Intranasal Delivery of a Silymarin Loaded Microemulsion for the Effective Treatment of Parkinson’s Disease in Rats: Formulation, Optimization, Characterization, and In Vivo Evaluation
Abstract
1. Introduction
2. Materials and Methods
2.1. Materials
2.2. Experimental
2.2.1. RP-HPLC Method Development
2.2.2. Selection of Solubilizer
2.2.3. Formulation Development
Preparation of ME
Pseudo-Ternary Phase Diagram (p-TPD) of ME
Design of Experiment
Preparation of Mucoadhesive ME
2.2.4. Characterization of Optimized Formulations
Droplet Size Analysis (DS), PDI, and Zeta Potential (ZP)
pH, Viscosity, and Refractive Index
Drug Loading
Thermodynamic Stability Studies (TSS)
- Freeze-thaw cycle: After being stored at −20 °C for 24 h, the improved formulation was brought to room temperature. It was visually observed to check for any turbidity or phase separation after returning to its liquid state.
- Centrifugation test: Following the freeze-thaw cycle, the formulation was centrifuged for 30 min at 3500× g.
- Heating and cooling cycle: The optimized NE was placed at 4 °C in the refrigerator (cooling cycles), whereas, in heating cycles, the formulation was kept at 45 °C. The cycle took 48 h to complete. All samples were evaluated three times [28].
Cytotoxicity Studies
In Vitro Drug Release Studies
Ex Vivo Diffusion Studies
2.2.5. Animal Study
Parkinsonism Animal Model
2.2.6. Behavioral Analysis
Locomotor
Muscle Coordination (MC)
Catalepsy
2.2.7. Biochemical Parameters
Thiobarbituric Acid Reactive Substances (TBARS) Assay
Nitrite Assay
GSH Assay
Catalase (CAT) Assay
Superoxide Dismutase (SOD) Assay
Total Protein
Enzyme-Linked Immunosorbent Assay (ELISA)
Dopamine (DA)
Statistical Analysis
3. Results and Discussion
3.1. Solubility Studies
3.2. Pseudo-Ternary Phase Diagram
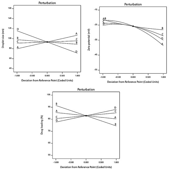
3.3. CCD
3.4. Cytotoxicity Studies
3.5. In Vitro Release Tests
3.6. Ex Vivo Diffusion Test
3.7. In Vivo Pharmacodynamics Studies
3.7.1. Behavioral Factors
Locomotor Activity Test
Muscle Coordination
Catalepsy
3.7.2. Biochemical Studies
Oxidative Parameters
ELISA Parameters
4. Conclusions
Author Contributions
Funding
Institutional Review Board Statement
Informed Consent Statement
Data Availability Statement
Conflicts of Interest
References
- Patel, T.; Chang, F. Practice Recommendations for Parkinson’s Disease: Assessment and Management by Community Pharmacists. Can. Pharm. J. Rev. Des Pharm. Du Can. 2015, 148, 142–149. [Google Scholar] [CrossRef] [PubMed]
- Dauer, W.; Przedborski, S. Parkinson’s Disease: Mechanisms and Models. Neuron 2003, 39, 889–909. [Google Scholar] [CrossRef] [PubMed]
- Dickson, D.W. Parkinson’s Disease and Parkinsonism: Neuropathology. Cold Spring Harb. Perspect. Med. 2012, 2, a009258. [Google Scholar] [CrossRef]
- De Lau, L.M.L.; Breteler, M.M.B. Epidemiology of Parkinson’s Disease. Lancet Neurol. 2006, 5, 525–535. [Google Scholar] [CrossRef] [PubMed]
- Rizek, P.; Kumar, N.; Jog, M.S. An Update on the Diagnosis and Treatment of Parkinson Disease. CMAJ 2016, 188, 1157–1165. [Google Scholar] [CrossRef]
- Tysnes, O.-B.; Storstein, A. Epidemiology of Parkinson’s disease. J. Neural. Transm. 2017, 124, 901–905. [Google Scholar] [CrossRef] [PubMed]
- Meldrum, B.S. Glutamate as a Neurotransmitter in the Brain: Review of Physiology and Pathology. J. Nutr. 2000, 130, 1007S–1015S. [Google Scholar] [CrossRef]
- Zhou, Y.; Danbolt, N.C. Glutamate as a Neurotransmitter in the Healthy Brain. J. Neural. Transm. 2014, 121, 799–817. [Google Scholar] [CrossRef] [PubMed]
- Lazarevic, V.; Yang, Y.; Ivanova, D.; Fejtova, A.; Svenningsson, P. Riluzole Attenuates the Efficacy of Glutamatergic Transmission by Interfering with the Size of the Readily Releasable Neurotransmitter Pool. Neuropharmacology 2018, 143, 38–48. [Google Scholar] [CrossRef] [PubMed]
- Chiu, K.M.; Lin, T.Y.; Lee, M.Y.; Lu, C.W.; Wang, M.J.; Wang, S.J. Dexmedetomidine Protects Neurons from Kainic Acid-Induced Excitotoxicity by Activating BDNF Signaling. Neurochem. Int. 2019, 129, 104493. [Google Scholar] [CrossRef] [PubMed]
- Pagano, G.; Tan, E.E.; Haider, J.M.; Bautista, A.; Tagliati, M. Constipation Is Reduced by Beta-Blockers and Increased by Dopaminergic Medications in Parkinson’s Disease. Park. Relat. Disord. 2015, 21, 120–125. [Google Scholar] [CrossRef] [PubMed]
- Olanow, C.W.; Schapira, A.H.V.; Agid, Y. Neuroprotection for Parkinson’s Disease: Prospects and Promises. Ann. Neurol. 2003, 53 (Suppl. 3), S1–S2. [Google Scholar] [CrossRef] [PubMed]
- Weiss, H.D.; Marsh, L. Impulse Control Disorders and Compulsive Behaviors Associated with Dopaminergic Therapies in Parkinson Disease. Neurol. Clin. Pract. 2012, 2, 267. [Google Scholar] [CrossRef] [PubMed]
- Soleimani, V.; Delghandi, P.S.; Moallem, S.A.; Karimi, G. Safety and Toxicity of Silymarin, the Major Constituent of Milk Thistle Extract: An Updated Review. Phyther. Res. 2019, 33, 1627–1638. [Google Scholar] [CrossRef] [PubMed]
- Rehman, M.U.; Wali, A.F.; Ahmad, A.; Shakeel, S.; Rasool, S.; Ali, R.; Rashid, S.M.; Madkhali, H.; Ganaie, M.A.; Khan, R. Neuroprotective Strategies for Neurological Disorders by Natural Products: An Update. Curr. Neuropharmacol. 2018, 17, 247–267. [Google Scholar] [CrossRef]
- Surai, P.F. Silymarin as a Natural Antioxidant: An Overview of the Current Evidence and Perspectives. Antioxidants 2015, 4, 204–247. [Google Scholar] [CrossRef]
- Vargas, M.N.; Morales, G.A.; Morales, M.M.; Soriano, U.M.A.; Delgado, O.L.; Sandoval, G.E.M.; Madrigal, B.E.; Álvarez, G.I.; Madrigal, S.E.; Morales, G.J.A. Flavolignans from Silymarin as Nrf2 Bioactivators and Their Therapeutic Applications. Biomedicines 2020, 8, 122. [Google Scholar] [CrossRef]
- Borah, A.; Paul, R.; Choudhury, S.; Choudhury, A.; Bhuyan, B.; Das Talukdar, A.; Dutta Choudhury, M.; Mohanakumar, K.P. Neuroprotective Potential of Silymarin against CNS Disorders: Insight into the Pathways and Molecular Mechanisms of Action. CNS Neurosci. Ther. 2013, 19, 847. [Google Scholar] [CrossRef]
- Raza, S.S.; Khan, M.M.; Ashafaq, M.; Ahmad, A.; Khuwaja, G.; Khan, A.; Siddiqui, M.S.; Safhi, M.M.; Islam, F. Silymarin Protects Neurons from Oxidative Stress Associated Damages in Focal Cerebral Ischemia: A Behavioral, Biochemical and Immunohistological Study in Wistar Rats. J. Neurol. Sci. 2011, 309, 45–54. [Google Scholar] [CrossRef]
- Hirayama, K.; Oshima, H.; Yamashita, A.; Sakatani, K.; Yoshino, A.; Katayama, Y. Neuroprotective Effects of Silymarin on Ischemia-Induced Delayed Neuronal Cell Death in Rat Hippocampus. Brain Res. 2016, 1646, 297–303. [Google Scholar] [CrossRef]
- Shen, L.; Liu, L.; Li, X.Y.; Ji, H.F. Regulation of Gut Microbiota in Alzheimer’s Disease Mice by Silibinin and Silymarin and Their Pharmacological Implications. Appl. Microbiol. Biotechnol. 2019, 103, 7141–7149. [Google Scholar] [CrossRef]
- Yang, X.; Tang, Q.; Jiang, Y.; Zhang, M.; Wang, M.; Mao, L. Nanoscale ATP-Responsive Zeolitic Imidazole Framework-90 as a General Platform for Cytosolic Protein Delivery and Genome Editing. J. Am. Chem. Soc. 2019, 141, 3782–3786. [Google Scholar] [CrossRef]
- Musuluri, M.; Peruri, S.V.V.; Bollikolla, H.; Mannam, K. A RP-HPLC Method for the Simultaneous Estimation of Silymarin and Thiamine in Bulk and Pharmaceutical Forms. Asian J. Res. Chem. 2012, 5, 1440–1443. [Google Scholar]
- Khursheed, R.; Kumar, S.; Wadhwa, S.; Gulati, M. International Journal of Biological Macromolecules Development of Mushroom Polysaccharide and Probiotics Based Solid Self-Nanoemulsifying Drug Delivery System Loaded with Curcumin and Quercetin to Improve Their Dissolution Rate and Permeability: State of the art. Int. J. Biol. Macromol. 2021, 189, 744–757. [Google Scholar] [CrossRef]
- Inugala, S.; Eedara, B.B.; Sunkavalli, S.; Dhurke, R.; Kandadi, P.; Jukanti, R.; Bandari, S. Solid self-nanoemulsifying drug delivery system (S-SNEDDS) of darunavir for improved dissolution and oral bioavailability: In vitro and in vivo evaluation. Eur. J. Pharm. Sci. 2015, 74, 1–10. [Google Scholar] [CrossRef] [PubMed]
- Kumar, R.; Kumar, R.; Khurana, N.; Singh, S.K.; Khurana, S.; Verma, S.; Sharma, N.; Kapoor, B.; Vyas, M.; Khursheed, R.; et al. Enhanced Oral Bioavailability and Neuroprotective Effect of Fisetin through Its SNEDDS against Rotenone-Induced Parkinson’s Disease Rat Model. Food Chem. Toxicol. 2020, 144, 111590. [Google Scholar] [CrossRef]
- Sood, S.; Jain, K.; Gowthamarajan, K. Optimization of Curcumin Nanoemulsion for Intranasal Delivery Using Design of Experiment and Its Toxicity Assessment. Colloids Surf. B Biointerfaces 2014, 113, 330–337. [Google Scholar] [CrossRef] [PubMed]
- Beg, S.; Sharma, G.; Thanki, K.; Jain, S.; Katare, O.P.; Singh, B. Positively charged self-nanoemulsifying oily formulations of olmesartan medoxomil: Systematic development, in vitro, ex vivo and in vivo evaluation. Int. J. Pharm. 2015, 493, 466–482. [Google Scholar] [CrossRef] [PubMed]
- Kumar, M.; Pathak, K.; Misra, A. Formulation and Characterization of Nanoemulsion-Based Drug Delivery System of Risperidone. Drug Dev. Ind. Pharm. 2009, 35, 387–395. [Google Scholar] [CrossRef]
- Beg, S.; Katare, O.P.; Saini, S.; Garg, B.; Khurana, R.K.; Singh, B. Solid self-nanoemulsifying systems of olmesartan medoxomil: Formulation development, micromer.itic characterization, in vitro and in vivo evaluation. Powder Technol. 2016, 294, 93–104. [Google Scholar] [CrossRef]
- Joshi, R.P.; Negi, G.; Kumar, A.; Pawar, Y.B.; Munjal, B.; Bansal, A.K.; Sharma, S.S. SNEDDS curcumin formulation leads to enhanced protection from pain and functional deficits associated with diabetic neuropathy: An insight into its mechanism for neuroprotection. Nanomed. Nanotechnol. Biol. Med. 2013, 9, 776–785. [Google Scholar] [CrossRef] [PubMed]
- Doggui, S.; Sahni, J.K.; Arseneault, M.; Dao, L.; Ramassamy, C. Neuronal Uptake and Neuroprotective Effect of Curcumin-Loaded PLGA Nanoparticles on the Human SK-N-SH Cell Line. J. Alzheimer’s Dis. 2012, 30, 377–392. [Google Scholar] [CrossRef]
- Sood, S.; Jawahar, N.; Jain, K.; Gowthamarajan, K.; Nainar Meyyanathan, S. Olanzapine Loaded Cationic Solid Lipid Nanoparticles for Improved Oral Bioavailability. Curr. Nanosci. 2013, 9, 26–34. [Google Scholar] [CrossRef]
- Kushwaha, A.K.; Vuddanda, P.R.; Karunanidhi, P.; Singh, S.K.; Singh, S. Development and evaluation of solid lipid nanoparticles of raloxifene hydrochloride for enhanced bioavailability. BioMed. Res. Int. 2013, 2013, 584549. [Google Scholar] [CrossRef]
- Seju, U.; Kumar, A.; Sawant, K.K. Development and Evaluation of Olanzapine-Loaded PLGA Nanoparticles for Nose-to-Brain Delivery: In Vitro and in Vivo Studies. Acta Biomater. 2011, 7, 4169–4176. [Google Scholar] [CrossRef]
- Khurana, N.; Ishar, M.P.S.; Gajbhiye, A.; Goel, R.K. PASS Assisted Prediction and Pharmacological Evaluation of Novel Nicotinic Analogs for Nootropic Activity in Mice. Eur. J. Pharmacol. 2011, 662, 22–30. [Google Scholar] [CrossRef]
- Green, L.C.; Wagner, D.A.; Glogowski, J.; Skipper, P.L.; Wishnok, J.S.; Tannenbaum, S.R. Analysis of Nitrate, Nitrite, and [15N]Nitrate in Biological Fluids. Anal. Biochem. 1982, 126, 131–138. [Google Scholar] [CrossRef]
- Beutler, E. Improved Method for the Determination of Blood Glutathione. J. Lab. Clin. Med. 1963, 61, 882–888. [Google Scholar]
- Swarnkar, S.; Singh, S.; Sharma, S.; Mathur, R.; Patro, I.K.; Nath, C. Rotenone Induced Neurotoxicity in Rat Brain Areas: A Histopathological Study. Neurosci. Lett. 2011, 501, 123–127. [Google Scholar] [CrossRef] [PubMed]
- Lowry, O.H.; Rosebrough, N.J.; Farr, A.L.; Randall, R.J. Protein Measurement with the Folin Phenol Reagent. J. Biol. Chem. 1951, 193, 265–275. [Google Scholar] [CrossRef] [PubMed]
- Harish, V.; Tewari, D.; Mohd, S.; Govindaiah, P.; Babu, M.R.; Kumar, R.; Gulati, M.; Gowthamarajan, K.; Madhunapantula, S.V.; Chellappan, D.K.; et al. Quality by Design Based Formulation of Xanthohumol Loaded Solid Lipid Nanoparticles with Improved Bioavailability and Anticancer Effect against PC-3 Cells. Pharmaceutics 2022, 14, 2403. [Google Scholar] [CrossRef] [PubMed]
- Zeng, Q.P.; Liu, Z.H.; Huang, A.W.; Zhang, J.; Song, H.T. Preparation and Characterization of Silymarin Synchronized-Release Microporous Osmotic Pump Tablets. Drug Des. Devel. Ther. 2016, 10, 519–531. [Google Scholar] [CrossRef] [PubMed]
- Costa, P.; Sousa Lobo, J.M. Modeling and Comparison of Dissolution Profiles. Eur. J. Pharm. Sci. 2001, 13, 123–133. [Google Scholar] [CrossRef] [PubMed]
- Rassu, G.; Gavini, E.; Jonassen, H.; Zambito, Y.; Fogli, S.; Breschi, M.C.; Giunchedi, P. New Chitosan Derivatives for the Preparation of Rokitamycin Loaded Microspheres Designed for Ocular or Nasal Administration. J. Pharm. Sci. 2009, 98, 4852–4865. [Google Scholar] [CrossRef] [PubMed]
- Morimoto, K.; Morisaka, K.; Kamada, A. Enhancement of Nasal Absorption of Insulin and Calcitonin Using Polyacrylic Acid Gel. J. Pharm. Pharmacol. 2011, 37, 134–136. [Google Scholar] [CrossRef] [PubMed]



















| Independent Factors | ||
|---|---|---|
| Uncoded (%v/v,) | Coded | Uncoded |
| LMCS (Oil phase) | A | 10–30 |
| T80 (Surfactant) | B | 15–35 |
| TP (Co-surfactant) | C | 10–20 |
| Water (Dispersion medium) | D | 30–70 |
| Groups. | Intervention |
|---|---|
| Group 1 | Control group (mixture of sunflower oil and normal saline) |
| Group 2 | Rotenone alone (disease group) |
| Group 3 | Standard drugs (Levodopa and Carbidopa) |
| Group 4 | Silymarin high dose alone |
| Group 5 | Rotenone + Standard drugs |
| Group 6 | Rotenone + Silymarin HD |
| Group 7 | Rotenone + Silymarin microemulsion (SLMME) LD |
| Group 8 | Rotenone + Silymarin microemulsion (SLMME) HD |
| Group 9 | Rotenone + Placebo mucoadhesive microemulsion |
| Group 10 | Rotenone + Silymarin mucoadhesive microemulsion (SLMMME) LD |
| Group 11 | Rotenone + Silymarin mucoadhesive microemulsion (SLMMME) HD |
| Run | Factor 1: Labrafil M 1944CS (%v/v,) | Factor 2: Tween 80 (%v/v,) | Factor 3: Transcutol P (%v/v,) | Factor 4: Water (%v/v,) | Y1: Droplet Size (nm) | Y2: Zeta Potential (mV) | Y3: Drug Loading (%) |
|---|---|---|---|---|---|---|---|
| 1 | 10.00 | 15 | 20.00 | 30.00 | 99.24 | −29.7 | 97.99 |
| 2 | 30.00 | 15 | 20.00 | 70.00 | 74.53 | −41.8 | 99.01 |
| 3 | 20.00 | 25 | 6.59 | 50.00 | 69.09 | −18.4 | 84.01 |
| 4 | 20.00 | 25 | 15.00 | 50.00 | 73.70 | −15.91 | 65.02 |
| 5 | 30.00 | 15 | 10.00 | 70.00 | 92.98 | −27.9 | 90.18 |
| 6 | 20.00 | 25 | 15.00 | 50.00 | 95.51 | −22.8 | 87.02 |
| 7 | 20.00 | 41.81 | 15.00 | 50.00 | 96.77 | −23.7 | 57.35 |
| 8 | 30.00 | 35 | 20.00 | 30.00 | 126.57 | −44.67 | 73.36 |
| 9 | 20.00 | 8.18 | 15.00 | 50.00 | 110.6 | −12.43 | 87.1 |
| 10 | 20.00 | 25 | 15.00 | 16.36 | 152.71 | −24.87 | 71.31 |
| 11 | 20.00 | 25 | 15.00 | 50.00 | 87.93 | −23.67 | 81.58 |
| 12 | 20.00 | 25 | 15.00 | 83.63 | 88.10 | −41.34 | 94.65 |
| 13 | 36.81 | 25 | 15.00 | 50.00 | 116.73 | −47.7 | 86.34 |
| 14 | 20.00 | 25 | 15.00 | 50.00 | 71.81 | −21.67 | 99.12 |
| 15 | 10.00 | 35 | 20.00 | 70.00 | 46.78 | −21.43 | 82.9 |
| 16 | 20.00 | 25 | 23.40 | 50.00 | 114.33 | −35.9 | 86.9 |
| 17 | 10.00 | 35 | 10.00 | 70.00 | 56.68 | −31.87 | 83.99 |
| 18 | 20.00 | 25 | 15.00 | 50.00 | 85.85 | −19.65 | 67.03 |
| 19 | 3.18 | 25 | 15.00 | 50.00 | 58.86 | −19.3 | 94.99 |
| 20 | 10.00 | 15 | 10.00 | 30.00 | 122.34 | −32.1 | 85.36 |
| 21 | 30.00 | 35 | 10.00 | 30.00 | 119.49 | −17.4 | 65.97 |
| Response Variables | Parameters of Regression | p Value | |
|---|---|---|---|
| R2 | Fcal. | ||
| Droplet size (Y1) | 0.6895 | 8.88 | 0.0006 |
| Zeta potential (Y2) | 0.9765 | 17.83 | 0.0010 |
| Drug loading | 0.5358 | 4.62 | 0.0114 |
| Model | SLMME | SLMMME |
|---|---|---|
| R2 value | R2 value | |
| Zero order | 0.9182 | 0.8256 |
| First order | 0.4183 | 0.3460 |
| Korsmeyer Peppas | 0.9502 | 0.9188 |
| Weibull | 0.9195 | 0.9089 |
| Hixon Crowell | 0.7262 | 0.6637 |
| Higuchi | 0.9996 | 0.9920 |
| Treatment | Oxidative Parameter | ||||
|---|---|---|---|---|---|
| TBARS (nmol/mg of Protein) | Nitrite (nmol/mg of Protein) | GSH (nmol/mg of Protein) | CAT (Units/mg of Protein) | SOD (Units/mg of Protein) | |
| Group 1 | 1.117 ± 0.028 | 0.807 ± 0.012 | 4.452 ± 0.122 | 0.975 ± 0.016 | 11.444 ± 0.311 |
| Group 2 | 3.530 ± 0.313 * | 1.777 ± 0.029 * | 0.955 ± 0.050 * | 0.057 ± 0.023 * | 3.210 ± 0.781 * |
| Group 3 | 1.180± 0.020 | 0.789 ± 0.006 | 4.465 ± 0.164 | 0.953 ± 0.034 | 11.649 ± 0.334 |
| Group 4 | 1.178 ± 0.042 | 0.806 ± 0.012 | 4.283 ± 0.119 | 0.926 ± 0.022 | 11.611 ± 0.405 |
| Group 5 | 2.901 ± 0.030 # | 1.498 ± 0.018 # | 2.145 ± 0.074 # | 0.420 ± 0.043 # | 5.292 ± 0.537 # |
| Group 6 | 2.708 ± 0.030 # | 1.410 ± 0.018 # | 2.445 ± 0.074 # | 0.461 ± 0.040 # | 5.872 ± 0.496 # |
| Group 7 | 2.592 ± 0.038 # | 1.472 ± 0.024 # | 2.985 ± 0.033 #,@ | 0.554 ± 0.045 # | 6.411 ± 0.449 # |
| Group 8 | 1.910 ± 0.032 #,@,$,^ | 1.333 ± 0.010 #,@,^ | 3.461 ± 0.030 #,@,$ | 0.629 ± 0.031 #,$ | 6.996 ± 0.749 # |
| Group 9 | 3.525 ± 0.313 | 1.677 ± 0.029 | 0.915 ± 0.050 | 0.052 ± 0.026 | 3.310 ± 0.740 |
| Group 10 | 1.761 ± 0.073 #,@,^,! | 1.339 ± 0.020 #,@,^,! | 2.740 ± 0.005 #,@,^,! | 0.889 ± 0.014 #,@,^,! | 9.508 ± 0.380 #,@,^,! |
| Group 11 | 1.228 ± 0.108 #,@,$,&,! | 1.149 ± 0.025 #,@,$,&,!,λ | 3.921 ± 0.231 #,@,$,&,!,λ | 0.910 ± 0.023 #,@,$,&,! | 10.416 ± 0.634 #,@,$,&,! |
Disclaimer/Publisher’s Note: The statements, opinions and data contained in all publications are solely those of the individual author(s) and contributor(s) and not of MDPI and/or the editor(s). MDPI and/or the editor(s) disclaim responsibility for any injury to people or property resulting from any ideas, methods, instructions or products referred to in the content. |
© 2023 by the authors. Licensee MDPI, Basel, Switzerland. This article is an open access article distributed under the terms and conditions of the Creative Commons Attribution (CC BY) license (https://creativecommons.org/licenses/by/4.0/).
Share and Cite
Imran, M.; Almehmadi, M.; Alsaiari, A.A.; Kamal, M.; Alshammari, M.K.; Alzahrani, M.O.; Almaysari, F.K.; Alzahrani, A.O.; Elkerdasy, A.F.; Singh, S.K. Intranasal Delivery of a Silymarin Loaded Microemulsion for the Effective Treatment of Parkinson’s Disease in Rats: Formulation, Optimization, Characterization, and In Vivo Evaluation. Pharmaceutics 2023, 15, 618. https://doi.org/10.3390/pharmaceutics15020618
Imran M, Almehmadi M, Alsaiari AA, Kamal M, Alshammari MK, Alzahrani MO, Almaysari FK, Alzahrani AO, Elkerdasy AF, Singh SK. Intranasal Delivery of a Silymarin Loaded Microemulsion for the Effective Treatment of Parkinson’s Disease in Rats: Formulation, Optimization, Characterization, and In Vivo Evaluation. Pharmaceutics. 2023; 15(2):618. https://doi.org/10.3390/pharmaceutics15020618
Chicago/Turabian StyleImran, Mohd, Mazen Almehmadi, Ahad Amer Alsaiari, Mehnaz Kamal, Mohammed Kanan Alshammari, Mohammed Omar Alzahrani, Faisal Khaled Almaysari, Abdulrahman Omar Alzahrani, Ahmed Faraj Elkerdasy, and Sachin Kumar Singh. 2023. "Intranasal Delivery of a Silymarin Loaded Microemulsion for the Effective Treatment of Parkinson’s Disease in Rats: Formulation, Optimization, Characterization, and In Vivo Evaluation" Pharmaceutics 15, no. 2: 618. https://doi.org/10.3390/pharmaceutics15020618
APA StyleImran, M., Almehmadi, M., Alsaiari, A. A., Kamal, M., Alshammari, M. K., Alzahrani, M. O., Almaysari, F. K., Alzahrani, A. O., Elkerdasy, A. F., & Singh, S. K. (2023). Intranasal Delivery of a Silymarin Loaded Microemulsion for the Effective Treatment of Parkinson’s Disease in Rats: Formulation, Optimization, Characterization, and In Vivo Evaluation. Pharmaceutics, 15(2), 618. https://doi.org/10.3390/pharmaceutics15020618

