The Development of Third-Generation Tetracycline Antibiotics and New Perspectives
Abstract
1. Introduction
1.1. Brief History of Tetracycline Antibiotics
1.2. The Discovery of Modern Tetracyclines
2. Research Methodology
3. Overview of Modern Tetracyclines
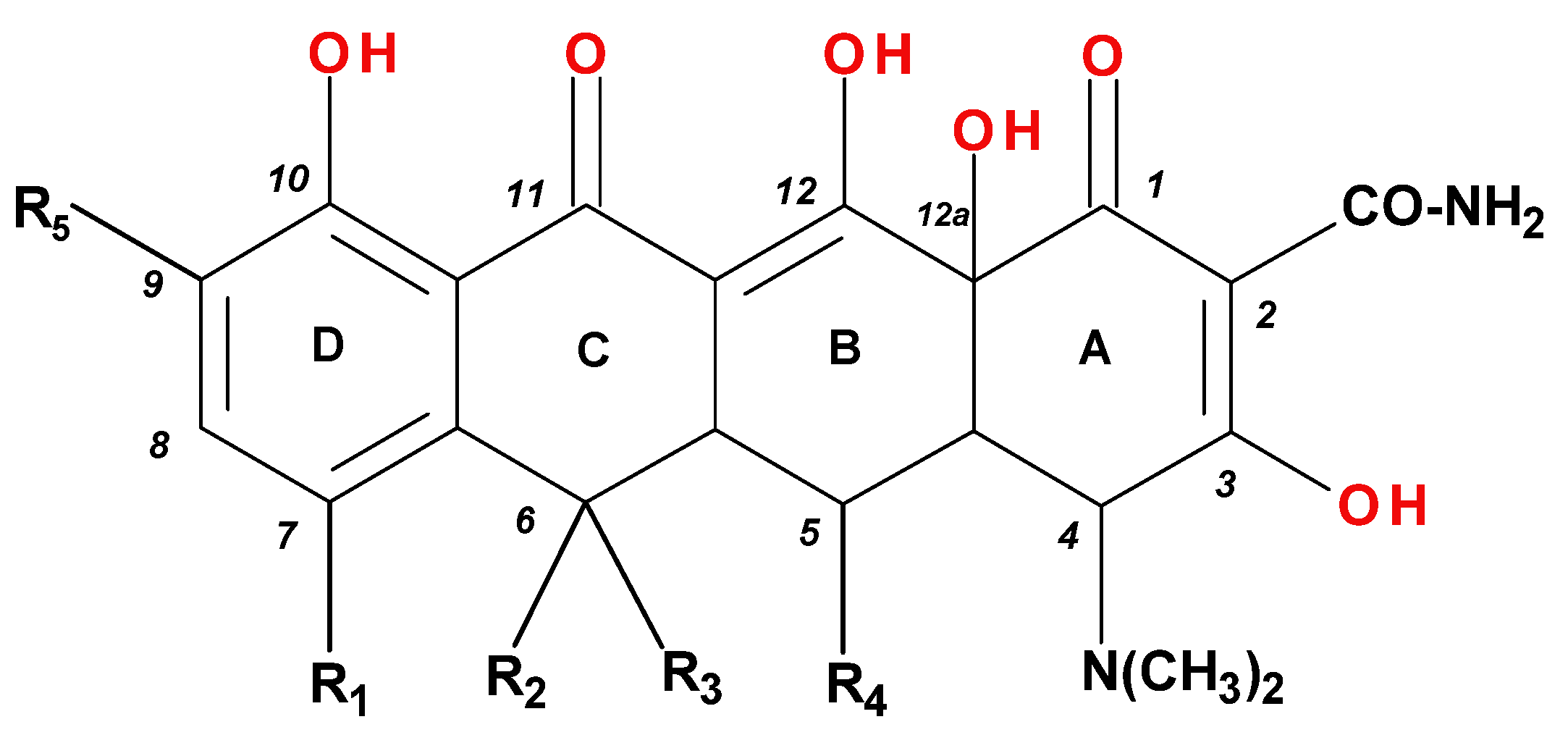
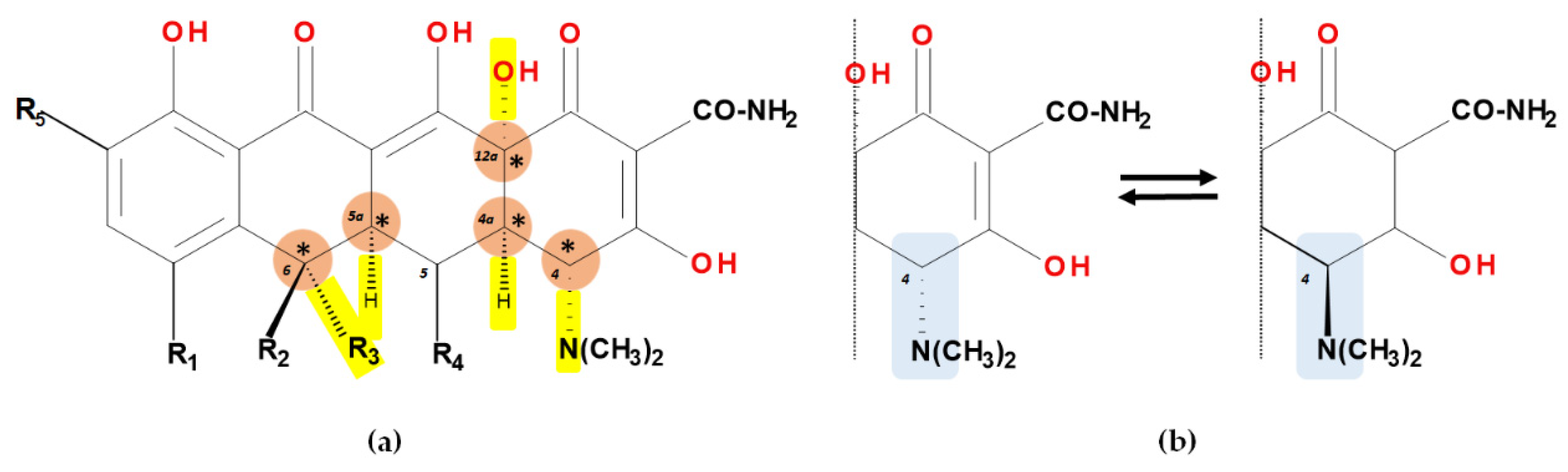
3.1. Considerations Regarding the Chemical Structure and Physicochemical Properties of the New Tetracyclines
3.2. Structure-Activity Relationships
3.3. Mechanism of Action
Other Biological Effects
3.4. Spectrum of Antibacterial Activity
3.5. Bacterial Resistance to New Tetracyclines
4. Therapeutic Use of the New Tetracyclines
5. Side Effects of the Third-Generation Tetracyclines
6. New Compounds under Development
7. Conclusions
Supplementary Materials
Author Contributions
Funding
Conflicts of Interest
References
- Moffa, M.; Brook, I. 26—Tetracyclines, Glycylcyclines, and Chloramphenicol. In Mandell, Douglas, and Bennett’s Principles and Practice of Infectious Diseases, 8th ed.; Bennett, J.E., Dolin, R., Blaser, M.J., Eds.; W.B. Saunders: Philadelphia, PA, USA, 2015; pp. 2607–2618.e2. ISBN 9781455748013. [Google Scholar] [CrossRef]
- Klein, N.C.; Cunha, B.A. Tetracyclines. Med. Clin. N. Am. 1995, 79, 789–801. [Google Scholar] [CrossRef]
- Nelson, M.L.; Levy, S.B. The history of the tetracyclines. Ann. N. Y. Acad. Sci. 2011, 1241, 17–32. [Google Scholar] [CrossRef]
- Duggar, B.M. Aureomycin; a product of the continuing search for new antibiotics. Ann. N. Y. Acad. Sci. 1948, 51, 177–181. [Google Scholar] [CrossRef]
- Dubos, R.J.; Hotchkiss, R.D. The production of bactericidal substances by aerobic sporulating bacilli. J. Exp. Med. 1941, 73, 629–640. [Google Scholar] [CrossRef] [PubMed]
- Waksman, S.A.; Schatz, A.; Reynolds, D.M. Production of antibiotic substances by actinomycetes. Ann. N. Y. Acad. Sci. 2010, 1213, 112–124. [Google Scholar] [CrossRef] [PubMed]
- Finland, M. Twenty-fifth anniversary of the discovery of Aureomycin: The place of the tetracyclines in antimicrobial therapy. Clin. Pharmacol. Ther. 1974, 15, 3–8. [Google Scholar] [CrossRef] [PubMed]
- Raistrick, H. Aureomycin, a New Antibiotic. Nature 1949, 163, 159–160. [Google Scholar] [CrossRef] [PubMed][Green Version]
- The Tetracyclines; Hlavka, J.J.; Boothe, J.H. (Eds.) Handbook of Experimental Pharmacology; Springer: Berlin/Heidelberg, Germany, 1985; ISBN 978-3-642-70306-5. [Google Scholar]
- Griffin, M.O.; Fricovsky, E.; Ceballos, G.; Villarreal, F. Tetracyclines: A pleitropic family of compounds with promising therapeutic properties. Review of the literature. Am. J. Physiol. Physiol. 2010, 299, C539–C548. [Google Scholar] [CrossRef]
- Lombardino, J.G. A brief history of pfizer central research. Bull. Hist. Chem. 2000, 25, 6. [Google Scholar]
- Stephens, C.R.; Conover, L.H.; Hochstein, F.A.; Regna, P.P.; Pilgrim, F.J.; Brunings, K.J.; Woodward, R.B. Terramycin. VIII. structure of aureomycin and terramycin. J. Am. Chem. Soc. 1952, 74, 4976–4977. [Google Scholar] [CrossRef]
- Zhanel, G.G.; Homenuik, K.; Nichol, K.; Noreddin, A.; Vercaigne, L.; Embil, J.; Gin, A.; Karlowsky, J.A.; Hoban, D.J. The Glycylcyclines: A Comparative Review with the Tetracyclines. Drugs 2004, 64, 63–88. [Google Scholar] [CrossRef]
- Rogalski, W. Chemical Modification of the Tetracyclines. In The Tetracyclines; Handbook of Experimental Pharmacology; Hlavka, J.J., Boothe, J.H., Eds.; Springer: Berlin/Heidelberg, Germany, 1985; pp. 179–316. ISBN 978-3-642-70304-1. [Google Scholar]
- McCormick, J.R.D.; Sjolander, N.O.; Hirsch, U.; Jensen, E.R.; Doerschuk, A.P. A new family of antibiotics: The demethyltetracyclines. J. Am. Chem. Soc. 1957, 79, 4561–4563. [Google Scholar] [CrossRef]
- NCATS Inxight Drugs—Methacycline. Available online: https://drugs.ncats.io/substance/IR235I7C5P (accessed on 29 October 2021).
- Garrido-Mesa, N.; Zarzuelo, A.; Galvez, J. Minocycline: Far beyond an antibiotic. Br. J. Pharmacol. 2013, 169, 337–352. [Google Scholar] [CrossRef]
- Grossman, T.H. Tetracycline Antibiotics and Resistance. Cold Spring Harb. Perspect. Med. 2016, 6, a025387. [Google Scholar] [CrossRef]
- Lee, Y.R.; Burton, C.E. Eravacycline, a newly approved fluorocycline. Eur. J. Clin. Microbiol. Infect. Dis. 2019, 38, 1787–1794. [Google Scholar] [CrossRef]
- Moore, A.Y.; Charles, J.E.M.; Moore, S. Sarecycline: A narrow spectrum tetracycline for the treatment of moderate-to-severe acne vulgaris. Futur. Microbiol. 2019, 14, 1235–1242. [Google Scholar] [CrossRef]
- Fuoco, D. Classification Framework and Chemical Biology of Tetracycline-Structure-Based Drugs. Antibiotics 2012, 1, 1. [Google Scholar] [CrossRef]
- Villano, S.; Steenbergen, J.; Loh, E. Omadacycline: Development of a novel aminomethylcycline antibiotic for treating drug-resistant bacterial infections. Futur. Microbiol. 2016, 11, 1421–1434. [Google Scholar] [CrossRef]
- Giovanni, P.; Eugenio, C.; Giuseppe, M.; Brenner, M.; Lu, R.; Huang, S.; Armstrong, W.P.; Gajanan, J.; Seyedi, F.; Johnston, S. Process for Making Sarecycline Hydrochloride. U.S. Patent 17/043,017, 21 January 2021. [Google Scholar]
- Ramachanderan, R.; Schaefer, B. Tetracycline antibiotics. ChemTexts 2021, 7, 1–42. [Google Scholar] [CrossRef]
- Nelson, M.L.; Ismail, M.Y.; McIntyre, L.; Bhatia, B.; Viski, P.; Hawkins, P.; Rennie, G.; Andorsky, D.; Messersmith, D.; Stapleton, K.; et al. Versatile and Facile Synthesis of Diverse Semisynthetic Tetracycline Derivatives via Pd-Catalyzed Reactions. J. Org. Chem. 2003, 68, 5838–5851. [Google Scholar] [CrossRef]
- Stein, G.E.; Babinchak, T. Tigecycline: An update. Diagn. Microbiol. Infect. Dis. 2013, 75, 331–336. [Google Scholar] [CrossRef]
- Nguyen, F.; Starosta, A.L.; Arenz, S.; Sohmen, D.; Dönhöfer, A.; Wilson, D.N. Tetracycline antibiotics and resistance mechanisms. Biol. Chem. 2014, 395, 559–575. [Google Scholar] [CrossRef]
- Doan, T.-L.; Fung, H.B.; Mehta, D.; Riska, P.F. Tigecycline: A glycylcycline antimicrobial agent. Clin. Ther. 2006, 28, 1079–1106. [Google Scholar] [CrossRef]
- Greer, N.D. Tigecycline (Tygacil): The First in the Glycylcycline Class of Antibiotics. Bayl. Univ. Med. Cent. Proc. 2006, 19, 155–161. [Google Scholar] [CrossRef]
- Olson, M.W.; Ruzin, A.; Feyfant, E.; Rush, T.S.; O’Connell, J.; Bradford, P.A. Functional, Biophysical, and Structural Bases for Antibacterial Activity of Tigecycline. Antimicrob. Agents Chemother. 2006, 50, 2156–2166. [Google Scholar] [CrossRef]
- FDA. Drug Approval Package: Tygacil (Tigecycline) NDA #021821. Available online: https://www.accessdata.fda.gov/drugsatfda_docs/nda/2005/21-821_Tygacil.cfm (accessed on 4 October 2021).
- EMA Tygacil. Available online: https://www.ema.europa.eu/en/medicines/human/EPAR/tygacil (accessed on 29 September 2021).
- Babinchak, T.; Ellis-Grosse, E.; Dartois, N.; Rose, G.M.; Loh, E.; Tigecycline 301 Study Group; Tigecycline 306 Study Group. The Efficacy and Safety of Tigecycline for the Treatment of Complicated Intra-Abdominal Infections: Analysis of Pooled Clinical Trial Data. Clin. Infect. Dis. 2005, 41 (Suppl. S5), S354–S367. [Google Scholar] [CrossRef] [PubMed]
- Breedt, J.; Teras, J.; Gardovskis, J.; Maritz, F.J.; Vaasna, T.; Ross, D.P.; Gioud-Paquet, M.; Dartois, N.; Ellis-Grosse, E.J.; Loh, E. Safety and Efficacy of Tigecycline in Treatment of Skin and Skin Structure Infections: Results of a Double-Blind Phase 3 Comparison Study with Vancomycin-Aztreonam. Antimicrob. Agents Chemother. 2005, 49, 4658–4666. [Google Scholar] [CrossRef]
- Tanaseanu, C.; Bergallo, C.; Teglia, O.; Jasovich, A.; Oliva, M.E.; Dukart, G.; Dartois, N.; Cooper, C.A.; Gandjini, H.; Mallick, R. Integrated results of 2 phase 3 studies comparing tigecycline and levofloxacin in community-acquired pneumonia. Diagn. Microbiol. Infect. Dis. 2008, 61, 329–338. [Google Scholar] [CrossRef]
- Falagas, M.E.; Metaxas, E.I. Tigecycline for the treatment of patients with community-acquired pneumonia requiring hospitalization. Expert Rev. Anti-Infect. Ther. 2009, 7, 913–923. [Google Scholar] [CrossRef]
- Tigecycline|DrugBank Online. Available online: https://go.drugbank.com/drugs/DB00560 (accessed on 2 August 2021).
- Zhanel, G.G.; Esquivel, J.; Zelenitsky, S.; Lawrence, C.K.; Adam, H.J.; Golden, A.; Hink, R.; Berry, L.; Schweizer, F.; Zhanel, M.A.; et al. Omadacycline: A Novel Oral and Intravenous Aminomethylcycline Antibiotic Agent. Drugs 2020, 80, 285–313. [Google Scholar] [CrossRef]
- FDA Drug Approval Package: Nuzyra. Available online: https://www.accessdata.fda.gov/drugsatfda_docs/nda/2018/209816Orig1s000,209817Orig1s000TOC.cfm (accessed on 4 October 2021).
- Zhanel, G.G.; Cheung, D.; Adam, H.; Zelenitsky, S.; Golden, A.; Schweizer, F.; Gorityala, B.; Lagacé-Wiens, P.R.S.; Walkty, A.; Gin, A.S.; et al. Review of Eravacycline, a Novel Fluorocycline Antibacterial Agent. Drugs 2016, 76, 567–588. [Google Scholar] [CrossRef] [PubMed]
- Scott, L.J. Eravacycline: A Review in Complicated Intra-Abdominal Infections. Drugs 2019, 79, 315–324. [Google Scholar] [CrossRef]
- Bunick, C.G.; Keri, J.; Tanaka, S.K.; Furey, N.; Damiani, G.; Johnson, J.L.; Grada, A. Antibacterial Mechanisms and Efficacy of Sarecycline in Animal Models of Infection and Inflammation. Antibiotics 2021, 10, 439. [Google Scholar] [CrossRef]
- Haidari, W.; Bruinsma, R.; Cardenas-de La Garza, J.A.; Feldman, S.R. Sarecycline Review. Ann. Pharmacother. 2019, 54, 164–170. [Google Scholar] [CrossRef]
- Deeks, E.D. Sarecycline: First Global Approval. Drugs 2019, 79, 325–329. [Google Scholar] [CrossRef]
- Kaul, G.; Saxena, D.; Dasgupta, A.; Chopra, S. Sarecycline hydrochloride for the treatment of acne vulgaris. Drugs Today 2019, 55, 615–625. [Google Scholar] [CrossRef]
- FDA. Drug Approval Package: Seysara (Sarecycline). Available online: https://www.accessdata.fda.gov/drugsatfda_docs/nda/2018/209521Orig1s000TOC.cfm (accessed on 7 October 2021).
- Systèmes, D. BIOVIA Draw for Academics. Available online: https://discover.3ds.com/biovia-draw-academic (accessed on 6 July 2021).
- Bahrami, F.; Morris, D.L.; Pourgholami, M.H. Tetracyclines: Drugs with Huge Therapeutic Potential. Mini-Rev. Med. Chem. 2012, 12, 44–52. [Google Scholar] [CrossRef]
- Rizvi, S.F.A.; Tariq, S.; Anwar, U. Tetracycline: Classification, Structure Activity Relationship and Mechanism of Action as a Theranostic Agent for Infectious Lesions-A Mini Review. Biomed. J. Sci. Tech. Res. 2018, 7, 001–010. [Google Scholar] [CrossRef]
- Heinemann, F.W.; Leypold, C.F.; Roman, C.R.; Schmitt, M.O.; Schneider, S. X-Ray Crystallography of Tetracycline, Doxycycline and Sancycline. J. Chem. Crystallogr. 2013, 43, 213–222. [Google Scholar] [CrossRef]
- Honeyman, L.; Ismail, M.; Nelson, M.L.; Bhatia, B.; Bowser, T.E.; Chen, J.; Mechiche, R.; Ohemeng, K.; Verma, A.K.; Cannon, E.P.; et al. Structure-Activity Relationship of the Aminomethylcyclines and the Discovery of Omadacycline. Antimicrob. Agents Chemother. 2015, 59, 7044–7053. [Google Scholar] [CrossRef]
- Zhanel, G.G.; Karlowsky, J.A.; Rubinstein, E.; Hoban, D.J. Tigecycline: A novel glycylcycline antibiotic. Expert Rev. Anti-Infect. Ther. 2006, 4, 9–25. [Google Scholar] [CrossRef]
- Omadacycline. Available online: https://go.drugbank.com/drugs/DB12455 (accessed on 7 October 2021).
- PubChem Omadacycline. Available online: https://pubchem.ncbi.nlm.nih.gov/compound/54697325 (accessed on 5 October 2021).
- European Medicines Agency Xerava. Available online: https://www.ema.europa.eu/en/medicines/human/EPAR/xerava (accessed on 3 August 2021).
- PubChem Sarecycline. Available online: https://pubchem.ncbi.nlm.nih.gov/compound/54681908 (accessed on 4 October 2021).
- Batool, Z.; Lomakin, I.B.; Polikanov, Y.S.; Bunick, C.G. Sarecycline interferes with tRNA accommodation and tethers mRNA to the 70S ribosome. Proc. Natl. Acad. Sci. USA 2020, 117, 20530–20537. [Google Scholar] [CrossRef]
- John, M.; Beale, J.H.B. Wilson and Giswold’s Organic Medicinal and Pharmaceutical Chemistry, 12th ed.; Lippincott Williams & Wilkins, Wolters Kluwer Health: Baltimore, MD, USA, 2011; pp. 301–307. [Google Scholar]
- Bayliss, M.A.J.; Rigdova, K.; Kyriakides, M.; Grier, S.; Lovering, A.M.; Ellery, K.; Griffith, D.C.; MacGowan, A. Challenges in the bioanalysis of tetracyclines: Epimerisation and chelation with metals. J. Chromatogr. B 2019, 1134–1135, 121807. [Google Scholar] [CrossRef]
- Pulicharla, R.; Hegde, K.; Brar, S.K.; Surampalli, R.Y. Tetracyclines metal complexation: Significance and fate of mutual existence in the environment. Environ. Pollut. 2017, 221, 1–14. [Google Scholar] [CrossRef]
- Sanli, S.; Şanli, N.; Alsancak, G. Determination of Protonation Constants of Some Tetracycline Antibiotics by Potentiometry and Lc Methods in Water and Acetonitrile-Water Binary Mixtures. J. Braz. Chem. Soc. 2009, 20, 939–946. [Google Scholar] [CrossRef]
- Zhao, Y.; Geng, J.; Wang, X.; Gu, X.; Gao, S. Tetracycline adsorption on kaolinite: pH, metal cations and humic acid effects. Ecotoxicology 2011, 20, 1141–1147. [Google Scholar] [CrossRef]
- Schmitt, M.O.; Schneider, S. Novel Insight into the Protonation–Deprotonation Equilibria of Tetracycline, Sancycline and 10-Propoxy-Sancycline in Aqueous Solution. I. Analysis of the pH-Dependent UV/vis Absorption Spectra by the SVD Technique. Z. Phys. Chem. 2006, 220, 441–475. [Google Scholar] [CrossRef]
- Jin, L.; Amaya-Mazo, X.; Apel, M.E.; Sankisa, S.S.; Johnson, E.; Zbyszynska, M.A.; Han, A. Ca2+ and Mg2+ bind tetracycline with distinct stoichiometries and linked deprotonation. Biophys. Chem. 2007, 128, 185–196. [Google Scholar] [CrossRef]
- Arias, K.; Robinson, S.G.; Lyngaas, S.S.; Cherala, S.S.; Hartzell, M.; Mei, S.; Vilic, A.; Girel, J.K.; Kuemmell, A.; Vrettos, J.S.; et al. Minocycline and tigecycline form higher-order Ca2+ complexes of stronger affinity than tetracycline. Inorg. Chim. Acta 2016, 441, 181–191. [Google Scholar] [CrossRef]
- Marvin|ChemAxon. Available online: https://chemaxon.com/products/marvin (accessed on 11 October 2021).
- Tu, Y.-P. Dissociative protonation and long-range proton migration: The chemistry of singly- and doubly-protonated tigecycline. Int. J. Mass Spectrom. 2018, 434, 164–171. [Google Scholar] [CrossRef]
- Grenier, D.; Huot, M.-P.; Mayrand, D. Iron-Chelating Activity of Tetracyclines and Its Impact on the Susceptibility of Actinobacillus actinomycetemcomitans to These Antibiotics. Antimicrob. Agents Chemother. 2000, 44, 763–766. [Google Scholar] [CrossRef]
- Guerra, W.; Silva-Caldeira, P.P.; Terenzi, H.; Pereira-Maia, E.C. Impact of metal coordination on the antibiotic and non-antibiotic activities of tetracycline-based drugs. Coord. Chem. Rev. 2016, 327–328, 188–199. [Google Scholar] [CrossRef]
- Rocha, D.P.; Pinto, G.F.; Ruggiero, R.; De Oliveira, C.A.; Guerra, W.; Fontes, A.P.S.; Tavares, T.T.; Marzano, I.M.; Pereira-Maia, E.C. Coordenação de metais a antibióticos como uma estratégia de combate à resistência bacteriana. Quím. Nova 2011, 34, 111–118. [Google Scholar] [CrossRef]
- Wilson and Gisvold’s Textbook of Organic Medicinal and Pharmaceutical Chemistry, 12th ed.; Beale, J.M., Jr., Block, J.H., Eds.; Wolters Kluwer Health: Baltimore, MD, USA, 2010; ISBN 978-0-7817-7929-6. [Google Scholar]
- Sum, P.-E.; Petersen, P. Synthesis and structure-activity relationship of novel glycylcycline derivatives leading to the discovery of GAR-936. Bioorg. Med. Chem. Lett. 1999, 9, 1459–1462. [Google Scholar] [CrossRef]
- Kaewpoowat, Q.; Ostrosky-Zeichner, L. Tigecycline: A critical safety review. Expert Opin. Drug Saf. 2014, 14, 335–342. [Google Scholar] [CrossRef]
- Jenner, L.; Starosta, A.L.; Terry, D.S.; Mikolajka, A.; Filonava, L.; Yusupov, M.; Blanchard, S.C.; Wilson, D.N.; Yusupova, G. Structural basis for potent inhibitory activity of the antibiotic tigecycline during protein synthesis. Proc. Natl. Acad. Sci. USA 2013, 110, 3812–3816. [Google Scholar] [CrossRef]
- Chopra, I.; Roberts, M. Tetracycline Antibiotics: Mode of Action, Applications, Molecular Biology, and Epidemiology of Bacterial Resistance. Microbiol. Mol. Biol. Rev. 2001, 65, 232–260. [Google Scholar] [CrossRef]
- Bronson, J.; Barrett, J.F. Quinolone, Everninomycin, Glycylcycline, Carbapenem, Lipopeptide and Cephem Antibacterials in Clinical Development. Curr. Med. Chem. 2001, 8, 1775–1793. [Google Scholar] [CrossRef] [PubMed]
- Tanaka, S.K.; Steenbergen, J.; Villano, S. Discovery, pharmacology, and clinical profile of omadacycline, a novel aminomethylcycline antibiotic. Bioorg. Med. Chem. 2016, 24, 6409–6419. [Google Scholar] [CrossRef]
- Burgos, R.M.; Rodvold, K.A. Omadacycline: A novel aminomethylcycline. Infect. Drug Resist. 2019, 12, 1895–1915. [Google Scholar] [CrossRef]
- Xiao, X.-Y.; Hunt, D.K.; Zhou, J.; Clark, R.B.; Dunwoody, N.; Fyfe, C.; Grossman, T.H.; O’Brien, W.J.; Plamondon, L.; Rönn, M.; et al. Fluorocyclines. 1. 7-Fluoro-9-pyrrolidinoacetamido-6-demethyl-6-deoxytetracycline: A Potent, Broad Spectrum Antibacterial Agent. J. Med. Chem. 2012, 55, 597–605. [Google Scholar] [CrossRef]
- Clark, R.B.; Hunt, D.K.; He, M.; Achorn, C.; Chen, C.-L.; Deng, Y.; Fyfe, C.; Grossman, T.H.; Hogan, P.C.; O’Brien, W.J.; et al. Fluorocyclines. 2. Optimization of the C-9 Side-Chain for Antibacterial Activity and Oral Efficacy. J. Med. Chem. 2012, 55, 606–622. [Google Scholar] [CrossRef] [PubMed]
- Brodersen, D.E.; Clemons, W.M.; Carter, A.P.; Morgan-Warren, R.J.; Wimberly, B.T.; Ramakrishnan, V. The Structural Basis for the Action of the Antibiotics Tetracycline, Pactamycin, and Hygromycin B on the 30S Ribosomal Subunit. Cell 2000, 103, 1143–1154. [Google Scholar] [CrossRef]
- Maxwell, I.H. Partial removal of bound transfer RNA from polysomes engaged in protein synthesis in vitro after addition of tetracycline. Biochim. Biophys. Acta (BBA) Nucleic Acids Protein Synth. 1967, 138, 337–346. [Google Scholar] [CrossRef]
- Tessier, P.R.; Nicolau, D.P. Tigecycline DisplaysIn VivoBactericidal Activity against Extended-Spectrum-β-Lactamase-Producing Enterobacteriaceae after 72-Hour Exposure Period. Antimicrob. Agents Chemother. 2012, 57, 640–642. [Google Scholar] [CrossRef] [PubMed][Green Version]
- BioRender. Available online: https://biorender.com/ (accessed on 30 September 2021).
- Thaker, M.; Spanogiannopoulos, P.; Wright, G.D. The tetracycline resistome. Cell. Mol. Life Sci. 2009, 67, 419–431. [Google Scholar] [CrossRef] [PubMed]
- Schnappinger, D.; Hillen, W. Tetracyclines: Antibiotic action, uptake, and resistance mechanisms. Arch. Microbiol. 1996, 165, 359–369. [Google Scholar] [CrossRef]
- Peterson, L.R. A review of tigecycline—The first glycylcycline. Int. J. Antimicrob. Agents 2008, 32, S215–S222. [Google Scholar] [CrossRef]
- Pankey, G.A. Tigecycline. J. Antimicrob. Chemother. 2005, 56, 470–480. [Google Scholar] [CrossRef]
- Projan, S.J. Preclinical Pharmacology of GAR-936, a Novel Glycylcycline Antibacterial Agent. Pharmacother. J. Hum. Pharmacol. Drug Ther. 2000, 20, 219S–223S; discussion 224S–228S. [Google Scholar] [CrossRef] [PubMed]
- Hirata, T.; Saito, A.; Nishino, K.; Tamura, N.; Yamaguchi, A. Effects of Efflux Transporter Genes on Susceptibility of Escherichia coli to Tigecycline (GAR-936). Antimicrob. Agents Chemother. 2004, 48, 2179–2184. [Google Scholar] [CrossRef]
- Macone, A.B.; Caruso, B.K.; Leahy, R.G.; Donatelli, J.; Weir, S.; Draper, M.P.; Tanaka, S.K.; Levy, S.B. In VitroandIn VivoAntibacterial Activities of Omadacycline, a Novel Aminomethylcycline. Antimicrob. Agents Chemother. 2013, 58, 1127–1135. [Google Scholar] [CrossRef] [PubMed]
- Heaney, M.; Mahoney, M.V.; Gallagher, J.C. Eravacycline: The Tetracyclines Strike Back. Ann. Pharmacother. 2019, 53, 1124–1135. [Google Scholar] [CrossRef]
- Grossman, T.H.; Starosta, A.L.; Fyfe, C.; O’Brien, W.; Rothstein, D.M.; Mikolajka, A.; Wilson, D.N.; Sutcliffe, J.A. Target- and Resistance-Based Mechanistic Studies with TP-434, a Novel Fluorocycline Antibiotic. Antimicrob. Agents Chemother. 2012, 56, 2559–2564. [Google Scholar] [CrossRef] [PubMed]
- Farrah, G.; Tan, E. The use of oral antibiotics in treating acne vulgaris: A new approach. Dermatol. Ther. 2016, 29, 377–384. [Google Scholar] [CrossRef]
- Mays, R.M.; Gordon, R.A.; Wilson, J.M.; Silapunt, S. New antibiotic therapies for acne and rosacea. Dermatol. Ther. 2012, 25, 23–37. [Google Scholar] [CrossRef] [PubMed]
- Perret, L.J.; Tait, C.P. Non-antibiotic properties of tetracyclines and their clinical application in dermatology. Australas. J. Dermatol. 2013, 55, 111–118. [Google Scholar] [CrossRef]
- Rosso, J.Q.; Draelos, Z.D.; Effron, C.; Kircik, L.H. Oral Sarecycline for Treatment of Papulopustular Rosacea: Results of a Pilot Study of Effectiveness and Safety. J. Drugs Dermatol. 2021, 20, 426–431. [Google Scholar] [CrossRef] [PubMed]
- Sapadin, A.N.; Fleischmajer, R. Tetracyclines: Nonantibiotic properties and their clinical implications. J. Am. Acad. Dermatol. 2006, 54, 258–265. [Google Scholar] [CrossRef]
- Esterly, N.B.; Koransky, J.S.; Furey, N.L.; Trevisan, M. Neutrophil chemotaxis in patients with acne receiving oral tetracycline therapy. Arch. Dermatol. 1984, 120, 1308–1313. [Google Scholar] [CrossRef]
- Skidmore, R.; Kovach, R.; Walker, C.; Thomas, J.; Bradshaw, M.; Leyden, J.; Powala, C.; Ashley, R. Effects of Subantimicrobial-Dose Doxycycline in the Treatment of Moderate Acne. Arch. Dermatol. 2003, 139, 459–464. [Google Scholar] [CrossRef] [PubMed]
- Tilley, B.C.; Alarcón, G.S.; Heyse, S.P.; Trentham, D.E.; Neuner, R.; Kaplan, D.A.; Clegg, D.O.; Leisen, J.C.C.; Buckley, L.; Cooper, S.M.; et al. Minocycline in Rheumatoid Arthritis: A 48-Week, Double-Blind, Placebo-Controlled Trial. Ann. Intern. Med. 1995, 122, 81–89. [Google Scholar] [CrossRef]
- O’Dell, J.R.; Elliott, J.R.; Mallek, J.A.; Mikuls, T.R.; Weaver, C.A.; Glickstein, S.; Blakely, K.M.; Hausch, R.; Leff, R.D. Treatment of early seropositive rheumatoid arthritis: Doxycycline plus methotrexate versus methotrexate alone. Arthritis Rheum. 2006, 54, 621–627. [Google Scholar] [CrossRef]
- Macdonald, A.; Feiwel, M. Perioral dermatitis: Aetiology and treatment with tetracycline. Br. J. Dermatol. 1972, 87, 315–319. [Google Scholar] [CrossRef]
- Jansen, T.; Plewig, G. Rosacea: Classification and Treatment. J. R. Soc. Med. 1997, 90, 144–150. [Google Scholar] [CrossRef]
- Le, C.H.; Morales, A.; Trentham, D.E. Minocycline in early diffuse scleroderma. Lancet 1998, 352, 1755–1756. [Google Scholar] [CrossRef]
- Chaidemenos, G.C. Tetracycline and niacinamide in the treatment of blistering skin diseases. Clin. Dermatol. 2001, 19, 781–785. [Google Scholar] [CrossRef]
- Lokeshwar, B.L.; Selzer, M.G.; Zhu, B.-Q.; Block, N.L.; Golub, L.M. Inhibition of cell proliferation, invasion, tumor growth and metastasis by an oral non-antimicrobial tetracycline analog (COL-3) in a metastatic prostate cancer model. Int. J. Cancer 2001, 98, 297–309. [Google Scholar] [CrossRef] [PubMed]
- Cianfrocca, M.; Cooley, T.P.; Lee, J.Y.; Rudek, M.A.; Scadden, D.T.; Ratner, L.; Pluda, J.M.; Figg, W.D.; Krown, S.E.; Dezube, B.J. Matrix Metalloproteinase Inhibitor COL-3 in the Treatment of AIDS-Related Kaposi’s Sarcoma: A Phase I AIDS Malignancy Consortium Study. J. Clin. Oncol. 2002, 20, 153–159. [Google Scholar] [CrossRef]
- Mosorin, M.; Juvonen, J.; Biancari, F.; Satta, J.; Surcel, H.-M.; Leinonen, M.; Saikku, P.; Juvonen, T. Use of doxycycline to decrease the growth rate of abdominal aortic aneurysms: A randomized, double-blind, placebo-controlled pilot study. J. Vasc. Surg. 2001, 34, 606–610. [Google Scholar] [CrossRef]
- Bachelez, H.; Senet, P.; Cadranel, J.; Kaoukhov, A.; Dubertret, L. The Use of Tetracyclines for the Treatment of Sarcoidosis. Arch. Dermatol. 2001, 137, 69–73. [Google Scholar] [CrossRef]
- Takeshita, S.; Ono, Y.; Kozuma, K.; Suzuki, M.; Kawamura, Y.; Yokoyama, N.; Furukawa, T.; Isshiki, T. Modulation of oxidative burst of neutrophils by doxycycline in patients with acute myocardial infarction. J. Antimicrob. Chemother. 2002, 49, 411–413. [Google Scholar] [CrossRef][Green Version]
- Mrcp, J.B.-J.; Tan, S.V.; Graham-Brown, R.A.C.; Pembroke, A.C. The successful use of minocycline in pyoderma gangrenosum—A report of seven cases and review of the literature. J. Dermatol. Treat. 1989, 1, 23–25. [Google Scholar] [CrossRef]
- Wennström, J.L.; Newman, H.N.; MacNeill, S.R.; Killoy, W.J.; Griffiths, G.S.; Gillam, D.G.; Krok, L.; Needleman, I.G.; Weiss, G.; Garrett, S. Utilisation of locally delivered doxycycline in non-surgical treatment of chronic periodontitis. A Comparative Multi-Centre Trial of 2 Treatment Approaches. J. Clin. Periodontol. 2001, 28, 753–761. [Google Scholar] [CrossRef] [PubMed]
- Jemec, G.B.; Wendelboe, P. Topical clindamycin versus systemic tetracycline in the treatment of hidradenitis suppurativa. J. Am. Acad. Dermatol. 1998, 39, 971–974. [Google Scholar] [CrossRef]
- Joshi, R.K.; Atukorala, D.N.; Abanmi, A.; Al Khamis, O.; Haleem, A. Successful treatment of Sweet’s syndrome with doxycycline. Br. J. Dermatol. 1993, 128, 584–586. [Google Scholar] [CrossRef]
- Humbert, P.; Faivre, B.; Gibey, R.; Agache, P. Use of anti-collagenase properties of doxycycline in treatment of alpha 1-antitrypsin deficiency panniculitis. Acta Derm. Venereol. 1991, 71, 189–194. [Google Scholar]
- Piamphongsant, T. Tetracycline for the treatment of pityriasis lichenoides. Br. J. Dermatol. 1974, 91, 319–322. [Google Scholar] [CrossRef]
- Da Silva, L.M.; Salgado, H.R.N. Tigecycline: A Review of Properties, Applications, and Analytical Methods. Ther. Drug Monit. 2010, 32, 282–288. [Google Scholar] [CrossRef]
- Pillar, C.M.; Draghi, D.C.; Dowzicky, M.J.; Sahm, D.F. In Vitro Activity of Tigecycline against Gram-Positive and Gram-Negative Pathogens as Evaluated by Broth Microdilution and Etest. J. Clin. Microbiol. 2008, 46, 2862–2867. [Google Scholar] [CrossRef]
- Noskin, G.A. Tigecycline: A New Glycylcycline for Treatment of Serious Infections. Clin. Infect. Dis. 2005, 41, S303–S314. [Google Scholar] [CrossRef]
- Petersen, P.J.; Jacobus, N.V.; Weiss, W.J.; Sum, P.E.; Testa, R.T. In Vitro and In Vivo Antibacterial Activities of a Novel Glycylcycline, the 9- t -Butylglycylamido Derivative of Minocycline (GAR-936). Antimicrob. Agents Chemother. 1999, 43, 738–744. [Google Scholar] [CrossRef]
- Karlowsky, J.A.; Steenbergen, J.; Zhanel, G.G. Microbiology and Preclinical Review of Omadacycline. Clin. Infect. Dis. 2019, 69, S6–S15. [Google Scholar] [CrossRef]
- Pfaller, M.A.; Rhomberg, P.R.; Huband, M.D.; Flamm, R.K. Activities of Omadacycline and Comparator Agents against Staphylococcus aureus Isolates from a Surveillance Program Conducted in North America and Europe. Antimicrob. Agents Chemother. 2017, 61, e02411-16. [Google Scholar] [CrossRef] [PubMed]
- Goldstein, E.J.C.; Citron, D.M.; Tyrrell, K.L.; Leoncio, E.; Merriam, C.V. Comparative In Vitro Activity of Omadacycline against Dog and Cat Bite Wound Isolates. Antimicrob. Agents Chemother. 2018, 62, e02551-17. [Google Scholar] [CrossRef] [PubMed]
- Antimicrobial Drugs Advisory Committee (AMDAC) Briefing Book. Omadacycline P-Toluenesulfonate Tablets and Injection. Available online: https://www.fda.gov/media/115100/download (accessed on 10 June 2021).
- Zhanel, G.; Critchley, I.; Lin, L.-Y.; Alvandi, N. Microbiological Profile of Sarecycline, a Novel Targeted Spectrum Tetracycline for the Treatment of Acne Vulgaris. Antimicrob. Agents Chemother. 2019, 63, e01297-18. [Google Scholar] [CrossRef] [PubMed]
- Thompson, K.G.; Rainer, B.M.; Antonescu, C.; Florea, L.; Mongodin, E.F.; Kang, S.; Chien, A.L. Minocycline and Its Impact on Microbial Dysbiosis in the Skin and Gastrointestinal Tract of Acne Patients. Ann. Dermatol. 2020, 32, 21–30. [Google Scholar] [CrossRef]
- Graber, E.M. Treating acne with the tetracycline class of antibiotics: A review. Dermatol. Rev. 2021, 1–10. [Google Scholar] [CrossRef]
- Chopra, I. Glycylcyclines: Third-generation tetracycline antibiotics. Curr. Opin. Pharmacol. 2001, 1, 464–469. [Google Scholar] [CrossRef]
- Draper, M.P.; Weir, S.; Macone, A.; Donatelli, J.; Trieber, C.A.; Tanaka, S.K.; Levy, S.B. Mechanism of Action of the Novel Aminomethylcycline Antibiotic Omadacycline. Antimicrob. Agents Chemother. 2013, 58, 1279–1283. [Google Scholar] [CrossRef]
- Kobayashi, T.; Nonaka, L.; Maruyama, F.; Suzuki, S. Molecular Evidence for the Ancient Origin of the Ribosomal Protection Protein That Mediates Tetracycline Resistance in Bacteria. J. Mol. Evol. 2007, 65, 228–235. [Google Scholar] [CrossRef]
- Yang, W.; Moore, I.F.; Koteva, K.P.; Bareich, D.C.; Hughes, D.W.; Wright, G.D. TetX Is a Flavin-dependent Monooxygenase Conferring Resistance to Tetracycline Antibiotics. J. Biol. Chem. 2004, 279, 52346–52352. [Google Scholar] [CrossRef] [PubMed]
- Dougherty, J.A.; Sucher, A.J.; Chahine, E.B.; Shihadeh, K.C. Omadacycline: A New Tetracycline Antibiotic. Ann. Pharmacother. 2018, 53, 486–500. [Google Scholar] [CrossRef] [PubMed]
- Dean, C.R.; Visalli, M.A.; Projan, S.J.; Sum, P.-E.; Bradford, P.A. Efflux-Mediated Resistance to Tigecycline (GAR-936) in Pseudomonas aeruginosa PAO1. Antimicrob. Agents Chemother. 2003, 47, 972–978. [Google Scholar] [CrossRef] [PubMed]
- Visalli, M.A.; Murphy, E.; Projan, S.J.; Bradford, P.A. AcrAB Multidrug Efflux Pump Is Associated with Reduced Levels of Susceptibility to Tigecycline (GAR-936) in Proteus mirabilis. Antimicrob. Agents Chemother. 2003, 47, 665–669. [Google Scholar] [CrossRef]
- Peleg, A.Y.; Adams, J.; Paterson, D.L. Tigecycline Efflux as a Mechanism for Nonsusceptibility in Acinetobacter baumannii. Antimicrob. Agents Chemother. 2007, 51, 2065–2069. [Google Scholar] [CrossRef]
- Damier-Piolle, L.; Magnet, S.; Breémont, S.; Lambert, T.; Courvalin, P. AdeIJK, a Resistance-Nodulation-Cell Division Pump Effluxing Multiple Antibiotics in Acinetobacter baumannii. Antimicrob. Agents Chemother. 2008, 52, 557–562. [Google Scholar] [CrossRef] [PubMed]
- McAleese, F.; Petersen, P.; Ruzin, A.; Dunman, P.M.; Murphy, E.; Projan, S.J.; Bradford, P.A. A Novel MATE Family Efflux Pump Contributes to the Reduced Susceptibility of Laboratory-Derived Staphylococcus aureus Mutants to Tigecycline. Antimicrob. Agents Chemother. 2005, 49, 1865–1871. [Google Scholar] [CrossRef]
- Beabout, K.; Hammerstrom, T.G.; Perez, A.M.; Magalhaes, B.D.F.; Prater, A.G.; Clements, T.P.; Arias, C.A.; Saxer, G.; Shamoo, Y. The Ribosomal S10 Protein Is a General Target for Decreased Tigecycline Susceptibility. Antimicrob. Agents Chemother. 2015, 59, 5561–5566. [Google Scholar] [CrossRef]
- Moore, I.F.; Hughes, D.W.; Wright, G.D. Tigecycline Is Modified by the Flavin-Dependent Monooxygenase TetX. Biochemistry 2005, 44, 11829–11835. [Google Scholar] [CrossRef]
- He, T.; Wang, R.; Liu, D.; Walsh, T.R.; Zhang, R.; Lv, Y.; Ke, Y.; Ji, Q.; Wei, R.; Liu, Z.; et al. Emergence of plasmid-mediated high-level tigecycline resistance genes in animals and humans. Nat. Microbiol. 2019, 4, 1450–1456. [Google Scholar] [CrossRef]
- Wang, L.; Liu, D.; Lv, Y.; Cui, L.; Li, Y.; Li, T.; Song, H.; Hao, Y.; Shen, J.; Wang, Y.; et al. Novel Plasmid-Mediated tet (X5) Gene Conferring Resistance to Tigecycline, Eravacycline, and Omadacycline in a Clinical Acinetobacter baumannii Isolate. Antimicrob. Agents Chemother. 2019, 64, e01326-19. [Google Scholar] [CrossRef]
- Roberts, M.C. Update on acquired tetracycline resistance genes. FEMS Microbiol. Lett. 2005, 245, 195–203. [Google Scholar] [CrossRef]
- Heidrich, C.G.; Mitova, S.; Schedlbauer, A.; Connell, S.R.; Fucini, P.; Steenbergen, J.N.; Berens, C. The Novel Aminomethylcycline Omadacycline Has High Specificity for the Primary Tetracycline-Binding Site on the Bacterial Ribosome. Antibiotics 2016, 5, 32. [Google Scholar] [CrossRef]
- XERAVA (Eravacycline) for Injection. Available online: https://www.accessdata.fda.gov/drugsatfda_docs/label/2018/211109lbl.pdf (accessed on 6 June 2021).
- Alosaimy, S.; Abdul-Mutakabbir, J.C.; Kebriaei, R.; Jorgensen, S.C.J.; Rybak, M.J. Evaluation of Eravacycline: A Novel Fluorocycline. Pharmacother. J. Hum. Pharmacol. Drug Ther. 2020, 40, 221–238. [Google Scholar] [CrossRef]
- Abdallah, M.; Olafisoye, O.; Cortes, C.; Urban, C.; Landman, D.; Quale, J. Activity of Eravacycline against Enterobacteriaceae and Acinetobacter baumannii, Including Multidrug-Resistant Isolates, from New York City. Antimicrob. Agents Chemother. 2014, 59, 1802–1805. [Google Scholar] [CrossRef]
- Robertsen, H.L.; Musiol-Kroll, E.M. Actinomycete-Derived Polyketides as a Source of Antibiotics and Lead Structures for the Development of New Antimicrobial Drugs. Antibiotics 2019, 8, 157. [Google Scholar] [CrossRef]
- Postier, R.G.; Green, S.L.; Klein, S.R.; Ellis-Grosse, E.J.; Loh, E.; Tigecycline 200 Study Group. Results of a multicenter, randomized, open-label efficacy and safety study of two doses of tigecycline for complicated skin and skin-structure infections in hospitalized patients. Clin. Ther. 2004, 26, 704–714. [Google Scholar] [CrossRef]
- Li, L.; Hassan, K.A.; Tetu, S.G.; Naidu, V.; Pokhrel, A.; Cain, A.K.; Paulsen, I.T. The Transcriptomic Signature of Tigecycline in Acinetobacter baumannii. Front. Microbiol. 2020, 11, 565438. [Google Scholar] [CrossRef]
- Durães, F.; Sousa, M.E. Omadacycline: A Newly Approved Antibacterial from the Class of Tetracyclines. Pharmaceuticals 2019, 12, 63. [Google Scholar] [CrossRef]
- Stets, R.; Popescu, M.; Gonong, J.R.; Mitha, I.; Nseir, W.; Madej, A.; Kirsch, C.; Das, A.F.; Garrity-Ryan, L.; Steenbergen, J.N.; et al. Omadacycline for Community-Acquired Bacterial Pneumonia. N. Engl. J. Med. 2019, 380, 517–527. [Google Scholar] [CrossRef]
- O’Riordan, W.; Green, S.; Overcash, J.S.; Puljiz, I.; Metallidis, S.; Gardovskis, J.; Garrity-Ryan, L.; Das, A.F.; Tzanis, E.; Eckburg, P.B.; et al. Omadacycline for Acute Bacterial Skin and Skin-Structure Infections. N. Engl. J. Med. 2019, 380, 528–538. [Google Scholar] [CrossRef]
- Moore, A.Y.; Del Rosso, J.; Johnson, J.L.; Grada, A. Sarecycline: A Review of Preclinical and Clinical Evidence. Clin. Cosmet. Investig. Dermatol. 2020, 13, 553–560. [Google Scholar] [CrossRef]
- Pariser, D.M.; Green, L.J.; Lain, E.L.; Schmitz, C.; Chinigo, A.S.; McNamee, B.; Berk, D.R. Safety and Tolerability of Sarecycline for the Treatment of Acne Vulgaris: Results from a Phase III, Multicenter, Open-Label Study and a Phase I Phototoxicity Study. J. Clin. Aesthet. Dermatol. 2019, 12, E53–E62. [Google Scholar] [CrossRef]
- Muralidharan, G.; Micalizzi, M.; Speth, J.; Raible, D.; Troy, S. Pharmacokinetics of Tigecycline after Single and Multiple Doses in Healthy Subjects. Antimicrob. Agents Chemother. 2005, 49, 220–229. [Google Scholar] [CrossRef]
- Markham, A.; Keam, S.J. Omadacycline: First Global Approval. Drugs 2018, 78, 1931–1937. [Google Scholar] [CrossRef]
- FDA Drug Approval Package: XERAVA (Eravacycline). Available online: https://www.accessdata.fda.gov/drugsatfda_docs/nda/2018/211109Orig1s000TOC.cfm (accessed on 30 November 2021).
- Shutter, M.C.; Akhondi, H. Tetracycline. In StatPearls; StatPearls Publishing: Treasure Island, FL, USA, 2021. [Google Scholar]
- Overcash, J.S.; Bhiwandi, P.; Garrity-Ryan, L.; Steenbergen, J.; Bai, S.; Chitra, S.; Manley, A.; Tzanis, E. Pharmacokinetics, Safety, and Clinical Outcomes of Omadacycline in Women with Cystitis: Results from a Phase 1b Study. Antimicrob. Agents Chemother. 2019, 63, e02083-18. [Google Scholar] [CrossRef] [PubMed]
- Efimova, E.; Olesky, M.; Izmailyan, S.; Tsai, L. 1976. Pooled Analysis of Safety Data from Phases 2 and 3 Clinical Trials Evaluating Eravacycline in Complicated Intra-Abdominal Infections. Open Forum Infect. Dis. 2018, 5, S573–S574. [Google Scholar] [CrossRef]
- Moore, T.J.; Zhang, H.; Anderson, G.; Alexander, G.C. Estimated Costs of Pivotal Trials for Novel Therapeutic Agents Approved by the US Food and Drug Administration, 2015–2016. JAMA Intern. Med. 2018, 178, 1451–1457. [Google Scholar] [CrossRef]
- Solomkin, J.S.; Ramesh, M.K.; Cesnauskas, G.; Novikovs, N.; Stefanova, P.; Sutcliffe, J.A.; Walpole, S.M.; Horn, P.T. Phase 2, Randomized, Double-Blind Study of the Efficacy and Safety of Two Dose Regimens of Eravacycline versus Ertapenem for Adult Community-Acquired Complicated Intra-Abdominal Infections. Antimicrob. Agents Chemother. 2014, 58, 1847–1854. [Google Scholar] [CrossRef]
- Moore, A.; Green, L.J.; Bruce, S.; Sadick, N.; Tschen, E.; Werschler, P.; Cook-Bolden, F.E.; Dhawan, S.S.; Forsha, D.; Gold, M.H.; et al. Once-Daily Oral Sarecycline 1.5 mg/kg/day Is Effective for Moderate to Severe Acne Vulgaris: Results from Two Identically Designed, Phase 3, Randomized, Double-Blind Clinical Trials. J. Drugs Dermatol. 2018, 17, 987–996. [Google Scholar] [CrossRef]
- Witkop, C.J., Jr.; Wolf, R.O. Hypoplasia and Intrinsic Staining of Enamel Following Tetracycline Therapy. JAMA 1963, 185, 1008–1011. [Google Scholar] [CrossRef]
- Kadoyama, K.; Sakaeda, T.; Tamon, A.; Okuno, Y. Adverse Event Profile of Tigecycline: Data Mining of the Public Version of the U.S. Food and Drug Administration Adverse Event Reporting System. Biol. Pharm. Bull. 2012, 35, 967–970. [Google Scholar] [CrossRef]
- Marot, J.-C.; Jonckheere, S.; Munyentwali, H.; Belkhir, L.; Vandercam, B.; Yombi, J.C. Tigecycline-induced acute pancreatitis: About two cases and review of the literature. Acta Clin. Belg. 2012, 67, 229–232. [Google Scholar] [CrossRef]
- Berg, J.K.; Tzanis, E.; Garrity-Ryan, L.; Bai, S.; Chitra, S.; Manley, A.; Villano, S. Pharmacokinetics and Safety of Omadacycline in Subjects with Impaired Renal Function. Antimicrob. Agents Chemother. 2018, 62, e02057-17. [Google Scholar] [CrossRef]
- Korth-Bradley, J.M.; McGovern, P.C.; Salageanu, J.; Matschke, K.; Plotka, A.; Pawlak, S. Tigecycline Does Not Prolong Corrected QT Intervals in Healthy Subjects. Antimicrob. Agents Chemother. 2013, 57, 1895–1901. [Google Scholar] [CrossRef][Green Version]
- Yahav, D.; Lador, A.; Paul, M.; Leibovici, L. Efficacy and safety of tigecycline: A systematic review and meta-analysis. J. Antimicrob. Chemother. 2011, 66, 1963–1971. [Google Scholar] [CrossRef]
- FDA Drug Safety Communication: Increased Risk of Death with Tygacil (Tigecycline) Compared to Other Antibiotics Used to Treat Similar Infections. Available online: https://www.fda.gov/drugs/drug-safety-and-availability/fda-drug-safety-communication-increased-risk-death-tygacil-tigecycline-compared-other-antibiotics (accessed on 22 October 2021).
- Cai, Y.; Wang, R.; Liang, B.; Bai, N.; Liu, Y. Systematic Review and Meta-Analysis of the Effectiveness and Safety of Tigecycline for Treatment of Infectious Disease. Antimicrob. Agents Chemother. 2011, 55, 1162–1172. [Google Scholar] [CrossRef]
- Tasina, E.; Haidich, A.-B.; Kokkali, S.; Arvanitidou, M. Efficacy and safety of tigecycline for the treatment of infectious diseases: A meta-analysis. Lancet Infect. Dis. 2011, 11, 834–844. [Google Scholar] [CrossRef]
- Prasad, P.; Sun, J.; Danner, R.L.; Natanson, C. Excess Deaths Associated with Tigecycline After Approval Based on Noninferiority Trials. Clin. Infect. Dis. 2012, 54, 1699–1709. [Google Scholar] [CrossRef]
- Powers, J.H. Editorial Commentary: Asking the Right Questions: Morbidity, Mortality, and Measuring What’s Important in Unbiased Evaluations of Antimicrobials. Clin. Infect. Dis. 2012, 54, 1710–1713. [Google Scholar] [CrossRef]
- Burkhardt, O.; Rauch, K.; Kaever, V.; Hadem, J.; Kielstein, J.T.; Welte, T. Tigecycline possibly underdosed for the treatment of pneumonia: A pharmacokinetic viewpoint. Int. J. Antimicrob. Agents 2009, 34, 101–102. [Google Scholar] [CrossRef]
- Briggs, G.G.; Freeman, R.K.; Yaffe, S.J. Drugs in Pregnancy and Lactation: A Reference Guide to Fetal and Neonatal Risk, 9th ed.; Lippincott Williams & Wilkins: Philadelphia, PA, USA, 2011; ISBN 978-1-60831-708-0. [Google Scholar]
- Zimmerman, J.J.; Raible, D.G.; Harper, D.M.; Matschke, K.; Speth, J.L. Evaluation of a Potential Tigecycline-Warfarin Drug Interac. Pharmacother. J. Hum. Pharmacol. Drug Ther. 2008, 28, 895–905. [Google Scholar] [CrossRef]
- Zhanel, G.G.; Siemens, S.; Slayter, K.; Mandell, L. Antibiotic and Oral Contraceptive Drug Interactions: Is There a Need for Concern? Can. J. Infect. Dis. 1999, 10, 429–433. [Google Scholar] [CrossRef]
- Sriram, D.; Yogeeswari, P.; Senchani, G.; Banerjee, D. Newer tetracycline derivatives: Synthesis, anti-HIV, antimycobacterial activities and inhibition of HIV-1 integrase. Bioorg. Med. Chem. Lett. 2007, 17, 2372–2375. [Google Scholar] [CrossRef]
- Castro, W.; Navarro, M.; Biot, C. Medicinal potential of ciprofloxacin and its derivatives. Futur. Med. Chem. 2013, 5, 81–96. [Google Scholar] [CrossRef]
- Sun, C.; Hunt, D.K.; Chen, C.-L.; Deng, Y.; He, M.; Clark, R.B.; Fyfe, C.; Grossman, T.H.; Sutcliffe, J.A.; Xiao, X.-Y. Design, Synthesis, and Biological Evaluation of Hexacyclic Tetracyclines as Potent, Broad Spectrum Antibacterial Agents. J. Med. Chem. 2015, 58, 4703–4712. [Google Scholar] [CrossRef]
- Tetraphase. Pipeline. Available online: https://www.tphase.com/products/pipeline/ (accessed on 6 October 2021).
- PubChem TP-271. Available online: https://pubchem.ncbi.nlm.nih.gov/compound/54726193 (accessed on 24 October 2021).
- Grossman, T.H.; Fyfe, C.; O’Brien, W.; Hackel, M.; Minyard, M.B.; Waites, K.B.; Dubois, J.; Murphy, T.M.; Slee, A.M.; Weiss, W.J.; et al. Fluorocycline TP-271 Is Potent against Complicated Community-Acquired Bacterial Pneumonia Pathogens. mSphere 2017, 2, e00004-17. [Google Scholar] [CrossRef] [PubMed]
- Sun, C.; Deng, Y.; Hunt, D.; Fyfe, C.; Kerstein, K.; Xiao, X. TP-6076, A Fully Synthetic Tetracycline Antibacterial Agent, Is Highly Potent against a Broad Range of Pathogens, Including Carbapenem-Resistant Enterobacteriaceae; ASM Microbe: New Orleans, LA, USA, 2017. [Google Scholar]
- Liu, F.; Myers, A.G. Development of a platform for the discovery and practical synthesis of new tetracycline antibiotics. Curr. Opin. Chem. Biol. 2016, 32, 48–57. [Google Scholar] [CrossRef]
- Grossman, T.; Hunt, D.; Iii, H.H.; Sutcliffe, J. TP-271, a Novel Oral Fluorocycline for Community-Acquired Respiratory and Biothreat Pathogens. In Proceedings of the 50th Annual Interscience Conference of Antimicrobial Agents and Chemotherapy, Boston, MA, USA, 12–15 September 2010; p. 1. [Google Scholar]
- Seifert, H.; Stefanik, D.; Olesky, M.; Higgins, P.G. In vitro activity of the novel fluorocycline TP-6076 against carbapenem-resistant Acinetobacter baumannii. Int. J. Antimicrob. Agents 2019, 55, 105829. [Google Scholar] [CrossRef]
- Tetraphase Pharmaceuticals, Inc. A Phase 1, Open-Label, Randomized, PK and Safety Study to Assess Bronchopulmonary Disposition of Intravenous TP-6076 in Healthy Men and Women; ClinicalTrials.gov. Available online: https://clinicaltrials.gov/ct2/show/NCT03691584 (accessed on 28 November 2021).













| Generations | Obtaining Method | Representatives |
|---|---|---|
| First | Biosynthesis | Chlortetracycline, oxytetracycline, tetracycline, demeclocycline |
| Second | Semisynthesis | Doxycycline, minocycline, lymecycline, meclocycline, methacycline, rolitetracycline |
| Third | Semisynthesis | Tigecycline, omadacycline, sarecycline |
| Total synthesis | Eravacycline |
| No. | Microspecies | No. | Microspecies | No. | Microspecies |
|---|---|---|---|---|---|
| 1 | ![]() | 2 | ![]() | 4 | ![]() |
| pH 6.60 (32.92%; highest) pH 7.40 (17.87%) | pH 7.60 (22.31%; highest) pH 7.40 (21.59%) | pH 7.60 (12.59%; highest) pH 7.40 (12.19%) | |||
| 3 | ![]() | 5 | ![]() | 6 | ![]() |
| pH 4.00 (98.86%; highest) pH 7.40 (2.11%) | pH 7.60 (3.84%; highest) pH 7.40 (3.72%) | pH 0.00 (98.16%; highest) pH 7.40 (0.00%) | |||
| 7 | ![]() | 8 | ![]() | 9 | ![]() |
| pH 8.60 (49.38%; highest) pH 7.40 (11.90%) | pH 6.80 (24.07%; highest) pH 7.40 (13.10%) | pH 8.80 (17.75%; highest) pH 7.40 (4.50%) | |||
| 10 | ![]() | 11 | ![]() | 12 | ![]() |
| pH 8.80 (17.75%; highest) pH 7.40 (4.50%) | pH 6.60 (2.80%; highest) pH 7.40 (1.52%) | pH 6.60-6.80 (0.81%; highest) pH 7.40 (0.44%) | |||
| 13 | ![]() | 14 | ![]() | 15 | ![]() |
| pH 7.60 (7.85%; highest) pH 7.40 (7.60%) | pH 11.00 (96.30%; highest) pH 7.40 (0.26%) | pH 7.60 (2.82%; highest) pH 7.40 (2.73%) | |||
| 16 | ![]() | 17 | ![]() | ||
| pH 8.60 (0.69%; highest) pH 7.40 (0.17%) | pH 14.00 (95.55%; highest) pH 7.40 (0.00%) |
| Dermatological Conditions | Reference | Non-Dermatological Conditions | Reference |
|---|---|---|---|
| Acne | [99,100] | Rheumatoid arthritis | [101,102] |
| Rosacea | [103,104] | Scleroderma | [105] |
| Bullous dermatitis | [106] | Cancer | [107] |
| Kaposi’s sarcoma | [108] | Aortic aneurysm | [109] |
| Sarcoidosis | [110] | Acute myocardial infarction | [111] |
| Pyoderma gangrenosum | [112] | Periodontitis | [113] |
| Hidradenitis suppurativa | [114] | ||
| Sweet’s syndrome | [115] | ||
| Alpha-1-antitrypsin deficiency panniculitis | [116] | ||
| Pityriasis lichenoides chronica (PLC) | [117] |
| Resistance Determinants | Resistance Mechanisms | |||
|---|---|---|---|---|
| Efflux Pump | Ribosomal Protection | Chemical Inactivation | rRNA Mutations | |
| Gram-positive bacteria | tetK, tetL, tetV, tetY, tetZ, tetAP, tet 33, tet 38, tet40, tet 45, otrB otrC, ter3 | tetM, tetO, tetP, tetQ, tetS, tetT, tetW, tetZ, tetB(P), tet32, tet36, otrA | - | G1058C |
| Gram negative bacteria | tetA, tetB, tetC, tetD, tetE, tetG, tetH, tetJ, tetK, tetL, tetY, tet30, tet31, tet34, tet 35, tet39, tet41, tet42 | tetM, tetO, tetQ, tetS, tetW, tet36, tet44 | tetX, tet34, tet37 | A926T, A928C, G927T, ΔG942, G966U |
| No. | Affected Level/Disorders | Side Effects | Representatives (Frequency) |
|---|---|---|---|
| 1 | Nervous system | lethargy, dizziness, dysgeusia, tinitus, vertigo | Sarecycline (<1%) |
| 2 | Metabolism | hypocalcemia | Tigecycline (<2%) Eravacycline (<1%) |
| hyponatremia, hypoglycemia | Tigecycline (<2%) | ||
| 3 | Psychiatric disorders | anxiety, insomnia, depression | Eravacycline (<1%) Tigecycline, omadacycline (insomnia only) |
| 4 | Urogenital disorders | vulvovaginal fungal infections, vulvovaginal candidiasis vaginal moniliasis, vaginitis, leukorrhea | Sarecycline, omadacycline (no data available) |
| vaginal moniliasis, vaginitis, leukorrhea | Tigecycline (<2%) | ||
| 5 | Respiratory system | oropharyngeal pain | Omadacycline (<2%) |
| pleurisy, dyspnea | Eravacycline (<1%) | ||
| 6 | Others | vertigo | Omadacycline (<2%) |
| abdominal pain | Tigecycline (>2%), omadacycline (<2%) |
Publisher’s Note: MDPI stays neutral with regard to jurisdictional claims in published maps and institutional affiliations. |
© 2021 by the authors. Licensee MDPI, Basel, Switzerland. This article is an open access article distributed under the terms and conditions of the Creative Commons Attribution (CC BY) license (https://creativecommons.org/licenses/by/4.0/).
Share and Cite
Rusu, A.; Buta, E.L. The Development of Third-Generation Tetracycline Antibiotics and New Perspectives. Pharmaceutics 2021, 13, 2085. https://doi.org/10.3390/pharmaceutics13122085
Rusu A, Buta EL. The Development of Third-Generation Tetracycline Antibiotics and New Perspectives. Pharmaceutics. 2021; 13(12):2085. https://doi.org/10.3390/pharmaceutics13122085
Chicago/Turabian StyleRusu, Aura, and Emanuela Lorena Buta. 2021. "The Development of Third-Generation Tetracycline Antibiotics and New Perspectives" Pharmaceutics 13, no. 12: 2085. https://doi.org/10.3390/pharmaceutics13122085
APA StyleRusu, A., & Buta, E. L. (2021). The Development of Third-Generation Tetracycline Antibiotics and New Perspectives. Pharmaceutics, 13(12), 2085. https://doi.org/10.3390/pharmaceutics13122085


















