Virtual Cocrystal Screening of Adefovir Dipivoxyl: Identification of New Solid Forms with Improved Dissolution and Permeation Profiles
Abstract
1. Introduction
2. Materials and Methods
2.1. Materials
2.2. Virtual Cocrystal Screening
2.3. Cocrystal Screening
2.4. Synthesis of the Cocrystals
2.5. Differential Scanning Calorimetry (DSC)
2.6. Thermogravimetric Analysis (TGA)
2.7. X-ray Crystallographic Analysis
2.8. Nuclear Magnetic Resonance (NMR)
2.9. Intrinsic Dissolution Rate (IDR)
2.10. Extrapolated Dissolution Rate and Solubility Calculation
2.11. Dissolution Experiments Data Processing
3. Results and Discussion
3.1. Virtual Cocrystal Screen
3.2. Characterization of the Cocrystals
3.3. Dissolution Rate Study
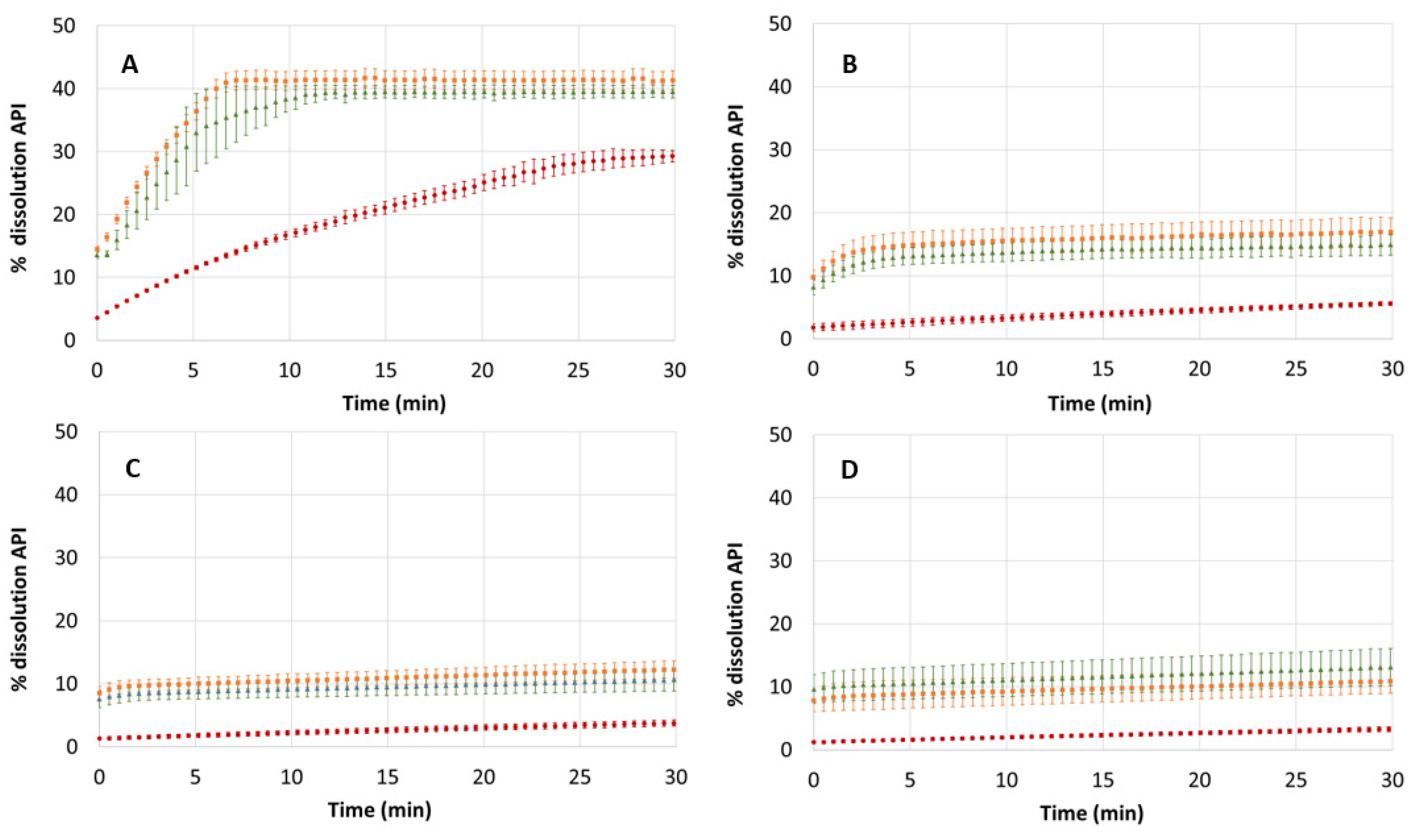
3.3.1. Dissolution at Individual pH Sectors
3.3.2. Dissolution in Four pH Sectors Determination
3.3.3. Dissolution in a Biphasic System
4. Conclusions
Supplementary Materials
Author Contributions
Funding
Institutional Review Board Statement
Data Availability Statement
Conflicts of Interest
References
- Aitipamula, S.; Chow, P.S.; Tan, R.B.H. Polymorphism in cocrystals: A review and assessment of its significance. CrystEngComm 2014, 16, 3451–3465. [Google Scholar] [CrossRef]
- Bolla, G.; Nangia, A. Pharmaceutical cocrystals: Walking the talk. Chem. Commun. 2016, 52, 8342–8360. [Google Scholar] [CrossRef]
- Karimi-Jafari, M.; Padrela, L.; Walker, G.M.; Croker, D.M. Creating cocrystals: A review of pharmaceutical cocrystal preparation routes and applications. Cryst. Growth Des. 2018, 18, 6370–6387. [Google Scholar] [CrossRef]
- Duggirala, N.K.; LaCasse, S.M.; Zaworotko, M.J.; Krzyzaniak, J.F.; Arora, K.K. Pharmaceutical Cocrystals: Formulation Approaches to Develop Robust Drug Products. Cryst. Growth Des. 2020, 20, 617–626. [Google Scholar] [CrossRef]
- Mir, N.A.; Dubey, R.; Desiraju, G.R. Strategy and Methodology in the Synthesis of Multicomponent Molecular Solids: The Quest for Higher Cocrystals. Acc. Chem. Res. 2019, 52, 2210–2220. [Google Scholar] [CrossRef]
- Berry, D.J.; Steed, J.W. Pharmaceutical cocrystals, salts and multicomponent systems; intermolecular interactions and property based design. Adv. Drug Deliv. Rev. 2017, 117, 3–24. [Google Scholar] [CrossRef]
- Liu, G.; Wei, S.-H.; Zhang, C. Review of the Intermolecular Interactions in Energetic Molecular Cocrystals. Cryst. Growth Des. 2020, 20, 7065–7079. [Google Scholar] [CrossRef]
- Bolla, G.; Sarma, B.; Nangia, A.K. Crystal Engineering of Pharmaceutical Cocrystals in the Discovery and Development of Improved Drugs. Chem. Rev. 2022, 122, 11514–11603. [Google Scholar] [CrossRef]
- Guo, C.; Zhang, Q.; Zhu, B.; Zhang, Z.; Ma, X.; Dai, W.; Gong, X.; Ren, G.; Mei, X. Drug–Drug Cocrystals Provide Significant Improvements of Drug Properties in Treatment with Progesterone. Cryst. Growth Des. 2020, 20, 3053–3063. [Google Scholar] [CrossRef]
- Fael, H.; Barbas, R.; Prohens, R.; Ràfols, C.; Fuguet, E. Synthesis and Characterization of a New Norfloxacin/Resorcinol Cocrystal with Enhanced Solubility and Dissolution Profile. Pharmaceutics 2022, 14, 49. [Google Scholar] [CrossRef]
- Kuminek, G.; Cao, F.; Bahia de Oliveira da Rocha, A.; Gonçalves Cardoso, S.; Rodríguez-Hornedo, N. Cocrystals to facilitate delivery of poorly soluble compounds beyond-rule-of-5. Adv. Drug Deliv. Rev. 2016, 101, 143–166. [Google Scholar] [CrossRef]
- Barbas, R.; Font-Bardia, M.; Frontera, A.; Prohens, R. Polymorphism in the 1/1 Pterostilbene/Picolinic Acid Cocrystal. Cryst. Growth Des. 2021, 21, 2315–2323. [Google Scholar] [CrossRef] [PubMed]
- Zhou, Z.; Li, W.; Sun, W.J.; Lu, T.; Tong, H.H.Y.; Sun, C.; Zheng, Y. Resveratrol cocrystals with enhanced solubility and tabletability. Int. J. Pharm. 2016, 509, 391–399. [Google Scholar] [CrossRef] [PubMed]
- Bofill, L.; de Sande, D.; Barbas, R.; Prohens, R. A New and Highly Stable Cocrystal of Vitamin D3 for Use in Enhanced Food Supplements. Cryst. Growth Des. 2021, 21, 1418–1423. [Google Scholar] [CrossRef]
- Desiraju, G.R. Crystal Engineering: From Molecule to Crystal. J. Am. Chem. Soc. 2013, 135, 9952–9967. [Google Scholar] [CrossRef] [PubMed]
- Delaugerre, C.; Marcelin, A.-G.; Thibault, V.; Peytavin, G.; Bombled, T.; Bochet, M.-V.; Katlama, C.; Benhamou, Y.; Calvez, V. Human Immunodeficiency Virus (HIV) Type 1 Reverse Transcriptase Resistance Mutations in Hepatitis B Virus (HBV)-HIV-Coinfected Patients Treated for HBV Chronic Infection Once Daily with 10 Milligrams of Adefovir Dipivoxil Combined with Lamivudine. Antimicrob. Agents Chemother. 2002, 46, 1586–1588. [Google Scholar] [CrossRef]
- Oliyai, R.; Fardis, M. Case Histories: Hepsera. In Comprehensive Medicinal Chemistry II; Taylor, J.B., Triggle, D.J., Eds.; Elsevier Ltd.: Amsterda, The Netherlands, 2007. [Google Scholar]
- An, J.-H.; Choi, G.J.; Kim, W.-S. Polymorphic and kinetic investigation of adefovir dipivoxil during phase transformation. Int. J. Pharm. 2012, 422, 185–193. [Google Scholar] [CrossRef]
- Oh, H.S.; Byun, E.Y.; Jang, S.M.; Ha, T.H.; Kim, H.K.; Suh, K.H.; Lee, G.S. Method for Preparing Crystalline Adefovir Dipivoxil and Adefovir Dipivoxil Butanolate Used Therein. Patent WO2010/120074A2, 21 October 2010. [Google Scholar]
- Blazecka, P.G.; Che, D.; McPhail, C.L.; Rey, A.W. Salt form and Cocrystals of Adefovir Dipivoxil and Processes for Preparationthereof. U.S. Patent 2009/0247749A1, 1 October 2009. [Google Scholar]
- Prohens, R.; Barbas, R.; Portell, A.; Font-Bardia, M.; Alcobé, X.; Puigjaner, C. Expanding the Crystal Form Landscape of the Antiviral Drug Adefovir Dipivoxil. Cryst. Growth Des. 2015, 15, 475–484. [Google Scholar] [CrossRef]
- Dando, T.; Plosker, G. Adefovir dipivoxil: A review of its use in chronic hepatitis B. Drugs 2003, 63, 2215–2234. [Google Scholar] [CrossRef] [PubMed]
- Yuan, L.C.; Dahl, T.C.; Oliyai, R. Effect of carbonate salts on the kinetics of acid-catalyzed dimerization of adefovir dipivoxil. Pharm. Res. 2000, 17, 1098–1103. [Google Scholar] [CrossRef] [PubMed]
- Li, L.; Pang, Z.; Ma, K.; Gao, Y.; Zheng, D.; Wei, Y.; Zhang, J.; Qian, S. Effect of Coformer Selection on In Vitro and In Vivo Performance of Adefovir Dipivoxil Cocrystals. Pharm. Res. 2021, 38, 1777–1791. [Google Scholar] [CrossRef] [PubMed]
- Ma, K.; Wang, N.; Cheng, L.; Wei, Y.; Zhang, J.; Gao, Y.; Qian, S. Identification of novel adefovir dipivoxil-saccharin cocrystal polymorphs and their thermodynamic polymorphic transformations. Int. J. Pharm. 2019, 566, 361–370. [Google Scholar] [CrossRef]
- Jung, S.; Lee, J.; Kim, W. Structures and physical properties of the cocrystals of adefovir dipivoxil with dicarboxylic acids. J. Cryst. Growth 2013, 373, 59–63. [Google Scholar] [CrossRef]
- Lin, R.Z.; Sun, P.J.; Tao, Q.; Yao, J.; Chen, J.M.; Lu, T.B. Mechanism study on stability enhancement of adefovir dipivoxil by cocrystallization: Degradation kinetics and structure-stability correlation. Eur. J. Pharm. Sci. 2016, 85, 141–148. [Google Scholar] [CrossRef] [PubMed]
- Seo, J.W.; Hwang, K.M.; Lee, S.H.; Kim, D.K.; Park, E.S. Preparation and characterization of adefovir dipivoxil–stearic acid cocrystal with enhanced physicochemical properties. Pharm. Dev. Technol. 2018, 23, 890–899. [Google Scholar] [CrossRef]
- Cresset TorchV10lite. Available online: http://www.cresset-group.com/products/torch/torchlite/ (accessed on 8 September 2022).
- Frisch, M.J.; Trucks, G.W.; Schlegel, H.B.; Scuseria, G.E.; Robb, M.A.; Cheeseman, J.R.; Scalmani, G.; Barone, V.; Mennucci, B.; Petersson, G.A.; et al. Gaussian 09; Gaussian, Inc.: Wallingford, CT, USA, 2009. [Google Scholar]
- Musumeci, D.; Hunter, C.A.; Prohens, R.; Scuderi, S.; McCabe, J.F. Virtual cocrystal screening. Chem. Sci. 2011, 2, 883–890. [Google Scholar] [CrossRef]
- Ying, P.; Yu, J.; Su, W. Liquid-Assisted Grinding Mechanochemistry in the Synthesis of Pharmaceuticals. Adv. Synth. Catal. 2021, 363, 1246–1271. [Google Scholar] [CrossRef]
- Biscaia, I.F.B.; Gomes, S.N.; Bernardi, L.S.; Oliveira, P.R. Obtaining Cocrystals by Reaction Crystallization Method: Pharmaceutical Applications. Pharmaceutics 2021, 13, 898. [Google Scholar] [CrossRef]
- Ter Horst, J.H.; Cains, P.W. Co-Crystal Polymorphs from a Solvent-Mediated Transformation. Cryst. Growth Des. 2008, 8, 2537–2542. [Google Scholar] [CrossRef]
- Boultif, A.; Louër, D. Indexing of powder diffraction patterns for low-symmetry lattices by the successive dichotomy method. J. Appl. Crystallogr. 1991, 24, 987–993. [Google Scholar] [CrossRef]
- Vallcorba, O.; Rius, J.; Frontera, C.; Peral, I.; Miravitlles, C. DAJUST: A suite of computer programs for pattern matching, space-group determination and intensity extraction from powder diffraction data. J. Appl. Cryst. 2012, 45, 844–848. [Google Scholar] [CrossRef]
- Avdeef, A.; Bucher, J.J. Accurate measurements of the concentration of hydrogen ions with a glass electrode: Calibrations using the Prideaux and other universal buffer solutions and a computer-controlled automatic titrator. Anal. Chem. 1978, 50, 2137–2142. [Google Scholar] [CrossRef]
- Gravestock, T.; Box, K.; Comer, J.; Frake, E.; Judge, S.; Ruiz, R. The “GI dissolution” method: A low volume, in vitro apparatus for assessing the dissolution/precipitation behaviour of an active pharmaceutical ingredient under biorelevant conditions. Anal. Methods 2011, 3, 560–567. [Google Scholar] [CrossRef] [PubMed]
- Grecu, T.; Adams, H.; Hunter, C.A.; McCabe, J.F.; Portell, A.; Prohens, R. Virtual Screening Identifies New Cocrystals of Nalidixic Acid. Cryst. Growth Des. 2014, 14, 1749–1755. [Google Scholar] [CrossRef]
- Barbas, R.; Font-Bardia, M.; Paradkar, A.; Hunter, C.A.; Prohens, R. Combined Virtual/Experimental Multicomponent Solid Forms Screening of Sildenafil: New Salts, Cocrystals, and Hybrid Salt–Cocrystals. Cryst. Growth Des. 2018, 18, 7618–7627. [Google Scholar] [CrossRef]
- Nicolov, M.; Ghiulai, R.M.; Voicu, M.; Mioc, M.; Duse, A.O.; Roman, R.; Ambrus, R.; Zupko, I.; Moaca, E.A.; Coricovac, D.E.; et al. Cocrystal Formation of Betulinic Acid and Ascorbic Acid: Synthesis, Physico-Chemical Assessment, Antioxidant, and Antiproliferative Activity. Front. Chem. 2019, 7, 92. [Google Scholar] [CrossRef]
- Surov, A.O.; Voronin, A.P.; Vasilev, N.A.; Ilyukhin, A.B.; Perlovich, G.L. Novel cocrystals of the potent 1,2,4-thiadiazole-based neuroprotector with carboxylic acids: Virtual screening, crystal structures and solubility performance. New J. Chem. 2021, 45, 3034–3047. [Google Scholar] [CrossRef]
- Khalaji, M.; Potrzebowski, M.J.; Dudek, M.K. Virtual Cocrystal Screening Methods as Tools to Understand the Formation of Pharmaceutical Cocrystals—A Case Study of Linezolid, a Wide-Range Antibacterial Drug. Cryst. Growth Des. 2021, 21, 2301–2314. [Google Scholar] [CrossRef]
- Barbas, R.; Portell, A.; Hunter, C.A.; Prohens, R.; Frontera, A. Combined computational/experimental investigation of new cocrystals of the drug bosentan. CrystEngComm 2022, 24, 5105–5111. [Google Scholar] [CrossRef]
- Prohens, R.; Portell, A.; Alcobe, X. Effect of Preorganization on the Polymorphism and Cocrystallization of a Squaramide Compound. Cryst. Growth Des. 2012, 12, 4548–4553. [Google Scholar] [CrossRef]
- Lee, C.C.; Cho, A.Y.; Yoon, W.; Yun, H.; Kang, J.W.; Lee, J. Cocrystal Formation via Resorcinol–Urea Interactions: Naringenin and Carbamazepine. Cryst. Growth Des. 2019, 19, 3807–3814. [Google Scholar] [CrossRef]
- Duan, C.; Liu, W.; Tao, Y.; Liang, F.; Chen, Y.; Xiao, X.; Zhang, G.; Chen, Y.; Hao, C. Two Novel Palbociclib-Resorcinol and Palbociclib-Orcinol Cocrystals with Enhanced Solubility and Dissolution Rate. Pharmaceutics 2022, 14, 23. [Google Scholar] [CrossRef] [PubMed]
- Surampudi, A.V.S.D.; Rajendrakumar, S.; Nanubolu, J.B.; Balasubramanian, S.; Surov, A.O.; Voronin, A.P.; Perlovich, G.L. Influence of crystal packing on the thermal properties of cocrystals and cocrystal solvates of olanzapine: Insights from computations. CrystEngComm 2020, 22, 6536–6558. [Google Scholar] [CrossRef]
- Favre-Nicolin, V.; Černý, R. FOX, ‘free objects for crystallography’: A modular approach to ab initio structure determination from powder diffraction. J. Appl. Crystallogr. 2002, 35, 734–743. [Google Scholar] [CrossRef]
- O’Dwyer, P.J.; Box, K.J.; Koehl, N.J.; Bennett-Lenane, H.; Reppas, C.; Holm, R.; Kuentz, M.; Griffin, B.T. Novel Biphasic Lipolysis Method to Predict in Vivo Performance of Lipid-Based Formulations. Mol. Pharm. 2020, 17, 3342–3352. [Google Scholar] [CrossRef]









| Rank | Coformer | ΔE (kJ mol−1) | P (%) |
|---|---|---|---|
| 1 | C-Methylcalix [4] resorcinarene | 46.2 | 100 |
| 2 | Sulfuric acid | 33.5 | 99.99 |
| 3 | 1,2-Ethanedisulfonic acid | 32.6 | 99.99 |
| 4 | Quercetin | 32.3 | 99.99 |
| 5 | Gallic acid | 32.1 | 99.99 |
| 6 | Phloroglucinol | 29.3 | 99.97 |
| 7 | Resveratrol | 28.5 | 99.96 |
| 8 | 3,5-Dihydroxybenzoic Acid | 26.7 | 99.92 |
| 9 | Tetracyanoethylene | 26.1 | 99.90 |
| 10 | 2,3,5,6-tetrafluoro-7,7,8,8-tetracyanoquinodimethane | 25.9 | 99.89 |
| 11 | Phloretin | 25.8 | 99.89 |
| 12 | Diethylene glycol distearate | 25.2 | 99.85 |
| 13 | 3,4-Dihydroxybenzoic Acid | 25.2 | 99.85 |
| 14 | Resorcinol | 24.8 | 99.83 |
| 15 | 5-Nitroisophthalic Acid | 24.3 | 99.79 |
| 16 | 4-Hexylresorcinol | 24.0 | 99.77 |
| 17 | D-erythro-Isocitric Acid | 24.0 | 99.76 |
| 18 | Sulfamic Acid | 23.8 | 99.75 |
| 19 | Nordihydroguaiaretic acid | 23.4 | 99.70 |
| 20 | Pyromellitic dianhydride | 23.3 | 99.68 |
| 21 | Orcinol | 22.9 | 99.63 |
| 22 | 1,5-Naphthalenedisulfonic Acid | 22.7 | 99.60 |
| 23 | Eriodictyol | 22.3 | 99.53 |
| 24 | 4,4′-Biphenol | 21.7 | 99.41 |
| 25 | Picric Acid | 21.4 | 99.33 |
| 26 | 3,5-Dinitrobenzoic Acid | 21.0 | 99.21 |
| 27 | 1,3,5-Benzenetricarboxylic Acid | 20.9 | 99.18 |
| 28 | Orotic acid | 20.9 | 99.18 |
| 29 | 2-Methylsulfanylethyl acetate | 20.8 | 99.15 |
| 30 | 2,4-Dihydroxybenzoic Acid | 20.3 | 98.96 |
| 31 | 2,5-Dihydroxybenzoic Acid | 20.3 | 98.95 |
| 32 | Pyrogallol | 19.9 | 98.79 |
| 33 | 4,4′-Cyclohexylidenebisphenol | 19.7 | 98.70 |
| 34 | Hydroquinone | 19.6 | 98.61 |
| 35 | Tartaric Acid | 19.5 | 98.58 |
| 36 | Citric Acid | 19.3 | 98.48 |
| 37 | 1,2,4,5-Tetracyanobenzene | 19.3 | 98.43 |
| 38 | Imidazolidinyl urea | 19.1 | 98.31 |
| 39 | Chloranilic Acid | 19.0 | 98.25 |
| 40 | Camphoric Acid | 18.6 | 97.93 |
| 41 | Tetrahydroxy-1,4-quinone | 18.4 | 97.81 |
| 42 | (1R,2S)-1-Hydroxypropane-1,2,3-tricarboxylic Acid | 18.2 | 97.64 |
| 43 | Methyl gallate | 18.1 | 97.56 |
| 44 | Poly(vinyl acetate) | 18.0 | 97.45 |
| 45 | Cyanuric Acid | 17.9 | 97.32 |
| 46 | Menthyl valerate | 17.8 | 97.25 |
| 47 | Trifluoroacetic Acid | 17.5 | 96.82 |
| 48 | 5-Sulfosalicylic Acid | 17.4 | 96.71 |
| 49 | Ethyl gallate | 17.3 | 96.53 |
| 50 | Propyl 3,4,5-trihydroxybenzoate | 17.2 | 96.47 |
| Crystal Form | AD–Resorcinol | AD–Orcinol | AD–Hydroquinone | ||
|---|---|---|---|---|---|
| Form I | Form II | Form III | |||
| System | Triclinic | Triclinic | Triclinic | Monoclinic | Triclinic |
| Space group | P-1 | P-1 | P-1 | P2 | P-1 |
| a (Å) | 7.6735 (5) | 29.157 (9) | 29.77 (2) | 34.47 (2) | 39.826 (7) |
| b (Å) | 18.2257 (12) | 25.178 (9) | 18.655 (9) | 19.81 (2) | 16.747 (4) |
| c (Å) | 22.4809 (6) | 7.694 (3) | 10.021 (5) | 8.733 (7) | 8.392 (2) |
| α (°) | 112.784 (6) | 133.79 (2) | 58.24 (5) | 90 | 55.20 (1) |
| β (°) | 94.311 (6) | 130.27 (1) | 134.67 (2) | 93.63 (8) | 128.70 (1) |
| γ (°) | 96.710 (4) | 47.82 (2) | 101.55 (5) | 90 | 135.58 (1) |
| Vol (Å3) | 2853.9 (3) | 2842 (2) | 3230 (3) | 5950 (8) | 2978 (1) |
| Z | 4 | 4 | 4 | 8 | 4 |
| Rwp (%) | 5.06 | 6.95 | 6.75 | 7.93 | 7.68 |
| Compound | Starting Solid Form | pH | % Dissolved at t = 30 min | Dissolution Rate (nmols/min) | Solubility (μM) | R2 | Final Solid Form |
|---|---|---|---|---|---|---|---|
| AD | Form I | 1.5 | 29.0 (1.0) | 315 (4) | 325 (14) | >0.9882 | Form I + AD–dihydrate (80%:20%) |
| 4.0 | 5.7 (0.4) | 35 (4) | 139 (19) * | >0.9998 | |||
| 5.5 | 3.8 (0.6) | 21 (4) | 128 (32) * | >0.9999 | |||
| 7.4 | 3.3 (0.4) | 17 (2) | 123 (25) * | >0.9998 | |||
| AD–Res cocrystal (Form I) | Cocrystal (Form I) | 1.5 | 39.3 (1.3) | 1015 (6) | 304 (13) | >0.9850 | Cocrystal (Form I) + AD–dihydrate (95%:5%) |
| 4.0 | 16.1 (2.0) | 63 (2) | 129 (22) | >0.8406 | |||
| 5.5 | 12.2 (2.0) | 19 (1) | 109 (33) * | >0.9982 | |||
| 7.4 | 10.9 (2.7) | 15 (1) | 105 (10) * | >0.9982 | |||
| AD–Orc cocrystal | Cocrystal | 1.5 | 39.2 (1.1) | 626 (40) | 289 (9) | >0.9803 | Cocrystal + AD–dihydrate (90%:10%) |
| 4.0 | 14.7 (1.6) | 147 (47) | 138 (25) | >0.8292 | |||
| 5.5 | 10.6 (2.5) | 17 (1) | 92 (3) | >0.9992 | |||
| 7.4 | 13.1 (3.6) | 17 (3) | 88 (7) | >0.9809 |
Publisher’s Note: MDPI stays neutral with regard to jurisdictional claims in published maps and institutional affiliations. |
© 2022 by the authors. Licensee MDPI, Basel, Switzerland. This article is an open access article distributed under the terms and conditions of the Creative Commons Attribution (CC BY) license (https://creativecommons.org/licenses/by/4.0/).
Share and Cite
Barbas, R.; Fael, H.; Lee, S.; Ruiz, R.; Hunter, C.A.; Fuguet, E.; Ràfols, C.; Prohens, R. Virtual Cocrystal Screening of Adefovir Dipivoxyl: Identification of New Solid Forms with Improved Dissolution and Permeation Profiles. Pharmaceutics 2022, 14, 2310. https://doi.org/10.3390/pharmaceutics14112310
Barbas R, Fael H, Lee S, Ruiz R, Hunter CA, Fuguet E, Ràfols C, Prohens R. Virtual Cocrystal Screening of Adefovir Dipivoxyl: Identification of New Solid Forms with Improved Dissolution and Permeation Profiles. Pharmaceutics. 2022; 14(11):2310. https://doi.org/10.3390/pharmaceutics14112310
Chicago/Turabian StyleBarbas, Rafael, Hanan Fael, Samuel Lee, Rebeca Ruiz, Christopher A. Hunter, Elisabet Fuguet, Clara Ràfols, and Rafel Prohens. 2022. "Virtual Cocrystal Screening of Adefovir Dipivoxyl: Identification of New Solid Forms with Improved Dissolution and Permeation Profiles" Pharmaceutics 14, no. 11: 2310. https://doi.org/10.3390/pharmaceutics14112310
APA StyleBarbas, R., Fael, H., Lee, S., Ruiz, R., Hunter, C. A., Fuguet, E., Ràfols, C., & Prohens, R. (2022). Virtual Cocrystal Screening of Adefovir Dipivoxyl: Identification of New Solid Forms with Improved Dissolution and Permeation Profiles. Pharmaceutics, 14(11), 2310. https://doi.org/10.3390/pharmaceutics14112310

