Oxytetracycline versus Doxycycline Collagen Sponges Designed as Potential Carrier Supports in Biomedical Applications
Abstract
1. Introduction
2. Materials and Methods
2.1. Materials and Preparation of Collagen Sponges
2.2. Methods
3. Results
3.1. Infrared Spectroscopy (IR) Measurements
3.2. UV/Vis/NIR Spectroscopy Measurements
3.3. Swelling Capacity of the Collagen Sponges
3.4. Enzymatic Degradation
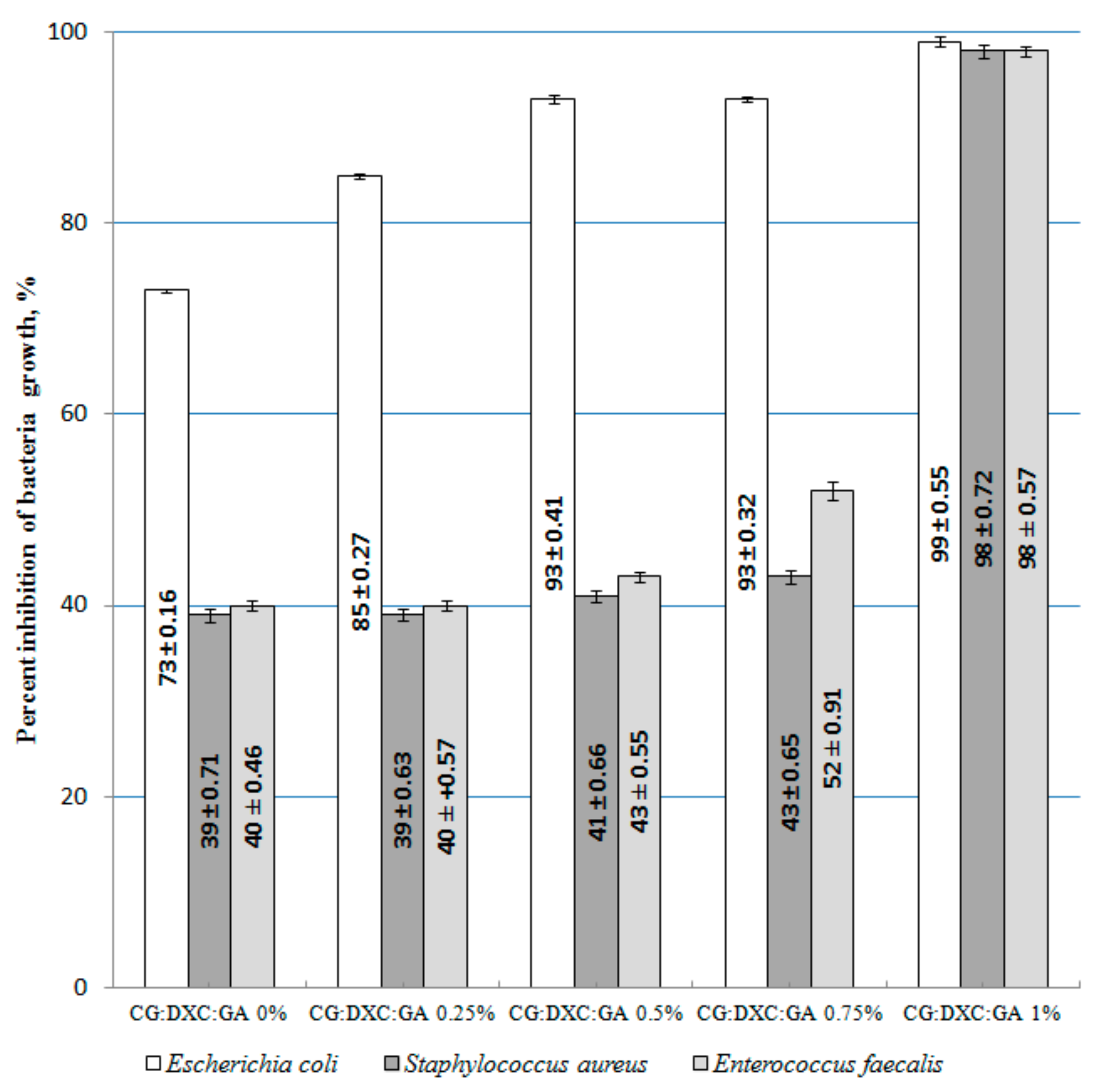
3.5. Antimicrobial Assay
3.6. In Vitro Drug Release Study
3.7. Cytotoxic Activity
4. Discussion
5. Conclusions
Author Contributions
Funding
Conflicts of Interest
References
- Hleba, L.; Majerčíková, K.; Felšöciová, S.; Andreji, J.; Fik, M.; Pavelková, A.; Kačániová, M. Antibiotic Resistance of Escherichia Coli Isolated from Intestinal Tract of Cyprinus Carpio. J. Anim. Sci. Biotechnol. 2013, 46, 133–139. [Google Scholar]
- Nijsten, R.; London, N.; Bogaard, A.V.D.; Stobberingh, E. Antibiotic resistance among Escherichia coli isolated from faecal samples of pig farmers and pigs. J. Antimicrob. Chemother. 1996, 37, 1131–1140. [Google Scholar] [CrossRef][Green Version]
- Chopra, I.; Roberts, M. Tetracycline Antibiotics: Mode of Action, Applications, Molecular Biology, and Epidemiology of Bacterial Resistance. Microbiol. Mol. Biol. Rev. 2001, 65, 232–260. [Google Scholar] [CrossRef]
- Imamura, T.; Matsushita, K.; Travis, J.; Potempa, J. Inhibition of Trypsin-Like Cysteine Proteinases (Gingipains) from Porphyromonas gingivalis by Tetracycline and Its Analogues. Antimicrob. Agents Chemother. 2001, 45, 2871–2876. [Google Scholar] [CrossRef]
- Kowalski, C.; Pomorska, M.; Lebkowska, B.; Sławik, T. Determination of oxytetracycline in biological matrix. Acta Pol. Pharm. Drug Res. 2007, 64, 277–280. [Google Scholar]
- Seymour, R.A.; Heasman, P.A. Pharmacological control of periodontal disease. II. Antimicrobial agents. J. Dent. 1995, 23, 5–14. [Google Scholar] [CrossRef]
- Øyri, H.; Jonsdottir, O.; Jensen, J.L.; Bjørnland, T. The use of a tetracycline drain reduces alveolar osteitis: A randomized prospective trial of third molar surgery under local anesthetics and without the use of systemic antibiotics. Oral Surg. Oral Med. Oral Pathol. Oral Radiol. 2018. [Google Scholar] [CrossRef]
- Griffin, M.O.; Ceballos, G.; Villarreal, F. Tetracycline compounds with non-antimicrobial organ protective properties: Possible mechanisms of action. Pharmacol. Res. 2011, 63, 102–107. [Google Scholar] [CrossRef]
- Golub, L.M.; Wolff, M.; Lee, H.M.; Mcnamara, T.F.; Ramamurthy, N.S.; Zambon, J.; Clancio, S. Further evidence that tetracyclines inhibit collagenase activity in human crevicuiar fluid and from other mammalian Sources. J. Periodontal Res. 1985, 20, 12–23. [Google Scholar] [CrossRef]
- Tiwari, G.; Tiwari, R.; Sriwastawa, B.; Bhati, L.; Pandey, S.; Pandey, P.; Bannerjee, S.K. Drug delivery systems: An updated review. Int. J. Pharm. Investig. 2012, 2, 2–11. [Google Scholar] [CrossRef]
- Nitipir, C.; Albu, M.G.; Voicu, G.; Ficai, A.; Barbu, M.A.; Popa, L.G.; Mirea, D.; Levai, C.; Lazar, S.; Ghica, M.V. Collagen—Vinblastine delivery systems as a new treatment for Kaposi’s Sarcoma. Rev. Chim. 2015, 66, 1169–1172. [Google Scholar]
- Ghica, M.V.; Albu, M.G.; Kaya, D.A.; Popa, L.; Öztürk, Ș.; Rusu, L.-C.; Dinu-Pîrvu, C.; Chelaru, C.; Albu, L.; Meghea, A.; et al. The effect of lavandula essential oils on release of niflumic acid from collagen hydrolysates. Korean J. Chem. Eng. 2016, 33, 1325–1330. [Google Scholar] [CrossRef]
- Ungureanu, C.; Ionita, D.; Berteanu, E.; Tcacenco, L.; Zuav, A.; Demetrescu, I. Improving Natural Biopolymeric Membranes Based on Chitosan and Collagen for Biomedical Applications Introducing Silver. J. Braz. Chem. Soc. 2015, 26, 458–465. [Google Scholar] [CrossRef]
- Liu, X.; Zheng, C.; Luo, X.; Wang, X.; Jiang, H. Recent advances of collagen-based biomaterials: Multi-hierarchical structure, modification and biomedical applications. Mater. Sci. Eng. C 2019, 99, 1509–1522. [Google Scholar] [CrossRef]
- De Sousa, M.H.; Goissis, G. Characterization and in vitro release studies of tetracycline and rolitetracycline imobilized on anionic collagen membranes. Mater. Res. 2009, 12, 69–74. [Google Scholar]
- Martins, V.C.; Goissis, G.; Ribeiro, A.C.; Marcantonio, E., Jr.; Bet, M.R. The controlled release of antibiotic by hydroxyapatite: Anionic collagen composites. Artif. Organs 1998, 22, 215–221. [Google Scholar] [CrossRef]
- Rao, K.P. Recent developments of collagen-based materials for medical applications and drug delivery systems. J. Biomater. Sci. Polym. Ed. 1995, 7, 623–645. [Google Scholar]
- Wachol-Drewek, Z.; Pfeiffer, M.; Scholl, E. Comparative investigation of drug delivery of collagen implants saturated in antibiotic solutions and a sponge containing gentamicin. Biomaterials 1996, 17, 1733–1738. [Google Scholar] [CrossRef]
- Ruszczak, Z. Collagen as a carrier for on-site delivery of antibacterial drugs. Adv. Drug Deliv. Rev. 2003, 55, 1679–1698. [Google Scholar] [CrossRef]
- Amruthwar, S.S.; Janorkar, A.V. In vitro evaluation of elastin-like polypeptide–collagen composite scaffold for bone tissue engineering. Dent. Mater. 2013, 29, 211–220. [Google Scholar] [CrossRef]
- Ardelean, I.L.; Gudovan, D.; Ficai, D.; Ficai, A.; Andronescu, E.; Albu-Kaya, M.G.; Neacsu, P.; Ion, R.N.; Cimpean, A.; Mitran, V. Collagen/hydroxyapatite bone grafts manufactured by homogeneous/heterogeneous 3D printing. Mater. Lett. 2018, 231, 179–182. [Google Scholar] [CrossRef]
- Weadock, K.S.; Miller, E.J.; Bellincampi, L.D.; Zawadsky, J.P.; Dunn, M.G. Physical crosslinking of collagen fibers: Comparison of ultraviolet irradiation and dehydrothermal treatment. J. Biomed. Mater. Res. 1995, 29, 1373–1379. [Google Scholar] [CrossRef]
- Wu, X.; Black, L.; Patrick, C.W.; Santacana-Laffitte, G. Preparation and assessment of glutaraldehyde-crosslinked collagen–chitosan hydrogels for adipose tissue engineering. J. Biomed. Mater. Res. Part A 2007, 81, 59–65. [Google Scholar] [CrossRef]
- Tihan, G.T.; Rau, I.; Zgarian, R.G.; Ghica, M.V. Collagen-based biomaterials for ibuprofen delivery. Comptes Rendus Chim. 2015, 19, 390–394. [Google Scholar] [CrossRef]
- Reiser, K.; McCormick, R.J.; Rucker, R.B. Enzymatic and nonenzymatic cross-linking of collagen and elastin. FASEB J. 1992, 6, 2439–2449. [Google Scholar] [CrossRef]
- García, Y.; Hemantkumar, N.; Collighan, R.; Griffin, M.; Rodríguez-Cabello, J.C.; Pandit, A. In Vitro Characterization of a Collagen Scaffold Enzymatically Cross-Linked with a Tailored Elastin-like Polymer. Tissue Eng. Part A 2009, 15, 887–899. [Google Scholar] [CrossRef]
- Khew, S.T.; Yang, Q.J.; Tong, Y.W. Enzymatically crosslinked collagen-mimetic dendrimers that promote integrin-targeted cell adhesion. Biomaterials 2008, 29, 3034–3045. [Google Scholar] [CrossRef]
- Sun, L.; Li, B.; Yao, D.; Song, W.; Hou, H. Effects of cross-linking on mechanical, biological properties and biodegradation behavior of Nile tilapia skin collagen sponge as a biomedical material. J. Mech. Behav. Biomed. Mater. 2018, 80, 51–58. [Google Scholar] [CrossRef]
- Damink, L.H.H.O.; Dijkstra, P.J.; Van Luyn, M.J.A.; Van Wachem, P.B.; Nieuwenhuis, P.; Feijen, J.; Luyn, M.J.A.; Wachem, P.B. Glutaraldehyde as a crosslinking agent for collagen-based biomaterials. J. Mater. Sci. Mater. Electron. 1995, 6, 460–472. [Google Scholar] [CrossRef]
- Barbaresso, R.C.; Rau, I.; Zgârian, R.G.; Meghea, A.; Ghica, M.V. Niflumic acid-collagen delivery systems used as anti-inflammatory drugs and analgesics in dentistry. Comptes Rendus Chim. 2014, 17, 12–17. [Google Scholar] [CrossRef]
- Ghica, M.V.; Albu, M.G.; Popa, L.; Moisescu, S. Response surface methodology and Taguchi approach to assess the combined effect of formulation factors on minocycline delivery from collagen sponges. Pharmazie 2013, 68, 340–348. [Google Scholar]
- Marin, Ș.; Albu Kaya, M.G.; Ghica, M.V.; Dinu-Pîrvu, C.; Popa, L.; Udeanu, D.I.; Mihai, G.; Enachescu, M. Collagen-Polyvinyl Alcohol-Indomethacin Biohybrid Matrices as Wound Dressings. Pharmaceutics 2018, 10, 224. [Google Scholar] [CrossRef]
- Ghica, M.V.; Kaya, M.G.A.; Dinu-Pîrvu, C.-E.; Lupuleasa, D.; Udeanu, D.I.; Kaya, M.A. Development, Optimization and In Vitro/In Vivo Characterization of Collagen-Dextran Spongious Wound Dressings Loaded with Flufenamic Acid. Molecules 2017, 22, 1552. [Google Scholar] [CrossRef]
- Titorencu, I.; Albu, M.G.; Giurginca, M.; Jinga, V.; Antoniac, I.; Trandafir, V.; Cotrut, C.M.; Miculescu, F.; Simionescu, M.; Iulian, A. In Vitro Biocompatibility of Human Endothelial Cells with Collagen-Doxycycline Matrices. Mol. Cryst. Liq. Cryst. 2010, 523, 82/[654]–96/[668]. [Google Scholar] [CrossRef]
- Payne, J.B.; Golub, L.M. Using tetracyclines to treat osteoporotic/osteopenic bone loss: From the basic science laboratory to the clinic. Pharmacol. Res. 2011, 63, 121–129. [Google Scholar] [CrossRef][Green Version]
- Gross, J.; Harper, E.; Harris, E.D.; McCroskery, P.A.; Highberger, J.H.; Corbett, C.; Kang, A.H. Animal collagenases: Specificity of action, and structures of the substrate cleavage site. Biochem. Biophys. Res. Commun. 1974, 61, 605–612. [Google Scholar] [CrossRef]
- Albu, M.G.; Ghica, M.V. Spongious collagen-minocycline delivery systems. Farmacia 2015, 63, 20–25. [Google Scholar]
- Albu, M.G.; Ghica, M.V.; Ficai, A.; Titorencu, I.; Popa, L. Influence of freeze-drying process on porosity and kinetics release of collagen-doxycycline matrices. In Proceedings of the 3rd International Conference on Advanced Materials and Systems, Bucuresti, Romania, 16–18 September 2010; Albu, L., Deselnicu, V., Eds.; INCDTP-ICPI: Bucharest, Romania, 2010; pp. 181–186. [Google Scholar]
- Jaiswal, S.; Duffy, B.; Jaiswal, A.K.; Stobie, N.; McHale, P. Enhancement of the antibacterial properties of silver nanoparticles using β-cyclodextrin as a capping agent. Int. J. Antimicrob. Agents 2010, 36, 280–283. [Google Scholar] [CrossRef]
- Tihan, G.T.; Ungureanu, C.; Barbaresso, R.C.; Zgârian, R.G.; Rau, I.; Meghea, A.; Albu, M.G.; Ghica, M.V. Chloramphenicol collagen sponges for local drug delivery in dentistry. Comptes Rendus Chim. 2015, 18, 986–992. [Google Scholar] [CrossRef]
- NCCLS. Methods for Dilution Antimicrobial Susceptibility. Test for Bacteria that Grow Aerobically, 6th ed.; Document M7-A6; NCCLS: Wayne, PA, USA, 2003; ISBN 1-56235-486-4. [Google Scholar]
- Hugo, W.B.; Russel, A.D. Pharmaceutical Microbiology, 6th ed.; Blackwell Science: London, UK, 1998. [Google Scholar]
- Zgârian, R.G.; Tihan, G.T.; Barbaresso, R.C.; Rău, I. Spectral characterization of some collagen based composite for dental application. UPB Sci. Bull. Ser. B 2016, 78, 99–110. [Google Scholar]
- Albu, M.G.; Ghica, M.V.; Giurginca, M.; Trandafir, V.; Popa, L.; Cotruţ, C. Spectral characteristics and antioxidant properties of tannic acid immobiliyed in drug delivery systems. Rev. Chim. 2009, 60, 666–672. [Google Scholar]
- Albu, M.G. Collagen Gels and Matrices for Biomedical Applications; Lambert Academic Publishing: Saarbrücken, Germany, 2011. [Google Scholar]
- Andrews, M.E.; Murali, J.; Muralidharan, C.; Madhulata, W.; Jayakumar, R. Interaction of collagen with corilagin. Colloid Polym. Sci. 2003, 281, 766–770. [Google Scholar] [CrossRef]
- Pal, K.; Banthia, A.K.; Majumdar, D.K. Polymeric Hydrogels: Characterization and Biomedical Applications—A mini review. Des. Monomers Polym. 2009, 12, 197–220. [Google Scholar] [CrossRef]
- Souto, R.; Colombo, A.P.V. Prevalence of Enterococcus faecalis in subgingival biofilm and saliva of subjects with chronic periodontal infection. Arch. Oral Biol. 2008, 53, 155–160. [Google Scholar] [CrossRef] [PubMed]
- Love, R.M. Enterococcus faecalis—A mechanism for its role in endodontic failure. Int. Endod. J. 2001, 34, 399–405. [Google Scholar] [CrossRef]
- Martin, M.V.; Hardy, P. Two cases of oral infection by methicillin-resistant Staphylococcus aureus. Br. Dent. J. 1991, 170, 63–64. [Google Scholar] [CrossRef]
- Roberts, M.C.; Soge, O.O.; Horst, J.A.; Ly, K.A.; Milgrom, P. Methicillin-resistant Staphylococcus aureus from dental school clinic surfaces and students. Am. J. Infect. Control. 2011, 39, 628–632. [Google Scholar] [CrossRef] [PubMed]
- Geibel, M.-A.; Schu, B.; Callaway, A.S.; Gleissner, C.; Willershausen, B. Polymerase chain reaction-based simultaneous detection of selected bacterial species associated with closed periapical lesions. Eur. J. Med. Res. 2005, 10, 333–338. [Google Scholar]
- Siqueira, J.F.; Rôças, I.N.; Souto, R.; De Uzeda, M.; Colombo, A.P. Microbiological evaluation of acute periradicular abscesses by DNA-DNA hybridization. Oral Surg. Oral Med. Oral Pathol. Oral Radiol. Endodontol. 2001, 92, 451–457. [Google Scholar] [CrossRef]
- Walsh, F.M.; Amyes, S.G. Microbiology and drug resistance mechanisms of fully resistant pathogens. Curr. Opin. Microbiol. 2004, 7, 439–444. [Google Scholar] [CrossRef]
- Maaland, M.G.; Papich, M.G.; Turnidge, J.; Guardabassi, L. Pharmacodynamics of Doxycycline and Tetracycline against Staphylococcus Pseudintermedius: Proposal of Canine-Specific Breakpoints for Doxycycline. J. Clin. Microbiol. 2013, 51, 3547–3554. [Google Scholar] [CrossRef] [PubMed]
- Corobea, M.S.; Albu, M.G.; Ion, R.; Cimpean, A.; Miculescu, F.; Antoniac, I.V.; Raditoiu, V.; Sirbu, I.; Stoenescu, M.; Voicu, S.I.; et al. Modification of titanium surface with collagen and doxycycline as a new approach in dental implants. J. Adhes. Sci. Technol. 2015, 29, 1–14. [Google Scholar] [CrossRef]
- Zhang, X.; Tang, K.; Zheng, X. Electrospinning and crosslinking of COL/PVA Nanofiber-microsphere Containing Salicylic Acid for Drug Delivery. J. Bionic Eng. 2016, 13, 143–149. [Google Scholar] [CrossRef]
- Phaechamud, T.; Charoenteeraboon, J. Antibacterial Activity and Drug Release of Chitosan Sponge Containing Doxycycline Hyclate. AAPS PharmSciTech 2008, 9, 829–835. [Google Scholar] [CrossRef]













| Collagen Sponge | Gravimetric Ratio CG:OTC [w:w] | GA [%] |
| CG:OTC:GA 0% | 1:0.1 | 0 |
| CG:OTC:GA 0.25% | 0.25 | |
| CG:OTC:GA 0.5% | 0.50 | |
| CG:OTC:GA 0.75% | 0.75 | |
| CG:OTC:GA 1% | 1.00 | |
| Collagen Sponge | Gravimetric Ratio CG:DXC [w:w] | GA [%] |
| CG:DXC:GA 0% | 1:0.1 | 0 |
| CG:DXC:GA 0.25% | 0.25 | |
| CG:DXC:GA 0.5% | 0.50 | |
| CG:DXC:GA 0.75% | 0.75 | |
| CG:DXC:GA 1% | 1.00 |
| OTC | DXC | ||
|---|---|---|---|
| ν [cm−1] | Functional Group | ν [cm−1] | Functional Group |
| 3145 | νO–H | 3281 | νO–H |
| 2997 | νCH2 | 2992 | νCH2 |
| 2925 | νCH2 | 2968 | νCH2 |
| 1616 | νC=O | ||
| 1579 | δN–H | 1571 | δN–H |
| 1538 | νC=C aromatic | 1553 | νC=C aromatic |
| 1331 | δCH3 | 1331 | δCH3 |
| 1070 | νC–OH | 1084 | νC–OH |
| Collagen Sponge | AOH/AI | AI/AOH | Δν |
|---|---|---|---|
| CG:GA 0% | 0.4111 | 2.4326 | 84 |
| CG:OTC:GA 0% | 0.4834 | 2.0689 | 82 |
| CG:OTC:GA 0.25% | 0.4918 | 2.0332 | 82 |
| CG:OTC:GA 0.5% | 0.4551 | 2.1973 | 86 |
| CG:OTC:GA 0.75% | 0.4484 | 2.2301 | 81 |
| CG:OTC:GA 1% | 0.4624 | 2.1627 | 81 |
| CG DXC:GA 0% | 0.4023 | 2.4859 | 91 |
| CG:DXC:GA 0.25% | 0.4158 | 2.4051 | 92 |
| CG:DXC:GA 0.5% | 0.4027 | 2.4835 | 87 |
| CG:DXC:GA 0.75% | 0.4166 | 2.4004 | 87 |
| CG:DXC:GA 1% | 0.3721 | 2.6876 | 102 |
| Collagen Sponge | λmax, nm | Band | λmax, nm | Band | λmax, nm | Band | λmax, nm | Band |
|---|---|---|---|---|---|---|---|---|
| CG:OTC:GA 0% | 313 | –CO–NH– | 1185 | νCH2 | 1492 | νOH as | 1942 | δO–H |
| CG:OTC:GA 0.25% | 314 | 1190 | 1495 | 1954 | ||||
| CG:OTC:GA 0.5% | 314 | 1188 | 1496 | 1944 | ||||
| CG:OTC:GA 0.75% | 314 | 1188 | 1501 | 1953 | ||||
| CG:OTC:GA 1% | 314 | 1189 | 1497 | 1947 | ||||
| CG:DXC:GA 0% | 223 | 1183 | 1504 | 1937 | ||||
| CG:DXC:GA 0.25% | 223 | 1183 | 1503 | 1941 | ||||
| CG:DXC:GA 0.5% | 221 | 1181 | 1503 | 1945 | ||||
| CG:DXC:GA 0.75% | 224 | 1183 | 1492 | 1938 | ||||
| CG:DXC:GA 1% | 223 | 1181 | 1504 | 1948 |
| Microorganism | Concentration of Oxytetracycline (µg/mL) | |||||||||||
|---|---|---|---|---|---|---|---|---|---|---|---|---|
| 400 | 200 | 100 | 50 | 25 | 12.5 | 6.25 | 3.125 | 1.56 | 0.78 | 0.39 | 0.195 | |
| Escherichia coli | S | S | S | S | S | S | R | R | R | R | R | R |
| Staphylococcus aureus | S | S | S | R | R | R | R | R | R | R | R | R |
| Enterococcus faecalis | S | S | R | R | R | R | R | R | R | R | R | R |
| Microorganism | Concentration of Doxycycline, (µg/mL) | |||||||||||
|---|---|---|---|---|---|---|---|---|---|---|---|---|
| 400 | 200 | 100 | 50 | 25 | 12.5 | 6.25 | 3.125 | 1.56 | 0.78 | 0.39 | 0.195 | |
| Escherichia coli | S | S | S | R | R | R | R | R | R | R | R | R |
| Staphylococcus aureus | S | S | R | R | R | R | R | R | R | R | R | R |
| Enterococcus faecalis | S | S | R | R | R | R | R | R | R | R | R | R |
| Collagen Sponges | R (Higuchi Model) | R (Zero-Order Model) | R (Power Law Model) | Release Exponent | Kinetic Constant (1/minn) | OTC Released Percentage (%) |
|---|---|---|---|---|---|---|
| CG:OTC:GA 0% | 0.9531 | 0.8445 | 0.9948 | 0.267 | 0.143 | 75.83 |
| CG:OTC:GA 0.25% | 0.9524 | 0.8438 | 0.9943 | 0.267 | 0.135 | 71.59 |
| CG:OTC:GA 0.5% | 0.9564 | 0.8496 | 0.9938 | 0.279 | 0.119 | 67.81 |
| CG:OTC:GA 0.75% | 0.9594 | 0.8551 | 0.9945 | 0.283 | 0.107 | 62.57 |
| CG:OTC:GA 1% | 0.9512 | 0.8394 | 0.9879 | 0.288 | 0.095 | 56.59 |
| Collagen Sponges | R (Higuchi Model) | R (Zero-Order Model) | R (Power Law Model) | Release Exponent | Kinetic Constant (1/minn) | DXC Released Percentage (%) |
|---|---|---|---|---|---|---|
| CG:DXC:GA 0% | 0.8784 | 0.7193 | 0.9919 | 0.181 | 0.273 | 78.80 |
| CG:DXC:GA 0.25% | 0.8891 | 0.7316 | 0.9891 | 0.196 | 0.235 | 74.07 |
| CG:DXC:GA 0.5% | 0.9514 | 0.8300 | 0.9966 | 0.262 | 0.148 | 71.96 |
| CG:DXC:GA 0.75% | 0.9525 | 0.8300 | 0.9932 | 0.280 | 0.122 | 65.48 |
| CG:DXC:GA 1% | 0.9575 | 0.8383 | 0.9865 | 0.318 | 0.093 | 61.75 |
© 2019 by the authors. Licensee MDPI, Basel, Switzerland. This article is an open access article distributed under the terms and conditions of the Creative Commons Attribution (CC BY) license (http://creativecommons.org/licenses/by/4.0/).
Share and Cite
Tihan, G.T.; Rău, I.; Zgârian, R.G.; Ungureanu, C.; Barbaresso, R.C.; Kaya, M.G.A.; Dinu-Pîrvu, C.; Ghica, M.V. Oxytetracycline versus Doxycycline Collagen Sponges Designed as Potential Carrier Supports in Biomedical Applications. Pharmaceutics 2019, 11, 363. https://doi.org/10.3390/pharmaceutics11080363
Tihan GT, Rău I, Zgârian RG, Ungureanu C, Barbaresso RC, Kaya MGA, Dinu-Pîrvu C, Ghica MV. Oxytetracycline versus Doxycycline Collagen Sponges Designed as Potential Carrier Supports in Biomedical Applications. Pharmaceutics. 2019; 11(8):363. https://doi.org/10.3390/pharmaceutics11080363
Chicago/Turabian StyleTihan, Graţiela Teodora, Ileana Rău, Roxana Gabriela Zgârian, Camelia Ungureanu, Răzvan Constantin Barbaresso, Mădălina Georgiana Albu Kaya, Cristina Dinu-Pîrvu, and Mihaela Violeta Ghica. 2019. "Oxytetracycline versus Doxycycline Collagen Sponges Designed as Potential Carrier Supports in Biomedical Applications" Pharmaceutics 11, no. 8: 363. https://doi.org/10.3390/pharmaceutics11080363
APA StyleTihan, G. T., Rău, I., Zgârian, R. G., Ungureanu, C., Barbaresso, R. C., Kaya, M. G. A., Dinu-Pîrvu, C., & Ghica, M. V. (2019). Oxytetracycline versus Doxycycline Collagen Sponges Designed as Potential Carrier Supports in Biomedical Applications. Pharmaceutics, 11(8), 363. https://doi.org/10.3390/pharmaceutics11080363

