Resveratrol-Loaded Hydrogel Contact Lenses with Antioxidant and Antibiofilm Performance
Abstract
1. Introduction
2. Materials and Methods
2.1. Materials
2.2. Hydrogel Synthesis
2.3. Water Uptake
2.4. Transmittance
2.5. Wettability
2.6. Mechanical Properties
2.7. Resveratrol Loading and Release Tests
2.8. Resveratrol Stability
2.9. Ex Vivo Corneal and Scleral Permeability Tests
2.10. HET-CAM Test
2.11. Protein Adsorption
2.12. Antibiofilm Properties
2.12.1. Bacterial Strains and Growth Conditions
2.12.2. Pre-Inocula and Inocula Preparation
2.12.3. Amsterdam Active Attachment (AAA) Model Preparation and Pncubation
2.12.4. Biofilm Susceptibility
2.13. Antioxidant Properties
2.14. Statistical Analysis
3. Results and Discussion
3.1. Hydrogel Synthesis
3.2. Water Uptake and Wettability
3.3. Light Transmission
3.4. Mechanical Properties
3.5. Resveratrol Loading and Release
3.6. Resveratrol Stability
3.7. Corneal and Scleral Permeability
3.8. HET-CAM Test
3.9. Protein Adsorption
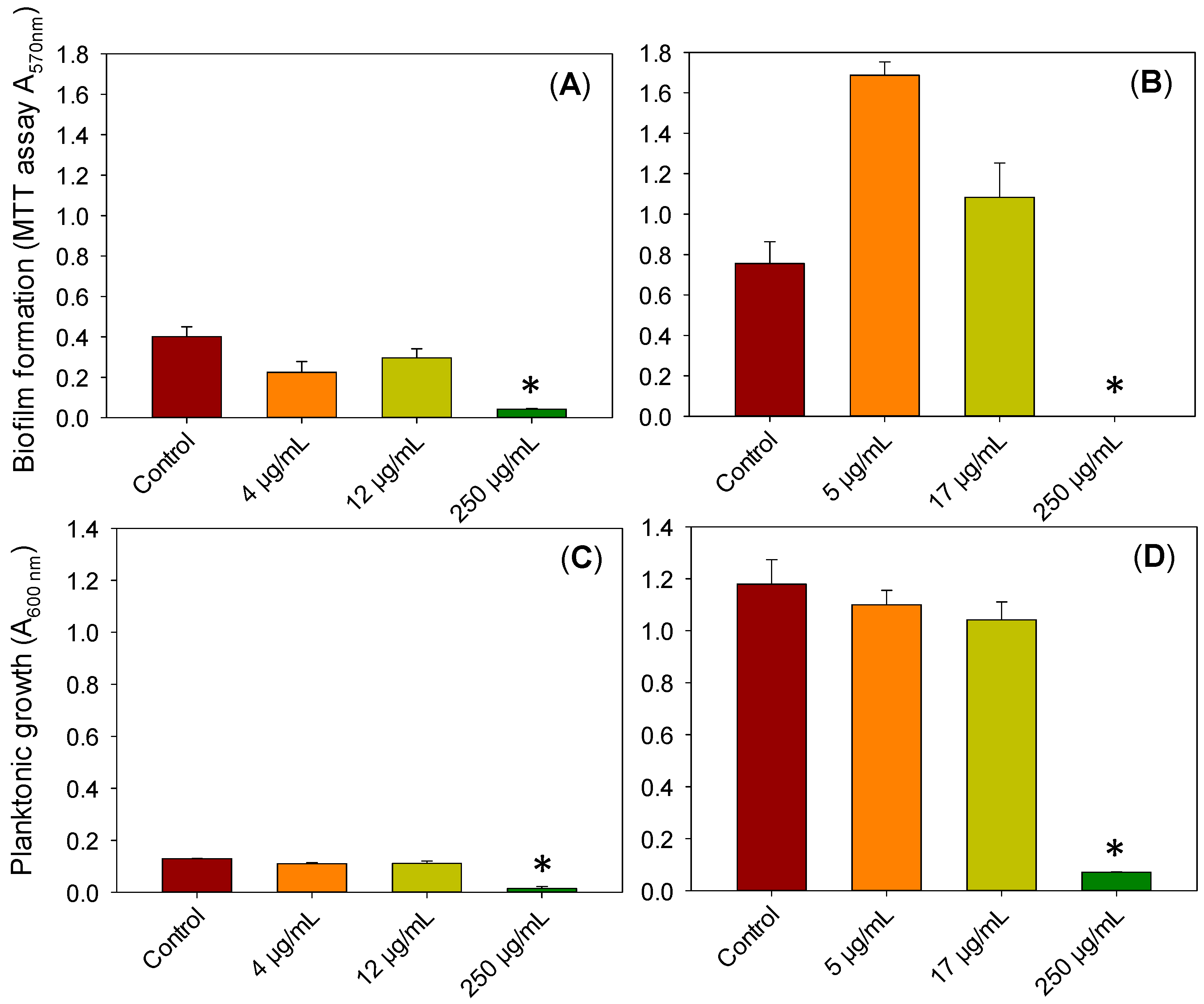
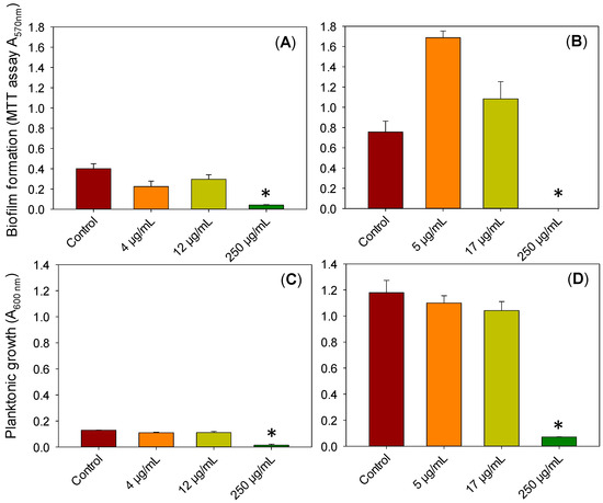
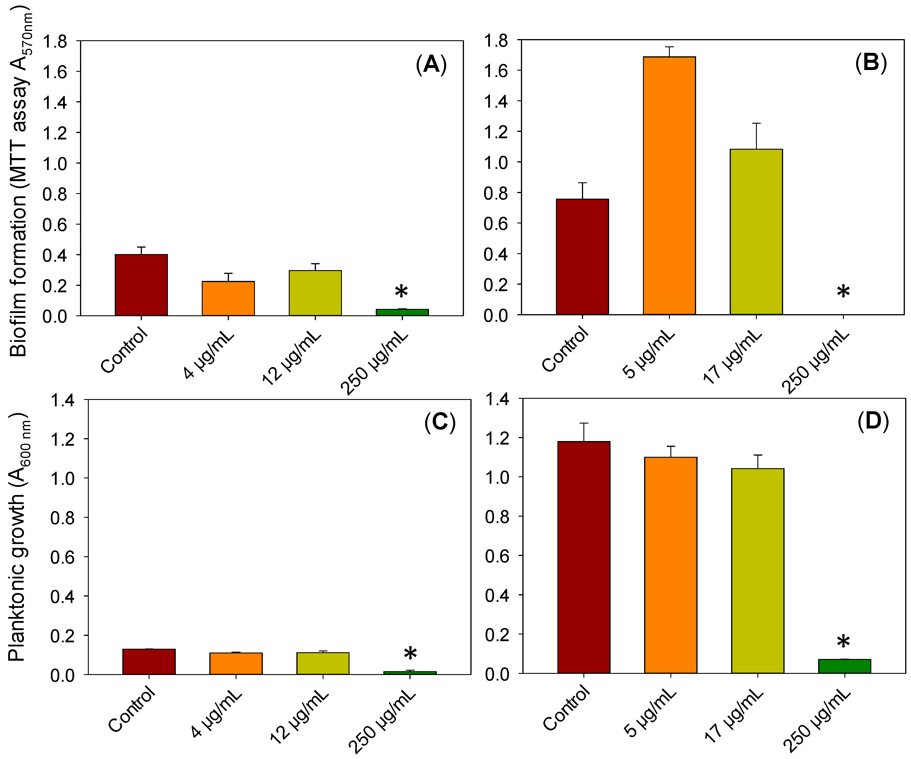
3.10. Antibiofilm Properties
3.11. Antioxidant Properties
4. Conclusions
Supplementary Materials
Author Contributions
Funding
Institutional Review Board Statement
Informed Consent Statement
Data Availability Statement
Conflicts of Interest
References
- Fleiszig, S.M.J.; Kroken, A.R.; Nieto, V.; Grosser, M.R.; Wan, S.J.; Metruccio, M.M.E.; Evans, D.J. Contact lens-related corneal infection: Intrinsic resistance and its compromise. Prog. Retin. Eye Res. 2020, 76, 100804. [Google Scholar] [CrossRef] [PubMed]
- Wiley, L.; Bridge, D.R.; Wiley, L.A.; Odom, J.V.; Elliott, T.; Olson, J.C. Bacterial biofilm diversity in contact lens-related disease: Emerging role of Achromobacter, Stenotrophomonas, and Delftia. Investig. Ophthalmol. Vis. Sci. 2012, 53, 3896–3905. [Google Scholar] [CrossRef]
- Dutta, D.; Willcox, M.D. Antimicrobial contact lenses and lens cases: A review. Eye Contact Lens 2014, 40, 312–324. [Google Scholar] [CrossRef] [PubMed]
- Arshad, M.; Carnt, N.; Tan, J.; Ekkeshis, I.; Stapleton, F. Water exposure and the risk of contact lens–related disease. Cornea 2019, 38, 791–797. [Google Scholar] [CrossRef] [PubMed]
- Bispo, P.J.; Haas, W.; Gilmore, M.S. Biofilms in infections of the eye. Pathogens 2015, 4, 111–136. [Google Scholar] [CrossRef]
- El-Ganiny, A.M.; Shaker, G.H.; Aboelazm, A.A.; El-Dash, H.A. Prevention of bacterial biofilm formation on soft contact lenses using natural compounds. J. Ophthal. Inflamm. Infect. 2017, 7, 11. [Google Scholar] [CrossRef]
- Robertson, D.M. The effects of silicone hydrogel lens wear on the corneal epithelium and risk for microbial keratitis. Eye Contact Lens 2013, 39, 67. [Google Scholar] [CrossRef]
- Zegans, M.E.; Shanks, R.M.; O’toole, G.A. Bacterial biofilms and ocular infections. Ocul. Surf. 2005, 3, 73–80. [Google Scholar] [CrossRef]
- Filipe, H.P.; Bozukova, D.; Pimenta, A.; Vieira, A.P.; Oliveira, A.S.; Galante, R.; Topete, A.; Masson, M.; Alves, P.; Coimbra, P.; et al. Moxifloxacin-loaded acrylic intraocular lenses: In vitro and in vivo performance. J. Cataract. Refract. Surg. 2019, 45, 1808–1817. [Google Scholar] [CrossRef] [PubMed]
- Khan, S.A.; Lee, C.S. Recent progress and strategies to develop antimicrobial contact lenses and lens cases for different types of microbial keratitis. Acta Biomater. 2020, 113, 101–118. [Google Scholar] [CrossRef]
- Wang, J.; Li, X. Enhancing protein resistance of hydrogels based on poly (2-hydroxyethyl methacrylate) and poly (2-methacryloyloxyethyl phosphorylcholine) with interpenetrating network structure. J. Appl. Polym. Sci. 2011, 121, 3347–3352. [Google Scholar] [CrossRef]
- Wang, B.; Ye, Z.; Tang, Y.; Han, Y.; Lin, Q.; Liu, H.; Chen, H.; Nan, K. Fabrication of nonfouling, bactericidal, and bacteria corpse release multifunctional surface through surface-initiated RAFT polymerization. Int. J. Nanomed. 2017, 12, 111. [Google Scholar] [CrossRef]
- Tan, X.; Zhan, J.; Zhu, Y.; Cao, J.; Wang, L.; Liu, S.; Wang, Y.; Liu, Z.; Qin, Y.; Wu, M.; et al. Improvement of uveal and capsular biocompatibility of hydrophobic acrylic intraocular lens by surface grafting with 2-methacryloyloxyethyl phosphorylcholine-methacrylic acid copolymer. Sci. Rep. 2017, 7, 1–13. [Google Scholar] [CrossRef] [PubMed]
- Li, L.; Xin, Z. Surface-hydrophilic and protein-resistant tris (trimethylsiloxy)-3-methacryloxypropylsilane-containing polymer by the introduction of phosphorylcholine groups. Colloid Surf. A Physicochem. Eng. Asp. 2011, 384, 713–719. [Google Scholar] [CrossRef]
- Shimizu, T.; Goda, T.; Minoura, N.; Takai, M.; Ishihara, K. Super-hydrophilic silicone hydrogels with interpenetrating poly(2-methacryloyloxyethyl phosphorylcholine) networks. Biomaterials 2010, 31, 3274–3280. [Google Scholar] [CrossRef]
- Zhang, N.; Zhang, K.; Melo, M.A.S.; Chen, C.; Fouad, A.F.; Bai, Y.; Xu, H.H. Novel protein-repellent and biofilm-repellent orthodontic cement containing 2-methacryloyloxyethyl phosphorylcholine. J. Biomed. Mater. Res. B 2016, 104, 949–959. [Google Scholar] [CrossRef] [PubMed]
- Goda, T.; Ishihara, K. Soft contact lens biomaterials from bioinspired phospholipid polymers. Expert Rev. Med. Devices 2006, 3, 167–174. [Google Scholar] [CrossRef]
- Huang, X.D.; Yao, K.; Zhang, Z.; Zhang, Y.; Wang, Y. Uveal and capsular biocompatibility of an intraocular lens with a hydrophilic anterior surface and a hydrophobic posterior surface. J. Cataract. Refract. Surg. 2010, 36, 290–298. [Google Scholar] [CrossRef]
- Xu, L.; Ma, P.; Yuan, B.; Chen, Q.; Lin, S.; Chen, X.; Hua, Z.; Shen, J. Anti-biofouling contact lenses bearing surface-immobilized layers of zwitterionic polymer by one-step modification. RSC Adv. 2014, 4, 15030–15035. [Google Scholar] [CrossRef]
- Huang, X.D.; Yao, K.; Zhang, H.; Huang, X.J.; Xu, Z.K. Surface modification of silicone intraocular lens by 2-methacryloyloxyethyl phosphoryl-choline binding to reduce Staphylococcus epidermidis adherence. Clin. Exp. Ophthalmol. 2007, 35, 462–467. [Google Scholar] [CrossRef]
- Bostanghadiri, N.; Pormohammad, A.; Chirani, A.S.; Pouriran, R.; Erfanimanesh, S.; Hashemi, A. Comprehensive review on the antimicrobial potency of the plant polyphenol Resveratrol. Biomed. Pharm. 2017, 95, 1588–1595. [Google Scholar] [CrossRef] [PubMed]
- Natesan, S.; Pandian, S.; Ponnusamy, C.; Palanichamy, R.; Muthusamy, S.; Kandasamy, R. Co-encapsulated resveratrol and quercetin in chitosan and PEG modified chitosan nanoparticles: For efficient intra ocular pressure reduction. Int. J. Biol. Macromol. 2017, 104, 1837–1845. [Google Scholar] [CrossRef] [PubMed]
- Dinte, E.; Vostinaru, O.; Samoila, O.; Sevastre, B.; Bodoki, E. Ophthalmic nanosystems with antioxidants for the prevention and treatment of eye diseases. Coatings 2020, 10, 36. [Google Scholar] [CrossRef]
- Augustine, N.; Goel, A.K.; Sivakumar, K.C.; Kumar, R.A.; Thomas, S. Resveratrol–a potential inhibitor of biofilm formation in Vibrio cholerae. Phytomedicine 2014, 21, 286–289. [Google Scholar] [CrossRef] [PubMed]
- Qin, N.; Tan, X.; Jiao, Y.; Liu, L.; Zhao, W.; Yang, S.; Jia, A. RNA-Seq-based transcriptome analysis of methicillin-resistant Staphylococcus aureus biofilm inhibition by ursolic acid and resveratrol. Sci. Rep. 2014, 4, 1–9. [Google Scholar] [CrossRef]
- Vasavi, H.S.; Sudeep, H.V.; Lingaraju, H.B.; Prasad, K.S. Bioavailability-enhanced Resveramax™ modulates quorum sensing and inhibits biofilm formation in Pseudomonas aeruginosa PAO1. Microb. Pathog. 2017, 104, 64–71. [Google Scholar] [CrossRef]
- Zhou, J.W.; Chen, T.T.; Tan, X.J.; Sheng, J.Y.; Jia, A.Q. Can the quorum sensing inhibitor resveratrol function as an aminoglycoside antibiotic accelerant against Pseudomonas aeruginosa? Int. J. Antimicrob. Agents 2018, 52, 35–41. [Google Scholar] [CrossRef]
- Richter, K.; Van den Driessche, F.; Coenye, T. Innovative approaches to treat Staphylococcus aureus biofilm-related infections. Antimicrob. Resist. 2017, 61, 61–70. [Google Scholar]
- Muras, A.; Otero, A. Breaking bad: Understanding how bacterial communication regulates biofilm-related oral diseases. In Trend in Quorum Sensing and Quorum Quenching: New Perspectives and Applications; Rai, V.R., Bai, A.J., Eds.; CRC Press: Boca Raton, FL, USA, 2020; pp. 175–185. [Google Scholar]
- Subramanian, M.; Goswami, M.; Chakraborty, S.; Jawali, N. Resveratrol induced inhibition of Escherichia coli proceeds via membrane oxidation and independent of diffusible reactive oxygen species generation. Redox Biol. 2014, 2, 865–872. [Google Scholar] [CrossRef]
- Nøhr-Meldgaard, K.; Ovsepian, A.; Ingmer, H.; Vestergaard, M. Resveratrol enhances the efficacy of aminoglycosides against Staphylococcus aureus. Int. J. Antimicrob. Agents 2018, 52, 390–396. [Google Scholar] [CrossRef]
- Paulo, L.; Ferreira, S.; Gallardo, E.; Queiroz, J.A.; Domingues, F. Antimicrobial activity and effects of resveratrol on human pathogenic bacteria. World J. Microb. Biotechnol. 2010, 26, 1533–1538. [Google Scholar] [CrossRef]
- Bhatt, P.; Fnu, G.; Bhatia, D.; Shahid, A.; Sutariya, V. Nanodelivery of resveratrol-loaded PLGA nanoparticles for age-related macular degeneration. AAPS PharmSciTech 2020, 21, 291. [Google Scholar] [CrossRef]
- Alvarez-Rivera, F.; Serro, A.P.; Silva, D.; Concheiro, A.; Alvarez-Lorenzo, C. Hydrogels for diabetic eyes: Naltrexone loading, release profiles and cornea penetration. Mater. Sci. Eng. C 2019, 105, 110092. [Google Scholar] [CrossRef]
- Sanchez, I.; Carmona, F.J.; Gonzalez-Puertas, S.; Valiente, A.; Martin, R. Intrasession repeatability of the contact angle measured using the captive bubble method and agreement assessed between different analysis software programs. Eye Contact Lens 2020, 46, 385–390. [Google Scholar] [CrossRef]
- Zupančič, Š.; Lavrič, Z.; Kristl, J. Stability and solubility of trans-resveratrol are strongly influenced by pH and temperature. Eur. J. Pharm. Biopharm. 2015, 93, 196–204. [Google Scholar] [CrossRef]
- Varela-Garcia, A.; Concheiro, A.; Alvarez-Lorenzo, C. Cytosine-functionalized bioinspired hydrogels for ocular delivery of antioxidant transferulic acid. Biomater. Sci. 2020, 8, 1171–1180. [Google Scholar] [CrossRef]
- Alvarez-Rivera, F.; Fernández-Villanueva, D.; Concheiro, A.; Alvarez-Lorenzo, C. α-Lipoic acid in Soluplus® polymeric nanomicelles for ocular treatment of diabetes-associated corneal diseases. J. Pharm. Sci. 2016, 105, 2855–2863. [Google Scholar] [CrossRef] [PubMed]
- ICCVAM. ICCVAM Test Method Evaluation Report: Current Validation Status of In Vitro Test Methods Proposed for Identifying Eye Injury Hazard Potential of Chemicals and Products; NIH Publication No. 10-7553; Research Triangle Park, National Institute of Environmental Health Sciences: Durham, NC, USA, 2010; p. 1324. [Google Scholar]
- Silva, D.; Pinto, L.F.; Bozukova, D.; Santos, L.F.; Serro, A.P.; Saramago, B. Chitosan/alginate based multilayers to control drug release from ophthalmic lens. Colloid Surf. B 2016, 147, 81–89. [Google Scholar] [CrossRef] [PubMed]
- Teichroeb, J.H.; Forrest, J.A.; Jones, L.W.; Chan, J.; Dalton, K. Quartz crystal microbalance study of protein adsorption kinetics on poly (2-hydroxyethyl methacrylate). J. Colloid Interface Sci. 2008, 325, 157–164. [Google Scholar] [CrossRef] [PubMed]
- Mayer, C.; Muras, A.; Romero, M.; López, M.; Tomás, M.; Otero, A. Multiple quorum quenching enzymes are active in the nosocomial pathogen Acinetobacter baumannii ATCC17978. Front. Cell. Infect. Microbiol. 2018, 8, 310. [Google Scholar] [CrossRef] [PubMed]
- Vivero-Lopez, M.; Xu, X.; Muras, A.; Otero, A.; Concheiro, A.; Gaisford, S.; Basit, A.W.; Alvarez-Lorenzo, C.; Goyanes, A. Anti-biofilm multi drug-loaded 3d printed hearing aids. Mater. Sci. Eng. C 2020, 119, 111606. [Google Scholar] [CrossRef]
- Gülçin, İ. Antioxidant properties of resveratrol: A structure–activity insight. Innov. Food Sci. Emerg. Technol. 2010, 11, 210–218. [Google Scholar] [CrossRef]
- Moon, J.K.; Shibamoto, T. Antioxidant assays for plant and food components. J. Agric. Food Chem. 2009, 57, 1655–1666. [Google Scholar] [CrossRef]
- Chen, Y.; Meng, J.; Li, H.; Wei, H.; Bi, F.; Liu, S.; Tang, K.; Guo, H.; Liu, W. Resveratrol exhibits an effect on attenuating retina inflammatory condition and damage of diabetic retinopathy via PON1. Exp. Eye Res. 2019, 181, 356–366. [Google Scholar] [CrossRef]
- Lançon, A.; Frazzi, R.; Latruffe, N. Anti-oxidant, anti-inflammatory and anti-angiogenic properties of resveratrol in ocular diseases. Molecules 2016, 21, 304. [Google Scholar] [CrossRef] [PubMed]
- Nicolson, P.C.; Vogt, J. Soft contact lens polymers: An evolution. Biomaterials 2001, 22, 3273–3283. [Google Scholar] [CrossRef]
- Liu, Y. Polymerizable Contact Lens Formulations and Contact Lenses Obtained Therefrom. U.S. Patent No. 8,011,784, 6 September 2011. [Google Scholar]
- Tran, N.P.D.; Yang, M.C. Synthesis and characterization of silicone contact lenses based on TRIS-DMA-NVP-HEMA hydrogels. Polymers 2019, 11, 944. [Google Scholar] [CrossRef] [PubMed]
- Chien, H.W.; Kuo, C.J. Preparation, material properties and antimicrobial efficacy of silicone hydrogel by modulating silicone and hydrophilic monomer. J. Biomater. Sci. Polym. Ed. 2019, 30, 1050–1067. [Google Scholar] [CrossRef] [PubMed]
- Paradiso, P.; Galante, R.; Santos, L.; Alves de Matos, A.P.; Colaço, R.; Serro, A.P.; Saramago, B. Comparison of two hydrogel formulations for drug release in ophthalmic lenses. J. Biomed. Mater. Res. B Appl. Biomater. 2014, 102, 1170–1180. [Google Scholar] [CrossRef]
- Dos Santos, J.F.R.; Alvarez-Lorenzo, C.; Silva, M.; Balsa, L.; Couceiro, J.; Torres-Labandeira, J.J.; Concheiro, A. Soft contact lenses functionalized with pendant cyclodextrins for controlled drug delivery. Biomaterials 2009, 30, 1348–1355. [Google Scholar] [CrossRef]
- Alvarez-Lorenzo, C.; Yanez, F.; Barreiro-Iglesias, R.; Concheiro, A. Imprinted soft contact lenses as norfloxacin delivery systems. J. Control. Release 2006, 113, 236–244. [Google Scholar] [CrossRef]
- Sekar, P.; Dixon, P.J.; Chauhan, A. Pigmented contact lenses for managing ocular disorders. Int. J. Pharm. 2019, 555, 184–197. [Google Scholar] [CrossRef]
- Wang, J.J.; Liu, F. Photoinduced graft polymerization of 2-methacryloyloxyethyl phosphorylcholine on silicone hydrogels for reducing protein adsorption. J. Mater. Sci. Mater. Med. 2011, 22, 2651–2657. [Google Scholar] [CrossRef] [PubMed]
- Vales Pegarro, T.; Jee, J.-P.; Young Lee, W.; Cho, S.; Lee Myung, G.; Kim, H.-J.; Suk Kim, J. Development of poly(2-methacryloyloxyethyl phosphorylcholine)-functionalized hydrogels for reducing protein and bacterial adsorption. Materials 2020, 13, 943. [Google Scholar] [CrossRef] [PubMed]
- Chang, W.H.; Liu, P.Y.; Lu, C.J.; Lin, D.E.; Lin, M.H.; Jiang, Y.T.; Hsu, Y.H.H. Reduction of physical strength and enhancement of anti-protein and anti-lipid adsorption abilities of contact lenses by adding 2-methacryloyloxyethyl phosphorylcholine. Macromol. Res. 2020, 28, 1064–1073. [Google Scholar] [CrossRef]
- Lin, M.C.; Svitova, T.F. Contact lenses wettability in vitro: Effect of surface-active ingredients. Optom. Vis. Sci. 2010, 87, 440. [Google Scholar] [CrossRef] [PubMed]
- Horst, C.R.; Brodland, B.; Jones, L.W.; Brodland, G.W. Measuring the modulus of silicone hydrogel contact lenses. Optom. Vis. Sci. 2012, 89, 1468–1476. [Google Scholar] [CrossRef]
- Pimenta, A.F.R.; Ascenso, J.; Fernandes, J.C.S.; Colaço, R.; Serro, A.P.; Saramago, B. Controlled drug release from hydrogels for contact lenses: Drug partitioning and diffusion. Int. J. Pharm. 2016, 515, 467–475. [Google Scholar] [CrossRef]
- Alvarez-Rivera, F.; Concheiro, A.; Alvarez-Lorenzo, C. Epalrestat-loaded silicone hydrogels as contact lenses to address diabetic-eye complications. Eur. J. Pharm. Biopharm. 2018, 122, 126–136. [Google Scholar] [CrossRef] [PubMed]
- Tieppo, A.; Boggs, A.C.; Pourjavad, P.; Byrne, M.E. Analysis of release kinetics of ocular therapeutics from drug releasing contact lenses: Best methods and practices to advance the field. Cont. Lens Anterior Eye 2014, 37, 305–313. [Google Scholar] [CrossRef] [PubMed]
- Silva, D.; de Sousa, H.C.; Gil, M.H.; Santos, L.F.; Moutinho, G.M.; Serro, A.P.; Saramago, B. Antibacterial layer-by-layer coatings to control drug release from soft contact lenses material. Int. J. Pharm. 2018, 553, 186–200. [Google Scholar] [CrossRef]
- Chan, C.M.; Huang, C.H.; Li, H.J.; Hsiao, C.Y.; Su, C.C.; Lee, P.L.; Hung, C.F. Protective effects of resveratrol against UVA-induced damage in ARPE19 cells. Int. J. Mol. Sci. 2015, 16, 5789–5802. [Google Scholar] [CrossRef]
- Losso, J.N.; Truax, R.E.; Richard, G. Trans-resveratrol inhibits hyperglycemia-induced inflammation and connexin downregulation in retinal pigment epithelial cells. J. Agric. Food Chem. 2010, 58, 8246–8252. [Google Scholar] [CrossRef] [PubMed]
- Abengózar-Vela, A.; Schaumburg, C.S.; Stern, M.E.; Calonge, M.; Enríquez-de-Salamanca, A.; González-García, M.J. Topical quercetin and resveratrol protect the ocular surface in experimental dry eye disease. Ocul. Immunol. Inflamm. 2019, 27, 1023–1032. [Google Scholar] [CrossRef] [PubMed]
- Abu-Amero, K.K.; Kondkar, A.A.; Chalam, K.V. Resveratrol and ophthalmic diseases. Nutrients 2016, 8, 200. [Google Scholar] [CrossRef]
- Goutham, G.; Manikandan, R.; Beulaja, M.; Thiagarajan, R.; Arulvasu, C.; Arumugam, M.; Setzer, W.N.; Daglia, M.; Nabavi, S.F. A focus on resveratrol and ocular problems, especially cataract: From chemistry to medical uses and clinical relevance. Biomed. Pharmacother. 2017, 86, 232–241. [Google Scholar] [CrossRef]
- Wang, S.; Wang, Z.; Yang, S.; Yin, T.; Zhang, Y.; Qin, Y.; Weinreb, R.N.; Sun, X. Tissue distribution of trans-resveratrol and its metabolites after oral administration in human eyes. J. Ophthalmol. 2017, 2017, 4052094. [Google Scholar] [CrossRef] [PubMed]
- Silva, C.G.; Monteiro, J.; Marques, R.R.; Silva, A.M.; Martínez, C.; Canle, M.; Faria, J.L. Photochemical and photocatalytic degradation of trans-resveratrol. Photochem. Photobiol. Sci. 2013, 12, 638–644. [Google Scholar] [CrossRef] [PubMed]
- Alambiaga-Caravaca, A.M.; Calatayud-Pascual, M.A.; Rodilla, V.; Concheiro, A.; López-Castellano, A.; Alvarez-Lorenzo, C. Micelles of progesterone for topical eye administration: Interspecies and intertissues differences in ex vivo ocular permeability. Pharmaceutics 2020, 12, 702. [Google Scholar] [CrossRef] [PubMed]
- Luensmann, D.; Jones, L. Protein deposition on contact lenses: The past, the present, and the future. Contact Lens Anterior Eye 2012, 35, 53–64. [Google Scholar] [CrossRef]
- Carapeto, A.; Serro, A.; Nunes, B.; Martins, M.; Todorovic, S.; Duarte, M.T.; Andre, V.; Colaco, R.; Saramago, B. Characterization of two DLC coatings for joint prosthesis: The role of albumin on the tribological behavior. Surf. Coat. Technol. 2010, 204, 3451–3458. [Google Scholar] [CrossRef]
- Gispert, M.P.; Serro, A.P.; Colaço, R.; Saramago, B. Bovine serum albumin adsorption onto 316L stainless steel and alumina: A comparative study using depletion, protein radiolabeling, quartz crystal microbalance and atomic force microscopy. Surf. Interface Anal. 2008, 40, 1529–1537. [Google Scholar] [CrossRef]
- Jin, J.; Han, Y.; Zhang, C.; Liu, J.; Jiang, W.; Yin, J.; Liang, H. Effect of grafted PEG chain conformation on albumin and lysozyme adsorption: A combined study using QCM-D and DPI. Colloid Surf. B 2015, 136, 838–844. [Google Scholar] [CrossRef] [PubMed]
- Fulga, F.; Nicolau, D. Biomolecular layers: Quantification of mass and thickness. In Wiley Encyclopedia of Biomedical Engineering; John Wiley & Sons Inc.: Hoboken, NJ, USA, 2006; Volume 3, pp. 154–196. [Google Scholar]
- Al-Sohani, A.; Awwad, S.; Shaw, P.T.; Brocchini, S. The preparation of HEMA-MPC films for ocular drug delivery. Br. J. Pharm. 2017, 2, 31–41. [Google Scholar] [CrossRef][Green Version]
- Yang, J.; Mattison, K. Protein characterization using dynamic and static light scattering. China Particuol. 2003, 1, 219–222. [Google Scholar] [CrossRef]
- Silva, D.; de Sousa, H.C.; Gil, M.H.; Santos, L.F.; Amaral, R.A.; Saraiva, J.A.; Salema-Oom, M.; Alvarez-Lorenzo, C.; Serro, A.P.; Saramago, B. Imprinted hydrogels with LbL coating for dual drug release from soft contact lenses materials. Mater. Sci. Eng. C Mater. Biol. Appl. 2021, 120, 111687. [Google Scholar] [CrossRef]
- Garrett, Q.; Garrett, R.W.; Milthorpe, B.K. Lysozyme sorption in hydrogel contact lenses. Investig. Ophthalmol. Vis. Sci. 1999, 40, 897–903. [Google Scholar]
- Diaz-Gomez, L.; Concheiro, A.; Alvarez-Lorenzo, C. Functionalization of titanium implants with phase-transited lysozyme for gentle immobilization of antimicrobial lysozyme. Appl. Surf. Sci. 2018, 452, 32–42. [Google Scholar] [CrossRef]
- Shimamura, Y.; Hirai, C.; Sugiyama, Y.; Shibata, M.; Ozaki, J.; Murata, M.; Ohashi, N.; Masuda, S. Inhibitory effects of food additives derived from polyphenols on staphylococcal enterotoxin A production and biofilm formation by Staphylococcus aureus. Biosci. Biotechnol. Biochem. 2017, 81, 2346–2352. [Google Scholar] [CrossRef] [PubMed]
- Mah, T.F.; O’Toole, G.A. Mechanisms of biofilm resistance to antimicrobial agents. Trends Microbiol. 2001, 9, 34–39. [Google Scholar] [CrossRef]
- Van Meerloo, J.; Kaspers, G.J.; Cloos, J. Cell sensitivity assays: The MTT assay. Methods Mol. Biol. 2011, 731, 237–245. [Google Scholar]
- Stepanenko, A.A.; Dmitrenko, V.V. Pitfalls of the MTT assay: Direct and off-target effects of inhibitors can result in over/underestimation of cell viability. Gene 2015, 574, 193–203. [Google Scholar] [CrossRef] [PubMed]
- Lee, K.; Lee, J.H.; Ryu, S.Y.; Cho, M.H.; Lee, J. Stilbenes reduce Staphylococcus aureus hemolysis, biofilm formation, and virulence. Foodborne Pathog. Dis. 2014, 11, 710–717. [Google Scholar] [CrossRef] [PubMed]
- Cho, H.S.; Lee, J.H.; Cho, M.H.; Lee, J. Red wines and flavonoids diminish Staphylococcus aureus virulence with anti-biofilm and anti-hemolytic activities. Biofouling 2015, 31, 1–11. [Google Scholar] [CrossRef] [PubMed]
- Fujii, K.; Matsumoto, H.N.; Koyama, Y.; Iwasaki, Y.; Ishihara, K.; Takakuda, K. Prevention of biofilm formation with a coating of 2-methacryloyloxyethyl phosphorylcholine polymer. J. Vet. Med. Sci. 2008, 70, 167–173. [Google Scholar] [CrossRef] [PubMed]
- Willcox, M.D.P.; Harmis, N.; Cowell, B.A.; Williams, T.; Holden, B.A. Bacterial interactions with contact lenses; effects of lens material, lens wear and microbial physiology. Biomaterials 2001, 22, 3235–3247. [Google Scholar] [CrossRef]
- Bruinsma, G.M.; Van der Mei, H.C.; Busscher, H.J. Bacterial adhesion to surface hydrophilic and hydrophobic contact lenses. Biomaterials 2001, 22, 3217–3224. [Google Scholar] [CrossRef]
- Henriques, M.; Sousa, C.; Lira, M.; Elisabete, M.; Oliveira, R.; Oliveira, R.; Azeredo, J. Adhesion of Pseudomonas aeruginosa and Staphylococcus epidermidis to silicone–hydrogel contact lenses. Optom. Vis. Sci. 2005, 82, 446–450. [Google Scholar] [CrossRef]









| Hydrogel | Code | MPC (mg) | TRIS (mL) | NVP (mL) | HEMA (mL) | EGDMA (µL) | AIBN (mg) |
|---|---|---|---|---|---|---|---|
| Silicone | S1 | 0 | 1.58 | 2.50 | 0.92 | 32 | 12.50 |
| S2 | 14.76 | 1.58 | 2.50 | 0.92 | 32 | 12.50 | |
| S3 | 29.52 | 1.58 | 2.50 | 0.92 | 32 | 12.50 | |
| S4 | 44.29 | 1.58 | 2.50 | 0.92 | 32 | 12.50 | |
| S5 | 118.1 | 1.58 | 2.50 | 0.92 | 32 | 12.50 | |
| S6 | 150.0 | 1.58 | 2.50 | 0.92 | 32 | 12.50 | |
| HEMA | H1 | 0 | - | - | 4 | 6.04 | 6.57 |
| H2 | 11.81 | - | - | 4 | 6.04 | 6.57 | |
| H3 | 23.62 | - | - | 4 | 6.04 | 6.57 | |
| H4 | 35.43 | - | - | 4 | 6.04 | 6.57 | |
| H5 | 70.90 | - | - | 4 | 6.04 | 6.57 | |
| H6 | 120.0 | - | - | 4 | 6.04 | 6.57 |
| Hydrogel Code | Water Uptake (%) | Young’s Modulus (MPa) | Resveratrol Loaded (µg/mg) |
|---|---|---|---|
| S1 | 91.9 ± 0.6 | 2.00 ± 0.07 | 37.37 ± 0.68 |
| S2 | 92.2 ± 0.5 | 2.29 ± 0.17 | 49.22 ± 1.74 |
| S3 | 93.2 ± 1.1 | 2.01 ± 0.37 | 41.66 ± 0.96 |
| S4 | 92.4 ± 1.5 | 2.46 ± 0.09 | 47.87 ± 0.72 |
| S5 | 105.8 ± 0.9 | 2.47 ± 0.09 | 50.11 ± 2.06 |
| S6 | 107.3 ± 0.9 | 2.32 ± 0.21 | 58.58 ± 4.05 |
| H1 | 56.4 ± 0.5 | 0.61 ± 0.03 | 8.57 ± 0.56 |
| H2 | 57.4 ± 0.3 | 0.67 ± 0.01 | 8.80 ± 0.35 |
| H3 | 58.4 ± 0.6 | 0.68 ± 0.04 | 8.32 ± 0.22 |
| H4 | 59.2 ± 0.1 | 0.67 ± 0.05 | 8.66 ± 0.53 |
| H5 | 62.6 ± 0.8 | 0.66 ± 0.01 | 9.27 ± 0.75 |
| H6 | 67.6 ± 0.1 | 0.60 ± 0.01 | 8.40 ± 0.09 |
| Proclear® 1 day | 139.9 ± 2.3 | 0.44 ± 0.08 | 13.59 ± 0.36 |
| Hydrogel | Protein | ∆f/n (Hz) | ∆D (×10−6) | ∆m (ng/cm2) | deff (nm) |
|---|---|---|---|---|---|
| S1 | Albumin | −15.5 ± 4.1 | 0.9 ± 0.6 | 275 ± 72 | 2.4 ± 0.6 |
| S4 | −7.0 ± 1.5 | 0.9 ± 1.1 | 124 ± 27 | 1.1 ± 0.2 | |
| S5 | −4.3 ± 0.5 | −0.2 ± 0.6 | 77 ± 9 | 0.6 ± 0.1 | |
| S6 | −3.8 ± 0.8 | −0.9 ± 0.4 | 68 ± 15 | 0.5 ± 0.1 | |
| S1 | Lysozyme | −31.8 ± 6.3 | 0.4 ± 0.6 | 562 ± 110 | 4.1 ± 0.8 |
| S4 | −31.0 ± 3.4 | 0.6 ± 0.2 | 548 ± 60 | 4.0 ± 0.4 | |
| S5 | −24.1 ± 7.8 | 0.1 ± 0.1 | 427 ± 140 | 3.1 ± 1.0 | |
| S6 | −21.3 ± 0.6 | 0.9 ± 0.5 | 377 ± 11 | 2.7 ± 0.1 | |
| H1 | Albumin | −15.6 ± 6.4 | 0.6 ± 0.3 | 275 ± 114 | 2.4 ± 1.0 |
| H4 | −14.1 ± 5.4 | 0.1 ± 1.1 | 250 ± 96 | 2.2 ± 0.8 | |
| H5 | −8.5 ± 1.7 | 0.9 ± 0.1 | 150 ± 30 | 1.5 ± 0.4 | |
| H6 | −6.4 ± 0.8 | 0.1 ± 0.9 | 114 ± 15 | 1.0 ± 0.1 | |
| H1 | Lysozyme | −29.0 ± 4.7 | 1 ± 0.3 | 513 ± 83 | 3.7 ± 0.6 |
| H4 | −24.0 ± 7.3 | 0.1 ± 0.5 | 424 ± 129 | 3.1 ± 0.9 | |
| H5 | −19.5 ± 2.2 | 1.4 ± 0.6 | 345 ± 39 | 2.5 ± 0.3 | |
| H6 | −8.5 ± 2.4 | 1.8 ± 1.5 | 151 ± 43 | 1.1 ± 0.3 |
| Hydrogels | DPPH• (µg/mL) | DPPH• Scavenging Effect (%) | TEAC (µM) | |||
|---|---|---|---|---|---|---|
| 12 h | 24 h | 12 h | 24 h | 12 h | 24 h | |
| S1 | 15.6 ± 0.2 | 14. 8 ± 0.9 | 26.1 ± 1.1 | 29.0 ± 4.3 | 10.6 ± 0.5 | 12.6 ± 2.2 |
| S2 | 16.3 ± 2.3 | 13.4 ± 0.6 | 27.8 ± 2.4 | 41.8 ± 2.6 | 8.9 ± 5.6 | 15. 9 ± 1.4 |
| S3 | 15.6 ± 0.6 | 14.2 ± 0.3 | 38.7 ± 2.6 | 27.6 ± 1.5 | 10.5 ± 1.6 | 14.0 ± 0.7 |
| S4 | 15.7 ± 2.1 | 13.2 ± 0.3 | 30.3 ± 9.6 | 33.4 ± 1.7 | 10.3 ± 5.2 | 16.5 ± 0.8 |
| S5 | 15.1 ± 1.3 | 13.2 ± 0.7 | 35.5 ± 5.7 | 45.3 ± 3.1 | 11.8 ± 3.2 | 16.5 ± 1.8 |
| S6 | 14.6 ± 0.9 | 13.6 ± 1.7 | 26.0 ± 4.9 | 36.8 ± 7.9 | 13.1 ± 2.3 | 15.6 ± 4.1 |
| H1 | 11.5 ± 0.1 | 10.0 ± 1.0 | 44.0 ± 0.7 | 51.6 ± 4.9 | 20.5 ± 0.3 | 24.4 ± 2.4 |
| H2 | 12.1 ± 0.8 | 11.9 ± 2.1 | 39.1 ± 4.3 | 40.2 ± 11.0 | 19.2 ± 2.0 | 19.6 ± 5.3 |
| H3 | 13.0 ± 0.9 | 11.6 ± 1.7 | 36.4 ± 4.4 | 42.0 ± 8.8 | 17.0 ± 2.2 | 20.5 ± 4.2 |
| H4 | 12.2 ± 0.4 | 10.8 ± 0.7 | 41.7 ± 2.0 | 47.7 ± 3.3 | 19.1 ± 1.0 | 22.3 ± 1.6 |
| H5 | 11.3 ± 0.5 | 12.1 ± 3.6 | 48.1 ± 2.4 | 38.4 ± 18.9 | 21.3 ± 1.2 | 19.2 ± 8.9 |
| H6 | 11.3 ± 0.8 | 9.8 ± 0.5 | 44.0 ± 4.1 | 58.9 ± 2.1 | 21.1 ± 2.0 | 24.9 ± 1.2 |
| Proclear® | 11.0 ± 0.4 | 11.1 ± 1.4 | 47.5 ± 2.0 | 46.5 ± 7.0 | 22.0 ± 1.0 | 21.6 ± 3.5 |
Publisher’s Note: MDPI stays neutral with regard to jurisdictional claims in published maps and institutional affiliations. |
© 2021 by the authors. Licensee MDPI, Basel, Switzerland. This article is an open access article distributed under the terms and conditions of the Creative Commons Attribution (CC BY) license (https://creativecommons.org/licenses/by/4.0/).
Share and Cite
Vivero-Lopez, M.; Muras, A.; Silva, D.; Serro, A.P.; Otero, A.; Concheiro, A.; Alvarez-Lorenzo, C. Resveratrol-Loaded Hydrogel Contact Lenses with Antioxidant and Antibiofilm Performance. Pharmaceutics 2021, 13, 532. https://doi.org/10.3390/pharmaceutics13040532
Vivero-Lopez M, Muras A, Silva D, Serro AP, Otero A, Concheiro A, Alvarez-Lorenzo C. Resveratrol-Loaded Hydrogel Contact Lenses with Antioxidant and Antibiofilm Performance. Pharmaceutics. 2021; 13(4):532. https://doi.org/10.3390/pharmaceutics13040532
Chicago/Turabian StyleVivero-Lopez, María, Andrea Muras, Diana Silva, Ana Paula Serro, Ana Otero, Angel Concheiro, and Carmen Alvarez-Lorenzo. 2021. "Resveratrol-Loaded Hydrogel Contact Lenses with Antioxidant and Antibiofilm Performance" Pharmaceutics 13, no. 4: 532. https://doi.org/10.3390/pharmaceutics13040532
APA StyleVivero-Lopez, M., Muras, A., Silva, D., Serro, A. P., Otero, A., Concheiro, A., & Alvarez-Lorenzo, C. (2021). Resveratrol-Loaded Hydrogel Contact Lenses with Antioxidant and Antibiofilm Performance. Pharmaceutics, 13(4), 532. https://doi.org/10.3390/pharmaceutics13040532

