Comprehensive Assessment of the Stability of Selected Coxibs in Variable Environmental Conditions along with the Assessment of Their Potential Hepatotoxicity
Abstract
1. Introduction
2. Materials and Methods
2.1. Materials
2.2. Standard Substances
2.3. Sample Solutions
2.4. Chromatographic Conditions
2.5. Degradation Study
2.6. Chemometric Analysis
2.7. Hepatotoxicity Tests
2.8. UPLC-MS/MS
3. Results and Discussion
4. Conclusions
Supplementary Materials
Author Contributions
Funding
Institutional Review Board Statement
Informed Consent Statement
Data Availability Statement
Acknowledgments
Conflicts of Interest
References
- Fu, J.Y.; Masferrer, J.L.; Seibert, K.; Raz, A.; Needleman, P. The induction and suppression of prostaglandin Hz synthase. J. Biol. Chem. 1990, 265, 6737–16740. [Google Scholar] [CrossRef]
- Paulus, H.E.; Whitehouse, M.W. Nonsteroid anti-inflammatory agents. Annu. Rev. Pharmacol. 1973, 13, 107–125. [Google Scholar] [CrossRef][Green Version]
- Simmons, D.L.; Botting, R.M.; Hla, T. Cyclooxygenase isozymes: The biology of prostaglandin synthesis and inhibition. Pharmacol. Rev. 2004, 56, 387–437. [Google Scholar] [CrossRef]
- Regulski, M.; Regulska, K.; Prukała, W.; Piotrowska, H.; Stanisz, B.; Murias, M. COX-2 inhibitors: A novel strategy in the management of breast cancer. Drug Discov. Today 2016, 21, 598–615. [Google Scholar] [CrossRef]
- Saxena, P.; Sharma, P.K.; Purohit, P. Prostaglandins and other lipid mediators: A journey of celecoxib from pain to cancer. Prostaglandins Other Lipid Mediat. 2020, 147, 106379. [Google Scholar] [CrossRef]
- Park, S.-I.; Park, J.-Y.; Park, M.-J.; Yim, S.-V.; Kim, B.-H. Effects of ojeok-san on the pharmacokinetics of celecoxib at steady-state in healthy volunteers. Basic Clin. Pharmacol. Toxicol. 2018, 123, 51–57. [Google Scholar] [CrossRef]
- Walker, C.; Essex, M.N.; Li, C.; Park, P.W. Celecoxib versus diclofenac for the treatment of ankylosing spondylitis: 12-week randomized study in Norwegian patients. J. Int. Med. Res. 2016, 44, 483–495. [Google Scholar] [CrossRef]
- Zhang, S.; Zhang, Y.; Liu, P.; Zhang, W.; Ma, J.-I.; Wang, J. Efficacy and safety of etoricoxib compared with NSAIDs in acute gout: A systematic review and a meta-analysis. Clin. Rheumatol. 2016, 35, 151–158. [Google Scholar] [CrossRef]
- Kwiatkowska, B.; Majdan, M.; Mastalerz-Migas, A.; Niewada, M.; Skrzydło-Radomańska, B.; Mamcarz, A. Status of etoricoxib in the treatment of rheumatic diseases. Expert panel opinion. Reumatologia 2017, 55, 290–297. [Google Scholar] [CrossRef]
- Bombardier, C.; Laine, L.; Reicin, A.; Shapiro, D.; Burgos-Vargas, R.; Davis, B.; Day, R.; Ferraz, M.B.; Hawkey, C.J.; Schnitzer, T.J. Comparizon of upper gastrointestinal toxicity of rofecoxib and naproxen in patients with rheumatoid arthritis. N. Engl. J. Med. 2000, 343, 1520–1528. [Google Scholar] [CrossRef]
- Arias, L.H.M.; González, A.M.; Fadrique, R.S.; Vázquez, E.S. Gastrointestinal safety of coxibs: Systematic review and meta-analysis of observational studies on selective inhibitors of cyclooxygenase 2. Fundam. Clin. Pharmacol. 2019, 33, 134–147. [Google Scholar] [CrossRef] [PubMed]
- Chandrasekharan, N.V.; Dai, H.; Roos, K.L.T.; Evanson, N.K.; Tomsik, J.; Elton, T.S.; Simmons, D.L. COX-3, a cyclooxygenase-1 variant inhibited by acetaminophen and other analgesic/antipyretic drugs: Cloning, structure, and expression. Proc. Natl. Acad. Sci. USA 2002, 99, 13926–13931. [Google Scholar] [CrossRef] [PubMed]
- Pillans, P.I.; Ghiculescu, R.A.; Lampe, G.; Wilson, R.; Wong, R.; Macdonald, G.A. Severe acute liver injury associated with lumiracoxib. J. Gastroenterol. Hepatol. 2012, 27, 1102–1105. [Google Scholar] [CrossRef]
- Braun, J.; Baraliakos, X.; Westhoff, T. Nonsteroidal anti-inflammatory drugs and cardiovascular risk–a matter of indication. Semin. Arthritis Rheum. 2019, 50, 285–288. [Google Scholar] [CrossRef]
- Meek, I.L.; Van de Laar, M.A.F.J.; Vonkeman, H.E. Non-steroidal anti-inflammatory drugs: An overview of cardiovascular risks. Pharmaceuticals 2010, 3, 2146–2162. [Google Scholar] [CrossRef] [PubMed]
- Sgambati, S.A. Cardiovascular events associated with rofecoxib in a colorectal adenoma chemoprevention trial: Commentary. Dis. Colon Rectum. 2005, 48, 1330–1331. [Google Scholar]
- Cox, S.; Villarino, N.; Sommardahl, C.; Kvaternick, V.; Zarabadipour, C.; Siger, L.; Yarbrough, J.; Amicucci, A.; Reed, K.; Breeding, D.; et al. Disposition of firocoxib in equine plasma after an oral loading dose and a multiple dose regimen. Vet. J. 2013, 198, 382–385. [Google Scholar] [CrossRef]
- Bergh, M.S.; Budsberg, S.C. The coxib NSAIDs: Potential clinical and pharmacologic importance in veterinary medicine. J. Vet. Intern. Med. 2005, 19, 633–643. [Google Scholar] [CrossRef]
- Subhahar, M.B.; Singh, J.; Albert, P.H.; Kadry, A.M. Pharmacokinetics. metabolism and excretion of celecoxib, a selective cyclooxygenase-2 inhibitor, in horses. J. Vet. Pharmacol. Ther. 2019, 42, 518–524. [Google Scholar] [CrossRef]
- Kim, T.W.; Łebkowska-Wieruszewska, B.; Owen, H.; Yun, H.I.; Kowalski, C.J.; Giorgi, M. Pharmacokinetic profiles of the novel COX-2 selective inhibitor cimicoxib in dogs. Vet. J. 2014, 200, 77–81. [Google Scholar] [CrossRef] [PubMed]
- Kvaternick, V.; Malinski, T.; Wortmann, J.; Fischer, J. Quantitative HPLC-UV method for the determination of firocoxib from horse and dog plasma. J. Chromatogr. B Anal. Technol. Biomed. Life Sci. 2007, 854, 313–319. [Google Scholar] [CrossRef] [PubMed]
- Kongara, K.; Chambers, J.P. Robenacoxib in the treatment of pain in cats and dogs: Safety, efficacy, and place in therapy. Vet. Med. Res. Reports. 2018, 9, 53–61. [Google Scholar] [CrossRef]
- Giorgi, M.; Kim, T.-W.; Saba, A.; Rouini, M.-R.; Yun, H.; Ryschanova, R.; Owen, H. Detection and quantification of cimicoxib. a novel COX-2 inhibitor. in canine plasma by HPLC with spectrofluorimetric detection: Development and validation of a new methodology. J. Pharm. Biomed. Anal. 2013, 83, 28–33. [Google Scholar] [CrossRef] [PubMed]
- Jung, M.; Lees, P.; Seewald, W.; King, J.N. Analytical determination and pharmacokinetics of robenacoxib in the dog. J. Vet. Pharmacol. Ther. 2009, 32, 41–48. [Google Scholar] [CrossRef] [PubMed]
- Knych, H.K.; Stanley, S.D.; Arthur, R.M.; Mitchell, M.M. Detection and pharmacokinetics of three formulations of firocoxib following multiple administrations to horses. Equine Vet. J. 2014, 46, 734–738. [Google Scholar] [CrossRef]
- Donnell, J.R.; Frisbie, D.D. Use of firocoxib for the treatment of equine osteoarthritis. Vet. Med. 2014, 5, 159–168. [Google Scholar]
- Jeunesse, E.C.; Schneider, M.; Woehrle, F.; Faucher, M.; Lefebvre, H.P.; Toutain, P.-L. Pharmacokinetic/pharmacodynamic modeling for the determination of a cimicoxib dosing regimen in the dog. BMC Vet. Res. 2013, 9, 259. [Google Scholar] [CrossRef]
- Morris, T.H.; Paine, S.W.; Zahra, P.W.; Li, E.C.; Colgan, S.A.; Karamatic, S.L. Pharmacokinetics of carprofen and firocoxib for medication control in racing greyhounds. Aust. Vet. J. 2020, 98, 578–585. [Google Scholar] [CrossRef]
- Tamizi, E.; Jouyban, A. Forced degradation studies of biopharmaceuticals: Selection of stress conditions. Eur. J. Pharm. Biopharm. 2016, 98, 26–46. [Google Scholar] [CrossRef]
- Baheti, K.G.; Shaikh, S. Stability indicating RP-HPLC method for simultaneous estimation paractamol and etoricoxib in tablet formulation. Int. J. PharmTech Res. 2011, 3, 1719–1727. [Google Scholar]
- Vora, D.N.; Kadav, A.A. Separation of etoricoxib and its degradation products in drug substance using UPLC TM. Eurasian J. Anal. Chem. 2009, 2, 151–158. [Google Scholar]
- Alzweiri, M.; Sallam, M.; Al-Zyoud, W.; Aiedeh, K. Stability study of etoricoxib a selective cyclooxygenase-2 inhibitor by a new single and rapid reversed phase HPLC method. Symmetry 2019, 10, 288. [Google Scholar] [CrossRef]
- Venugopal, S.; Tripathi, U.M.; Devanna, N. Validated reverse phase HPLC method for the determination of impurities in etoricoxib. J. Chem. 2011, 8, 726385. [Google Scholar] [CrossRef]
- Bapatu, H.R.; Maram, R.K.; Murthy, R.S. Stability-indicating HPLC method for quantification of celecoxib and diacerein along with its impurities in capsule dosage form. J. Chromatogr. Sci. 2015, 53, 144–153. [Google Scholar] [CrossRef] [PubMed]
- Chandana, O.S.S.; Ravichandrababu, R. Stability indicating HPLC method for celecoxib related substances in solid dosage forms. Int. J. Res. Pharm. Sci. 2017, 7, 10–18. [Google Scholar]
- Jiménez, J.J.; Pardo, R.; Sánchez, M.I.; Muñoz, B.E. Photochemical, thermal, biological and long-term degradation of celecoxib in river water. Degradation products and adsorption to sediment. J. Hazard. Mater. 2018, 342, 252–259. [Google Scholar] [CrossRef] [PubMed]
- Adhikari, S.; Tian, J.; Rustum, A.M. Comprehensive study on degradation profile of firocoxib and structural elucidation of its key degradation products. J. Pharm. Biomed. Anal. 2023, 224, 115192. [Google Scholar] [CrossRef]
- Gumułka, P.; Dąbrowska, M.; Starek, M. TLC-densitometric determination of five coxibs in pharmaceutical preparations. Processe 2020, 8, 620. [Google Scholar] [CrossRef]
- Bełtowska-Brzezinska, M. Podstawy Kinetyki Chemicznej (Fundamentals of Chemical Kinetics); Wydział Chemii UAM: Poznań, Poland, 2009. [Google Scholar]
- Huveneers-Oorsprong, M.B.M.; Hoogenboom, L.A.P.; Kuiper, H.A. The use of the MTT test for determining the cytotoxicity of veterinary drugs in pig hepatocytes. Toxicol. Vitr. 1997, 11, 385–392. [Google Scholar] [CrossRef]
- Heberger, K. Chemoinformatics—Multivariate Mathematical–Statistical Methods for Data Evaluation. In Medical Applications of Mass Spectrometry; Vekey, K., Telekes, A., Vertes, A., Eds.; Elsevier Science: Amsterdam, The Netherlands, 2008; pp. 141–169. ISBN 978-0-444-51980-1. [Google Scholar]
- Björnsson, E.S. Hepatotoxicity by drugs: The most common implicated agents. Int. J. Mol. Sci. 2016, 17, 224. [Google Scholar] [CrossRef]
- Jaeschke, H.; Gores, G.J.; Cederbaum, A.I.; Hinson, J.A.; Pessayre, D.; Lemasters, J.J. Mechanisms of hepatotoxicity. Toxicol. Sci. 2002, 65, 166–176. [Google Scholar] [CrossRef] [PubMed]
- Matthews, C.Z.; Subramanian, R.; Woolf, E.J.; Foster, N.; Matuszewski, B.K. Isolation and structural characterization of the photolysis products of etoricoxib. Int. J. Pharm. Sci. 2004, 59, 913–919. [Google Scholar] [CrossRef]
- Woolf, E.; Fu, I.; Matuszewski, B. Determination of rofecoxib, a cyclooxygenase-2 specific inhibitor, in human plasma using high-performance liquid chromatography with post-column photochemical derivatization and fluorescence detection. J. Chromatogr. B 1999, 730, 221–227. [Google Scholar] [CrossRef] [PubMed]
- Soni, P.; Shell, B.; Cawkwell, G.; Li, C.; Ma, H. The hepatic safety and tolerability of the cyclooxygenase-2 selective NSAID celecoxib: Pooled analysis of 41 randomized controlled trials. Curr. Med. Res. Opin. 2009, 25, 1841–1851. [Google Scholar] [CrossRef]
- Beales, I.L.P. Selective COX-2 inhibitors are safe and effective. BMJ 2020, 368, m311. [Google Scholar] [CrossRef]






| Substance | Environment | k [h−1] | t0.5 [h] | t0.1 [h] | Ea [kJ/mol] | ||||||
|---|---|---|---|---|---|---|---|---|---|---|---|
| 23 °C | 70 °C | 120 °C | 23 °C | 70 °C | 120 °C | 23 °C | 70 °C | 120 °C | |||
| ROB | 1 M HCl | nd | nd | nd | nd | nd | nd | nd | nd | nd | nd |
| 0.5 M HCl | nd | nd | nd | nd | nd | nd | nd | nd | nd | nd | |
| H2O | 2.51 × 10−3 | 13.50 × 10−3 | 85.10 × 10−3 | 276.1 | 51.3 | 8.1 | 42.0 | 7.8 | 1.2 | 34.88 | |
| 0.5 M NaOH | 0.84 × 10−3 | 5.24 × 10−3 | 1.19 × 10−2 | 828.9 | 132.3 | 58.2 | 126.0 | 20.1 | 8.8 | 26.44 | |
| 1 M NaOH | 0.95 × 10−3 | 6.75 × 10−3 | 13.60 × 10−3 | 731.0 | 102.7 | 51.0 | 111.1 | 15.6 | 7.7 | 26.22 | |
| buffer pH 2.0 | 4.43 × 10−3 | 44.30 × 10−3 | 846.00 × 10−3 | 156.4 | 15.7 | 0.8 | 23.8 | 2.4 | 0.1 | 51.98 | |
| buffer pH 7.0 | 0.65 × 10−3 | 5.67 × 10−3 | 19.50 × 10−3 | 1069.4 | 122.2 | 35.5 | 162.5 | 18.6 | 5.4 | 33.74 | |
| buffer pH 9.2 | 0.24 × 10−3 | 1.30 × 10−3 | 27.60 × 10−3 | 2875.5 | 533.1 | 25.1 | 436.9 | 8.1 | 3.8 | 46.96 | |
| CIM | 1 M HCl | 3.11 × 10−3 | 3.78 × 10−3 | 13.70 × 10−3 | 222.8 | 183.3 | 50.6 | 33.9 | 27.9 | 7.7 | 14.82 |
| 0.5 M HCl | 1.68 × 10−3 | 4.97 × 10−3 | 6.72 × 10−3 | 412.5 | 139.4 | 103.1 | 62.7 | 21.2 | 15.7 | 13.68 | |
| H2O | 0.39 × 10−3 | 1.84 × 10−3 | 3.08 × 10−3 | 1776.9 | 376.6 | 225.0 | 270.0 | 57.2 | 34.2 | 20.52 | |
| 0.5 M NaOH | 0.22 × 10−3 | 0.89 × 10−3 | 2.52 × 10−3 | 3135.7 | 777.8 | 275.0 | 476.5 | 118.2 | 41.8 | 24.16 | |
| 1 M NaOH | 0.87 × 10−3 | 2.70 × 10−3 | 3.52 × 10−3 | 801.2 | 256.7 | 196.9 | 121.7 | 39.0 | 29.9 | 13.91 | |
| buffer pH 2.0 | 0.77 × 10−3 | 2.29 × 10−3 | 3.73 × 10−3 | 904.7 | 302.6 | 185.8 | 137.5 | 48.0 | 28.2 | 15.73 | |
| buffer pH 7.0 | 0.17 × 10−3 | 1.20 × 10−3 | 2.60 × 10−3 | 3982.8 | 577.5 | 266.5 | 605.2 | 87.8 | 40.5 | 26.67 | |
| buffer pH 9.2 | 0.40 × 10−3 | 2.05 × 10−3 | 3.23 × 10−3 | 1745.6 | 338.0 | 214.6 | 265.2 | 51.4 | 32.6 | 43.77 | |
| FIR | 1 M HCl | 1.95 × 10−3 | 15.00 × 10−3 | 33.00 × 10−3 | 355.4 | 46.2 | 21.0 | 54.0 | 7.0 | 3.2 | 28.04 |
| 0.5 M HCl | 1.96 × 10−3 | 12.00 × 10−3 | 31.50 × 10−3 | 353.6 | 57.8 | 22.0 | 53.7 | 8.8 | 3.3 | 27.58 | |
| H2O | 1.42 × 10−3 | 1.2.30 × 10−3 | 33.40 × 10−3 | 488.0 | 56.3 | 20.7 | 74.2 | 8.6 | 3.2 | 31.23 | |
| 0.5 M NaOH | 0.63 × 10−3 | 1.59 × 10−3 | 10.60 × 10−3 | 1108.8 | 435.8 | 65.4 | 168.5 | 6.6 | 9.9 | 28.04 | |
| 1 M NaOH | 1.01 × 10−3 | 1.97 × 10−3 | 13.90 × 10−3 | 686.1 | 351.8 | 49.9 | 104.3 | 53.5 | 7.6 | 25.99 | |
| buffer pH 2.0 | 1.60 × 10−3 | 10.80 × 10−3 | 73.50 × 10−3 | 433.1 | 64.2 | 9.4 | 65.8 | 9.8 | 1.4 | 38.07 | |
| buffer pH 7.0 | 0.82 × 10−3 | 4.56 × 10−3 | 7.08 × 10−3 | 844.1 | 152.0 | 97.9 | 128.3 | 23.1 | 14.9 | 21.43 | |
| buffer pH 9.2 | 0.62 × 10−3 | 1.07 × 10−3 | 14.40 × 10−3 | 1126.8 | 647.7 | 48.1 | 171.2 | 98.4 | 7.3 | 31.23 | |
| ETO | 1 M HCl | nd | nd | nd | nd | nd | nd | nd | nd | nd | nd |
| 0.5 M HCl | nd | 15.00 × 10−3 | 54.60 × 10−3 | nd | 46.2 | 12.7 | nd | 7.0 | 1.9 | 28.98 | |
| H2O | 0.42 × 10−3 | 2.05 × 10−3 | 4.54 × 10−3 | 1665.9 | 338.0 | 152.6 | 253.1 | 51.4 | 23.2 | 23.71 | |
| 0.5 M NaOH | 0.46 × 10−3 | 0.95 × 10−3 | 5.68 × 10−3 | 1503.3 | 729.5 | 122.0 | 228.4 | 110.8 | 18.5 | 24.85 | |
| 1 M NaOH | 0.63 × 10−3 | 1.42 × 10−3 | 4.89 × 10−3 | 1107.0 | 488.0 | 141.7 | 168.2 | 74.2 | 21.5 | 20.29 | |
| buffer pH 2.0 | 2.74 × 10−3 | 5.26 × 10−3 | 9.70 × 10−3 | 252.9 | 131.7 | 71.4 | 38.4 | 20.0 | 10.9 | 12.54 | |
| buffer pH 7.0 | 0.25 × 10−3 | 0.69 × 10−3 | 3.62 × 10−3 | 2783.1 | 1004.3 | 191.4 | 422.9 | 152.6 | 29.1 | 26.44 | |
| buffer pH 9.2 | 0.27 × 10−3 | 1.70 × 10−3 | 3.44 × 10−3 | 2576.2 | 407.6 | 201.5 | 391.4 | 61.9 | 30.6 | 25.30 | |
| CEL | 1 M HCl | nd | nd | 106.00 × 10−3 | nd | nd | 6.5 | nd | nd | 1.0 | nd |
| 0.5 M HCl | 4.09 × 10−3 | 30.40 × 10−3 | 85.10 × 10−3 | 169.4 | 22.8 | 8.1 | 25.7 | 3.5 | 1.2 | 30.09 | |
| H2O | 1.03 × 10−3 | 2.90 × 10−3 | 10.90 × 10−3 | 672.8 | 239.0 | 63.6 | 102.2 | 36.3 | 9.7 | 23.48 | |
| 0.5 M NaOH | 0.34 × 10−3 | 2.02 × 10−3 | 5.70 × 10−3 | 2056.4 | 343.1 | 121.6 | 312.5 | 52.1 | 18.5 | 28.04 | |
| 1 M NaOH | 0.76 × 10−3 | 2.00 × 10−3 | 17.10 × 10−3 | 910.6 | 346.5 | 40.5 | 138.4 | 52.7 | 6.2 | 30.78 | |
| buffer pH 2.0 | 1.83 × 10−3 | 30.30 × 10−3 | 28.70 × 10−3 | 378.7 | 22.9 | 24.1 | 57.5 | 3.5 | 3.7 | 27.36 | |
| buffer pH 7.0 | 1.29 × 10−3 | 2.14 × 10−3 | 8.19 × 10−3 | 537.2 | 323.8 | 84.6 | 81.6 | 49.2 | 12.9 | 18.24 | |
| buffer pH 9.2 | 0.35 × 10−3 | 1.92 × 10−3 | 5.48 × 10−3 | 1974.4 | 360.9 | 126.5 | 300.0 | 54.8 | 19.2 | 27.13 | |
| Compound | k [h−1] | Ea [kJ/mol] | ∆H* [kJ/mol] | ∆S* [J/mol·K] | ∆G [kJ/mol] | logP |
|---|---|---|---|---|---|---|
| ROB | 85.10 × 10−3 | 34.88 | 31.61 | −80.43 | 63.22 | 4.47 |
| CIM | 3.08 × 10−3 | 20.52 | 17.25 | −43.89 | 34.50 | 2.18 |
| FIR | 33.40 × 10−3 | 31.23 | 21.96 | −55.88 | 43.92 | 2.25 |
| ETO | 4.54 × 10−3 | 23.71 | 20.44 | −52.01 | 40.88 | 2.93 |
| CEL | 10.90 × 10−3 | 23.48 | 20.21 | −51.42 | 40.42 | 3.18 |
| Compound | Rt [min] | m/z | Proposed Structure |
|---|---|---|---|
| Firocoxib | 15.17 | 337.11 | ![]() |
| CP-1 | 7.17 7.33 | 243.07 | ![]() |
| CP-2 | 9.65 9.98 | 355.12 | ![]() |
| CP-3 | 9.71 | 283.06 | ![]() |
| CP-4 | 15.85 | 387.11 | ![]() |
| Compound | Rt [min] | m/z | Proposed Structure |
|---|---|---|---|
| Robenacoxib | 19.59 | 328.09 | ![]() |
| RP-1 | 1.79 | 166.09 | ![]() |
| RP-2 | 5.07 | 180.10 | ![]() |
| RP-3 | 19.84 | 282.09 | ![]() |
| RP-4 | 19.96 | 310.08 | ![]() |
| RP-5 | 20.23 | 314.08 | ![]() |
| Product Name | Pathway |
|---|---|
| RP-1 | ![]() |
| RP-2 | ![]() |
| RP-3 and RP-4 | ![]() |
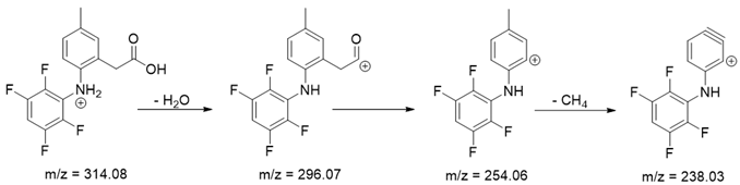
| RP-5 | ![]() |
| ROB | ![]() |
Disclaimer/Publisher’s Note: The statements, opinions and data contained in all publications are solely those of the individual author(s) and contributor(s) and not of MDPI and/or the editor(s). MDPI and/or the editor(s) disclaim responsibility for any injury to people or property resulting from any ideas, methods, instructions or products referred to in the content. |
© 2023 by the authors. Licensee MDPI, Basel, Switzerland. This article is an open access article distributed under the terms and conditions of the Creative Commons Attribution (CC BY) license (https://creativecommons.org/licenses/by/4.0/).
Share and Cite
Gumułka, P.; Pecio, Ł.; Żmudzki, P.; Ciura, K.; Skalicka-Woźniak, K.; Dąbrowska, M.; Starek, M. Comprehensive Assessment of the Stability of Selected Coxibs in Variable Environmental Conditions along with the Assessment of Their Potential Hepatotoxicity. Pharmaceutics 2023, 15, 2609. https://doi.org/10.3390/pharmaceutics15112609
Gumułka P, Pecio Ł, Żmudzki P, Ciura K, Skalicka-Woźniak K, Dąbrowska M, Starek M. Comprehensive Assessment of the Stability of Selected Coxibs in Variable Environmental Conditions along with the Assessment of Their Potential Hepatotoxicity. Pharmaceutics. 2023; 15(11):2609. https://doi.org/10.3390/pharmaceutics15112609
Chicago/Turabian StyleGumułka, Paweł, Łukasz Pecio, Paweł Żmudzki, Krzesimir Ciura, Krystyna Skalicka-Woźniak, Monika Dąbrowska, and Małgorzata Starek. 2023. "Comprehensive Assessment of the Stability of Selected Coxibs in Variable Environmental Conditions along with the Assessment of Their Potential Hepatotoxicity" Pharmaceutics 15, no. 11: 2609. https://doi.org/10.3390/pharmaceutics15112609
APA StyleGumułka, P., Pecio, Ł., Żmudzki, P., Ciura, K., Skalicka-Woźniak, K., Dąbrowska, M., & Starek, M. (2023). Comprehensive Assessment of the Stability of Selected Coxibs in Variable Environmental Conditions along with the Assessment of Their Potential Hepatotoxicity. Pharmaceutics, 15(11), 2609. https://doi.org/10.3390/pharmaceutics15112609

















