Complex Spectroscopy Studies of Nifedipine Photodegradation
Abstract
:1. Introduction
2. Materials and Methods
3. Results and Discussion
4. Conclusions
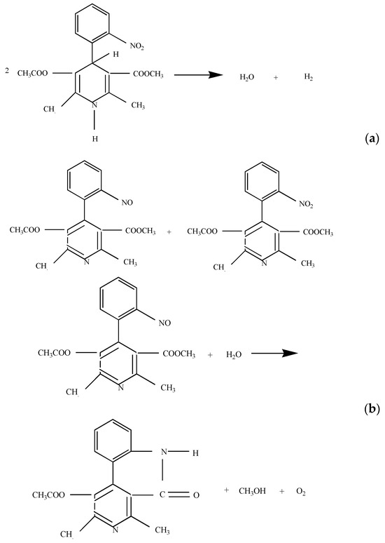
- (a)
- The photodegradation of an aqueous solution of NIF in the presence of UV light leads to the generation of the compound 4-(2-nitrosophenyl)-2.6-dimethyl-3.5-dimethoxy carbonyl pyridine; this transformation was highlighted by the decrease in the ratio between the intensities of the Raman lines peaking at 1224 cm−1 and 1649 cm−1, associated with the vibrational modes of -C-C-O in the ester group and C=C stretching, and the decrease in the ratio between the absorbances of the IR bands peaking at 1493 cm−1 and 1223 cm−1, associated with the vibrational modes of the -NO2 group and C-N stretching.
- (b)
- The UV-VIS spectrum of NIF shows three bands at 240 nm, 272 nm and 340 nm which are associated with the electronic transitions of the chromophore groups -COOCH3 and -NO2 and a heterocycle with six atoms; the exposure of NIF to UV light induces a high-energy shift of the bands from 240 nm and 340 nm to 224 nm and 310 nm, respectively, due to the generation of the nitroso compound. According to studies using UV-VIS spectroscopy, the reaction rate constants of the two linear regions were attributed to (i) the generation of intermediate products of the 4-(2-nitrosophenyl)-2.6-dimethyl-3.5-dimethoxy carbonyl pyridine and 4-(2-nitrophenyl)-2.6-dimethyl-3.5-dimethoxy carbonyl pyridine type or their sodium salts and (ii) the transformation of 4-(2-nitrosophenyl)-2.6-dimethyl-3.5-dimethoxy carbonyl pyridine into a compound containing a lactam ring, and these processes were characterized by k1 = 0.063 min−1 and k2 = 0.0035 min−1.
- (c)
- After 136 min UV irradiation of a sample of NIF that interacted with NaOH, a hypsochromic shift of the absorption band from 3.32–3.4 eV to 3.17–3.3 eV accompanied by a decrease in the absorbance of the 4.62–4.63 eV band was reported; the shift of the absorption band at 5.2 eV indicated that the photodegradation of NIF that interacted with NaOH induces changes in the electronic transition of the -COOCH3 groups.
- (d)
- The PL spectra of NIF and the sample of NIF that interacted with NaOH, before and after the photodegradation process, highlight four emission bands in the spectral range 2.1–3.9 eV, where the frequency separation of the two emission bands from the low-energy range is equal to 0.152 eV, a value that corresponds to the Raman line of NIF situated at 1224 cm−1 assigned to the vibrational mode of the C-C-O bond in the ester group. The reported changes in PL spectra during the exposure of the NIF samples to UV light indicate that this method is an alternative method to UV-VIS spectroscopy to illustrate the drug’s photodegradation processes.
- (e)
- The change in the ratio between the intensities of Raman lines peaking at 1224 cm−1 and 1649 cm−1, from 0.61 to 0.49, and the lower absorbance of the IR bands at 1020 cm−1 and 1493 cm−1 are consequences of the decrease in the weight of ester groups, as a result of the transformation of -COOCH3 groups into -COOH groups, and the decrease in the weight of -NO2 groups as a result of the generation of compounds containing -NO groups.
- (f)
- The lactam-type compound resulting from the exposure of NIF to UV light was highlighted by the Raman line peaking at 1063 cm−1 and the IR band at 903 cm−1; after the NIF sample that interacted with NaOH was subjected to UV irradiation, the presence of the lactam-type compound was evidenced by the IR band at 954–931 cm−1.
- (g)
- A decrease in the thermal stability of NIF samples after interaction with NaOH and after exposure to UV light compared to the thermal stability of NIF before exposure to UV light was demonstrated by thermogravimetry, and key fragments were confirmed by mass spectrometry.
Author Contributions
Funding
Institutional Review Board Statement
Informed Consent Statement
Data Availability Statement
Conflicts of Interest
References
- Ou, M.H.; Zhang, F.T.; Cui, S.C.; Zhao, S.B.; Yu, Y. Oral nifedipine may be a preferential option for treating acute severe hypertension during pregnancy: A meta-analysis. Hypertens. Pregnancy 2023, 42, 2209637. [Google Scholar] [CrossRef] [PubMed]
- Jia, Y.L.; Leung, S.M. Drug efficacy in treating stable angina pectoris: A protocol for network meta-analysis of randomized controlled trials. BMJ Open 2014, 4, e005453. [Google Scholar] [CrossRef] [PubMed]
- Hassan, A.; Waseem, H.; Al Dardeir, N.; Nasief, H.; Khadawardi, K.; Alwazzan, A.B.; Alotmani, H.; Hammad, Z. A comparison of nifedipine versus a combination of nifedipine versus a combination of nifedipine and sildenafil citrate in the management of preterm labour. Cureus J. Medical Sci. 2023, 15, e42422. [Google Scholar] [CrossRef]
- Simon, T.D.; Soep, J.B.; Hollister, J.R. Pernio in pediatrics. Pediatrics 2005, 116, E472. [Google Scholar] [CrossRef] [PubMed]
- Holland, M.; Williams, J.; Lee, J. Effects of dantrolene, nifedipine and a calmodulin antagonist on contracture of malignant hyperthermia susceptible skeletal-muscle. FASEB J. 1991, 5, 1031. [Google Scholar]
- Sorkin, E.M.; Clissold, S.P.; Bragden, R.N. Nifedipine: A review of its pharmacodynamic and pharmacokinetic properties, and therapeutic efficacy, in ischemic heart disease, hypertension and related cardiovascular disorder. Drugs 1985, 30, 182. [Google Scholar] [CrossRef]
- Lv, R.; Chen, J.; Wang, H.; Wang, J.; Cheng, H.; Li, R.; Li, W.; Zhang, T.; Wei, L.; Chen, Q.; et al. Effectiveness, and tolerability of nifedipine GITS in patients with chronic kidney disease and uncontrolled hypertension: A prospective, multicenter, observational study (ADRENAL). Adv. Ther. 2021, 38, 4771. [Google Scholar] [CrossRef] [PubMed]
- Cortizo, A.M.; Molinuevo, M.S.; Barrio, D.A.; Bruzzone, L. Osteogenic activity of vanadyl (IV)—Ascorbate complex: Evaluation of its mechanism of action. Int. J. Biochem. Cell Biol. 2006, 38, 1171. [Google Scholar] [CrossRef] [PubMed]
- Ughade, S.; Bawankar, R.D.; Mundhada, D.R. Nifedipine gastro retentive drug delivery system: Formulation, characterization and evaluation. Ind. J. Pharm. Sci. 2023, 85, 667. [Google Scholar] [CrossRef]
- Vargas, F.; Rivas, C.; Machado, R. Photodegradation of nifedipine under aerobic conditions—Evidence of formation of singlet oxygen and radical intermediate. J. Pharm. Sci. 1992, 81, 399. [Google Scholar] [CrossRef]
- Hayase, N.; Itagaki, Y.; Ogawa, S.; Akutsu, S.; Inagaki, S.; Abiko, Y. Newly discovered photodegradation products of nifedipine in hospital prescriptions. J. Pharm. Sci. 1994, 83, 532. [Google Scholar] [CrossRef] [PubMed]
- Raemsch, K.D.; Sommer, J. Pharmacokinetics, and metabolism of nifedipine. Hypertension 1983, 5, 18. [Google Scholar] [CrossRef]
- Al-Tvrk, W.A.; Majeed, I.A.; Murray, W.J.; Newton, D.W.; Othman, S. Some factors affecting the photodecomposition of nifedipine. Int. J. Pharm. 1988, 41, 227. [Google Scholar] [CrossRef]
- Teraoka, R.; Otsuka, M.; Matsuda, Y. Evaluation of photostability of solid-state dimethyl 1,4-dihydro-2,6-dimethyl-4(2-nitro-phnyl)-3, 5-pyridinedicarboxylate using Fourier-transformed reflection -absorption infrared spectroscopy. Int. J. Pharm. 1999, 184, 35. [Google Scholar] [CrossRef] [PubMed]
- Gil-Agusti, M.T.; Carda-Broch, S.; Monferrer-Pons, L.; Esteve-Romero, J.S. Photostability studies for micellar liquid chromatographic determination of nifedipine serum and urine samples. Biomed. Chromatogr. 2006, 20, 154. [Google Scholar] [CrossRef]
- Latosinska, J.N.; Latosinska, M.; Seliger, J.; Zagar, V. An innovative method for the non-destructive identification of photodegradation products in solid state 1H—14 NMR—NQR and DFT/QTAIM study of photodegradation of nifedipine (anti-hypertensive) to nitrosonifedipine (potential anti-oxidative). Eur. J. Pharm. Sci. 2012, 47, 97. [Google Scholar] [CrossRef]
- Grooff, D.; Francis, F.; De Villiers, M.M.; Ferg, E. Photostability of crystalline versus amorphous nifedipine and nimodipine. J. Pharm. Sci. 2013, 102, 1883. [Google Scholar] [CrossRef] [PubMed]
- Maafi, W.; Maafi, M. Modelling nifedipine photodegradation, photostability and actinometric properties. Int. J. Pharm. 2013, 456, 153. [Google Scholar] [CrossRef] [PubMed]
- Rahman, N.; Azmi, S.N.H. New spectrophotometric methods for the determination of nifedipine in pharmaceutical formulations. Acta Biochim. Pol. 2005, 52, 915. [Google Scholar] [CrossRef]
- Nikolic, V.; Ilic, D.; Nikoloc, L.; Stankovic, M.; Cakic, M.; Stanojeric, L.; Kapor, A.; Popsavin, M. The protection of nifedipine from photodegradation due to complex formation with β-cyclodextrin. Cent. Eur. J. Chem. 2010, 8, 744. [Google Scholar]
- De Vries, H.; van Henegouwen, G.M.B. Photoreactivity of nifedipine in vitro and in vivo. J. Photochem. Photobiol. B 1998, 43, 217. [Google Scholar] [CrossRef]
- Soons, P.A.; Schellens, J.H.M.; Roosemalen, M.C.M.; Breimer, D.D.B. Analysis of nifedipine and its pyridine metabolite dehydronifedipine in blood and plasma: A review and improved high-performance liquid chromatographic methodology. J. Pharm. Biomed. Anal. 1991, 9, 475. [Google Scholar] [CrossRef]
- Achike, F.I.; Mohamed, R.; Dai, S.; Agle, C.W. Effects of acidosis or alkalosis on the actions of nifedipine on excitation-contraction coupling in the rat tail artery. Clin. Exp. Pharmacol. Physiol. 1997, 24, 692. [Google Scholar] [CrossRef] [PubMed]
- Shamsipur, M.; Hemmateenejad, B.; Akhond, M.; Javidnia, K.; Miri, R. A study of the photo-degradation kinetics of nifedipine by multivariate curve resolution analysis. J. Pharmaceut. Biomed. 2003, 31, 1013. [Google Scholar] [CrossRef] [PubMed]
- Dong, W.; Yang, C.; Zhang, L.; Su, Q.; Zou, X.; Xu, W.; Gao, X.; Xie, K.; Wang, W. Highly efficient UV/H2O2 technology for the removal of nifedipine antibiotics, kinetics, co-existing anions and degradation pathways. PLoS ONE 2021, 16, e0258483. [Google Scholar] [CrossRef]
- Watson, J.; Sparkman, O.D. Introduction to Mass Spectrometry: Instrumentation, Applications and Strategies for Data Interpretation, 4th ed.; Wiley: Hoboken, NJ, USA, 2007. [Google Scholar]
- William, E. NIST mass spectrometry data center. NIST Chem. Web Book SRD 2022, 69, 1. [Google Scholar]
- Hizal, G.; Zhu, Q.Q.; Fischer, C.-H.; Fritz, P.M.; Schnabel, W. On the photolysis of phthalic acid dialkyl ester: A product analysis study. J. Photochem. Photobiol. A Chem. 1993, 72, 147. [Google Scholar] [CrossRef]
- Ziylan, A.; Dogan, S.; Agopcan, S.; Kidak, R.; Aviyente, V.; Ince, N.H. Sonochemical degradation of diclofenac: By product assessment, reaction mechanism and environmental considerations. Environ. Sci. Pollut. Res. 2014, 21, 5929. [Google Scholar] [CrossRef]
- Yao, Z.F.; Gan, X.; Fu, W.F. A novel triply bridged dinuclear four-coordinate copper (I) complex with sterically bulky bis(dicyclohexylphosphino) methane ligand. Cent Eur. J. Chem. 2008, 6, 613. [Google Scholar] [CrossRef]
- Wasan, E.K.; Zhao, J.; Poteet, J.; Mohammed, M.A.; Syeda, J.; Orlowski, T.; Soulsbury, K.; Cawthray, J.; Bunyamin, A.; Zhang, C.; et al. Development of a UV-stabilized topical formulation of nifedipine for the treatment of Raymaud phenomenon and Chilblains. Pharmaceutics 2019, 11, 594. [Google Scholar] [CrossRef] [PubMed]
- Fasani, E.; Doudi, D.; Ricci, A.; Albini, A. Photochemistry of 4-(2-nitrophenyl)-1,4-dihydropyridines evidence for electron transfer and formation of an intermediate. Photochem. Photobiol. 2006, 82, 225. [Google Scholar] [CrossRef] [PubMed]
- Chan, K.L.A.; Fleming, O.S.; Kazarian, S.G.; Vassou, D.; Chryosikos, G.D.; Gionis, V. Polymorphism, and devitrification of nifedipine under controlled humidity: A combined FT-Raman, IR and Raman microscopic investigation. J. Raman Spectrosc. 2004, 35, 353. [Google Scholar] [CrossRef]
- Chinh, N.T.; Duc, L.; Trung, T.H.; Huynh, M.D.; Giang, N.V.; Cong, D.; Trang, N.T.T.; Mai, T.T.; Thai, N.T.; Lam, T.D.; et al. Synthesis, and characterization of core-shell structure PLA(CS) NIF nanoparticles. Int. J. Nanotechnol. 2018, 15, 952. [Google Scholar] [CrossRef]
- Clarkson, J.; Smith, W.E. A DFT analysis of the vibrational spectra of nitrobenzene. J. Molec. Struct. 2003, 655, 413. [Google Scholar] [CrossRef]
- Rode, J.E.; Dobrowolski, J.C. Density functional IR, Raman and VCD spectra of halogen substituted β-lactams. J. Molec Struct. 2003, 651, 705–717. [Google Scholar] [CrossRef]
- Gil, M.; Nunez, J.L.; Palafox, M.A.; Iza, N. FTIR study of five complex β-lactam molecules. Biopolymers 2001, 62, 278. [Google Scholar] [CrossRef]
- Larsen, R.W.; Zielke, P.; Suhm, M.A. Hydrogen-bonded OH stretching modes of methanol clusters: A combined IR and Raman isotopomer study. J. Chem. Phys. 2007, 126, 194307. [Google Scholar] [CrossRef]
- Yu, Y.; Shi, L.; Guo, J.; Li, X.; Yang, W.; Zhang, Z.; Xu, G. In-depth understanding of soluble base deactivation during the carbonate transesterification process. Fuel 2021, 285, 119201. [Google Scholar] [CrossRef]
- Leite, R.S.; Macedo, R.O.; Torres, S.M.; Batista, C.C.N.; Baltazar, L.O.; Neto, S.L.; Souza, F.S. Evaluation of thermal stability and parameters of dissolution of nifedipine crystals. J. Therm. Anal. Calorim. 2013, 111, 2117–2123. [Google Scholar] [CrossRef]
- Filho, R.O.C.; Franco, O.I.B.M.; Conceicao, E.C.; Leles, M.I.G. Stability studies on nifedipine tablets using thermogravimetry and differential scanning calorimetry. J. Therm. Anal. Calorim. 2009, 97, 343–347. [Google Scholar] [CrossRef]
- Pasquali, I.; Bettini, R.; Giordano, F. Thermal behaviour of diclofenac, diclofenac sodium and sodium bicarbonate compositions. J. Therm. Anal. Calorim. 2007, 90, 903–907. [Google Scholar] [CrossRef]
- Chadha, R.; Kashid, N.; Jain, D.V. Kinetics of degradation of diclofenac sodium in aqueous solution determined by a calorimetric method. Die Pharm. Int. J. Pharm. Sci. 2003, 58, 631–635. [Google Scholar]
- Yuan, P.; Yang, D.; Wang, R.; Gong, N.; Zhang, L.; Lu, Y.; Du, G. Characterization of a new solvatomorph of drospirenone by thermogravimetry–mass spectrometry combined with other solid-state analysis methods. ACS Omega 2020, 5, 25289–25296. [Google Scholar] [CrossRef] [PubMed]
- Weidner, S.M.; Trimpin, S. Mass spectrometry of synthetic polymers. Anal. Chem. 2010, 8, 4811–4829. [Google Scholar] [CrossRef] [PubMed]
- Jelic, D.; Papovic, S.; Vranes, M.; Gadzuric, S.; Berto, S.; Alladio, E.; Gajic, D.; Jankovic, B. Termo-analytical and compatibility study with mechanistic explanation of degradation kinetics of ambroxol hydrochloride tablets under non-isothermal conditions. Pharmaceutics 2021, 13, 1910. [Google Scholar] [CrossRef] [PubMed]















| Sample | (min−1) | (min−1) | ||
|---|---|---|---|---|
| 3 mL NIF | 0.063 | 0.9835 | 0.0035 | 0.9986 |
| 2 mL NIF 0.6 mM + 1 mL NaOH 0.3M | 0.078 | 0.9947 | 0.0037 | 0.978 |
| 1.5 mL NIF 0.6 mM + 1.5 mL NaOH 0.3M | 0.067 | 0.9968 | 0.0053 | 0.994 |
| 1 mL NIF 0.6 mM + 2 mL NaOH 0.3M | 0.071 | 0.9946 | 0.0051 | 0.9829 |
| Wavenumbers (cm−1) in This Work | Assignment of Vibrational Modes [33] |
|---|---|
| 469–588 | deformation of aromatic ring |
| 812 | ring C-H out-of-plane |
| 970 | dihydropyridine ring |
| 1049 | 1, 2-substituted ring |
| 1224 | C-C-O in ester |
| 1350 | symmetrical stretching NO2 |
| 1493 | C-C in aromatic ring |
| 1576 | NH out-of-plane scissoring vibration |
| 1620 | C=C in aromatic ring |
| 1649 | C=C stretching |
| 1682 | C=O stretching |
| 2929–2955 | CH aliphatic stretching |
| 3078 | CH aromatic stretching |
| Wavenumbers (cm−1) in This Work | Assignment of Vibrational Modes [34,35] |
|---|---|
| 622–712 | aromatic ring deformation |
| 744–792 | C-C-H out-of-plane bending in benzene ring + wagging NO2 |
| 829–858 | CH wagging |
| 953 | C-C-H out-of-plane bending in benzene ring |
| 1020–1188 | -C-O-C- |
| 1223 | C-N stretching |
| 1309–1431 | C-C-H in plane bending in benzene ring |
| 1493 | -NO2, |
| 1526 | -NH bond |
| 1622 | pyridine ring |
| 1647–1678 | -C=O in ester group |
| 2953 | aromatic and aliphatic C-H stretching |
| 3323 | -NH group |
Disclaimer/Publisher’s Note: The statements, opinions and data contained in all publications are solely those of the individual author(s) and contributor(s) and not of MDPI and/or the editor(s). MDPI and/or the editor(s) disclaim responsibility for any injury to people or property resulting from any ideas, methods, instructions or products referred to in the content. |
© 2023 by the authors. Licensee MDPI, Basel, Switzerland. This article is an open access article distributed under the terms and conditions of the Creative Commons Attribution (CC BY) license (https://creativecommons.org/licenses/by/4.0/).
Share and Cite
Paraschiv, M.; Daescu, M.; Bartha, C.; Chiricuta, B.; Baibarac, M. Complex Spectroscopy Studies of Nifedipine Photodegradation. Pharmaceutics 2023, 15, 2613. https://doi.org/10.3390/pharmaceutics15112613
Paraschiv M, Daescu M, Bartha C, Chiricuta B, Baibarac M. Complex Spectroscopy Studies of Nifedipine Photodegradation. Pharmaceutics. 2023; 15(11):2613. https://doi.org/10.3390/pharmaceutics15112613
Chicago/Turabian StyleParaschiv, Mirela, Monica Daescu, Cristina Bartha, Bogdan Chiricuta, and Mihaela Baibarac. 2023. "Complex Spectroscopy Studies of Nifedipine Photodegradation" Pharmaceutics 15, no. 11: 2613. https://doi.org/10.3390/pharmaceutics15112613
APA StyleParaschiv, M., Daescu, M., Bartha, C., Chiricuta, B., & Baibarac, M. (2023). Complex Spectroscopy Studies of Nifedipine Photodegradation. Pharmaceutics, 15(11), 2613. https://doi.org/10.3390/pharmaceutics15112613

