Enhancement of Skin Permeability Prediction through PBPK Modeling, Bayesian Inference, and Experiment Design
Abstract
:1. Introduction
2. Methods
Data
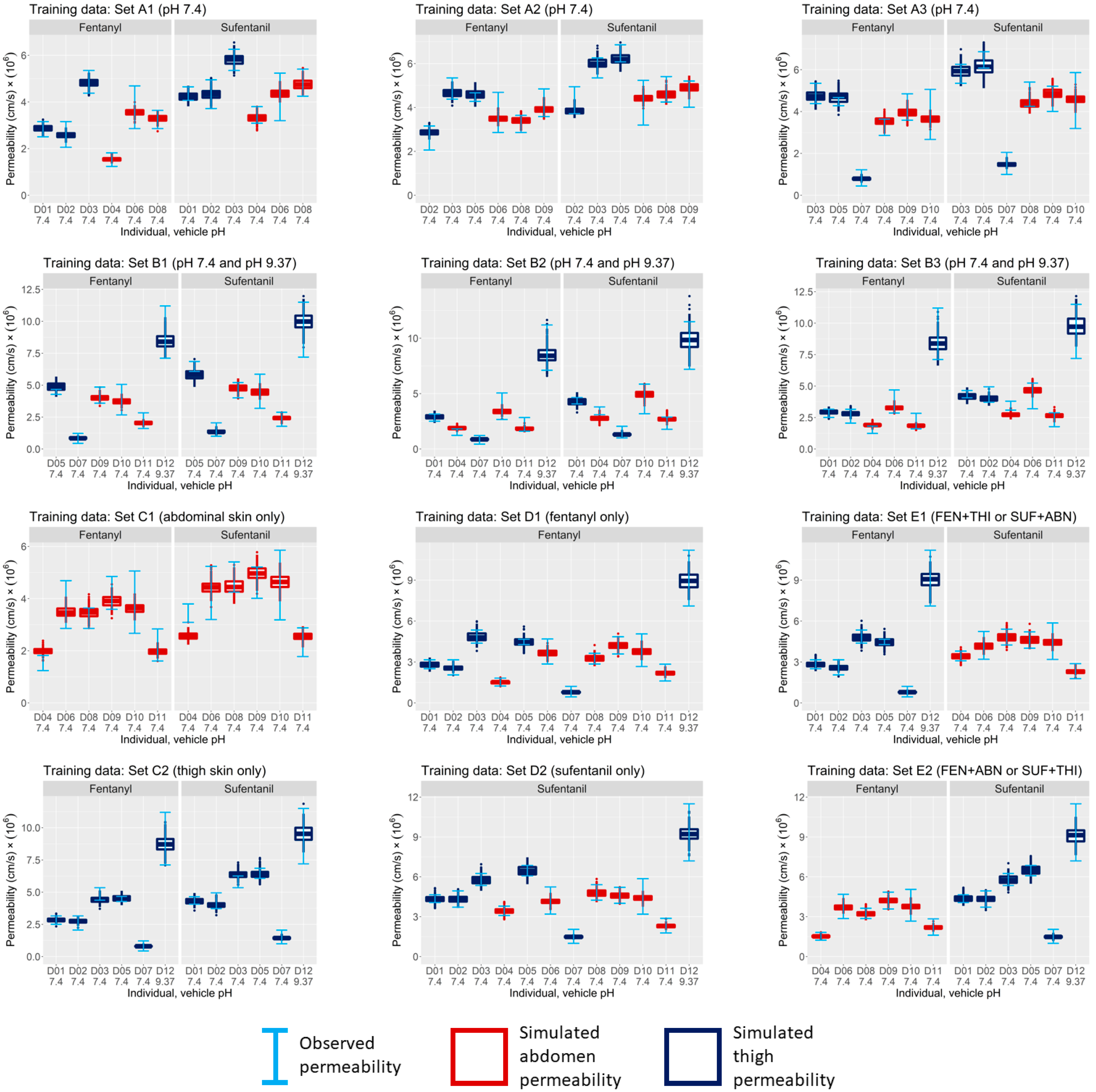
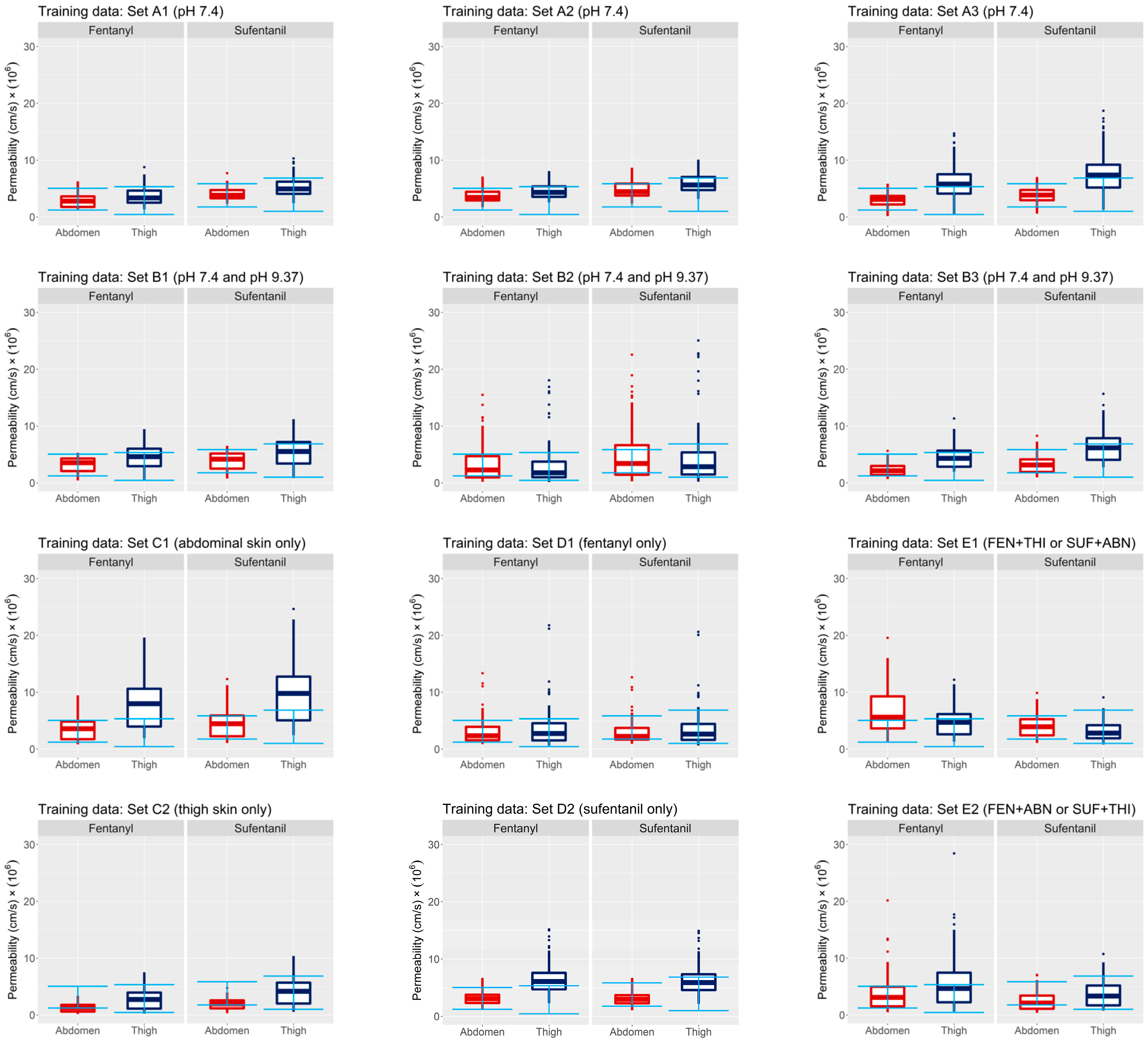
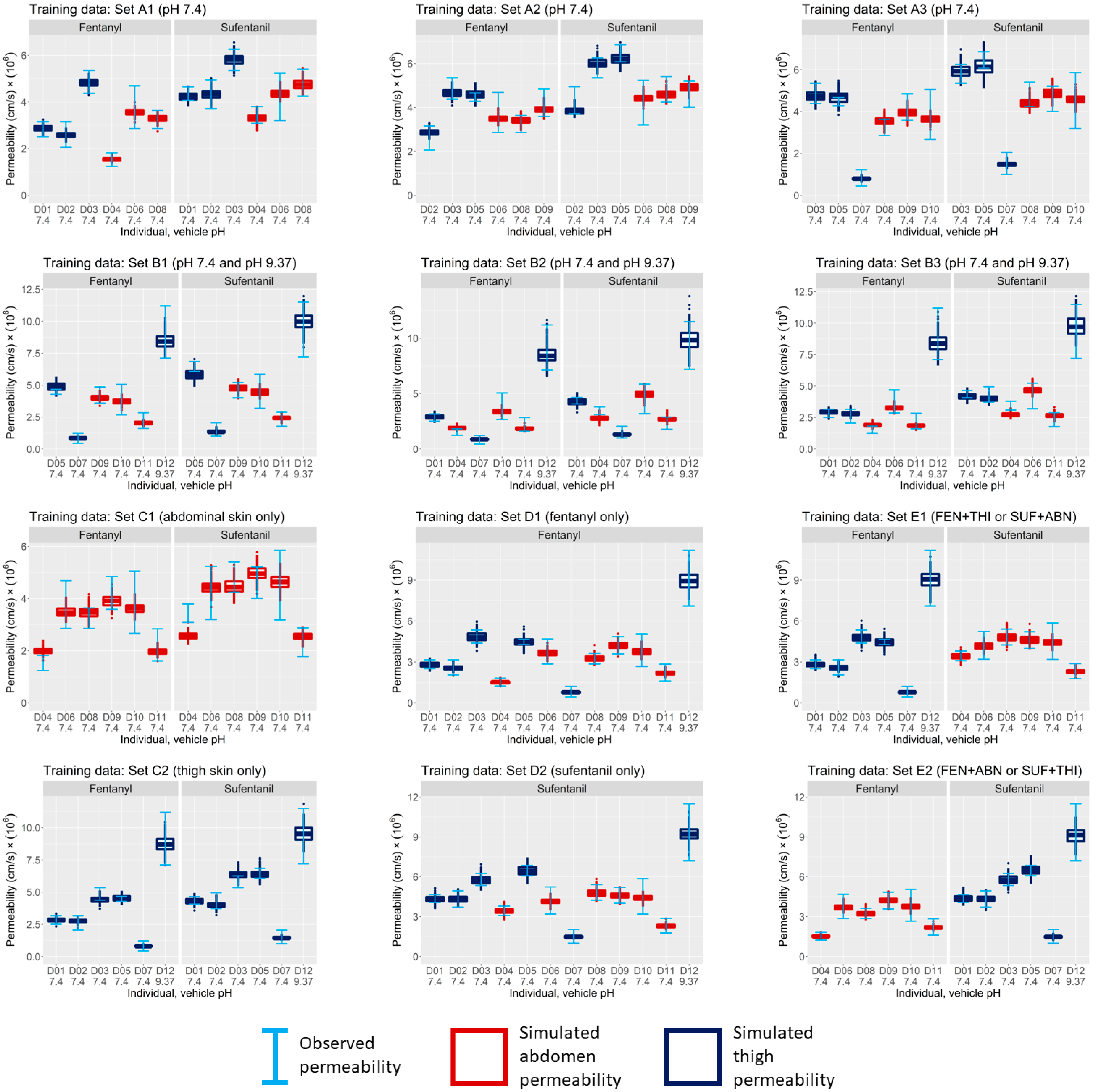
3. Experiment Data Set Combinations for Model Training
- Group A: Cross-over design, common pH level. Group A encompasses three distinct data sets, each containing permeability measurements for skin samples obtained from six individuals. Three individuals contributed thigh samples, and three contributed abdominal samples. These data sets adopted a cross-over experimental design, exposing each individual’s skin to both fentanyl and sufentanil. All skin samples were tested using pH 7.4 vehicles.
- Group B: Cross-over design, varying pH levels. Group B encompasses three distinct data sets, each containing permeability measurements for skin samples obtained from six individuals. Three individuals contributed thigh samples, and three contributed abdominal samples. These data sets adopted a cross-over experimental design, exposing each individual’s skin to both fentanyl and sufentanil. In each data set, one individual’s skin samples were tested using a pH 9.37 vehicle, while the samples from the remaining five individuals were tested at pH 7.4.
- Group C: Cross-over design, single anatomical site per data set. Group C consisted of two data sets, one of which used only abdominal skin samples from six individuals, and the other only thigh skin samples from a different set of six individuals. The latter data set included fentanyl and sufentanil experiments from a single individual conducted using a pH 9.37 vehicle, with all remaining samples tested at pH 7.4.
- Group D: Single compound per data set. Group D consisted of two data sets. Each data set consisted of measurements of skin permeability of only one compound, either fentanyl or sufentanil, across skin samples from twelve individuals. Both data sets included permeability measurements across thigh skin from one individual conducted using a pH 9.37 vehicle, with all remaining samples tested at pH 7.4.
- Group E: Parallel design, varying anatomical site, varying pH levels. Group E consisted of two data sets. The first data set comprised permeability measurements conducted using six thigh samples from six individuals that were tested with fentanyl, and six abdominal samples from another six individuals that were tested with sufentanil. The second data set comprised the inverse combination: six thigh samples were tested with sufentanil, and six abdominal samples were tested with fentanyl. In both data sets, among the thigh samples, one donor sample was tested using a pH 9.37 vehicle.
4. Model Parameters and Notation
5. Bayesian Learning of Inter-Individual and Inter-Site Variability
6. Selection of Model Parameters for Inference
7. Internal Validation
8. External Validation
8.1. External Validation 1
8.2. External Validation 2
9. Analysis of Pathway-Specific Permeability
10. Results
Literature Review of Parameter Uncertainties
| Quantity (Units) | Fentanyl | Sufentanil | Reference |
|---|---|---|---|
| Molecular weight () (g/mol) | 336.5 | 386.5 | [24] |
| (basic) | 8.99 | 8.56 | [22] |
| (octanol/water) | 2.86 | 3.45 | [24] |
| Parameter (Units) | Description | Value | Reference |
|---|---|---|---|
| (cm/s) | Trans-lipid bilayer permeability in a hydrated stratum corneum. | Uncertainty range: Nominal value ± 1.08 | [19] |
| Partition coefficient of permeant in SC lipids with respect to water. | Uncertainty range: Nominal value ± 0.434 | [25,26] | |
| Partition coefficient of permeant in infundibulum with respect to water, assuming aqueous. | Nominal value: Uncertainty range: Nominal value ± 1 | [13] | |
| (cm2/s) | Diffusion coefficient of permeant in infundibulum with respect to water. | Nominal value (aqueous vehicles): , for constants as defined in equation T1_4, Supplementary Material, ref. [13] for the aqueous diffusivity . Uncertainty range: Nominal value ± 1 | [13] |
- Stratum corneum thickness: Table 6 in [27] shows inter-site and within-site variability. The abdominal varies between 6 and 13 µm for a partially hydrated SC. For a fully hydrated SC, reference [10] proposes a stratum corneum thickness of 43 µm. To capture the variability in Table 6 in [27], we applied a similar uncertainty to the fully hydrated case.
- The range of the combined thickness of the stratum corneum lipid bilayer envelope and corneocyte thickness was calculated based on the number of cell layers in the stratum corneum reported in [28].
- Reference [12] proposes a nominal follicle density of 24/cm2. However, reference [16] reports inter-region variability in follicle density that ranges between 10 and 36/cm2. The follicle density in the Kasting et al. 2019 [12] model is scaled down by a dimensionless parameter , which represents the proportion of open follicles. This quantity has a nominal value of 0.015 in reference [12]. For the purposes of sensitivity analysis, and can be viewed as a single lumped parameter since they enter the model together, as a product.
- The transcellular pathway parameters and are novel quantities that were introduced in [12]. As such, the literature does not provide reliable uncertainty estimates for these parameters. For this reason, they are assumed to vary within an order of magnitude of their nominal proposed values in reference [12].
| Parameter | Description | Value | Reference |
|---|---|---|---|
| Viable epidermis thickness | 100 µm | [29] | |
| Dermis thickness for heat-separated epidermis skin | 0 µm | [22] | |
| Dermis thickness for dermatomed skin | 100 µm |
| Parameter | Description | Value | Units | Reference |
|---|---|---|---|---|
| Stratum corneum parameters | ||||
| Stratum corneum thickness (fully hydrated) | Nominal: 29 (thigh), 43.4 (abdomen) Range: 13–65 (thigh), 19–97 (abdomen) | µm | Table 6 in [27] | |
| Lipid bilayer envelope + corneocyte thickness (fully hydrated SC) | Nominal: 2.9 Range: 2.32–3.63 | µm | Nominal: [19] Range: [28] | |
| Follicle pathway parameters | ||||
| Ratio of follicle orifice radius to hair shaft radius | Nominal: 4.59 (thigh), 5.74 (abdomen) Range: 1–10 | [16] | ||
| Number of follicles per area | Nominal: 18 (thigh), 21 (abdomen) Range: 12–36 | cm−2 | [16] | |
| Proportion of open follicles | Nominal: 0.015 Range: Not reported | Nominal: [13] | ||
| Transcellular porous pathway parameters | ||||
| Micropore radius | Nominal: 1.6 Range: 0.16–16 | nm | Nominal: [12] Range: Assumed | |
| Number of micropores per area | Nominal: 373,000 Range: 37,300–3,730,000 | cm−2 | Nominal: [12] | |
11. Sensitivity Analysis
12. Prior Distributions of Model Parameters to Be Inferred
13. Internal Validation
14. External Validation
14.1. External Validation 1
14.2. External Validation 2
15. Analysis of Pathway-Specific Permeability
16. Discussion
17. Model Extrapolation across Anatomical Sites and Compounds
18. Effect of Experiment Design on Parameter Calibration
18.1. Inclusion of High pH Vehicle Experiments Improves Calibration of Non-Polar Pathway Permeability
18.2. “Cross-Over” Design Mitigates Correlations between Polar and Non-Polar Pathway Permeabilities
19. Limitations
19.1. A Need for More Diverse Compounds for Model Evaluation
19.2. Knowledge of Parameter Priors Is Limited
20. Future Applications to Chemical Risk Assessment
21. Conclusions
Author Contributions
Funding
Institutional Review Board Statement
Informed Consent Statement
Data Availability Statement
Conflicts of Interest
Nomenclature
| Partition coefficient of permeant in stratum corneum relative to water. | |
| Permeability of permeant in stratum corneum. | |
| Stratum corneum diffusion coefficient. | |
| Partition coefficient of permeant in viable epidermis relative to water. | |
| Permeability of permeant in epidermis. | |
| Viable epidermis diffusion coefficient. | |
| Partition coefficient of permeant in dermis relative to water. | |
| Dermis diffusion coefficient. | |
| Partition coefficient of permeant in infundibulum relative to water. | |
| Infundibulum diffusion coefficient. | |
| Partition coefficient of permeant in octanol with respect to water. | |
| Partition coefficient of permeant in SC lipids with respect to water. | |
| Partition coefficient of permeant in SC corneocyte phase with respect to water. | |
| Diffusion coefficient of permeant in SC corneocyte phase. | |
| Partition coefficient of permeant in corneocyte protein phase with respect to water. | |
| Permeability of permeant in SC-like tissue surrounding follicle. | |
| Permeability of permeant in epidermis-like tissue surrounding follicle. | |
| Aggregate permeability of permeant in tissue surrounding follicle. | |
| Trans-lipid-bilayer permeability in stratum corneum. | |
| The radius of the follicle shaft. | |
| The radius of the follicle shaft. | |
| The length of the follicle. | |
| The number of follicles per unit area of skin surface. | |
| Proportion of open follicles | |
| Stratum corneum thickness. | |
| Epidermis thickness. | |
| Dermis thickness. | |
| Lipid bilayer envelope + corneocyte thickness | |
| Ratio of the permeant radius to the micropore radius. | |
| Fraction of permeant amount in the vehicle that is non-ionized. | |
| Fraction of permeant amount in water that is non-ionized. | |
| Fraction of permeant amount in the stratum corneum that is non-ionized. |
Appendix A. Mathematical Model
Appendix A.1. Pathway A—Follicular pathway of Yu et al., 2021 [13]
- the dimensions and density of the follicles and the infundibulum (Figure A2), including the following:
- o
- the radius of the follicle shaft, ,
- o
- the radius of the follicle orifice, ,
- o
- the length of the follicle, ,
- o
- the number of follicles per unit area of skin surface, , and
- o
- the proportion of follicles that are open.
- the diffusivity of the permeant within the fluid that occupies the infundibulum, . Here, the fluid is assumed to be sebum in the in vivo context. Under in vitro conditions, the fluid is assumed to be identical to the vehicle.
- the partition coefficient of the permeant in the infundibulum fluid with respect to water, .



Appendix A.2. Pathway B—Transcellular pathway of Yu et al., 2021 [13]

- Approximation of aggregate permeability P(tot/w)
References
- Praca, F.S.G.; Medina, W.S.G.; Eloy, J.O.; Petrilli, R.; Campos, P.M.; Ascenso, A.; Bentley, M. Evaluation of critical parameters for in vitro skin permeation and penetration studies using animal skin models. Eur. J. Pharm. Sci. 2018, 111, 121–132. [Google Scholar] [CrossRef] [PubMed]
- Feldmann, R.J.; Maibach, H.I. Percutaneous penetration of steroids in man. J. Investig. Dermatol. 1969, 52, 89–94. [Google Scholar] [CrossRef] [PubMed]
- Matta, M.K.; Florian, J.; Zusterzeel, R.; Pilli, N.R.; Patel, V.; Volpe, D.A.; Yang, Y.; Oh, L.; Bashaw, E.; Zineh, I.; et al. Effect of Sunscreen Application on Plasma Concentration of Sunscreen Active Ingredients: A Randomized Clinical Trial. JAMA 2020, 323, 256–267. [Google Scholar] [CrossRef] [PubMed]
- Matta, M.K.; Zusterzeel, R.; Pilli, N.R.; Patel, V.; Volpe, D.A.; Florian, J.; Oh, L.; Bashaw, E.; Zineh, I.; Sanabria, C.; et al. Effect of Sunscreen Application Under Maximal Use Conditions on Plasma Concentration of Sunscreen Active Ingredients: A Randomized Clinical Trial. JAMA 2019, 321, 2082–2091. [Google Scholar] [CrossRef] [PubMed]
- Mitragotri, S.; Anissimov, Y.G.; Bunge, A.L.; Frasch, H.F.; Guy, R.H.; Hadgraft, J.; Kasting, G.B.; Lane, M.E.; Roberts, M.S. Mathematical models of skin permeability: An overview. Int. J. Pharm. 2011, 418, 115–129. [Google Scholar] [CrossRef]
- Cleek, R.L.; Bunge, A.L. A new method for estimating dermal absorption from chemical exposure. 1. General approach. Pharm. Res. 1993, 10, 497–506. [Google Scholar] [CrossRef]
- Potts, R.O.; Guy, R.H. Predicting skin permeability. Pharm. Res. 1992, 9, 663–669. [Google Scholar] [CrossRef] [PubMed]
- Wilschut, A.; ten Berge, W.F.; Robinson, P.J.; McKone, T.E. Estimating skin permeation. The validation of five mathematical skin permeation models. Chemosphere 1995, 30, 1275–1296. [Google Scholar] [CrossRef]
- Baba, H.; Ueno, Y.; Hashida, M.; Yamashita, F. Quantitative prediction of ionization effect on human skin permeability. Int. J. Pharm. 2017, 522, 222–233. [Google Scholar] [CrossRef]
- Dancik, Y.; Miller, M.A.; Jaworska, J.; Kasting, G.B. Design and performance of a spreadsheet-based model for estimating bioavailability of chemicals from dermal exposure. Adv. Drug Deliv. Rev. 2013, 65, 221–236. [Google Scholar] [CrossRef]
- Hamadeh, A.; Sevestre, M.; Edginton, A. Implementation of Dancik et al (2013) Skin Permeation Model in MoBi2019. Available online: https://github.com/Open-Systems-Pharmacology/Skin-permeation-model (accessed on 5 October 2023).
- Kasting, G.B.; Miller, M.A.; LaCount, T.D.; Jaworska, J. A Composite Model for the Transport of Hydrophilic and Lipophilic Compounds Across the Skin: Steady-State Behavior. J. Pharm. Sci. 2019, 108, 337–349. [Google Scholar] [CrossRef]
- Yu, F.; Tonnis, K.; Kasting, G.B.; Jaworska, J. Computer Simulation of Skin Permeability of Hydrophobic and Hydrophilic Chemicals—Influence of Follicular Pathway. J. Pharm. Sci. 2021, 110, 2149–2156. [Google Scholar] [CrossRef]
- Blume, U.; Ferracin, J.; Verschoore, M.; Czernielewski, J.M.; Schaefer, H. Physiology of the vellus hair follicle: Hair growth and sebum excretion. Br. J. Dermatol. 1991, 124, 21–28. [Google Scholar] [CrossRef]
- Bouabbache, S.; Pouradier, F.; Panhard, S.; Chaffiotte, C.; Loussouarn, G. Exploring some characteristics (density, anagen ratio, growth rate) of human body hairs. Variations with skin sites, gender and ethnics. Int. J. Cosmet. Sci. 2019, 41, 46–54. [Google Scholar] [CrossRef]
- Otberg, N.; Richter, H.; Schaefer, H.; Blume-Peytavi, U.; Sterry, W.; Lademann, J. Variations of hair follicle size and distribution in different body sites. J. Investig. Dermatol. 2004, 122, 14–19. [Google Scholar] [CrossRef]
- Pagnoni, A.; Kligman, A.M.; el Gammal, S.; Stoudemayer, T. Determination of density of follicles on various regions of the face by cyanoacrylate biopsy: Correlation with sebum output. Br. J. Dermatol. 1994, 131, 862–865. [Google Scholar] [CrossRef]
- Seago, S.V.; Ebling, F.J. The hair cycle on the human thigh and upper arm. Br. J. Dermatol. 1985, 113, 9–16. [Google Scholar] [CrossRef]
- Wang, T.F.; Kasting, G.B.; Nitsche, J.M. A multiphase microscopic diffusion model for stratum corneum permeability. II. Estimation of physicochemical parameters, and application to a large permeability database. J. Pharm. Sci. 2007, 96, 3024–3051. [Google Scholar] [CrossRef]
- Chen, L.; Han, L.; Lian, G. Recent advances in predicting skin permeability of hydrophilic solutes. Adv. Drug Deliv. Rev. 2013, 65, 295–305. [Google Scholar] [CrossRef]
- Hamadeh, A.; Troutman, J.; Najjar, A.; Edginton, A. A Mechanistic Bayesian Inferential Workflow for Estimation of In Vivo Skin Permeation from In Vitro Measurements. J. Pharm. Sci. 2022, 111, 838–851. [Google Scholar] [CrossRef]
- Roy, S.D.; Flynn, G.L. Transdermal delivery of narcotic analgesics: pH, anatomical, and subject influences on cutaneous permeability of fentanyl and sufentanil. Pharm. Res. 1990, 7, 842–847. [Google Scholar] [CrossRef]
- Morris, M. Factorial Sampling Plans for Preliminary Computational Experiments. Technometrics 1991, 33, 161–174. [Google Scholar] [CrossRef]
- Roy, S.D.; Flynn, G.L. Solubility and related physicochemical properties of narcotic analgesics. Pharm. Res. 1988, 5, 580–586. [Google Scholar] [CrossRef] [PubMed]
- Anderson, B.D.; Higuchi, W.I.; Raykar, P.V. Heterogeneity effects on permeability-partition coefficient relationships in human stratum corneum. Pharm. Res. 1988, 5, 566–573. [Google Scholar] [CrossRef]
- Nitsche, J.M.; Wang, T.F.; Kasting, G.B. A two-phase analysis of solute partitioning into the stratum corneum. J. Pharm. Sci. 2006, 95, 649–666. [Google Scholar] [CrossRef]
- Yun, Y.E.; Calderon-Nieva, D.; Hamadeh, A.; Edginton, A.N. Development and Evaluation of an In Silico Dermal Absorption Model Relevant for Children. Pharmaceutics 2022, 14, 172. [Google Scholar] [CrossRef]
- Ya-Xian, Z.; Suetake, T.; Tagami, H. Number of cell layers of the stratum corneum in normal skin—Relationship to the anatomical location on the body, age, sex and physical parameters. Arch. Dermatol. Res. 1999, 291, 555–559. [Google Scholar] [CrossRef]
- Andrews, S.N.; Jeong, E.; Prausnitz, M.R. Transdermal delivery of molecules is limited by full epidermis, not just stratum corneum. Pharm. Res. 2013, 30, 1099–1109. [Google Scholar] [CrossRef]












| Individual | pH | Region | Number of Replicates | Fentanyl | Sufentanil | ||
|---|---|---|---|---|---|---|---|
| Experiment Name | Permeability (×106) cm/s Mean (SD) | Experiment Name | Permeability (×106) cm/s Mean (SD) | ||||
| D01 | 7.40 | Thigh | 4 | F01 | 2.83 (0.28) | S01 | 4.36 (0.25) |
| D02 | 7.40 | Thigh | 4 | F02 | 2.61 (0.47) | S02 | 4.33 (0.53) |
| D03 | 7.40 | Thigh | 4 | F03 | 4.86 (0.42) | S03 | 5.81 (0.39) |
| D04 | 7.40 | Abdomen | 4 | F04 | 1.53 (0.25) | S04 | 3.44 (0.31) |
| D05 | 7.40 | Thigh | 4 | F05 | 4.47 (0.17) | S05 | 6.47 (0.33) |
| D06 | 7.40 | Abdomen | 5 | F06 | 3.78 (0.72) | S06 | 4.22 (0.81) |
| D07 | 7.40 | Thigh | 5 | F07 | 0.83 (0.31) | S07 | 1.53 (0.42) |
| D08 | 7.40 | Abdomen | 4 | F08 | 3.25 (0.33) | S08 | 4.83 (0.50) |
| D09 | 7.40 | Abdomen | 5 | F09 | 4.22 (0.50) | S09 | 4.61 (0.47) |
| D10 | 7.40 | Abdomen | 5 | F10 | 3.86 (0.94) | S10 | 4.53 (1.06) |
| D11 | 7.40 | Abdomen | 4 | F11 | 2.22 (0.53) | S11 | 2.33 (0.47) |
| Individual | pH | Region | Number of Replicates | Fentanyl | Sufentanil | ||
|---|---|---|---|---|---|---|---|
| Experiment Name | Permeability (×106) cm/s Mean (SD) | Experiment Name | Permeability (×106) cm/s Mean (SD) | ||||
| D12 | 2.88 | Thigh | 4 | FpH1 | 0.08 (0.01) | SpH1 | 0.13 (0.01) |
| D12 | 5.08 | Thigh | 4 | FpH2 | 0.36 (0.08) | SpH2 | 0.69 (0.03) |
| D12 | 6.02 | Thigh | 4 | FpH3 | 1.42 (0.22) | SpH3 | 1.72 (0.31) |
| D12 | 6.95 | Thigh | 4 | FpH4 | 1.97 (0.19) | SpH4 | 2.81 (0.17) |
| D12 | 7.43 | Thigh | 4 | FpH5 | 3.53 (0.83) | SpH5 | 4.36 (0.22) |
| D12 | 7.95 | Thigh | 4 | FpH6 | 6.22 (0.47) | SpH6 | 6.42 (0.44) |
| D12 | 8.52 | Thigh | 4 | FpH7 | 7.67 (0.64) | SpH7 | 8.28 (1.03) |
| D12 | 9.04 | Thigh | 4 | FpH8 | 9.69 (1.75) | SpH8 | 9.58 (0.69) |
| D12 | 9.37 | Thigh | 4 | FpH9 | 9.14 (1.75) | SpH9 | 9.36 (1.86) |
| Parent Parameter Decomposition | Inference Parameter Prior Distributions |
|---|---|
Nominal value: from Table 6. Site-specific scaling: Individual-specific scaling: | ~LogUniform(1/1.5, 1.5) ~LogUniform(1/1.5, 1.5) |
| (cm/s) = + + Nominal value: from Table 4. Compound-specific additive perturbation: Individual-specific additive perturbation: | ~Uniform(−0.54, 0.54) ~Uniform(−0.54, 0.54) |
| = Nominal value: from Table 4. Compound-specific additive perturbation: | ~Uniform(−0.43, 0.43) |
| = Nominal value: from Table 4. Compound-specific additive perturbation: | ~Uniform(−1, 1) |
| (cm2/s) = + Nominal value: from Table 6. Individual-specific additive perturbation: | ~Uniform(−1, 1) |
| = + Nominal value: from Table 6. Individual-specific additive perturbation: | ~Uniform(−1, 1) |
| = Nominal value: from Table 6. Site-specific scaling: | ~LogUniform(1/1.25,1.25) |
Disclaimer/Publisher’s Note: The statements, opinions and data contained in all publications are solely those of the individual author(s) and contributor(s) and not of MDPI and/or the editor(s). MDPI and/or the editor(s) disclaim responsibility for any injury to people or property resulting from any ideas, methods, instructions or products referred to in the content. |
© 2023 by the authors. Licensee MDPI, Basel, Switzerland. This article is an open access article distributed under the terms and conditions of the Creative Commons Attribution (CC BY) license (https://creativecommons.org/licenses/by/4.0/).
Share and Cite
Hamadeh, A.; Najjar, A.; Troutman, J.; Edginton, A. Enhancement of Skin Permeability Prediction through PBPK Modeling, Bayesian Inference, and Experiment Design. Pharmaceutics 2023, 15, 2667. https://doi.org/10.3390/pharmaceutics15122667
Hamadeh A, Najjar A, Troutman J, Edginton A. Enhancement of Skin Permeability Prediction through PBPK Modeling, Bayesian Inference, and Experiment Design. Pharmaceutics. 2023; 15(12):2667. https://doi.org/10.3390/pharmaceutics15122667
Chicago/Turabian StyleHamadeh, Abdullah, Abdulkarim Najjar, John Troutman, and Andrea Edginton. 2023. "Enhancement of Skin Permeability Prediction through PBPK Modeling, Bayesian Inference, and Experiment Design" Pharmaceutics 15, no. 12: 2667. https://doi.org/10.3390/pharmaceutics15122667
APA StyleHamadeh, A., Najjar, A., Troutman, J., & Edginton, A. (2023). Enhancement of Skin Permeability Prediction through PBPK Modeling, Bayesian Inference, and Experiment Design. Pharmaceutics, 15(12), 2667. https://doi.org/10.3390/pharmaceutics15122667

