancer treatment strategy. For instance, more than 140 clinical trials have been launched to test type I interferon (IFN-I), which can directly induce apoptosis of tumor cells, prevent angiogenesis of tumor blood vessels, activate mDCs, and promote the differentiation of effector T cells []. Cytokines that activate antitumor effector cells (IL-12, IL-23, IL-36, GM-CSF, and IFN-α), costimulators (OX40L (CD252), inducible costimulatory ligand (ICOSLG/CD275), tumor necrosis factor receptor superfamily 9 (TNFSF9/4-1BBL/CD137L)), pattern-recognition receptor (PRR) agonists (TLRs and RIG-I agonists), and others are commonly used in immunotherapy []. Commonly used antitumor cytokines include interferons, interleukins, lymphokines, and tumor necrosis factors with various functions. Some have proinflammatory functions (IL-23, IL-36γ, IFN-α), stimulate the proliferation and differentiation of immune cells (CD70, IL-15, GM-CSF), or activate lymphocyte functions (IFN-γ, IL-12, IL-27). Costimulatory molecules act as stimulatory immune regulators to enhance the magnitude of immunological responses against malignant cells by binding to T cell surface receptors []. PRR agonists activate the innate immunity and release various cytokines to activate the immune system []. Current immunomodulator therapies have some clinical limitations, such as severe dose toxicity due to their short half-life, repeated administration, and systemic delivery (such as IL-12). Therefore, intratumoral (i.t.) and intradermal (i.d.) injections are commonly used to induce local immune responses. The standout advantages of both transiently induced protein expression and delivery via the local route make mRNA therapy well suited to modulate the TME, and a number of preclinical studies have been performed.
IL-12 is a well-described cytokine important for the activation of cytotoxic T lymphocytes (CTLs) and natural killer (NK) cells. In 2018, the therapeutic effect of IL-12 mRNA-LNPs on MYC oncogene-driven hepatocellular carcinomas (HCC) was verified []. In this case, the liver-targeted delivery feature of LNP was used to target HCC, but this mode of administration is not applicable to many other cancers. Then, more intratumorally (i.t.) delivered mRNA was tested in mice. Furthermore, because of the unique functions of each cytokine, the use of a single cytokine has limited effects on tumor treatment. Therefore, multiple cytokines with different functions are often combined to achieve improved therapeutic effects. The efficacy of IL-12, IL-27, GM-CSF, and their combination encapsulated in di-amino lipid nanoparticles was tested in the B16F10 model. Administration of IL-12 and IL-27 mRNA appeared to induce NK and CD8+ T cells in the TME and showed the best therapeutic effect []. Another preclinical study evaluated the intratumoral delivery of an mRNA mixture (IL-12, GM-CSF, IL-15, and IFN-α) in a B16F10/CT26 tumor model. mRNA expression increases the number of proinflammatory CD4+ and CD8+ T cells in the TME and induces an immune response in distal tumors. The addition of anti-PD-1 antibodies further improved the survival rate of the mice []. In 2019, Haabeth et al. established a precedent for the combination of cytokines and costimulator mRNA to initiate global anticancer immunity. They utilized a charge-altering releasable transporter mRNA delivery platform to induce the local expression of cytokines (CD70, IL-12, and IFN-γ) and costimulators (OX40L, CD80, and CD86) individually and in combination in two tumor models (A20B-cell lymphoma and CT26 colon carcinoma). Mice treated with OX40L mRNA showed complete eradication of both local and distal tumors, whereas those treated with other mRNA showed only a partial response. Furthermore, the combination of OX40L with CD80 or CD86, or OX40L with IL-12 dramatically increased both survival and tumor growth delay [].
These preclinical data suggest that some cytokines and costimulatory pathway molecules can be effective strategies to revitalize T cell responses in cancer, particularly when administered in combination or in combination with immune checkpoint antibodies. In 2006, the ability of the mRNA adjuvant to enhance the effect of the TAA mRNA vaccine was evaluated in a mouse model of prostate adenocarcinoma. GM-CSF mRNA co-delivery has been found to enhance the CTL response []. DC-activating FLT3 ligand mRNA further enhances the immunological efficacy of naked RNA vaccines [,]. More mRNA adjuvants have been used in clinical studies (Table 6). One of the pioneers of mRNA adjuvants is eTheRNA AG, which contains three naked mRNA molecules (constitutively active TLR4 (caTLR4), CD40L, and CD70). It promotes the activation and maturation of DCs, ex vivo or in situ, to activate T helper cells and CTLs [,,]. Administration of HPV/melanoma-associated TAA mRNA in conjunction with TriMix showed a promising clinical response without increased toxicity [,]. A phase I study on TriMix in breast cancer is also underway (NCT03788083). In the pipeline of Moderna, mRNA-2752, an OX40L/IL-23/IL-36γ cocktail mRNA drug, promotes tumor immune infiltration and tumor regression by inducing a broad immune response involving many DC types and lymphocytes. IL-36γ and IL-23 specifically interact to mediate antitumor efficacy, while the T cell costimulator OX40L significantly increases lymphocyte response rates. Notably, in an immunologically barren tumor mouse model (B16F10-AP3), the combination of the drug and ICIs increased survival to 85%, whereas tumor cells were insensitive to ICIs alone []. A dose-escalation study of mRNA-2752 in various advanced malignancies and an observational study of mRNA-2752 in combination with the anti-PD-1 antibody pembrolizumab in ductal carcinoma are also ongoing (NCT03739931, NCT02872025). Another mRNA adjuvant containing only OX40L (mRNA-2416) is also being tested for tolerability and safety in combination with the anti-PD-L1 antibody durvalumab in metastatic ovarian and lymphoma cancers (NCT03323398). Similarly, MEDI1191 (IL-12 mRNA) has also demonstrated excellent safety, tolerability, and efficacy in combination with durvalumab for the treatment of solid tumors (NCT03946800). Another IL-12 mRNA product, BNT151, developed by BioNTech, is currently in phase I testing for metastatic tumors (NCT03871348).

Table 6.
Clinical trials of immunomodulator mRNA.
These studies suggest that local modulator mRNA therapy enables many immunosuppressed or immune-cell-deficient TMEs to remodel their function and elicit a global immune response from various DCs and lymphocytes, showing exciting therapeutic results in distal tumors and multidrug-resistant metastatic tumors. In particular, when combined with ICIs, they show enhanced antitumor responses. We anticipate that modulators with different functions can be used in the field of cancer treatment to advance in situ vaccination against cancers and achieve long-term benefits.
4.5. Protein Replacement Therapy
Tumor suppressor genes (TSGs) play important roles in maintaining genome integrity and regulating cell proliferation, differentiation, and apoptosis. The loss of function of TSGs is usually associated with cancer development, progression, and treatment resistance []. In addition, several human cancer exome sequencing studies have uncovered a series of cancer driver genes, most of which are TSGs []. Several key signaling pathways and processes are associated with the most likely cancer-driving TSGs, including the Wnt/β-catenin pathway (adenomatous polyposis coli (APC), AXIN1, and cadherin-1 (CDH1)), the phosphoinositide 3-kinases (PI3K)/protein kinase B (AKT)/mammalian target of rapamycin (mTOR) pathway (phosphoinositide-3-kinase regulatory subunit 1 (PIK3R1), phosphatase and tensin homolog (PTEN), and tuberous sclerosis proteins ½ (TSC1/2)), cell growth and differentiation (ras superfamily, hedgehog protein family), apoptosis/cell cycle (tumor protein P53 (TP53), RB transcriptional corepressor 1 (RB1)), chromatin modifications (CREB-binding protein (CREBBP), tet methylcytosine dioxygenase 2 (TET2), Wilms tumor 1 (WT1), and ubiquitin carboxyl-terminal hydrolase BAP1 (BAP1)), DNA damage repair (serine-protein kinase ATM (ATM), serine/threonine-protein kinase ATR (ATR), breast cancer 1/2 (BRCA1/2), DNA mismatch repair protein MLH1 (MLH1), and DNA mismatch repair protein MSH2/6 (MSH2/6)), and transcriptional regulation (transcription factor GATA-3 (GATA3) and runt-related transcription factor 1 (RUNX1)) [,]. Loss of function occurs in most TSGs, and the cancer phenotype is mediated by hyperactivation of the mentioned pathways. In this case, a possible therapeutic approach would be able to inhibit downstream pathways by replenishing TSGs. However, when DNA transfection is used to restore functional copies, difficulties in delivery, genome integration, and mutation risk have become major obstacles to gene therapy. mRNA has been shown to be advantageous as an alternative to genes and proteins, and several preclinical studies have been conducted.
In a 2018 study, PTEN mRNA was encapsulated in PEG-coated polymer lipid hybrid nanoparticles (NPs) and introduced into PTEN-null prostate cancer cells in vitro and in vivo. Treatment with PTEN mRNA-NPs significantly promoted cancer cell apoptosis by inhibiting the PI3K/Akt pathway, and the therapeutic effect was verified in a mouse model of prostate cancer (PCa) xenograft []. In 2021, the team further investigated whether PTEN mRNA-NPs restored protein expression and autophagy was induced in PTEN-null cancer cells (B16F10 melanoma and anti-PD-1 ineffective prostate cancer). In addition, combinatorial treatment with anti-PD-1 antibody resulted in upregulation of CTLs and proinflammatory cytokines (e.g., IL-6, TNF-α, TNF-β, and IFN-γ) in the TME and downregulation of myeloid-derived suppressor cells (MDSCs), which also triggered immunological memory []. p53, one of the most frequently altered TSGs that promote apoptosis, was also tested in mRNA therapy. Kong et al. used redox-responsive particles (PDSA added) to deliver p53 mRNA in models of hepatocellular carcinomas (HCCs) and non-small-cell lung cancers (NSCLCs) and showed an effect on tumor growth inhibition. In addition, combination therapy with the mTOR inhibitor everolimus showed the strongest therapeutic effect on in situ tumors []. Furthermore, the team added a CXCR4-targeted peptide to hybrid NPs to achieve selective HCC targeting and high mRNA transfection efficiency. The combination of p53 mRNA-NPs and PD-1 blockade significantly reduced bloody ascites, pleural effusions, and lung metastases and prolonged survival in HCC model mice []. Lung-targeting LNPs were effectively used to introduce TSC2 mRNA into TSC2-null cells and suppress the mTOR pathway, resulting in improved control of tumor cell proliferation in a mouse model of pulmonary lymphangioleiomyomatosis [].
Although the application of TSG mRNA has not been extensively explored, this restoration strategy has been demonstrated in several mouse cancer models, demonstrating its transformative and powerful potential. Therapeutic effects have been achieved in combination with immune checkpoint blockade therapy. We look forward to further applications of TSG mRNA that will take advantage of the mRNA delivery platform and advance translational medicine.
5. Conclusions and Perspectives
However, the treatment of cancer is challenging. Most cancer vaccine trials have limited success rates in patients with advanced disease or refractory tumors. Most commonly, effective T cell induction activation is the main obstacle. Although tumor cells have many mutations, few are recognized by the patient’s T cells because the reactivity of tumor-antigen-specific T cells is usually limited to a few mutated epitopes. Using mRNA to express multiple neoantigen peptides or tumor-associated antigens to achieve systemic DC targeting and establish neoantigen-specific T cell immunity is one of the methods used to circumvent T cell immune tolerance []. In addition, immunotherapy includes ICIs or other means, such as chimeric antigen receptor T cells, which may have synergistic therapeutic effects with mRNA vaccines.
The current challenge in mRNA-based therapeutics lies in the improvement of stability and delivery specificity. The in vivo translation efficiency and stability of mRNA could be improved by optimizing mRNA technology, which requires a better understanding of RNA biology and translation processes. For example, the optimization of UTRs will increase translation efficiency and lead to tissue-specific mRNA translation []. Furthermore, delivery efficacy and specificity could be further improved, for example, to achieve systemic DC targeting. Achieving organ- or cell-selective mRNA delivery is the most important challenge in biomedical engineering and nanomedicine. Various lipid nanoparticles have been developed and optimized to increase cellular uptake and endosomal escape of mRNA-LNP formulations. Other lipid nanoparticles, such as antibody-conjugated LNPs and SORT LNPs, have been modulated to selectively accumulate in the target organs. Furthermore, hybrid nanoparticles containing polymers may facilitate the controlled release of mRNA. Other delivery strategies, such as the SEND system, can also be applied for mRNA delivery [].
In summary, significant technological innovations have made mRNA a new class of drug in vaccine development and other medical indications. Although mRNA medicines for cancer treatment encounter a tougher road to the clinic than mRNA vaccines against infectious diseases, we believe that advances in basic mRNA biology and delivery platforms will prove that in vitro-transcribed mRNA has the potential to revolutionize cancer therapies.
Author Contributions
Writing—original draft preparation, H.S., Y.Z. and G.W.; writing—review and editing, W.Y. and Y.X.; funding acquisition, Y.X. All authors have read and agreed to the published version of the manuscript.
Funding
This work was supported by funds from the National Key R&D Program of China (2021YFA1301400) and Shanghai Jiao Tong University Medical-Engineering interdisciplinary research key projects (YG2022ZD001).
Institutional Review Board Statement
Not applicable.
Informed Consent Statement
Not applicable.
Data Availability Statement
Not applicable.
Conflicts of Interest
The authors declare no conflict of interest.
References
- Brenner, S.; Jacob, F.; Meselson, M. An unstable intermediate carrying information from genes to ribosomes for protein synthesis. Nature 1961, 190, 576–581. [Google Scholar] [CrossRef]
- Wolff, J.A.; Malone, R.W.; Williams, P.; Chong, W.; Acsadi, G.; Jani, A.; Felgner, P.L. Direct gene transfer into mouse muscle in vivo. Science 1990, 247, 1465–1468. [Google Scholar] [CrossRef] [PubMed]
- Pardi, N.; Hogan, M.J.; Porter, F.W.; Weissman, D. mRNA vaccines—A new era in vaccinology. Nat. Rev. Drug Discov. 2018, 17, 261–279. [Google Scholar] [CrossRef]
- Sahin, U.; Derhovanessian, E.; Miller, M.; Kloke, B.P.; Simon, P.; Löwer, M.; Bukur, V.; Tadmor, A.D.; Luxemburger, U.; Schrörs, B.; et al. Personalized RNA mutanome vaccines mobilize poly-specific therapeutic immunity against cancer. Nature 2017, 547, 222–226. [Google Scholar] [CrossRef] [PubMed]
- Pogocki, D.; Schoneich, C. Chemical stability of nucleic acid-derived drugs. J. Pharm. Sci. 2000, 89, 443–456. [Google Scholar] [CrossRef]
- Gross, J.D.; Moerke, N.J.; von der Haar, T.; Lugovskoy, A.A.; Sachs, A.B.; McCarthy, J.E.G.; Wagner, G. Ribosome loading onto the mRNA cap is driven by conformational coupling between eIF4G and eIF4E. Cell 2003, 115, 739–750. [Google Scholar] [CrossRef]
- Flaherty, S.M.; Fortes, P.; Izaurralde, E.; Mattaj, I.W.; Gilmartin, G.M. Participation of the nuclear cap binding complex in pre-mRNA 3′ processing. Proc. Natl. Acad. Sci. USA 1997, 94, 11893–11898. [Google Scholar] [CrossRef]
- Gilmartin, G.M.; McDevitt, M.A.; Nevins, J.R. Multiple factors are required for specific RNA cleavage at a poly(A) addition site. Genes Dev. 1988, 2, 578–587. [Google Scholar] [CrossRef]
- Cooke, C.; Alwine, J.C. The cap and the 3′ splice site similarly affect polyadenylation efficiency. Mol. Cell. Biol. 1996, 16, 2579–2584. [Google Scholar] [CrossRef]
- Konarska, M.M.; Padgett, R.A.; Sharp, P.A. Recognition of cap structure in splicing in vitro of mRNA precursors. Cell 1984, 38, 731–736. [Google Scholar] [CrossRef]
- Lewis, J.D.; Izaurralde, E. The role of the cap structure in RNA processing and nuclear export. Eur. J. Biochem. 1997, 247, 461–469. [Google Scholar] [CrossRef]
- Visa, N.; Izaurralde, E.; Ferreira, J.; Daneholt, B.; Mattaj, I.W. A nuclear cap-binding complex binds Balbiani ring pre-mRNA cotranscriptionally and accompanies the ribonucleoprotein particle during nuclear export. J. Cell Biol. 1996, 133, 5–14. [Google Scholar] [CrossRef] [PubMed]
- Zust, R.; Cervantes-Barragan, L.; Habjan, M.; Maier, R.; Neuman, B.W.; Ziebuhr, J.; Szretter, K.J.; Baker, S.C.; Barchet, W.; Diamond, M.S.; et al. Ribose 2′-O-methylation provides a molecular signature for the distinction of self and non-self mRNA dependent on the RNA sensor Mda5. Nat. Immunol. 2011, 12, 137–143. [Google Scholar] [CrossRef] [PubMed]
- Jemielity, J.; Fowler, T.; Zuberek, J.; Stepinski, J.; Lewdorowicz, M.; Niedzwiecka, A.; Stolarski, R.; Darzynkiewicz, E.; Rhoads, R.E. Novel “anti-reverse” cap analogs with superior translational properties. RNA 2003, 9, 1108–1122. [Google Scholar] [CrossRef] [PubMed]
- Grudzien-Nogalska, E.; Jemielity, J.; Kowalska, J.; Darzynkiewicz, E.; Rhoads, R.E. Phosphorothioate cap analogs stabilize mRNA and increase translational efficiency in mammalian cells. RNA 2007, 13, 1745–1755. [Google Scholar] [CrossRef]
- Kuhn, A.N.; Diken, M.; Kreiter, S.; Selmi, A.; Kowalska, J.; Jemielity, J.; Darzynkiewicz, E.; Huber, C.; Tureci, O.; Sahin, U. Phosphorothioate cap analogs increase stability and translational efficiency of RNA vaccines in immature dendritic cells and induce superior immune responses in vivo. Gene Ther. 2010, 17, 961–971. [Google Scholar] [CrossRef]
- Wojtczak, B.A.; Sikorski, P.J.; Fac-Dabrowska, K.; Nowicka, A.; Warminski, M.; Kubacka, D.; Nowak, E.; Nowotny, M.; Kowalska, J.; Jemielity, J. 5′-Phosphorothiolate Dinucleotide Cap Analogues: Reagents for Messenger RNA Modification and Potent Small-Molecular Inhibitors of Decapping Enzymes. J. Am. Chem. Soc. 2018, 140, 5987–5999. [Google Scholar] [CrossRef]
- Rydzik, A.M.; Kulis, M.; Lukaszewicz, M.; Kowalska, J.; Zuberek, J.; Darzynkiewicz, Z.M.; Darzynkiewicz, E.; Jemielity, J. Synthesis and properties of mRNA cap analogs containing imidodiphosphate moiety—Fairly mimicking natural cap structure, yet resistant to enzymatic hydrolysis. Bioorg. Med. Chem. 2012, 20, 1699–1710. [Google Scholar] [CrossRef]
- Kowalska, J.; Wypijewska del Nogal, A.; Darzynkiewicz, Z.M.; Buck, J.; Nicola, C.; Kuhn, A.N.; Lukaszewicz, M.; Zuberek, J.; Strenkowska, M.; Ziemniak, M.; et al. Synthesis, properties, and biological activity of boranophosphate analogs of the mRNA cap: Versatile tools for manipulation of therapeutically relevant cap-dependent processes. Nucleic Acids Res. 2014, 42, 10245–10264. [Google Scholar] [CrossRef]
- Henderson, J.M.; Ujita, A.; Hill, E.; Yousif-Rosales, S.; Smith, C.; Ko, N.; McReynolds, T.; Cabral, C.R.; Escamilla-Powers, J.R.; Houston, M.E. Cap 1 Messenger RNA Synthesis with Co-transcriptional CleanCap((R)) Analog by In Vitro Transcription. Curr. Protoc. 2021, 1, e39. [Google Scholar] [CrossRef]
- Lockless, S.W.; Cheng, H.T.; Hodel, A.E.; Quiocho, F.A.; Gershon, P.D. Recognition of capped RNA substrates by VP39, the vaccinia virus-encoded mRNA cap-specific 2′-O-methyltransferase. Biochemistry 1998, 37, 8564–8574. [Google Scholar] [CrossRef]
- Sutton, G.; Grimes, J.M.; Stuart, D.I.; Roy, P. Bluetongue virus VP4 is an RNA-capping assembly line. Nat. Struct. Mol. Biol. 2007, 14, 449–451. [Google Scholar] [CrossRef] [PubMed]
- Malone, R.W.; Felgner, P.L.; Verma, I.M. Cationic liposome-mediated RNA transfection. Proc. Natl. Acad. Sci. USA 1989, 86, 6077–6081. [Google Scholar] [CrossRef]
- Zarghampoor, F.; Azarpira, N.; Khatami, S.R.; Behzad-Behbahani, A.; Foroughmand, A.M. Improved translation efficiency of therapeutic mRNA. Gene 2019, 707, 231–238. [Google Scholar] [CrossRef]
- Ding, Y.; Tang, Y.; Kwok, C.K.; Zhang, Y.; Bevilacqua, P.C.; Assmann, S.M. In vivo genome-wide profiling of RNA secondary structure reveals novel regulatory features. Nature 2014, 505, 696–700. [Google Scholar] [CrossRef] [PubMed]
- Kozak, M. An analysis of 5′-noncoding sequences from 699 vertebrate messenger RNAs. Nucleic Acids Res. 1987, 15, 8125–8148. [Google Scholar] [CrossRef] [PubMed]
- Ferreira, J.P.; Overton, K.W.; Wang, C.L. Tuning gene expression with synthetic upstream open reading frames. Proc. Natl. Acad. Sci. USA 2013, 110, 11284–11289. [Google Scholar] [CrossRef]
- Oliveira, C.C.; McCarthy, J.E. The relationship between eukaryotic translation and mRNA stability. A short upstream open reading frame strongly inhibits translational initiation and greatly accelerates mRNA degradation in the yeast Saccharomyces cerevisiae. J. Biol. Chem. 1995, 270, 8936–8943. [Google Scholar] [CrossRef]
- Sobczak, K.; Krzyzosiak, W.J. Structural determinants of BRCA1 translational regulation. J. Biol. Chem. 2002, 277, 17349–17358. [Google Scholar] [CrossRef]
- Jia, L.; Mao, Y.; Ji, Q.; Dersh, D.; Yewdell, J.W.; Qian, S.B. Decoding mRNA translatability and stability from the 5′ UTR. Nat. Struct. Mol. Biol. 2020, 27, 814–821. [Google Scholar] [CrossRef]
- Komar, A.A.; Hatzoglou, M. Cellular IRES-mediated translation: The war of ITAFs in pathophysiological states. Cell Cycle 2011, 10, 229–240. [Google Scholar] [CrossRef]
- Vivinus, S.; Baulande, S.; van Zanten, M.; Campbell, F.; Topley, P.; Ellis, J.H.; Dessen, P.; Coste, H. An element within the 5′ untranslated region of human Hsp70 mRNA which acts as a general enhancer of mRNA translation. Eur. J. Biochem. 2001, 268, 1908–1917. [Google Scholar] [CrossRef] [PubMed]
- Orlandini von Niessen, A.G.; Poleganov, M.A.; Rechner, C.; Plaschke, A.; Kranz, L.M.; Fesser, S.; Diken, M.; Lower, M.; Vallazza, B.; Beissert, T.; et al. Improving mRNA-Based Therapeutic Gene Delivery by Expression-Augmenting 3′ UTRs Identified by Cellular Library Screening. Mol. Ther. 2019, 27, 824–836. [Google Scholar] [CrossRef] [PubMed]
- Dai, W.; Zhang, G.; Makeyev, E.V. RNA-binding protein HuR autoregulates its expression by promoting alternative polyadenylation site usage. Nucleic Acids Res. 2012, 40, 787–800. [Google Scholar] [CrossRef] [PubMed]
- Tiedje, C.; Kotlyarov, A.; Gaestel, M. Molecular mechanisms of phosphorylation-regulated TTP (tristetraprolin) action and screening for further TTP-interacting proteins. Biochem. Soc. Trans. 2010, 38, 1632–1637. [Google Scholar] [CrossRef]
- Vlasova, I.A.; Bohjanen, P.R. Posttranscriptional regulation of gene networks by GU-rich elements and CELF proteins. RNA Biol. 2008, 5, 201–207. [Google Scholar] [CrossRef]
- Chaudhuri, A.; Das, S.; Das, B. Localization elements and zip codes in the intracellular transport and localization of messenger RNAs in Saccharomyces cerevisiae. Wiley Interdiscip. Rev. RNA 2020, 11, e1591. [Google Scholar] [CrossRef]
- Castillo-Hair, S.M.; Seelig, G. Machine Learning for Designing Next-Generation mRNA Therapeutics. Acc. Chem. Res. 2022, 55, 24–34. [Google Scholar] [CrossRef]
- Leppek, K.; Byeon, G.W.; Kladwang, W.; Wayment-Steele, H.K.; Kerr, C.H.; Xu, A.F.; Kim, D.S.; Topkar, V.V.; Choe, C.; Rothschild, D.; et al. Combinatorial optimization of mRNA structure, stability, and translation for RNA-based therapeutics. Nat. Commun. 2022, 13, 1536. [Google Scholar] [CrossRef]
- Sample, P.J.; Wang, B.; Reid, D.W.; Presnyak, V.; McFadyen, I.J.; Morris, D.R.; Seelig, G. Human 5′ UTR design and variant effect prediction from a massively parallel translation assay. Nat. Biotechnol. 2019, 37, 803–809. [Google Scholar] [CrossRef]
- Cao, J.; Novoa, E.M.; Zhang, Z.; Chen, W.C.W.; Liu, D.; Choi, G.C.G.; Wong, A.S.L.; Wehrspaun, C.; Kellis, M.; Lu, T.K. High-throughput 5′ UTR engineering for enhanced protein production in non-viral gene therapies. Nat. Commun. 2021, 12, 4138. [Google Scholar] [CrossRef]
- Asrani, K.H.; Farelli, J.D.; Stahley, M.R.; Miller, R.L.; Cheng, C.J.; Subramanian, R.R.; Brown, J.M. Optimization of mRNA untranslated regions for improved expression of therapeutic mRNA. RNA Biol. 2018, 15, 756–762. [Google Scholar] [CrossRef] [PubMed]
- Schoenberg, D.R. Mechanisms of endonuclease-mediated mRNA decay. Wiley Interdiscip. Rev. RNA 2011, 2, 582–600. [Google Scholar] [CrossRef]
- Presnyak, V.; Alhusaini, N.; Chen, Y.H.; Martin, S.; Morris, N.; Kline, N.; Olson, S.; Weinberg, D.; Baker, K.E.; Graveley, B.R.; et al. Codon optimality is a major determinant of mRNA stability. Cell 2015, 160, 1111–1124. [Google Scholar] [CrossRef]
- Gustafsson, C.; Govindarajan, S.; Minshull, J. Codon bias and heterologous protein expression. Trends Biotechnol. 2004, 22, 346–353. [Google Scholar] [CrossRef] [PubMed]
- Alexaki, A.; Kames, J.; Holcomb, D.D.; Athey, J.; Santana-Quintero, L.V.; Lam, P.V.N.; Hamasaki-Katagiri, N.; Osipova, E.; Simonyan, V.; Bar, H.; et al. Codon and Codon-Pair Usage Tables (CoCoPUTs): Facilitating Genetic Variation Analyses and Recombinant Gene Design. J. Mol. Biol. 2019, 431, 2434–2441. [Google Scholar] [CrossRef] [PubMed]
- Tats, A.; Tenson, T.; Remm, M. Preferred and avoided codon pairs in three domains of life. BMC Genom. 2008, 9, 463. [Google Scholar] [CrossRef] [PubMed]
- Tulloch, F.; Atkinson, N.J.; Evans, D.J.; Ryan, M.D.; Simmonds, P. RNA virus attenuation by codon pair deoptimisation is an artefact of increases in CpG/UpA dinucleotide frequencies. Elife 2014, 3, e04531. [Google Scholar] [CrossRef]
- Hia, F.; Yang, S.F.; Shichino, Y.; Yoshinaga, M.; Murakawa, Y.; Vandenbon, A.; Fukao, A.; Fujiwara, T.; Landthaler, M.; Natsume, T.; et al. Codon bias confers stability to human mRNAs. EMBO Rep. 2019, 20, e48220. [Google Scholar] [CrossRef]
- Vaidyanathan, S.; Azizian, K.T.; Haque, A.; Henderson, J.M.; Hendel, A.; Shore, S.; Antony, J.S.; Hogrefe, R.I.; Kormann, M.S.D.; Porteus, M.H.; et al. Uridine Depletion and Chemical Modification Increase Cas9 mRNA Activity and Reduce Immunogenicity without HPLC Purification. Mol. Ther. Nucleic Acids 2018, 12, 530–542. [Google Scholar] [CrossRef]
- Diebold, S.S.; Massacrier, C.; Akira, S.; Paturel, C.; Morel, Y.; Reis e Sousa, C. Nucleic acid agonists for Toll-like receptor 7 are defined by the presence of uridine ribonucleotides. Eur. J. Immunol. 2006, 36, 3256–3267. [Google Scholar] [CrossRef]
- Uzri, D.; Gehrke, L. Nucleotide sequences and modifications that determine RIG-I/RNA binding and signaling activities. J. Virol. 2009, 83, 4174–4184. [Google Scholar] [CrossRef]
- Saito, T.; Owen, D.M.; Jiang, F.; Marcotrigiano, J.; Gale, M., Jr. Innate immunity induced by composition-dependent RIG-I recognition of hepatitis C virus RNA. Nature 2008, 454, 523–527. [Google Scholar] [CrossRef]
- Runge, S.; Sparrer, K.M.J.; Lässig, C.; Hembach, K.; Baum, A.; García-Sastre, A.; Söding, J.; Conzelmann, K.-K.; Hopfner, K.-P. In vivo ligands of MDA5 and RIG-I in measles virus-infected cells. PLoS Pathog. 2014, 10, e1004081. [Google Scholar] [CrossRef]
- Chiang, C.; Beljanski, V.; Yin, K.; Olagnier, D.; Ben Yebdri, F.; Steel, C.; Goulet, M.-L.; DeFilippis, V.R.; Streblow, D.N.; Haddad, E.K.; et al. Sequence-Specific Modifications Enhance the Broad-Spectrum Antiviral Response Activated by RIG-I Agonists. J. Virol. 2015, 89, 8011–8025. [Google Scholar] [CrossRef] [PubMed]
- Brule, C.E.; Grayhack, E.J. Synonymous Codons: Choose Wisely for Expression. Trends Genet. 2017, 33, 283–297. [Google Scholar] [CrossRef]
- Yu, C.H.; Dang, Y.; Zhou, Z.; Wu, C.; Zhao, F.; Sachs, M.S.; Liu, Y. Codon Usage Influences the Local Rate of Translation Elongation to Regulate Co-translational Protein Folding. Mol. Cell 2015, 59, 744–754. [Google Scholar] [CrossRef] [PubMed]
- Walsh, I.M.; Bowman, M.A.; Soto Santarriaga, I.F.; Rodriguez, A.; Clark, P.L. Synonymous codon substitutions perturb cotranslational protein folding in vivo and impair cell fitness. Proc. Natl. Acad. Sci. USA 2020, 117, 3528–3534. [Google Scholar] [CrossRef]
- Zhang, H.; Zhang, L.; Lin, A.; Xu, C.; Li, Z.; Liu, K.; Liu, B.; Ma, X.; Zhao, F.; Yao, W. Lineardesign: Efficient algorithms for optimized mrna sequence design. arXiv 2020, arXiv:2004.10177. [Google Scholar]
- Vinciguerra, P.; Stutz, F. mRNA export: An assembly line from genes to nuclear pores. Curr. Opin. Cell Biol. 2004, 16, 285–292. [Google Scholar] [CrossRef] [PubMed]
- Kahvejian, A.; Svitkin, Y.V.; Sukarieh, R.; M’Boutchou, M.-N.; Sonenberg, N. Mammalian poly(A)-binding protein is a eukaryotic translation initiation factor, which acts via multiple mechanisms. Genes Dev. 2005, 19, 104–113. [Google Scholar] [CrossRef] [PubMed]
- Gray, N.K.; Coller, J.M.; Dickson, K.S.; Wickens, M. Multiple portions of poly(A)-binding protein stimulate translation in vivo. EMBO J. 2000, 19, 4723–4733. [Google Scholar] [CrossRef]
- Siddiqui, N.; Mangus, D.A.; Chang, T.-C.; Palermino, J.-M.; Shyu, A.-B.; Gehring, K. Poly(A) Nuclease Interacts with the C-terminal Domain of Polyadenylate-binding Protein Domain from Poly(A)-binding Protein *. J. Biol. Chem. 2007, 282, 25067–25075. [Google Scholar] [CrossRef] [PubMed]
- Chen, C.-Y.A.; Shyu, A.-B. Mechanisms of deadenylation-dependent decay. Wiley Interdiscip. Rev. RNA 2011, 2, 167–183. [Google Scholar] [CrossRef] [PubMed]
- Nanjappa, D.P.; Babu, N.; Khanna-Gupta, A.; O’Donohue, M.-F.; Sips, P.; Chakraborty, A. Poly (A)-specific ribonuclease (PARN): More than just “mRNA stock clearing”. Life Sci. 2021, 285, 119953. [Google Scholar] [CrossRef]
- Meijer, H.A.; Bushell, M.; Hill, K.; Gant, T.W.; Willis, A.E.; Jones, P.; de Moor, C.H. A novel method for poly(A) fractionation reveals a large population of mRNAs with a short poly(A) tail in mammalian cells. Nucleic Acids Res. 2007, 35, e132. [Google Scholar] [CrossRef]
- Lima, S.A.; Chipman, L.B.; Nicholson, A.L.; Chen, Y.H.; Yee, B.A.; Yeo, G.W.; Coller, J.; Pasquinelli, A.E. Short poly(A) tails are a conserved feature of highly expressed genes. Nat. Struct. Mol. Biol. 2017, 24, 1057–1063. [Google Scholar] [CrossRef]
- Munroe, D.; Jacobson, A. mRNA poly(A) tail, a 3′ enhancer of translational initiation. Mol. Cell. Biol. 1990, 10, 3441–3455. [Google Scholar] [CrossRef]
- Holtkamp, S.; Kreiter, S.; Selmi, A.; Simon, P.; Koslowski, M.; Huber, C.; Türeci, O.; Sahin, U. Modification of antigen-encoding RNA increases stability, translational efficacy, and T-cell stimulatory capacity of dendritic cells. Blood 2006, 108, 4009–4017. [Google Scholar] [CrossRef]
- Mockey, M.; Goncalves, C.; Dupuy, F.P.; Lemoine, F.M.; Pichon, C.; Midoux, P. mRNA transfection of dendritic cells: Synergistic effect of ARCA mRNA capping with Poly(A) chains in cis and in trans for a high protein expression level. Biochem. Biophys. Res. Commun. 2006, 340, 1062–1068. [Google Scholar] [CrossRef]
- Jalkanen, A.L.; Coleman, S.J.; Wilusz, J. Determinants and implications of mRNA poly(A) tail size--does this protein make my tail look big? Semin. Cell Dev. Biol. 2014, 34, 24–32. [Google Scholar] [CrossRef] [PubMed]
- Strzelecka, D.; Smietanski, M.; Sikorski, P.J.; Warminski, M.; Kowalska, J.; Jemielity, J. Phosphodiester modifications in mRNA poly(A) tail prevent deadenylation without compromising protein expression. RNA 2020, 26, 1815–1837. [Google Scholar] [CrossRef]
- Sànchez, R.; Marzluff, W.F. The Stem-Loop Binding Protein Is Required for Efficient Translation of Histone mRNA In Vivo and In Vitro. Mol. Cell. Biol. 2002, 22, 7093–7104. [Google Scholar] [CrossRef] [PubMed]
- Su, W.; Slevin, M.K.; Marzluff, W.F.; Rhoads, R.E. Synthetic mRNA with Superior Properties that Mimics the Intracellular Fates of Natural Histone mRNA. Methods Mol. Biol. 2016, 1428, 93–114. [Google Scholar] [CrossRef] [PubMed]
- Thess, A.; Grund, S.; Mui, B.L.; Hope, M.J.; Baumhof, P.; Fotin-Mleczek, M.; Schlake, T. Sequence-engineered mRNA Without Chemical Nucleoside Modifications Enables an Effective Protein Therapy in Large Animals. Mol. Ther. 2015, 23, 1456–1464. [Google Scholar] [CrossRef]
- Boo, S.H.; Kim, Y.K. The emerging role of RNA modifications in the regulation of mRNA stability. Exp. Mol. Med. 2020, 52, 400–408. [Google Scholar] [CrossRef]
- Nance, K.D.; Meier, J.L. Modifications in an Emergency: The Role of N1-Methylpseudouridine in COVID-19 Vaccines. ACS Cent. Sci. 2021, 7, 748–756. [Google Scholar] [CrossRef]
- Mauger, D.M.; Cabral, B.J.; Presnyak, V.; Su, S.V.; Reid, D.W.; Goodman, B.; Link, K.; Khatwani, N.; Reynders, J.; Moore, M.J.; et al. mRNA structure regulates protein expression through changes in functional half-life. Proc. Natl. Acad. Sci. USA 2019, 116, 24075–24083. [Google Scholar] [CrossRef]
- Nelson, J.; Sorensen, E.W.; Mintri, S.; Rabideau, A.E.; Zheng, W.; Besin, G.; Khatwani, N.; Su, S.V.; Miracco, E.J.; Issa, W.J.; et al. Impact of mRNA chemistry and manufacturing process on innate immune activation. Sci. Adv. 2020, 6, eaaz6893. [Google Scholar] [CrossRef]
- Bialkowski, L.; Van der Jeught, K.; Renmans, D.; van Weijnen, A.; Heirman, C.; Keyaerts, M.; Breckpot, K.; Thielemans, K. Adjuvant-Enhanced mRNA Vaccines. Methods Mol. Biol. 2017, 1499, 179–191. [Google Scholar] [CrossRef]
- Karikó, K.; Muramatsu, H.; Ludwig, J.; Weissman, D. Generating the optimal mRNA for therapy: HPLC purification eliminates immune activation and improves translation of nucleoside-modified, protein-encoding mRNA. Nucleic Acids Res. 2011, 39, e142. [Google Scholar] [CrossRef]
- Karikó, K.; Buckstein, M.; Ni, H.; Weissman, D. Suppression of RNA recognition by Toll-like receptors: The impact of nucleoside modification and the evolutionary origin of RNA. Immunity 2005, 23, 165–175. [Google Scholar] [CrossRef]
- Karikó, K.; Muramatsu, H.; Welsh, F.A.; Ludwig, J.; Kato, H.; Akira, S.; Weissman, D. Incorporation of pseudouridine into mRNA yields superior nonimmunogenic vector with increased translational capacity and biological stability. Mol. Ther. 2008, 16, 1833–1840. [Google Scholar] [CrossRef]
- Kormann, M.S.; Hasenpusch, G.; Aneja, M.K.; Nica, G.; Flemmer, A.W.; Herber-Jonat, S.; Huppmann, M.; Mays, L.E.; Illenyi, M.; Schams, A.; et al. Expression of therapeutic proteins after delivery of chemically modified mRNA in mice. Nat. Biotechnol. 2011, 29, 154–157. [Google Scholar] [CrossRef]
- Svitkin, Y.V.; Cheng, Y.M.; Chakraborty, T.; Presnyak, V.; John, M.; Sonenberg, N. N1-methyl-pseudouridine in mRNA enhances translation through eIF2α-dependent and independent mechanisms by increasing ribosome density. Nucleic Acids Res. 2017, 45, 6023–6036. [Google Scholar] [CrossRef]
- Mays, L.E.; Ammon-Treiber, S.; Mothes, B.; Alkhaled, M.; Rottenberger, J.; Müller-Hermelink, E.S.; Grimm, M.; Mezger, M.; Beer-Hammer, S.; von Stebut, E.; et al. Modified Foxp3 mRNA protects against asthma through an IL-10-dependent mechanism. J. Clin. Investig. 2013, 123, 1216–1228. [Google Scholar] [CrossRef]
- Arango, D.; Sturgill, D.; Alhusaini, N.; Dillman, A.A.; Sweet, T.J.; Hanson, G.; Hosogane, M.; Sinclair, W.R.; Nanan, K.K.; Mandler, M.D.; et al. Acetylation of Cytidine in mRNA Promotes Translation Efficiency. Cell 2018, 175, 1872–1886.e24. [Google Scholar] [CrossRef]
- Hou, X.; Zaks, T.; Langer, R.; Dong, Y. Lipid nanoparticles for mRNA delivery. Nat. Rev. Mater. 2021, 6, 1078–1094. [Google Scholar] [CrossRef]
- Phua, K.K.; Leong, K.W.; Nair, S.K. Transfection efficiency and transgene expression kinetics of mRNA delivered in naked and nanoparticle format. J. Control. Release 2013, 166, 227–233. [Google Scholar] [CrossRef]
- Diken, M.; Kreiter, S.; Selmi, A.; Britten, C.M.; Huber, C.; Türeci, Ö.; Sahin, U. Selective uptake of naked vaccine RNA by dendritic cells is driven by macropinocytosis and abrogated upon DC maturation. Gene Ther. 2011, 18, 702–708. [Google Scholar] [CrossRef]
- Selmi, A.; Vascotto, F.; Kautz-Neu, K.; Türeci, Ö.; Sahin, U.; von Stebut, E.; Diken, M.; Kreiter, S. Uptake of synthetic naked RNA by skin-resident dendritic cells via macropinocytosis allows antigen expression and induction of T-cell responses in mice. Cancer Immunol. Immunother. 2016, 65, 1075–1083. [Google Scholar] [CrossRef] [PubMed]
- Edwards, D.K.; Jasny, E.; Yoon, H.; Horscroft, N.; Schanen, B.; Geter, T.; Fotin-Mleczek, M.; Petsch, B.; Wittman, V. Adjuvant effects of a sequence-engineered mRNA vaccine: Translational profiling demonstrates similar human and murine innate response. J. Transl. Med. 2017, 15, 1. [Google Scholar] [CrossRef] [PubMed]
- Carralot, J.P.; Probst, J.; Hoerr, I.; Scheel, B.; Teufel, R.; Jung, G.; Rammensee, H.G.; Pascolo, S. Polarization of immunity induced by direct injection of naked sequence-stabilized mRNA vaccines. Cell. Mol. Life Sci. 2004, 61, 2418–2424. [Google Scholar] [CrossRef] [PubMed]
- Joe, P.T.; Christopoulou, I.; van Hoecke, L.; Schepens, B.; Ysenbaert, T.; Heirman, C.; Thielemans, K.; Saelens, X.; Aerts, J.L. Intranodal administration of mRNA encoding nucleoprotein provides cross-strain immunity against influenza in mice. J. Transl. Med. 2019, 17, 242. [Google Scholar] [CrossRef] [PubMed]
- Kreiter, S.; Selmi, A.; Diken, M.; Koslowski, M.; Britten, C.M.; Huber, C.; Türeci, O.; Sahin, U. Intranodal vaccination with naked antigen-encoding RNA elicits potent prophylactic and therapeutic antitumoral immunity. Cancer Res. 2010, 70, 9031–9040. [Google Scholar] [CrossRef] [PubMed]
- Kreiter, S.; Diken, M.; Selmi, A.; Diekmann, J.; Attig, S.; Hüsemann, Y.; Koslowski, M.; Huber, C.; Türeci, Ö.; Sahin, U. FLT3 ligand enhances the cancer therapeutic potency of naked RNA vaccines. Cancer Res. 2011, 71, 6132–6142. [Google Scholar] [CrossRef]
- Petsch, B.; Schnee, M.; Vogel, A.B.; Lange, E.; Hoffmann, B.; Voss, D.; Schlake, T.; Thess, A.; Kallen, K.J.; Stitz, L.; et al. Protective efficacy of in vitro synthesized, specific mRNA vaccines against influenza A virus infection. Nat. Biotechnol. 2012, 30, 1210–1216. [Google Scholar] [CrossRef]
- Van Tendeloo, V.F.; Ponsaerts, P.; Lardon, F.; Nijs, G.; Lenjou, M.; Van Broeckhoven, C.; Van Bockstaele, D.R.; Berneman, Z.N. Highly efficient gene delivery by mRNA electroporation in human hematopoietic cells: Superiority to lipofection and passive pulsing of mRNA and to electroporation of plasmid cDNA for tumor antigen loading of dendritic cells. Blood 2001, 98, 49–56. [Google Scholar] [CrossRef]
- Morgan, R.A.; Yang, J.C.; Kitano, M.; Dudley, M.E.; Laurencot, C.M.; Rosenberg, S.A. Case report of a serious adverse event following the administration of T cells transduced with a chimeric antigen receptor recognizing ERBB2. Mol. Ther. 2010, 18, 843–851. [Google Scholar] [CrossRef]
- Ang, W.X.; Ng, Y.Y.; Xiao, L.; Chen, C.; Li, Z.; Chi, Z.; Tay, J.C.-K.; Tan, W.K.; Zeng, J.; Toh, H.C.; et al. Electroporation of NKG2D RNA CAR Improves Vγ9Vδ2 T Cell Responses against Human Solid Tumor Xenografts. Mol. Ther.-Oncolytics 2020, 17, 421–430. [Google Scholar] [CrossRef]
- Cu, Y.; Broderick, K.E.; Banerjee, K.; Hickman, J.; Otten, G.; Barnett, S.; Kichaev, G.; Sardesai, N.Y.; Ulmer, J.B.; Geall, A. Enhanced Delivery and Potency of Self-Amplifying mRNA Vaccines by Electroporation in Situ. Vaccines 2013, 1, 367–383. [Google Scholar] [CrossRef]
- Johansson, D.X.; Ljungberg, K.; Kakoulidou, M.; Liljeström, P. Intradermal electroporation of naked replicon RNA elicits strong immune responses. PLoS ONE 2012, 7, e29732. [Google Scholar] [CrossRef]
- Stamatatos, L.; Leventis, R.; Zuckermann, M.J.; Silvius, J.R. Interactions of cationic lipid vesicles with negatively charged phospholipid vesicles and biological membranes. Biochemistry 1988, 27, 3917–3925. [Google Scholar] [CrossRef] [PubMed]
- Felgner, P.L.; Gadek, T.R.; Holm, M.; Roman, R.; Chan, H.W.; Wenz, M.; Northrop, J.P.; Ringold, G.M.; Danielsen, M. Lipofection: A highly efficient, lipid-mediated DNA-transfection procedure. Proc. Natl. Acad. Sci. USA 1987, 84, 7413–7417. [Google Scholar] [CrossRef]
- Kranz, L.M.; Diken, M.; Haas, H.; Kreiter, S.; Loquai, C.; Reuter, K.C.; Meng, M.; Fritz, D.; Vascotto, F.; Hefesha, H.; et al. Systemic RNA delivery to dendritic cells exploits antiviral defence for cancer immunotherapy. Nature 2016, 534, 396–401. [Google Scholar] [CrossRef] [PubMed]
- Krienke, C.; Kolb, L.; Diken, E.; Streuber, M.; Kirchhoff, S.; Bukur, T.; Akilli-Öztürk, Ö.; Kranz, L.M.; Berger, H.; Petschenka, J.; et al. A noninflammatory mRNA vaccine for treatment of experimental autoimmune encephalomyelitis. Science 2021, 371, 145–153. [Google Scholar] [CrossRef]
- Sahin, U.; Oehm, P.; Derhovanessian, E.; Jabulowsky, R.A.; Vormehr, M.; Gold, M.; Maurus, D.; Schwarck-Kokarakis, D.; Kuhn, A.N.; Omokoko, T.; et al. An RNA vaccine drives immunity in checkpoint-inhibitor-treated melanoma. Nature 2020, 585, 107–112. [Google Scholar] [CrossRef]
- Qureischi, M.; Mohr, J.; Arellano-Viera, E.; Knudsen, S.E.; Vohidov, F.; Garitano-Trojaola, A. Chapter One—mRNA-based therapies: Preclinical and clinical applications. Int. Rev. Cell Mol. Biol. 2022, 372, 1–54. [Google Scholar] [PubMed]
- Leung, A.K.; Tam, Y.Y.; Chen, S.; Hafez, I.M.; Cullis, P.R. Microfluidic Mixing: A General Method for Encapsulating Macromolecules in Lipid Nanoparticle Systems. J. Phys. Chem. B 2015, 119, 8698–8706. [Google Scholar] [CrossRef]
- Jahn, A.; Stavis, S.M.; Hong, J.S.; Vreeland, W.N.; DeVoe, D.L.; Gaitan, M. Microfluidic mixing and the formation of nanoscale lipid vesicles. ACS Nano 2010, 4, 2077–2087. [Google Scholar] [CrossRef] [PubMed]
- Granot, Y.; Peer, D. Delivering the right message: Challenges and opportunities in lipid nanoparticles-mediated modified mRNA therapeutics-An innate immune system standpoint. Semin. Immunol. 2017, 34, 68–77. [Google Scholar] [CrossRef]
- Huotari, J.; Helenius, A. Endosome maturation. EMBO J. 2011, 30, 3481–3500. [Google Scholar] [CrossRef]
- Walsh, C.L.; Nguyen, J.; Tiffany, M.R.; Szoka, F.C. Synthesis, characterization, and evaluation of ionizable lysine-based lipids for siRNA delivery. Bioconjug. Chem. 2013, 24, 36–43. [Google Scholar] [CrossRef]
- Heyes, J.; Palmer, L.; Bremner, K.; MacLachlan, I. Cationic lipid saturation influences intracellular delivery of encapsulated nucleic acids. J. Control. Release 2005, 107, 276–287. [Google Scholar] [CrossRef]
- Fenton, O.S.; Kauffman, K.J.; McClellan, R.L.; Appel, E.A.; Dorkin, J.R.; Tibbitt, M.W.; Heartlein, M.W.; DeRosa, F.; Langer, R.; Anderson, D.G. Bioinspired Alkenyl Amino Alcohol Ionizable Lipid Materials for Highly Potent In Vivo mRNA Delivery. Adv. Mater. 2016, 28, 2939–2943. [Google Scholar] [CrossRef]
- Miao, L.; Lin, J.; Huang, Y.; Li, L.; Delcassian, D.; Ge, Y.; Shi, Y.; Anderson, D.G. Synergistic lipid compositions for albumin receptor mediated delivery of mRNA to the liver. Nat. Commun. 2020, 11, 2424. [Google Scholar] [CrossRef]
- Sabnis, S.; Kumarasinghe, E.S.; Salerno, T.; Mihai, C.; Ketova, T.; Senn, J.J.; Lynn, A.; Bulychev, A.; McFadyen, I.; Chan, J.; et al. A Novel Amino Lipid Series for mRNA Delivery: Improved Endosomal Escape and Sustained Pharmacology and Safety in Non-human Primates. Mol. Ther. 2018, 26, 1509–1519. [Google Scholar] [CrossRef] [PubMed]
- Hassett, K.J.; Benenato, K.E.; Jacquinet, E.; Lee, A.; Woods, A.; Yuzhakov, O.; Himansu, S.; Deterling, J.; Geilich, B.M.; Ketova, T.; et al. Optimization of Lipid Nanoparticles for Intramuscular Administration of mRNA Vaccines. Mol. Ther. Nucleic Acids 2019, 15, 1–11. [Google Scholar] [CrossRef] [PubMed]
- Kauffman, K.J.; Dorkin, J.R.; Yang, J.H.; Heartlein, M.W.; DeRosa, F.; Mir, F.F.; Fenton, O.S.; Anderson, D.G. Optimization of Lipid Nanoparticle Formulations for mRNA Delivery in Vivo with Fractional Factorial and Definitive Screening Designs. Nano Lett. 2015, 15, 7300–7306. [Google Scholar] [CrossRef] [PubMed]
- Zhang, X.; Zhao, W.; Nguyen, G.N.; Zhang, C.; Zeng, C.; Yan, J.; Du, S.; Hou, X.; Li, W.; Jiang, J.; et al. Functionalized lipid-like nanoparticles for in vivo mRNA delivery and base editing. Sci. Adv. 2020, 6, eabc2315. [Google Scholar] [CrossRef]
- Semple, S.C.; Akinc, A.; Chen, J.; Sandhu, A.P.; Mui, B.L.; Cho, C.K.; Sah, D.W.; Stebbing, D.; Crosley, E.J.; Yaworski, E.; et al. Rational design of cationic lipids for siRNA delivery. Nat. Biotechnol. 2010, 28, 172–176. [Google Scholar] [CrossRef]
- Akinc, A.; Maier, M.A.; Manoharan, M.; Fitzgerald, K.; Jayaraman, M.; Barros, S.; Ansell, S.; Du, X.; Hope, M.J.; Madden, T.D.; et al. The Onpattro story and the clinical translation of nanomedicines containing nucleic acid-based drugs. Nat. NanoTechnol. 2019, 14, 1084–1087. [Google Scholar] [CrossRef]
- Veiga, N.; Goldsmith, M.; Granot, Y.; Rosenblum, D.; Dammes, N.; Kedmi, R.; Ramishetti, S.; Peer, D. Cell specific delivery of modified mRNA expressing therapeutic proteins to leukocytes. Nat. Commun. 2018, 9, 4493. [Google Scholar] [CrossRef]
- Patel, S.; Ryals, R.C.; Weller, K.K.; Pennesi, M.E.; Sahay, G. Lipid nanoparticles for delivery of messenger RNA to the back of the eye. J. Control. Release 2019, 303, 91–100. [Google Scholar] [CrossRef] [PubMed]
- Ramaswamy, S.; Tonnu, N.; Tachikawa, K.; Limphong, P.; Vega, J.B.; Karmali, P.P.; Chivukula, P.; Verma, I.M. Systemic delivery of factor IX messenger RNA for protein replacement therapy. Proc. Natl. Acad. Sci. USA 2017, 114, E1941–E1950. [Google Scholar] [CrossRef]
- Schoenmaker, L.; Witzigmann, D.; Kulkarni, J.A.; Verbeke, R.; Kersten, G.; Jiskoot, W.; Crommelin, D.J.A. mRNA-lipid nanoparticle COVID-19 vaccines: Structure and stability. Int. J. Pharm. 2021, 601, 120586. [Google Scholar] [CrossRef] [PubMed]
- Finn, J.D.; Smith, A.R.; Patel, M.C.; Shaw, L.; Youniss, M.R.; van Heteren, J.; Dirstine, T.; Ciullo, C.; Lescarbeau, R.; Seitzer, J.; et al. A Single Administration of CRISPR/Cas9 Lipid Nanoparticles Achieves Robust and Persistent In Vivo Genome Editing. Cell Rep. 2018, 22, 2227–2235. [Google Scholar] [CrossRef]
- Han, X.; Zhang, H.; Butowska, K.; Swingle, K.L.; Alameh, M.G.; Weissman, D.; Mitchell, M.J. An ionizable lipid toolbox for RNA delivery. Nat. Commun. 2021, 12, 7233. [Google Scholar] [CrossRef] [PubMed]
- Witzigmann, D.; Kulkarni, J.A.; Leung, J.; Chen, S.; Cullis, P.R.; van der Meel, R. Lipid nanoparticle technology for therapeutic gene regulation in the liver. Adv. Drug Deliv. Rev. 2020, 159, 344–363. [Google Scholar] [CrossRef] [PubMed]
- Kulkarni, J.A.; Witzigmann, D.; Leung, J.; Tam, Y.Y.C.; Cullis, P.R. On the role of helper lipids in lipid nanoparticle formulations of siRNA. Nanoscale 2019, 11, 21733–21739. [Google Scholar] [CrossRef]
- Baden, L.R.; El Sahly, H.M.; Essink, B.; Kotloff, K.; Frey, S.; Novak, R.; Diemert, D.; Spector, S.A.; Rouphael, N.; Creech, C.B.; et al. Efficacy and Safety of the mRNA-1273 SARS-CoV-2 Vaccine. N. Engl. J. Med. 2021, 384, 403–416. [Google Scholar] [CrossRef] [PubMed]
- Polack, F.P.; Thomas, S.J.; Kitchin, N.; Absalon, J.; Gurtman, A.; Lockhart, S.; Perez, J.L.; Pérez Marc, G.; Moreira, E.D.; Zerbini, C.; et al. Safety and Efficacy of the BNT162b2 mRNA COVID-19 Vaccine. N. Engl. J. Med. 2020, 383, 2603–2615. [Google Scholar] [CrossRef] [PubMed]
- Cheng, X.; Lee, R.J. The role of helper lipids in lipid nanoparticles (LNPs) designed for oligonucleotide delivery. Adv. Drug Deliv. Rev. 2016, 99, 129–137. [Google Scholar] [CrossRef]
- Miao, L.; Zhang, Y.; Huang, L. mRNA vaccine for cancer immunotherapy. Mol. Cancer 2021, 20, 41. [Google Scholar] [CrossRef]
- Ambegia, E.; Ansell, S.; Cullis, P.; Heyes, J.; Palmer, L.; MacLachlan, I. Stabilized plasmid-lipid particles containing PEG-diacylglycerols exhibit extended circulation lifetimes and tumor selective gene expression. Biochim. Biophys. Acta 2005, 1669, 155–163. [Google Scholar] [CrossRef] [PubMed]
- Zhu, X.; Tao, W.; Liu, D.; Wu, J.; Guo, Z.; Ji, X.; Bharwani, Z.; Zhao, L.; Zhao, X.; Farokhzad, O.C.; et al. Surface De-PEGylation Controls Nanoparticle-Mediated siRNA Delivery In Vitro and In Vivo. Theranostics 2017, 7, 1990–2002. [Google Scholar] [CrossRef]
- Heyes, J.; Hall, K.; Tailor, V.; Lenz, R.; MacLachlan, I. Synthesis and characterization of novel poly(ethylene glycol)-lipid conjugates suitable for use in drug delivery. J. Control. Release 2006, 112, 280–290. [Google Scholar] [CrossRef]
- Cheng, Q.; Wei, T.; Farbiak, L.; Johnson, L.T.; Dilliard, S.A.; Siegwart, D.J. Selective organ targeting (SORT) nanoparticles for tissue-specific mRNA delivery and CRISPR-Cas gene editing. Nat. Nanotechnol. 2020, 15, 313–320. [Google Scholar] [CrossRef]
- Chen, J.; Ye, Z.; Huang, C.; Qiu, M.; Song, D.; Li, Y.; Xu, Q. Lipid nanoparticle-mediated lymph node-targeting delivery of mRNA cancer vaccine elicits robust CD8(+) T cell response. Proc. Natl. Acad. Sci. USA 2022, 119, e2207841119. [Google Scholar] [CrossRef]
- Dilliard, S.A.; Cheng, Q.; Siegwart, D.J. On the mechanism of tissue-specific mRNA delivery by selective organ targeting nanoparticles. Proc. Natl. Acad. Sci. USA 2021, 118, e2109256118. [Google Scholar] [CrossRef]
- Liu, S.; Cheng, Q.; Wei, T.; Yu, X.; Johnson, L.T.; Farbiak, L.; Siegwart, D.J. Membrane-destabilizing ionizable phospholipids for organ-selective mRNA delivery and CRISPR-Cas gene editing. Nat. Mater. 2021, 20, 701–710. [Google Scholar] [CrossRef]
- Parhiz, H.; Shuvaev, V.V.; Pardi, N.; Khoshnejad, M.; Kiseleva, R.Y.; Brenner, J.S.; Uhler, T.; Tuyishime, S.; Mui, B.L.; Tam, Y.K.; et al. PECAM-1 directed re-targeting of exogenous mRNA providing two orders of magnitude enhancement of vascular delivery and expression in lungs independent of apolipoprotein E-mediated uptake. J. Control. Release 2018, 291, 106–115. [Google Scholar] [CrossRef]
- Tombácz, I.; Laczkó, D.; Shahnawaz, H.; Muramatsu, H.; Natesan, A.; Yadegari, A.; Papp, T.E.; Alameh, M.G.; Shuvaev, V.; Mui, B.L.; et al. Highly efficient CD4+ T cell targeting and genetic recombination using engineered CD4+ cell-homing mRNA-LNPs. Mol. Ther. 2021, 29, 3293–3304. [Google Scholar] [CrossRef] [PubMed]
- Rurik, J.G.; Tombácz, I.; Yadegari, A.; Méndez Fernández, P.O.; Shewale, S.V.; Li, L.; Kimura, T.; Soliman, O.Y.; Papp, T.E.; Tam, Y.K.; et al. CAR T cells produced in vivo to treat cardiac injury. Science 2022, 375, 91–96. [Google Scholar] [CrossRef]
- Kong, N.; Tao, W.; Ling, X.; Wang, J.; Xiao, Y.; Shi, S.; Ji, X.; Shajii, A.; Gan, S.T.; Kim, N.Y.; et al. Synthetic mRNA nanoparticle-mediated restoration of p53 tumor suppressor sensitizes p53-deficient cancers to mTOR inhibition. Sci. Transl. Med. 2019, 11, eaaw1565. [Google Scholar] [CrossRef] [PubMed]
- Wu, J.; Zhao, L.; Xu, X.; Bertrand, N.; Choi, W.I.; Yameen, B.; Shi, J.; Shah, V.; Mulvale, M.; MacLean, J.L.; et al. Hydrophobic Cysteine Poly(disulfide)-based Redox-Hypersensitive Nanoparticle Platform for Cancer Theranostics. Angew. Chem. Int. Ed. Engl. 2015, 54, 9218–9223. [Google Scholar] [CrossRef] [PubMed]
- Gilleron, J.; Querbes, W.; Zeigerer, A.; Borodovsky, A.; Marsico, G.; Schubert, U.; Manygoats, K.; Seifert, S.; Andree, C.; Stöter, M.; et al. Image-based analysis of lipid nanoparticle-mediated siRNA delivery, intracellular trafficking and endosomal escape. Nat. Biotechnol. 2013, 31, 638–646. [Google Scholar] [CrossRef]
- Rosenblum, D.; Gutkin, A.; Kedmi, R.; Ramishetti, S.; Veiga, N.; Jacobi, A.M.; Schubert, M.S.; Friedmann-Morvinski, D.; Cohen, Z.R.; Behlke, M.A.; et al. CRISPR-Cas9 genome editing using targeted lipid nanoparticles for cancer therapy. Sci. Adv. 2020, 6, eabc9450. [Google Scholar] [CrossRef] [PubMed]
- Zhu, Y.; Shen, R.; Vuong, I.; Reynolds, R.A.; Shears, M.J.; Yao, Z.C.; Hu, Y.; Cho, W.J.; Kong, J.; Reddy, S.K.; et al. Multi-step screening of DNA/lipid nanoparticles and co-delivery with siRNA to enhance and prolong gene expression. Nat. Commun. 2022, 13, 4282. [Google Scholar] [CrossRef]
- Zhao, P.; Hou, X.; Yan, J.; Du, S.; Xue, Y.; Li, W.; Xiang, G.; Dong, Y. Long-term storage of lipid-like nanoparticles for mRNA delivery. Bioact. Mater. 2020, 5, 358–363. [Google Scholar] [CrossRef]
- Li, S.; Hu, Y.; Li, A.; Lin, J.; Hsieh, K.; Schneiderman, Z.; Zhang, P.; Zhu, Y.; Qiu, C.; Kokkoli, E.; et al. Payload distribution and capacity of mRNA lipid nanoparticles. Nat. Commun. 2022, 13, 5561. [Google Scholar] [CrossRef]
- Patel, A.K.; Kaczmarek, J.C.; Bose, S.; Kauffman, K.J.; Mir, F.; Heartlein, M.W.; DeRosa, F.; Langer, R.; Anderson, D.G. Inhaled Nanoformulated mRNA Polyplexes for Protein Production in Lung Epithelium. Adv. Mater. 2019, 31, e1805116. [Google Scholar] [CrossRef]
- Kaczmarek, J.C.; Patel, A.K.; Kauffman, K.J.; Fenton, O.S.; Webber, M.J.; Heartlein, M.W.; DeRosa, F.; Anderson, D.G. Polymer-Lipid Nanoparticles for Systemic Delivery of mRNA to the Lungs. Angew. Chem. Int. Ed. Engl. 2016, 55, 13808–13812. [Google Scholar] [CrossRef]
- Rejman, J.; Tavernier, G.; Bavarsad, N.; Demeester, J.; De Smedt, S.C. mRNA transfection of cervical carcinoma and mesenchymal stem cells mediated by cationic carriers. J. Control. Release 2010, 147, 385–391. [Google Scholar] [CrossRef]
- Kim, Y.H.; Park, J.H.; Lee, M.; Kim, Y.H.; Park, T.G.; Kim, S.W. Polyethylenimine with acid-labile linkages as a biodegradable gene carrier. J. Control. Release 2005, 103, 209–219. [Google Scholar] [CrossRef]
- Lv, H.; Zhang, S.; Wang, B.; Cui, S.; Yan, J. Toxicity of cationic lipids and cationic polymers in gene delivery. J. Control. Release 2006, 114, 100–109. [Google Scholar] [CrossRef] [PubMed]
- Piotrowski-Daspit, A.S.; Kauffman, A.C.; Bracaglia, L.G.; Saltzman, W.M. Polymeric vehicles for nucleic acid delivery. Adv. Drug Deliv. Rev. 2020, 156, 119–132. [Google Scholar] [CrossRef] [PubMed]
- Kamaly, N.; Yameen, B.; Wu, J.; Farokhzad, O.C. Degradable Controlled-Release Polymers and Polymeric Nanoparticles: Mechanisms of Controlling Drug Release. Chem. Rev. 2016, 116, 2602–2663. [Google Scholar] [CrossRef]
- Islam, M.A.; Xu, Y.; Tao, W.; Ubellacker, J.M.; Lim, M.; Aum, D.; Lee, G.Y.; Zhou, K.; Zope, H.; Yu, M.; et al. Restoration of tumour-growth suppression in vivo via systemic nanoparticle-mediated delivery of PTEN mRNA. Nat. Biomed. Eng. 2018, 2, 850–864. [Google Scholar] [CrossRef] [PubMed]
- Parayath, N.N.; Stephan, S.B.; Koehne, A.L.; Nelson, P.S.; Stephan, M.T. In vitro-transcribed antigen receptor mRNA nanocarriers for transient expression in circulating T cells in vivo. Nat. Commun. 2020, 11, 6080. [Google Scholar] [CrossRef]
- Teixeira, H.F.; Bruxel, F.; Fraga, M.; Schuh, R.S.; Zorzi, G.K.; Matte, U.; Fattal, E. Cationic nanoemulsions as nucleic acids delivery systems. Int. J. Pharm. 2017, 534, 356–367. [Google Scholar] [CrossRef]
- Blakney, A.K.; Ip, S.; Geall, A.J. An Update on Self-Amplifying mRNA Vaccine Development. Vaccines 2021, 9, 97. [Google Scholar] [CrossRef]
- Udhayakumar, V.K.; De Beuckelaer, A.; McCaffrey, J.; McCrudden, C.M.; Kirschman, J.L.; Vanover, D.; Van Hoecke, L.; Roose, K.; Deswarte, K.; De Geest, B.G.; et al. Arginine-Rich Peptide-Based mRNA Nanocomplexes Efficiently Instigate Cytotoxic T Cell Immunity Dependent on the Amphipathic Organization of the Peptide. Adv. Healthc. Mater. 2017, 6, 1601412. [Google Scholar] [CrossRef]
- Hoerr, I.; Obst, R.; Rammensee, H.G.; Jung, G. In vivo application of RNA leads to induction of specific cytotoxic T lymphocytes and antibodies. Eur. J. Immunol. 2000, 30, 1–7. [Google Scholar] [CrossRef] [PubMed]
- Scheel, B.; Teufel, R.; Probst, J.; Carralot, J.P.; Geginat, J.; Radsak, M.; Jarrossay, D.; Wagner, H.; Jung, G.; Rammensee, H.G.; et al. Toll-like receptor-dependent activation of several human blood cell types by protamine-condensed mRNA. Eur. J. Immunol. 2005, 35, 1557–1566. [Google Scholar] [CrossRef] [PubMed]
- Scheel, B.; Braedel, S.; Probst, J.; Carralot, J.P.; Wagner, H.; Schild, H.; Jung, G.; Rammensee, H.G.; Pascolo, S. Immunostimulating capacities of stabilized RNA molecules. Eur. J. Immunol. 2004, 34, 537–547. [Google Scholar] [CrossRef] [PubMed]
- Fotin-Mleczek, M.; Duchardt, K.M.; Lorenz, C.; Pfeiffer, R.; Ojkić-Zrna, S.; Probst, J.; Kallen, K.J. Messenger RNA-based vaccines with dual activity induce balanced TLR-7 dependent adaptive immune responses and provide antitumor activity. J. Immunother. 2011, 34, 1–15. [Google Scholar] [CrossRef]
- Weide, B.; Pascolo, S.; Scheel, B.; Derhovanessian, E.; Pflugfelder, A.; Eigentler, T.K.; Pawelec, G.; Hoerr, I.; Rammensee, H.G.; Garbe, C. Direct injection of protamine-protected mRNA: Results of a phase 1/2 vaccination trial in metastatic melanoma patients. J. Immunother. 2009, 32, 498–507. [Google Scholar] [CrossRef]
- Sebastian, M.; Papachristofilou, A.; Weiss, C.; Früh, M.; Cathomas, R.; Hilbe, W.; Wehler, T.; Rippin, G.; Koch, S.D.; Scheel, B.; et al. Phase Ib study evaluating a self-adjuvanted mRNA cancer vaccine (RNActive®) combined with local radiation as consolidation and maintenance treatment for patients with stage IV non-small cell lung cancer. BMC Cancer 2014, 14, 748. [Google Scholar] [CrossRef]
- Fu, C.; Jiang, A. Dendritic Cells and CD8 T Cell Immunity in Tumor Microenvironment. Front. Immunol. 2018, 9, 3059. [Google Scholar] [CrossRef]
- Garrido, F.; Aptsiauri, N. Cancer immune escape: MHC expression in primary tumours versus metastases. Immunology 2019, 158, 255–266. [Google Scholar] [CrossRef] [PubMed]
- Wang, Y.; Zhang, Z.; Luo, J.; Han, X.; Wei, Y.; Wei, X. mRNA vaccine: A potential therapeutic strategy. Mol. Cancer 2021, 20, 33. [Google Scholar] [CrossRef] [PubMed]
- Yarchoan, M.; Johnson, B.A., 3rd; Lutz, E.R.; Laheru, D.A.; Jaffee, E.M. Targeting neoantigens to augment antitumour immunity. Nat. Rev. Cancer 2017, 17, 209–222. [Google Scholar] [CrossRef] [PubMed]
- Schumacher, T.N.; Schreiber, R.D. Neoantigens in cancer immunotherapy. Science 2015, 348, 69–74. [Google Scholar] [CrossRef]
- Zhang, X.; Qi, Y.; Zhang, Q.; Liu, W. Application of mass spectrometry-based MHC immunopeptidome profiling in neoantigen identification for tumor immunotherapy. Biomed. Pharm. 2019, 120, 109542. [Google Scholar] [CrossRef]
- Lennerz, V.; Fatho, M.; Gentilini, C.; Frye, R.A.; Lifke, A.; Ferel, D.; Wölfel, C.; Huber, C.; Wölfel, T. The response of autologous T cells to a human melanoma is dominated by mutated neoantigens. Proc. Natl. Acad. Sci. USA 2005, 102, 16013–16018. [Google Scholar] [CrossRef]
- Esprit, A.; de Mey, W.; Bahadur Shahi, R.; Thielemans, K.; Franceschini, L.; Breckpot, K. Neo-Antigen mRNA Vaccines. Vaccines 2020, 8, 776. [Google Scholar] [CrossRef]
- Pritchard, A.L.; Burel, J.G.; Neller, M.A.; Hayward, N.K.; Lopez, J.A.; Fatho, M.; Lennerz, V.; Wölfel, T.; Schmidt, C.W. Exome Sequencing to Predict Neoantigens in Melanoma. Cancer Immunol. Res. 2015, 3, 992–998. [Google Scholar] [CrossRef]
- Chang, T.C.; Carter, R.A.; Li, Y.; Li, Y.; Wang, H.; Edmonson, M.N.; Chen, X.; Arnold, P.; Geiger, T.L.; Wu, G.; et al. The neoepitope landscape in pediatric cancers. Genome Med. 2017, 9, 78. [Google Scholar] [CrossRef]
- Schumacher, T.N.; Scheper, W.; Kvistborg, P. Cancer Neoantigens. Annu. Rev. Immunol. 2019, 37, 173–200. [Google Scholar] [CrossRef]
- Rock, K.L.; Goldberg, A.L. Degradation of cell proteins and the generation of MHC class I-presented peptides. Annu. Rev. Immunol. 1999, 17, 739–779. [Google Scholar] [CrossRef]
- Vigneron, N.; Van den Eynde, B.J. Insights into the processing of MHC class I ligands gained from the study of human tumor epitopes. Cell Mol. Life Sci. 2011, 68, 1503–1520. [Google Scholar] [CrossRef]
- Raghavan, M.; Del Cid, N.; Rizvi, S.M.; Peters, L.R. MHC class I assembly: Out and about. Trends Immunol. 2008, 29, 436–443. [Google Scholar] [CrossRef] [PubMed]
- Strønen, E.; Toebes, M.; Kelderman, S.; van Buuren, M.M.; Yang, W.; van Rooij, N.; Donia, M.; Böschen, M.-L.; Lund-Johansen, F.; Olweus, J.; et al. Targeting of cancer neoantigens with donor-derived T cell receptor repertoires. Science 2016, 352, 1337–1341. [Google Scholar] [CrossRef]
- Zhao, W.; Wu, J.; Chen, S.; Zhou, Z. Shared neoantigens: Ideal targets for off-the-shelf cancer immunotherapy. Pharmacogenomics 2020, 21, 637–645. [Google Scholar] [CrossRef] [PubMed]
- Bear, A.S.; Blanchard, T.; Cesare, J.; Ford, M.J.; Richman, L.P.; Xu, C.; Baroja, M.L.; McCuaig, S.; Costeas, C.; Gabunia, K.; et al. Biochemical and functional characterization of mutant KRAS epitopes validates this oncoprotein for immunological targeting. Nat. Commun. 2021, 12, 4365. [Google Scholar] [CrossRef]
- Smalley Rumfield, C.; Roller, N.; Pellom, S.T.; Schlom, J.; Jochems, C. Therapeutic Vaccines for HPV-Associated Malignancies. Immunotargets Ther. 2020, 9, 167–200. [Google Scholar] [CrossRef] [PubMed]
- Grunwitz, C.; Salomon, N.; Vascotto, F.; Selmi, A.; Bukur, T.; Diken, M.; Kreiter, S.; Türeci, Ö.; Sahin, U. HPV16 RNA-LPX vaccine mediates complete regression of aggressively growing HPV-positive mouse tumors and establishes protective T cell memory. Oncoimmunology 2019, 8, e1629259. [Google Scholar] [CrossRef]
- Wells, D.K.; van Buuren, M.M.; Dang, K.K.; Hubbard-Lucey, V.M.; Sheehan, K.C.F.; Campbell, K.M.; Lamb, A.; Ward, J.P.; Sidney, J.; Blazquez, A.B.; et al. Key Parameters of Tumor Epitope Immunogenicity Revealed Through a Consortium Approach Improve Neoantigen Prediction. Cell 2020, 183, 818–834.e13. [Google Scholar] [CrossRef]
- Stone, J.D.; Chervin, A.S.; Kranz, D.M. T-cell receptor binding affinities and kinetics: Impact on T-cell activity and specificity. Immunology 2009, 126, 165–176. [Google Scholar] [CrossRef]
- Yadav, M.; Jhunjhunwala, S.; Phung, Q.T.; Lupardus, P.; Tanguay, J.; Bumbaca, S.; Franci, C.; Cheung, T.K.; Fritsche, J.; Weinschenk, T.; et al. Predicting immunogenic tumour mutations by combining mass spectrometry and exome sequencing. Nature 2014, 515, 572–576. [Google Scholar] [CrossRef] [PubMed]
- Vita, R.; Overton, J.A.; Greenbaum, J.A.; Ponomarenko, J.; Clark, J.D.; Cantrell, J.R.; Wheeler, D.K.; Gabbard, J.L.; Hix, D.; Sette, A.; et al. The immune epitope database (IEDB) 3.0. Nucleic Acids Res. 2015, 43, D405–D412. [Google Scholar] [CrossRef] [PubMed]
- Shao, W.; Pedrioli, P.G.A.; Wolski, W.; Scurtescu, C.; Schmid, E.; Vizcaíno, J.A.; Courcelles, M.; Schuster, H.; Kowalewski, D.; Marino, F.; et al. The SysteMHC Atlas project. Nucleic Acids Res. 2018, 46, D1237–D1247. [Google Scholar] [CrossRef]
- Vizcaíno, J.A.; Csordas, A.; del-Toro, N.; Dianes, J.A.; Griss, J.; Lavidas, I.; Mayer, G.; Perez-Riverol, Y.; Reisinger, F.; Ternent, T.; et al. 2016 update of the PRIDE database and its related tools. Nucleic Acids Res. 2016, 44, D447–D456. [Google Scholar] [CrossRef] [PubMed]
- Lundegaard, C.; Lamberth, K.; Harndahl, M.; Buus, S.; Lund, O.; Nielsen, M. NetMHC-3.0: Accurate web accessible predictions of human, mouse and monkey MHC class I affinities for peptides of length 8-11. Nucleic Acids Res. 2008, 36, W509–W512. [Google Scholar] [CrossRef]
- Fotakis, G.; Trajanoski, Z.; Rieder, D. Computational cancer neoantigen prediction: Current status and recent advances. Immunooncol. Technol. 2021, 12, 100052. [Google Scholar] [CrossRef]
- Hoof, I.; Peters, B.; Sidney, J.; Pedersen, L.E.; Sette, A.; Lund, O.; Buus, S.; Nielsen, M. NetMHCpan, a method for MHC class I binding prediction beyond humans. Immunogenetics 2009, 61, 1–13. [Google Scholar] [CrossRef]
- Richman, L.P.; Vonderheide, R.H.; Rech, A.J. Neoantigen Dissimilarity to the Self-Proteome Predicts Immunogenicity and Response to Immune Checkpoint Blockade. Cell Syst. 2019, 9, 375–382.e4. [Google Scholar] [CrossRef]
- Hundal, J.; Carreno, B.M.; Petti, A.A.; Linette, G.P.; Griffith, O.L.; Mardis, E.R.; Griffith, M. pVAC-Seq: A genome-guided in silico approach to identifying tumor neoantigens. Genome Med. 2016, 8, 11. [Google Scholar] [CrossRef]
- Ott, P.A.; Hu, Z.; Keskin, D.B.; Shukla, S.A.; Sun, J.; Bozym, D.J.; Zhang, W.; Luoma, A.; Giobbie-Hurder, A.; Peter, L.; et al. An immunogenic personal neoantigen vaccine for patients with melanoma. Nature 2017, 547, 217–221. [Google Scholar] [CrossRef]
- Sarkizova, S.; Klaeger, S.; Le, P.M.; Li, L.W.; Oliveira, G.; Keshishian, H.; Hartigan, C.R.; Zhang, W.; Braun, D.A.; Ligon, K.L.; et al. A large peptidome dataset improves HLA class I epitope prediction across most of the human population. Nat. Biotechnol. 2020, 38, 199–209. [Google Scholar] [CrossRef] [PubMed]
- Yossef, R.; Tran, E.; Deniger, D.C.; Gros, A.; Pasetto, A.; Parkhurst, M.R.; Gartner, J.J.; Prickett, T.D.; Cafri, G.; Robbins, P.F.; et al. Enhanced detection of neoantigen-reactive T cells targeting unique and shared oncogenes for personalized cancer immunotherapy. JCI Insight 2018, 3, e122467. [Google Scholar] [CrossRef] [PubMed]
- Tran, E.; Ahmadzadeh, M.; Lu, Y.C.; Gros, A.; Turcotte, S.; Robbins, P.F.; Gartner, J.J.; Zheng, Z.; Li, Y.F.; Ray, S.; et al. Immunogenicity of somatic mutations in human gastrointestinal cancers. Science 2015, 350, 1387–1390. [Google Scholar] [CrossRef] [PubMed]
- Chen, F.; Zou, Z.; Du, J.; Su, S.; Shao, J.; Meng, F.; Yang, J.; Xu, Q.; Ding, N.; Yang, Y.; et al. Neoantigen identification strategies enable personalized immunotherapy in refractory solid tumors. J. Clin. Investig. 2019, 129, 2056–2070. [Google Scholar] [CrossRef] [PubMed]
- Kreiter, S.; Selmi, A.; Diken, M.; Sebastian, M.; Osterloh, P.; Schild, H.; Huber, C.; Türeci, O.; Sahin, U. Increased antigen presentation efficiency by coupling antigens to MHC class I trafficking signals. J. Immunol. 2008, 180, 309–318. [Google Scholar] [CrossRef] [PubMed]
- Chen, X.; Zaro, J.L.; Shen, W.C. Fusion protein linkers: Property, design and functionality. Adv. Drug Deliv. Rev. 2013, 65, 1357–1369. [Google Scholar] [CrossRef]
- van Rosmalen, M.; Krom, M.; Merkx, M. Tuning the Flexibility of Glycine-Serine Linkers To Allow Rational Design of Multidomain Proteins. Biochemistry 2017, 56, 6565–6574. [Google Scholar] [CrossRef]
- Ingels, J.; De Cock, L.; Mayer, R.L.; Devreker, P.; Weening, K.; Heyns, K.; Lootens, N.; De Smet, S.; Brusseel, M.; De Munter, S.; et al. Small-scale manufacturing of neoantigen-encoding messenger RNA for early-phase clinical trials. Cytotherapy 2022, 24, 213–222. [Google Scholar] [CrossRef]
- Cafri, G.; Gartner, J.J.; Zaks, T.; Hopson, K.; Levin, N.; Paria, B.C.; Parkhurst, M.R.; Yossef, R.; Lowery, F.J.; Jafferji, M.S.; et al. mRNA vaccine-induced neoantigen-specific T cell immunity in patients with gastrointestinal cancer. J. Clin. Investig. 2020, 130, 5976–5988. [Google Scholar] [CrossRef]
- Hollingsworth, R.E.; Jansen, K. Turning the corner on therapeutic cancer vaccines. NPJ Vaccines 2019, 4, 7. [Google Scholar] [CrossRef]
- Faghfuri, E.; Pourfarzi, F.; Faghfouri, A.H.; Abdoli Shadbad, M.; Hajiasgharzadeh, K.; Baradaran, B. Recent developments of RNA-based vaccines in cancer immunotherapy. Expert Opin. Biol. Ther. 2021, 21, 201–218. [Google Scholar] [CrossRef] [PubMed]
- Coulie, P.G.; Van den Eynde, B.J.; van der Bruggen, P.; Boon, T. Tumour antigens recognized by T lymphocytes: At the core of cancer immunotherapy. Nat. Rev. Cancer 2014, 14, 135–146. [Google Scholar] [CrossRef] [PubMed]
- Hu, Z.; Ott, P.A.; Wu, C.J. Towards personalized, tumour-specific, therapeutic vaccines for cancer. Nat. Rev. Immunol. 2018, 18, 168–182. [Google Scholar] [CrossRef]
- Chen, Y.T.; Scanlan, M.J.; Sahin, U.; Türeci, O.; Gure, A.O.; Tsang, S.; Williamson, B.; Stockert, E.; Pfreundschuh, M.; Old, L.J. A testicular antigen aberrantly expressed in human cancers detected by autologous antibody screening. Proc. Natl. Acad. Sci. USA 1997, 94, 1914–1918. [Google Scholar] [CrossRef] [PubMed]
- Buonaguro, L.; Petrizzo, A.; Tornesello, M.L.; Buonaguro, F.M. Translating tumor antigens into cancer vaccines. Clin. Vaccine Immunol. 2011, 18, 23–34. [Google Scholar] [CrossRef] [PubMed]
- Novellino, L.; Castelli, C.; Parmiani, G. A listing of human tumor antigens recognized by T cells: March 2004 update. Cancer Immunol. Immunother. 2005, 54, 187–207. [Google Scholar] [CrossRef]
- Simon, P.; Omokoko, T.A.; Breitkreuz, A.; Hebich, L.; Kreiter, S.; Attig, S.; Konur, A.; Britten, C.M.; Paret, C.; Dhaene, K.; et al. Functional TCR retrieval from single antigen-specific human T cells reveals multiple novel epitopes. Cancer Immunol. Res. 2014, 2, 1230–1244. [Google Scholar] [CrossRef] [PubMed]
- Cheever, M.A.; Allison, J.P.; Ferris, A.S.; Finn, O.J.; Hastings, B.M.; Hecht, T.T.; Mellman, I.; Prindiville, S.A.; Viner, J.L.; Weiner, L.M.; et al. The prioritization of cancer antigens: A national cancer institute pilot project for the acceleration of translational research. Clin. Cancer Res. 2009, 15, 5323–5337. [Google Scholar] [CrossRef]
- Aikins, M.E.; Xu, C.; Moon, J.J. Engineered Nanoparticles for Cancer Vaccination and Immunotherapy. Acc Chem. Res. 2020, 53, 2094–2105. [Google Scholar] [CrossRef]
- Conry, R.M.; LoBuglio, A.F.; Wright, M.; Sumerel, L.; Pike, M.J.; Johanning, F.; Benjamin, R.; Lu, D.; Curiel, D.T. Characterization of a messenger RNA polynucleotide vaccine vector. Cancer Res. 1995, 55, 1397–1400. [Google Scholar]
- Zhou, W.Z.; Hoon, D.S.; Huang, S.K.; Fujii, S.; Hashimoto, K.; Morishita, R.; Kaneda, Y. RNA melanoma vaccine: Induction of antitumor immunity by human glycoprotein 100 mRNA immunization. Hum. Gene Ther. 1999, 10, 2719–2724. [Google Scholar] [CrossRef] [PubMed]
- Perche, F.; Benvegnu, T.; Berchel, M.; Lebegue, L.; Pichon, C.; Jaffrès, P.A.; Midoux, P. Enhancement of dendritic cells transfection in vivo and of vaccination against B16F10 melanoma with mannosylated histidylated lipopolyplexes loaded with tumor antigen messenger RNA. Nanomedicine 2011, 7, 445–453. [Google Scholar] [CrossRef] [PubMed]
- Wang, Y.; Zhang, L.; Xu, Z.; Miao, L.; Huang, L. mRNA Vaccine with Antigen-Specific Checkpoint Blockade Induces an Enhanced Immune Response against Established Melanoma. Mol. Ther. 2018, 26, 420–434. [Google Scholar] [CrossRef] [PubMed]
- Oberli, M.A.; Reichmuth, A.M.; Dorkin, J.R.; Mitchell, M.J.; Fenton, O.S.; Jaklenec, A.; Anderson, D.G.; Langer, R.; Blankschtein, D. Lipid Nanoparticle Assisted mRNA Delivery for Potent Cancer Immunotherapy. Nano Lett. 2017, 17, 1326–1335. [Google Scholar] [CrossRef]
- Mai, Y.; Guo, J.; Zhao, Y.; Ma, S.; Hou, Y.; Yang, J. Intranasal delivery of cationic liposome-protamine complex mRNA vaccine elicits effective anti-tumor immunity. Cell Immunol. 2020, 354, 104143. [Google Scholar] [CrossRef]
- Do, A.S.S.; Amano, T.; Edwards, L.A.; Zhang, L.; De Peralta-Venturina, M.; Yu, J.S. CD133 mRNA-Loaded Dendritic Cell Vaccination Abrogates Glioma Stem Cell Propagation in Humanized Glioblastoma Mouse Model. Mol. Ther. Oncolytics 2020, 18, 295–303. [Google Scholar] [CrossRef]
- He, Q.; Gao, H.; Tan, D.; Zhang, H.; Wang, J.Z. mRNA cancer vaccines: Advances, trends and challenges. Acta Pharm. Sin. B 2022, 12, 2969–2989. [Google Scholar] [CrossRef]
- Lichtenegger, F.S.; Schnorfeil, F.M.; Rothe, M.; Deiser, K.; Altmann, T.; Bücklein, V.L.; Köhnke, T.; Augsberger, C.; Konstandin, N.P.; Spiekermann, K.; et al. Toll-like receptor 7/8-matured RNA-transduced dendritic cells as post-remission therapy in acute myeloid leukaemia: Results of a phase I trial. Clin. Transl. Immunol. 2020, 9, e1117. [Google Scholar] [CrossRef]
- Van Tendeloo, V.F.; Van de Velde, A.; Van Driessche, A.; Cools, N.; Anguille, S.; Ladell, K.; Gostick, E.; Vermeulen, K.; Pieters, K.; Nijs, G.; et al. Induction of complete and molecular remissions in acute myeloid leukemia by Wilms’ tumor 1 antigen-targeted dendritic cell vaccination. Proc. Natl. Acad. Sci. USA 2010, 107, 13824–13829. [Google Scholar] [CrossRef]
- Anguille, S.; Van de Velde, A.L.; Smits, E.L.; Van Tendeloo, V.F.; Juliusson, G.; Cools, N.; Nijs, G.; Stein, B.; Lion, E.; Van Driessche, A.; et al. Dendritic cell vaccination as postremission treatment to prevent or delay relapse in acute myeloid leukemia. Blood 2017, 130, 1713–1721. [Google Scholar] [CrossRef]
- Kübler, H.; Scheel, B.; Gnad-Vogt, U.; Miller, K.; Schultze-Seemann, W.; Vom Dorp, F.; Parmiani, G.; Hampel, C.; Wedel, S.; Trojan, L.; et al. Self-adjuvanted mRNA vaccination in advanced prostate cancer patients: A first-in-man phase I/IIa study. J. Immunother. Cancer 2015, 3, 26. [Google Scholar] [CrossRef]
- Sebastian, M.; Schröder, A.; Scheel, B.; Hong, H.S.; Muth, A.; von Boehmer, L.; Zippelius, A.; Mayer, F.; Reck, M.; Atanackovic, D.; et al. A phase I/IIa study of the mRNA-based cancer immunotherapy CV9201 in patients with stage IIIB/IV non-small cell lung cancer. Cancer Immunol. Immunother. 2019, 68, 799–812. [Google Scholar] [CrossRef]
- Linch, M.; Papai, Z.; Takacs, I.; Imedio, E.R.; Kühnle, M.-C.; Derhovanessian, E.; Vogler, I.; Renken, S.; Graham, P.; Sahin, U.; et al. 421 A first-in-human (FIH) phase I/IIa clinical trial assessing a ribonucleic acid lipoplex (RNA-LPX) encoding shared tumor antigens for immunotherapy of prostate cancer; preliminary analysis of PRO-MERIT. J. Immunother. Cancer 2021, 9, A451. [Google Scholar] [CrossRef]
- Chung, D.J.; Sharma, S.; Rangesa, M.; DeWolf, S.; Elhanati, Y.; Perica, K.; Young, J.W. Langerhans dendritic cell vaccine bearing mRNA-encoded tumor antigens induces antimyeloma immunity after autotransplant. Blood Adv. 2022, 6, 1547–1558. [Google Scholar] [CrossRef] [PubMed]
- Papachristofilou, A.; Hipp, M.M.; Klinkhardt, U.; Früh, M.; Sebastian, M.; Weiss, C.; Pless, M.; Cathomas, R.; Hilbe, W.; Pall, G.; et al. Phase Ib evaluation of a self-adjuvanted protamine formulated mRNA-based active cancer immunotherapy, BI1361849 (CV9202), combined with local radiation treatment in patients with stage IV non-small cell lung cancer. J. Immunother. Cancer 2019, 7, 38. [Google Scholar] [CrossRef] [PubMed]
- Reinhard, K.; Rengstl, B.; Oehm, P.; Michel, K.; Billmeier, A.; Hayduk, N.; Klein, O.; Kuna, K.; Ouchan, Y.; Wöll, S.; et al. An RNA vaccine drives expansion and efficacy of claudin-CAR-T cells against solid tumors. Science 2020, 367, 446–453. [Google Scholar] [CrossRef] [PubMed]
- Strebhardt, K.; Ullrich, A. Paul Ehrlich’s magic bullet concept: 100 years of progress. Nat. Rev. Cancer 2008, 8, 473–480. [Google Scholar] [CrossRef]
- Chen, W.; Yuan, Y.; Jiang, X. Antibody and antibody fragments for cancer immunotherapy. J. Control. Release 2020, 328, 395–406. [Google Scholar] [CrossRef]
- Baas, P.; Scherpereel, A.; Nowak, A.K.; Fujimoto, N.; Peters, S.; Tsao, A.S.; Mansfield, A.S.; Popat, S.; Jahan, T.; Antonia, S.; et al. First-line nivolumab plus ipilimumab in unresectable malignant pleural mesothelioma (CheckMate 743): A multicentre, randomised, open-label, phase 3 trial. Lancet 2021, 397, 375–386. [Google Scholar] [CrossRef]
- Antonia, S.J.; Villegas, A.; Daniel, D.; Vicente, D.; Murakami, S.; Hui, R.; Yokoi, T.; Chiappori, A.; Lee, K.H.; de Wit, M.; et al. Durvalumab after Chemoradiotherapy in Stage III Non-Small-Cell Lung Cancer. N. Engl. J. Med. 2017, 377, 1919–1929. [Google Scholar] [CrossRef]
- Schmid, P.; Adams, S.; Rugo, H.S.; Schneeweiss, A.; Barrios, C.H.; Iwata, H.; Diéras, V.; Hegg, R.; Im, S.A.; Shaw Wright, G.; et al. Atezolizumab and Nab-Paclitaxel in Advanced Triple-Negative Breast Cancer. N. Engl. J. Med. 2018, 379, 2108–2121. [Google Scholar] [CrossRef]
- Labrijn, A.F.; Janmaat, M.L.; Reichert, J.M.; Parren, P.W.H.I. Bispecific antibodies: A mechanistic review of the pipeline. Nat. Rev. Drug Discov. 2019, 18, 585–608. [Google Scholar] [CrossRef]
- Van Hoecke, L.; Roose, K. How mRNA therapeutics are entering the monoclonal antibody field. J. Transl. Med. 2019, 17, 54. [Google Scholar] [CrossRef] [PubMed]
- Schlake, T.; Thran, M.; Fiedler, K.; Heidenreich, R.; Petsch, B.; Fotin-Mleczek, M. mRNA: A Novel Avenue to Antibody Therapy? Mol. Ther. 2019, 27, 773–784. [Google Scholar] [CrossRef] [PubMed]
- Thran, M.; Mukherjee, J.; Pönisch, M.; Fiedler, K.; Thess, A.; Mui, B.L.; Hope, M.J.; Tam, Y.K.; Horscroft, N.; Heidenreich, R.; et al. mRNA mediates passive vaccination against infectious agents, toxins, and tumors. EMBO Mol. Med. 2017, 9, 1434–1447. [Google Scholar] [CrossRef]
- Rybakova, Y.; Kowalski, P.S.; Huang, Y.; Gonzalez, J.T.; Heartlein, M.W.; DeRosa, F.; Delcassian, D.; Anderson, D.G. mRNA Delivery for Therapeutic Anti-HER2 Antibody Expression In Vivo. Mol. Ther. 2019, 27, 1415–1423. [Google Scholar] [CrossRef]
- Wang, Y.; Tiruthani, K.; Li, S.; Hu, M.; Zhong, G.; Tang, Y.; Roy, S.; Zhang, L.; Tan, J.; Liao, C.; et al. mRNA Delivery of a Bispecific Single-Domain Antibody to Polarize Tumor-Associated Macrophages and Synergize Immunotherapy against Liver Malignancies. Adv. Mater. 2021, 33, e2007603. [Google Scholar] [CrossRef]
- Klinger, M.; Benjamin, J.; Kischel, R.; Stienen, S.; Zugmaier, G. Harnessing T cells to fight cancer with BiTE® antibody constructs--past developments and future directions. Immunol. Rev. 2016, 270, 193–208. [Google Scholar] [CrossRef]
- Stadler, C.R.; Bähr-Mahmud, H.; Celik, L.; Hebich, B.; Roth, A.S.; Roth, R.P.; Karikó, K.; Türeci, Ö.; Sahin, U. Elimination of large tumors in mice by mRNA-encoded bispecific antibodies. Nat. Med. 2017, 23, 815–817. [Google Scholar] [CrossRef]
- Galon, J.; Bruni, D. Approaches to treat immune hot, altered and cold tumours with combination immunotherapies. Nat. Rev. Drug Discov. 2019, 18, 197–218. [Google Scholar] [CrossRef] [PubMed]
- Demaria, O.; Cornen, S.; Daëron, M.; Morel, Y.; Medzhitov, R.; Vivier, E. Harnessing innate immunity in cancer therapy. Nature 2019, 574, 45–56. [Google Scholar] [CrossRef] [PubMed]
- Aricò, E.; Castiello, L.; Capone, I.; Gabriele, L.; Belardelli, F. Type I Interferons and Cancer: An Evolving Story Demanding Novel Clinical Applications. Cancers 2019, 11, 1943. [Google Scholar] [CrossRef]
- Jeong, S.; Park, S.H. Co-Stimulatory Receptors in Cancers and Their Implications for Cancer Immunotherapy. Immune Netw. 2020, 20, e3. [Google Scholar] [CrossRef] [PubMed]
- Ong, G.H.; Lian, B.S.X.; Kawasaki, T.; Kawai, T. Exploration of Pattern Recognition Receptor Agonists as Candidate Adjuvants. Front. Cell Infect Microbiol. 2021, 11, 745016. [Google Scholar] [CrossRef]
- Lai, I.; Swaminathan, S.; Baylot, V.; Mosley, A.; Dhanasekaran, R.; Gabay, M.; Felsher, D.W. Lipid nanoparticles that deliver IL-12 messenger RNA suppress tumorigenesis in MYC oncogene-driven hepatocellular carcinoma. J. Immunother. Cancer 2018, 6, 125. [Google Scholar] [CrossRef]
- Liu, J.Q.; Zhang, C.; Zhang, X.; Yan, J.; Zeng, C.; Talebian, F.; Lynch, K.; Zhao, W.; Hou, X.; Du, S.; et al. Intratumoral delivery of IL-12 and IL-27 mRNA using lipid nanoparticles for cancer immunotherapy. J. Control. Release 2022, 345, 306–313. [Google Scholar] [CrossRef]
- Hotz, C.; Wagenaar, T.R.; Gieseke, F.; Bangari, D.S.; Callahan, M.; Cao, H.; Diekmann, J.; Diken, M.; Grunwitz, C.; Hebert, A.; et al. Local delivery of mRNA-encoded cytokines promotes antitumor immunity and tumor eradication across multiple preclinical tumor models. Sci. Transl. Med. 2021, 13, eabc7804. [Google Scholar] [CrossRef] [PubMed]
- Haabeth, O.A.W.; Blake, T.R.; McKinlay, C.J.; Tveita, A.A.; Sallets, A.; Waymouth, R.M.; Wender, P.A.; Levy, R. Local Delivery of Ox40l, Cd80, and Cd86 mRNA Kindles Global Anticancer Immunity. Cancer Res. 2019, 79, 1624–1634. [Google Scholar] [CrossRef]
- Hess, P.R.; Boczkowski, D.; Nair, S.K.; Snyder, D.; Gilboa, E. Vaccination with mRNAs encoding tumor-associated antigens and granulocyte-macrophage colony-stimulating factor efficiently primes CTL responses, but is insufficient to overcome tolerance to a model tumor/self antigen. Cancer Immunol. Immunother. 2006, 55, 672–683. [Google Scholar] [CrossRef]
- Kreiter, S.; Diken, M.; Selmi, A.; Petschenka, J.; Türeci, Ö.; Sahin, U. FLT3 Ligand as a Molecular Adjuvant for Naked RNA Vaccines. Methods Mol. Biol. 2016, 1428, 163–175. [Google Scholar] [CrossRef]
- De Keersmaecker, B.; Claerhout, S.; Carrasco, J.; Bar, I.; Corthals, J.; Wilgenhof, S.; Neyns, B.; Thielemans, K. TriMix and tumor antigen mRNA electroporated dendritic cell vaccination plus ipilimumab: Link between T-cell activation and clinical responses in advanced melanoma. J. Immunother. Cancer 2020, 8, e000329. [Google Scholar] [CrossRef] [PubMed]
- Jansen, Y.; Kruse, V.; Corthals, J.; Schats, K.; van Dam, P.J.; Seremet, T.; Heirman, C.; Brochez, L.; Kockx, M.; Thielemans, K.; et al. A randomized controlled phase II clinical trial on mRNA electroporated autologous monocyte-derived dendritic cells (TriMixDC-MEL) as adjuvant treatment for stage III/IV melanoma patients who are disease-free following the resection of macrometastases. Cancer Immunol. Immunother. 2020, 69, 2589–2598. [Google Scholar] [CrossRef]
- Wilgenhof, S.; Van Nuffel, A.M.T.; Benteyn, D.; Corthals, J.; Aerts, C.; Heirman, C.; Van Riet, I.; Bonehill, A.; Thielemans, K.; Neyns, B. A phase IB study on intravenous synthetic mRNA electroporated dendritic cell immunotherapy in pretreated advanced melanoma patients. Ann. Oncol. 2013, 24, 2686–2693. [Google Scholar] [CrossRef] [PubMed]
- Arance Fernandez, A.N.A.M.; Baurain, J.-F.; Vulsteke, C.; Rutten, A.; Soria, A.; Carrasco, J.; Neyns, B.; De Keersmaecker, B.; Van Assche, T.; Lindmark, B. A phase I study (E011-MEL) of a TriMix-based mRNA immunotherapy (ECI-006) in resected melanoma patients: Analysis of safety and immunogenicity. J. Clin. Oncol. 2019, 37 (Suppl. 15), 2641. [Google Scholar] [CrossRef]
- Bialkowski, L.; van Weijnen, A.; Van der Jeught, K.; Renmans, D.; Daszkiewicz, L.; Heirman, C.; Stangé, G.; Breckpot, K.; Aerts, J.L.; Thielemans, K. Intralymphatic mRNA vaccine induces CD8 T-cell responses that inhibit the growth of mucosally located tumours. Sci. Rep. 2016, 6, 22509. [Google Scholar] [CrossRef]
- Hewitt, S.L.; Bai, A.; Bailey, D.; Ichikawa, K.; Zielinski, J.; Karp, R.; Apte, A.; Arnold, K.; Zacharek, S.J.; Iliou, M.S.; et al. Durable anticancer immunity from intratumoral administration of IL-23, IL-36γ, and OX40L mRNAs. Sci. Transl. Med. 2019, 11, eaat9143. [Google Scholar] [CrossRef] [PubMed]
- Eigentler, T.; Bauernfeind, F.G.; Becker, J.C.; Brossart, P.; Fluck, M.; Heinzerling, L.; Krauss, J.; Mohr, P.; Ochsenreither, S.; Schreiber, J.S.; et al. A phase I dose-escalation and expansion study of intratumoral CV8102 as single-agent or in combination with anti-PD-1 antibodies in patients with advanced solid tumors. J. Clin. Oncol. 2020, 38 (Suppl. 15), 3096. [Google Scholar] [CrossRef]
- Löffler, M.W.; Gori, S.; Izzo, F.; Mayer-Mokler, A.; Ascierto, P.A.; Königsrainer, A.; Ma, Y.T.; Sangro, B.; Francque, S.; Vonghia, L.; et al. Phase I/II Multicenter Trial of a Novel Therapeutic Cancer Vaccine, HepaVac-101, for Hepatocellular Carcinoma. Clin. Cancer Res. 2022, 28, 2555–2566. [Google Scholar] [CrossRef]
- Patel, M.R.; Bauer, T.M.; Jimeno, A.; Wang, D.; LoRusso, P.; Do, K.T.; Stemmer, S.M.; Maurice-Dror, C.; Geva, R.; Zacharek, S.; et al. A phase I study of mRNA-2752, a lipid nanoparticle encapsulating mRNAs encoding human OX40L, IL-23, and IL-36γ, for intratumoral (iTu) injection alone and in combination with durvalumab. J. Clin. Oncol. 2020, 38 (Suppl. 15), 3092. [Google Scholar] [CrossRef]
- Gao, L.; Wu, Z.X.; Assaraf, Y.G.; Chen, Z.S.; Wang, L. Overcoming anti-cancer drug resistance via restoration of tumor suppressor gene function. Drug Resist. Updat 2021, 57, 100770. [Google Scholar] [CrossRef]
- Vogelstein, B.; Papadopoulos, N.; Velculescu, V.E.; Zhou, S.; Diaz, L.A., Jr.; Kinzler, K.W. Cancer genome landscapes. Science 2013, 339, 1546–1558. [Google Scholar] [CrossRef] [PubMed]
- Tamborero, D.; Gonzalez-Perez, A.; Perez-Llamas, C.; Deu-Pons, J.; Kandoth, C.; Reimand, J.; Lawrence, M.S.; Getz, G.; Bader, G.D.; Ding, L.; et al. Comprehensive identification of mutational cancer driver genes across 12 tumor types. Sci. Rep. 2013, 3, 2650. [Google Scholar] [CrossRef] [PubMed]
- Lin, Y.X.; Wang, Y.; Ding, J.; Jiang, A.; Wang, J.; Yu, M.; Blake, S.; Liu, S.; Bieberich, C.J.; Farokhzad, O.C.; et al. Reactivation of the tumor suppressor PTEN by mRNA nanoparticles enhances antitumor immunity in preclinical models. Sci. Transl. Med. 2021, 13, eaba9772. [Google Scholar] [CrossRef] [PubMed]
- Xiao, Y.; Chen, J.; Zhou, H.; Zeng, X.; Ruan, Z.; Pu, Z.; Jiang, X.; Matsui, A.; Zhu, L.; Amoozgar, Z.; et al. Combining p53 mRNA nanotherapy with immune checkpoint blockade reprograms the immune microenvironment for effective cancer therapy. Nat. Commun. 2022, 13, 758. [Google Scholar] [CrossRef] [PubMed]
- Qiu, M.; Tang, Y.; Chen, J.; Muriph, R.; Ye, Z.; Huang, C.; Evans, J.; Henske, E.P.; Xu, Q. Lung-selective mRNA delivery of synthetic lipid nanoparticles for the treatment of pulmonary lymphangioleiomyomatosis. Proc. Natl. Acad. Sci. USA 2022, 119, e2116271119. [Google Scholar] [CrossRef]
- Segel, M.; Lash, B.; Song, J.; Ladha, A.; Liu, C.C.; Jin, X.; Mekhedov, S.L.; Macrae, R.K.; Koonin, E.V.; Zhang, F. Mammalian retrovirus-like protein PEG10 packages its own mRNA and can be pseudotyped for mRNA delivery. Science 2021, 373, 882–889. [Google Scholar] [CrossRef]
Disclaimer/Publisher’s Note: The statements, opinions and data contained in all publications are solely those of the individual author(s) and contributor(s) and not of MDPI and/or the editor(s). MDPI and/or the editor(s) disclaim responsibility for any injury to people or property resulting from any ideas, methods, instructions or products referred to in the content. |
© 2023 by the authors. Licensee MDPI, Basel, Switzerland. This article is an open access article distributed under the terms and conditions of the Creative Commons Attribution (CC BY) license (https://creativecommons.org/licenses/by/4.0/).