The Role of Serum Prolidase Activity, MMP-1, MMP-7, and TGF-β Values in the Prediction of Early Fibrosis in Patients with Moderate to Severe COVID-19
Abstract
1. Introduction and Purpose
Laboratory Evaluation
2. Materials and Methods
2.1. Ethical Approval, Study Design, and Inclusion Criteria
2.2. Exclusion Criteria for the Study
2.3. Evaluation of Radiology Images
2.4. Evaluation of Laboratory Results and Fibrosis Score
2.5. Statistical Analysis and Determination of Sample Size
3. Results
4. Discussion
5. Conclusions
Author Contributions
Funding
Institutional Review Board Statement
Informed Consent Statement
Data Availability Statement
Conflicts of Interest
Abbreviations
References
- COVID-19 (SARS-CoV2 Enfeksiyonu) Rehberi: T.C Sağlık Bakanlığı 2020 [updated 16.07]. Available online: https://covid19bilgi.saglik.gov.tr/depo/rehberler/COVID-19_Rehberi.pdf (accessed on 1 April 2022).
- Udwadia, Z.F.; Koul, P.A.; Richeldi, L. Post-COVID lung fibrosis: The tsunami that will follow the earthquake. Lung India 2021, 38, S41–S47. [Google Scholar] [CrossRef] [PubMed]
- Yu, M.; Liu, Y.; Xu, D.; Zhang, R.; Lan, L.; Xu, H. Prediction of the development of pulmonary fibrosis using serial thin-section CT and clinical features in patients discharged after treatment for COVID-19 pneumonia. Korean J. Radiol. 2020, 21, 746–755. [Google Scholar] [CrossRef] [PubMed]
- Kitchener, R.; Grunden, A. Prolidase function in proline metabolism and its medical and biotechnological applications. J. Appl. Microbiol. 2012, 113, 233–247. [Google Scholar] [CrossRef]
- Rosas, I.O.; Richards, T.J.; Konishi, K.; Zhang, Y.; Gibson, K.; Lokshin, A.E.; Lindell, K.O.; Cisneros, J.; MacDonald, S.D.; Pardo, A. MMP1 and MMP7 as potential peripheral blood biomarkers in idiopathic pulmonary fibrosis. PLoS Med. 2008, 5, e93. [Google Scholar] [CrossRef]
- Zuo, F.; Kaminski, N.; Eugui, E.; Allard, J.; Yakhini, Z.; Ben-Dor, A.; Lollini, L.; Morris, D.; Kim, Y.; DeLustro, B. Gene expression analysis reveals matrilysin as a key regulator of pulmonary fibrosis in mice and humans. Proc. Natl. Acad. Sci. USA 2002, 99, 6292–6297. [Google Scholar] [CrossRef]
- Kropski, J.A.; Pritchett, J.M.; Zoz, D.F.; Crossno, P.F.; Markin, C.; Garnett, E.T.; Degryse, A.L.; Mitchell, D.B.; Polosukhin, V.V.; Rickman, O.B. Extensive phenotyping of individuals at risk for familial interstitial pneumonia reveals clues to the pathogenesis of interstitial lung disease. Am. J. Respir. Crit. Care Med. 2015, 191, 417–426. [Google Scholar] [CrossRef] [PubMed]
- Zuo, W.; Zhao, X.; Chen, Y.-G. SARS coronavirus and lung fibrosis. In Molecular Biology of the SARS-Coronavirus; Springer: Berlin/Heidelberg, Germany, 2010; pp. 247–258. [Google Scholar]
- Huang, I.; Pranata, R. Lymphopenia in severe coronavirus disease-2019 (COVID-19): Systematic review and meta-analysis. J. Intensive Care 2020, 8, 36. [Google Scholar] [CrossRef]
- Thompson, S.; Bohn, M.K.; Mancini, N.; Loh, T.P.; Wang, C.-B.; Grimmler, M.; Yuen, K.-Y.; Mueller, R.; Koch, D.; Sethi, S. IFCC interim guidelines on biochemical/hematological monitoring of COVID-19 patients. Clin. Chem. Lab. Med. (CCLM) 2020, 58, 2009–2016. [Google Scholar] [CrossRef]
- Liu, F.; Xu, A.; Zhang, Y.; Xuan, W.; Yan, T.; Pan, K.; Yu, W.; Zhang, J. Patients of COVID-19 may benefit from sustained lopinavir-combined regimen and the increase of eosinophil may predict the outcome of COVID-19 progression. Int. J. Infect. Dis. 2020, 95, 183–191. [Google Scholar] [CrossRef]
- Yao, Y.; Cao, J.; Wang, Q.; Shi, Q.; Liu, K.; Luo, Z.; Chen, X.; Chen, S.; Yu, K.; Huang, Z. D-dimer as a biomarker for disease severity and mortality in COVID-19 patients: A case control study. J. Intensive Care 2020, 8, 49. [Google Scholar] [CrossRef]
- Lippi, G.; Plebani, M.; Henry, B.M. Thrombocytopenia is associated with severe coronavirus disease 2019 (COVID-19) infections: A meta-analysis. Clin. Chim. Acta 2020, 506, 145–148. [Google Scholar] [CrossRef] [PubMed]
- Di Micco, P.; Russo, V.; Carannante, N.; Imparato, M.; Cardillo, G.; Lodigiani, C. Prognostic value of fibrinogen among COVID-19 patients admitted to an emergency department: An Italian cohort study. J. Clin. Med. 2020, 9, 4134. [Google Scholar] [CrossRef]
- Gandini, O.; Criniti, A.; Ballesio, L.; Giglio, S.; Galardo, G.; Gianni, W.; Santoro, L.; Angeloni, A.; Lubrano, C. Serum Ferritin is an independent risk factor for Acute Respiratory Distress Syndrome in COVID-19. J. Infect. 2020, 81, 979–997. [Google Scholar] [CrossRef] [PubMed]
- Wu, M.-y.; Yao, L.; Wang, Y.; Zhu, X.-y.; Wang, X.-f.; Tang, P.-j.; Chen, C. Clinical evaluation of potential usefulness of serum lactate dehydrogenase (LDH) in 2019 novel coronavirus (COVID-19) pneumonia. Respir. Res. 2020, 21, 171. [Google Scholar] [CrossRef]
- Chen, W.; Zheng, K.I.; Liu, S.; Yan, Z.; Xu, C.; Qiao, Z. Plasma CRP level is positively associated with the severity of COVID-19. Ann. Clin. Microbiol. Antimicrob. 2020, 19, 18. [Google Scholar] [CrossRef] [PubMed]
- Henry, B.M.; Benoit, S.W.; de Oliveira, M.H.S.; Hsieh, W.C.; Benoit, J.; Ballout, R.A.; Plebani, M.; Lippi, G. Laboratory abnormalities in children with mild and severe coronavirus disease 2019 (COVID-19): A pooled analysis and review. Clin. Biochem. 2020, 81, 1–8. [Google Scholar] [CrossRef]
- Sharma, A.; Jaiswal, P.; Kerakhan, Y.; Saravanan, L.; Murtaza, Z.; Zergham, A.; Honganur, N.-S.; Akbar, A.; Deol, A.; Francis, B. Liver disease and outcomes among COVID-19 hospitalized patients–A systematic review and meta-analysis. Ann. Hepatol. 2021, 21, 100273. [Google Scholar] [CrossRef]
- Henry, B.M.; De Oliveira, M.H.S.; Benoit, S.; Plebani, M.; Lippi, G. Hematologic, biochemical and immune biomarker abnormalities associated with severe illness and mortality in coronavirus disease 2019 (COVID-19): A meta-analysis. Clin. Chem. Lab. Med. (CCLM) 2020, 58, 1021–1028. [Google Scholar] [CrossRef]
- Li, K.; Fang, Y.; Li, W.; Pan, C.; Qin, P.; Zhong, Y.; Liu, X.; Huang, M.; Liao, Y.; Li, S. CT image visual quantitative evaluation and clinical classification of coronavirus disease (COVID-19). Eur. Radiol. 2020, 30, 4407–4416. [Google Scholar] [CrossRef]
- Wei, P.-F. Diagnosis and Treatment Protocol for Novel Coronavirus Pneumonia (Trial Version 7). Chin. Med. J. 2020, 133, 1087–1095. [Google Scholar] [CrossRef]
- Diagnosis and Treatment Protocol for COVID-19 (Trial Version 7). Available online: http://en.nhc.gov.cn/2020-03/29/c_78469.htm (accessed on 30 March 2022).
- Han, X.; Fan, Y.; Alwalid, O.; Zhang, X.; Jia, X.; Zheng, Y.; Shi, H. Fibrotic Interstitial Lung Abnormalities at 1-year Follow-up CT after Severe COVID-19. Radiology 2021, 301, E438–E440. [Google Scholar] [CrossRef] [PubMed]
- Sezen, Y.; Bas, M.; Altıparmak, H.; Yildiz, A.; Buyukhatipoglu, H.; Faruk Dag, O.; Kaya, Z.; Aksoy, N. Serum prolidase activity in idiopathic and ischemic cardiomyopathy patients. J. Clin. Lab. Anal. 2010, 24, 213–218. [Google Scholar] [CrossRef] [PubMed]
- Gencer, M.; Aksoy, N.; Dagli, E.C.; Uzer, E.; Aksoy, S.; Selek, S.; Celik, H.; Cakir, H. Prolidase activity dysregulation and its correlation with oxidative–antioxidative status in chronic obstructive pulmonary disease. J. Clin. Lab. Anal. 2011, 25, 8–13. [Google Scholar] [CrossRef]
- Ya’qoub, L.; Elgendy, I.Y.; Pepine, C.J. Sex and gender differences in COVID-19: More to be learned! Am. Heart J. Plus Cardiol. Res. Pract. 2021, 3, 100011. [Google Scholar] [CrossRef]
- Team, E. The epidemiological characteristics of an outbreak of 2019 novel coronavirus diseases (COVID-19)—China, 2020. China CDC Wkly. 2020, 2, 113–122. [Google Scholar]
- Alkhouli, M.; Nanjundappa, A.; Annie, F.; Bates, M.C.; Bhatt, D.L. Sex differences in case fatality rate of COVID-19: Insights from a multinational registry. In Mayo Clinic Proceedings; Elsevier: Amsterdam, The Netherlands, 2020; Volume 95, pp. 1613–1620. [Google Scholar]
- Amin, B.J.H.; Kakamad, F.H.; Ahmed, G.S.; Ahmed, S.F.; Abdulla, B.A.; Mikael, T.M.; Salih, R.Q.; Salh, A.M.; Hussein, D.A. Post COVID-19 pulmonary fibrosis; a meta-analysis study. Ann. Med. Surg. 2022, 77, 103590. [Google Scholar]
- Guan, W.J.; Ni, Z.Y.; Hu, Y.; Liang, W.H.; Ou, C.Q.; He, J.X.; Liu, L.; Shan, H.; Lei, C.L.; Hui, D.S.; et al. Clinical characteristics of coronavirus disease 2019 in China. New Engl. J. Med. 2020, 382, 1708–1720. [Google Scholar] [CrossRef]
- Huang, C.; Wang, Y.; Li, X.; Ren, L.; Zhao, J.; Hu, Y.; Zhang, L.; Fan, G.; Xu, J.; Gu, X. Clinical features of patients infected with 2019 novel coronavirus in Wuhan, China. Lancet 2020, 395, 497–506. [Google Scholar] [CrossRef]
- Li, L.Q.; Huang, T.; Wang, Y.Q.; Wang, Z.P.; Liang, Y.; Huang, T.B.; Zhang, H.Y.; Sun, W.; Wang, Y. COVID-19 patients’ clinical characteristics, discharge rate, and fatality rate of meta-analysis. J. Med. Virol. 2020, 92, 577–583. [Google Scholar] [CrossRef]
- Batur, E.B.; Korez, M.K.; Gezer, I.A.; Levendoglu, F.; Ural, O. Musculoskeletal symptoms and relationship with laboratory findings in patients with COVID-19. Int. J. Clin. Pract. 2021, 75, e14135. [Google Scholar] [CrossRef]
- Zhou, F.; Yu, T.; Du, R.; Fan, G.; Liu, Y.; Liu, Z.; Xiang, J.; Wang, Y.; Song, B.; Gu, X. Clinical course and risk factors for mortality of adult inpatients with COVID-19 in Wuhan, China: A retrospective cohort study. Lancet 2020, 395, 1054–1062. [Google Scholar] [CrossRef]
- Teker, A.G.; Emecen, A.N.; Girgin, S.; Şimşek-Keskin, H.; Şiyve, N.; Sezgin, E.; Başoğlu, E.; Yıldırım-Karalar, K.; Appak, Ö.; Zeka, A.N. Türkiye’de Bir Üniversite Hastanesinde COVID-19 Olgularının Epidemiyolojik Özellikleri. Klimik J. 2021, 34, 61–68. [Google Scholar]
- Huang, W.; Wu, Q.; Chen, Z.; Xiong, Z.; Wang, K.; Tian, J.; Zhang, S. The potential indicators for pulmonary fibrosis in survivors of severe COVID-19. J. Infect. 2021, 82, e5–e7. [Google Scholar] [CrossRef] [PubMed]
- Wong, K.-t.; Antonio, G.E.; Hui, D.S.; Ho, C.; Chan, P.-n.; Ng, W.-h.; Shing, K.-k.; Wu, A.; Lee, N.; Yap, F. Severe acute respiratory syndrome: Thin-section computed tomography features, temporal changes, and clinicoradiologic correlation during the convalescent period. J. Comput. Assist. Tomogr. 2004, 28, 790–795. [Google Scholar] [CrossRef] [PubMed]
- Li, F.; Deng, J.; Song, Y.; Wu, C.; Yu, B.; Wang, G.; Li, J.; Zhong, Y.; Liang, F. Pulmonary fibrosis in patients with COVID-19: A retrospective study. Front. Cell. Infect. Microbiol. 2022, 12, 1918. [Google Scholar] [CrossRef]
- Ali, R.M.M.; Ghonimy, M.B.I. Post-COVID-19 pneumonia lung fibrosis: A worrisome sequelae in surviving patients. Egyptian J. Radiol. Nucl. Med. 2021, 52, 101. [Google Scholar] [CrossRef]
- Yasin, R.; Gomaa, A.A.K.; Ghazy, T.; Hassanein, S.A.; Khalifa, M.H. Predicting lung fibrosis in post-COVID-19 patients after discharge with follow-up chest CT findings. Egypt. J. Radiol. Nucl. Med. 2021, 52, 118. [Google Scholar] [CrossRef]

| Patient (n = 68) | |
|---|---|
| Demographic characteristics | |
| Age (year) | 66.5 (29–86) |
| Gender (male/female) | 39 (57.4)/29 (42.6) |
| BMI (kg/m2) | 27.9 (15.3–50.8) |
| Length of hospitalization (days) | 10 (4–30) |
| Smoking | |
| Ex-smoker | 12 (17.6) |
| Non-smoker | 52 (76.5) |
| Smoker | 4 (5.9) |
| Smoking (pack/years) | 45 (5–141) |
| Classification | |
| Moderate | 14 (20.6) |
| Male | 6 (42.9) |
| Female | 8 (57.1) |
| Severe | 54 (79.4) |
| Male | 33 (61.1) |
| Female | 21 (38.9) |
| Comorbidity † | |
| HT | 28 (41.2) |
| DM | 30 (44.1) |
| Chronic pulmonary diseases ǂ | 29 (42.6) |
| CAD | 17 (25) |
| HL | 5 (7.4) |
| CHF | 4 (4.4) |
| Thyroid disorder | 5 (7.4) |
| Rheumatologic | 1 (1.5) |
| Other § | 7 (10.3) |
| Symptoms † | |
| Fever | 36 (52.9) |
| Cough | 39 (57.4) |
| Dyspnea | 30 (44.1) |
| Muscle–joint pain (myalgia) | 31 (45.6) |
| Sputum | 5 (7.1) |
| Headache | 4 (5.9) |
| Sore throat | 12 (17.6) |
| Diarrhea | 6 (8.8) |
| Nausea | 8 (11.8) |
| Vomiting | 6 (8.8) |
| Abdominal pain | 1 (1.5) |
| Chest pain | 1 (1.5) |
| Loss of taste and smell | 6 (8.8) |
| Fatigue | 36 (52.9) |
| Biomarkers | |
| Serum prolidase activity (ng/mL) | 0.50 (0.063–55.22) |
| MMP-1 (ng/mL) | 3.91 (0.05–30.27) |
| MMP-7 (ng/mL) | 0.172 (0.050–6.20) |
| TGF-β (pg/mL) | 212.42 (5.0–1718.29) |
| Oxygen therapy † | |
| No oxygen support (room air) | 15 (22.1) |
| Supplemental oxygen therapy (nasal cannula) | 50 (73.5) |
| High flow nasal oxygen therapy | 2 (2.9) |
| NIMV | 5 (7.4) |
| THIRD-MONTH FIBROSIS TOTAL SCORE | ||
|---|---|---|
| Spearman’s rho | p-Value | |
| Demographic characteristics | ||
| Age (years) | 0.104 | 0.401 |
| Smoking (pack/years) | −0.032 | 0.793 |
| BMI (kg/m2) | −0.169 | 0.169 |
| Clinical characteristics | ||
| Length of hospitalization (days) | 0.461 | <0.001 |
| Biomarkers | ||
| Serum prolidase activity (ng/mL) | 0.051 | 0.677 |
| MMP-1 (ng/mL) | 0.012 | 0.925 |
| MMP-7 (ng/mL) | −0.078 | 0.525 |
| TGF-β (pg/mL) | −0.034 | 0.784 |
| BLOOD PARAMETERS AT THE TIME OF HOSPITALIZATON | ||
| WBC | 0.219 | 0.073 |
| HGB | −0.067 | 0.587 |
| HCT | −0.090 | 0.465 |
| PLT | 0.185 | 0.131 |
| MCV | 0.024 | 0.848 |
| RDW | 0.003 | 0.981 |
| RBC | −0.066 | 0.593 |
| PDW | −0.008 | 0.947 |
| MPV | −0.124 | 0.313 |
| NEUTROPHIL | 0.191 | 0.119 |
| NEUTROPHIL (%) | 0.249 | 0.040 |
| LYMPHOCYTE | −0.132 | 0.285 |
| LYMPHOCYTE (%) | −0.196 | 0.110 |
| LDH | 0.194 | 0.113 |
| FIBRINOGENE | 0.209 | 0.087 |
| FERRITIN | 0.046 | 0.709 |
| D-DIMER | 0.001 | 0.996 |
| CRP | 0.115 | 0.350 |
| PROCALCITONIN | 0.007 | 0.952 |
| CREATININE | 0.053 | 0.666 |
| UREA | 0.113 | 0.358 |
| ALT | −0.011 | 0.928 |
| AST | 0.077 | 0.533 |
| Clinical Group | THIRD-MONTH FIBROSIS TOTAL SCORE | p-Value |
|---|---|---|
| Moderate (n = 14) | 3.0 (0–13) | 0.019 * |
| Severe (n = 54) | 6.50 (0–16) |
| THIRD-MONTH FIBROSIS TOTAL SCORE | p-Value | ||
|---|---|---|---|
| COMORBIDITY | No | Yes | |
| HT | 6 (0–16) | 7 (0–16) | 0.531 |
| DM | 7 (0–16) | 6 (0–16) | 0.833 |
| Chronic pulmonary diseases ǂ | 7 (0–16) | 6 (0–16) | 0.727 |
| CAD | 6 (0–16) | 7 (0–16) | 0.373 |
| HL | 6 (0–16) | 6 (0–16) | 0.767 |
| SYMPTOMS | |||
| Fever | 6 (0–16) | 6 (0–16) | 0.863 |
| Cough | 7 (0–13) | 6 (0–16) | 0.746 |
| Dyspnea | 6 (0–13) | 7 (0–16) | 0.203 |
| Muscle–joint pain (myalgia) | 5 (0–16) | 7 (0–16) | 0.030 |
| Sputum | 6 (0–16) | 4 (2–11) | 0.715 |
| Headache | 6 (0–16) | 4 (1–11) | 0.660 |
| Sore throat | 6 (0–16) | 6 (0–11) | 0.324 |
| Diarrhea | 6 (0–16) | 6 (0–9) | 0.841 |
| Nausea | 6 (0–16) | 7 (0–12) | 0.491 |
| Vomiting | 6 (0–16) | 8 (5–11) | 0.264 |
| Loss of taste and smell | 6 (0–16) | 6 (0–11) | 0.958 |
| Fatigue | 5 (0–11) | 7 (0–16) | 0.010 |
| GROUP 1 (n = 34) With Fibrotic Changes | GROUP 2 (n = 34) Without Fibrotic Changes | p-Value | |
|---|---|---|---|
| DEMOGRAPHIC CHARACTERISTICS | |||
| Age (years) | 67 (60.75–73) | 66 (60.25–73.75) | 0.825 |
| BMI (kg/m2) | 27.90 (26.10–32.22) | 28.40 (25.47–31.80) | 0.932 |
| SMOKING (EX/NON/SMOKER) | 6/25/3 | 6/27/1 | 0.584 |
| SECONDHAND SMOKE (EXPOSURE) | 40 (15–141) | 50 (5–80) | 0.631 |
| BIOMARKERS | |||
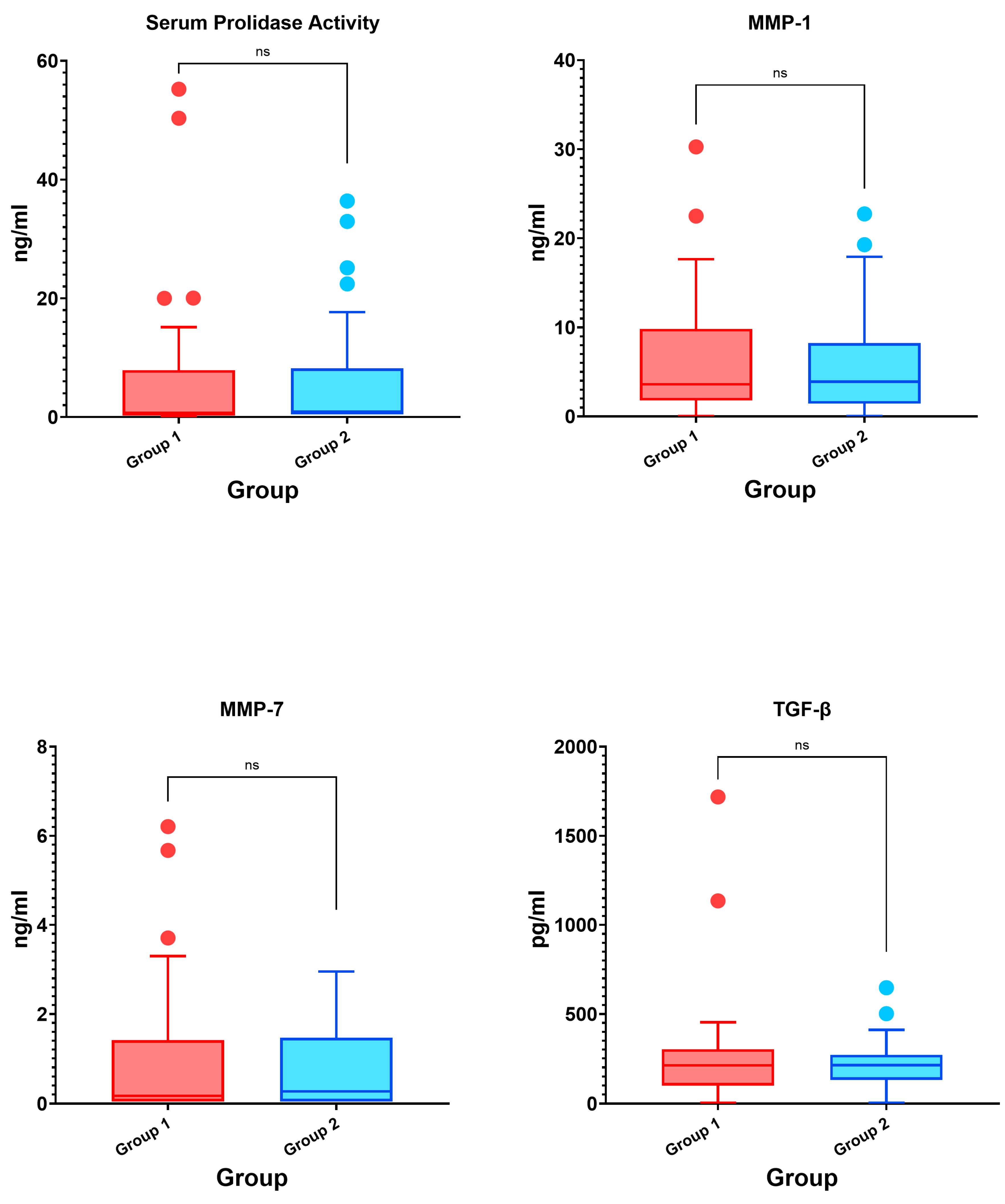
| Serum prolidase activity (ng/mL) | 0.90 (0.50–7.30) | 0.50 (0.50–7.27) | 0.491 |
| MMP-1 (ng/mL) | 3.92 (1.47–7.63) | 3.62 (1.82–9.28) | 0.956 |
| MMP-7 (ng/mL) | 0.27 (0.05–1.41) | 0.17 (0.05–1.36) | 0.927 |
| TGF-β (pg/mL) | 213.35 (140.25–263.65) | 211.57 (107.88–295.81) | 0.966 |
| BLOOD PARAMETERS AT THE TIME OF HOSPITALIZATON | |||
| WBC | 9.63 (6.36–11.73) | 7.61 (5.92–9.69) | 0.232 |
| HGB | 13.13 ± 2.26 | 13.04 ± 2.12 | 0.864 |
| HCT | 40.30 ± 6.64 | 40.43 ± 6.83 | 0.938 |
| PLT | 235.50 (172.75–293.75) | 181 (136.75–236) | 0.078 |
| MCV | 87.8 (82.15–90.47) | 86.65 (83.53–88.95) | 0.540 |
| RDW | 14.30 (13.60–16.13) | 14.30 (13.60–15.20) | 0.811 |
| RBC | 4.77 (4.35–5.03) | 4.54 (4.25–5.16) | 0.768 |
| PDW | 13.55 (11.93–16.60) | 13.45 (11.60–16.70) | 0.864 |
| MPV | 10.15 (8.22–10.70) | 10.30 (9.40–11.10) | 0.117 |
| NEUTROPHIL | 7.27 (4.19–9.94) | 4.85 (3.64–8.17) | 0.332 |
| NEUTROPHIL (%) | 79.05 (66.50–87.97) | 76.60 (61.32–81.95) | 0.185 |
| LYMPHOCYTE | 0.95 (0.75–1.65) | 1.10 (0.81–1.66) | 0.524 |
| LYMPHOCYTE (%) | 12.65 (7.26–22.60) | 15.15 (10.10–26.38) | 0.473 |
| LDH | 363 (290.25–472.25) | 272.5 (215.25–360.25) | 0.012 |
| FIBRINOGENE | 562.50 (452.50–714.74) | 445.5 (368.75–538.0) | 0.002 |
| FERRITIN | 425.35 (114.75–769) | 273.5 (148.5–389.25) | 0.251 |
| D-DIMER | 463.50 (252.25–802.75) | 512.50 (305.5–830) | 0.496 |
| CRP | 88.15 (23.38–144.75) | 75.15 (14.20–105) | 0.253 |
| PROCALCITONIN | 0.11 (0.05–0.22) | 0.10 (0.07–0.14) | 0.859 |
| CREATININE | 0.95 (0.81–1.30) | 0.98 (0.88–1.15) | 0.677 |
| UREA | 36.20 (32.20–53.75) | 40.50 (29.90–53.65) | 0.917 |
| ALT | 20.75 (15.18–26.50) | 19 (15.22–33.75) | 0.888 |
| AST | 27 (21.40–38.75) | 22.80 (17.23–34.0) | 0.303 |
| NLR | 6.94 (3.16–11.69) | 4.77 (2.28–8.33) | 0.308 |
| CLINICAL CHARACTERISTICS | |||
| Length of hospitalization (days) | 11 (10–16) | 8.5 (5–10.75) | 0.001 |
| GROUP 1 (n = 34) With Fibrotic Changes | GROUP 2 (n = 34) Without Fibrotic Changes | Overall | p-Value | |
|---|---|---|---|---|
| Gender | ||||
| Female | 13 (38.2%) | 16 (47.1%) | 29 (42.6%) | 0.624 |
| Male | 21 (61.8%) | 18 (52.9%) | 39 (57.4%) | |
| Classification | ||||
| Moderate | 4 (11.8%) | 10 (29.4%) | 14 (20.6%) | 0.134 |
| Severe | 30 (88.2%) | 24 (70.6%) | 54 (79.4%) | |
| COMORBIDITIES † | ||||
| HT | 16 (47.1%) | 12 (35.3%) | 28 (41.2%) | 0.460 |
| DM | 13 (38.2%) | 17 (50%) | 30 (44.1%) | 0.464 |
| Chronic pulmonary diseases ǂ | 15 (44.1%) | 14 (41.2%) | 29 (42.6%) | >0.999 |
| CAD | 12 (35.3%) | 5 (14.7%) | 17 (25%) | 0.093 |
| SYMPTOMS † | ||||
| Fever | 21 (61.8%) | 15 (44.1%) | 36 (52.9%) | 0.224 |
| Cough | 19 (55.9%) | 20 (58.8%) | 39 (57.4%) | >0.999 |
| Dyspnea | 18 (52.9%) | 12 (35.3%) | 30 (44.1%) | 0.222 |
| Muscle–joint pain | 21 (61.8%) | 10 (29.4%) | 31 (45.6%) | 0.015 |
| Sputum | 1 (2.9%) | 4 (11.8%) | 5 (7.4%) | 0.356 |
| Headache | 1 (2.9%) | 3 (8.8%) | 4 (5.9%) | 0.614 |
| Sore throat | 4 (11.8%) | 8 (23.5%) | 12 (17.6%) | 0.340 |
| Diarrhea | 2 (5.9%) | 4 (11.8%) | 6 (8.8%) | 0.673 |
| Nausea | 5 (14.7%) | 3 (8.8%) | 8 (11.8%) | 0.709 |
| Vomiting | 4 (11.8%) | 2 (5.9%) | 6 (8.8%) | 0.673 |
| Adbominal pain | 0 (0%) | 1 (2.9%) | 1 (1.5%) | >0.999 |
| Loss of taste and smell | 3 (8.8%) | 3 (8.8%) | 6 (8.8%) | >0.999 |
| Fatigue | 23 (67.6%) | 13 (38.2%) | 36 (52.9%) | 0.029 |
| OXYGEN THERAPY | GROUP 1 (n = 34) With Fibrotic Changes | GROUP 2 (n = 34) Without Fibrotic Changes | Overall | p-Value |
|---|---|---|---|---|
| Patients followed in room air | 4 (11.8%) | 10 (29.4%) | 14 (20.6%) | 0.134 |
| Patients requiring supplemental oxygen therapy (non-room air) | 30 (88.2%) | 24 (70.6%) | 54 (79.4%) | |
| With nasal oxygen cannula | 28 (82.4%) | 22 (64.7%) | 50 (73.5%) | 0.169 |
| Without nasal oxygen cannula | 6 (17.6%) | 12 (35.3%) | 18 (26.5%) | |
| With high-flow oxygen therapy | 1 (2.9%) | 1 (2.9%) | 2 (2.9%) | >0.999 |
| Without high-flow oxygen therapy | 33 (97.1%) | 33 (97.1%) | 66 (97.1%) | |
| With NIMV | 3 (8.8%) | 2 (5.9%) | 5 (7.4%) | >0.999 |
| Without NIMV | 31 (91.2%) | 32 (94.1%) | 63 (92.6%) |
Disclaimer/Publisher’s Note: The statements, opinions and data contained in all publications are solely those of the individual author(s) and contributor(s) and not of MDPI and/or the editor(s). MDPI and/or the editor(s) disclaim responsibility for any injury to people or property resulting from any ideas, methods, instructions or products referred to in the content. |
© 2025 by the authors. Licensee MDPI, Basel, Switzerland. This article is an open access article distributed under the terms and conditions of the Creative Commons Attribution (CC BY) license (https://creativecommons.org/licenses/by/4.0/).
Share and Cite
Dogu Zengin, D.; Ergun, D.; Yormaz, B.; Ergun, R.; Guven, H.; Korez, M.K.; Ozer, H.; Unlu, A.; Tulek, B.; Kanat, F. The Role of Serum Prolidase Activity, MMP-1, MMP-7, and TGF-β Values in the Prediction of Early Fibrosis in Patients with Moderate to Severe COVID-19. Viruses 2025, 17, 954. https://doi.org/10.3390/v17070954
Dogu Zengin D, Ergun D, Yormaz B, Ergun R, Guven H, Korez MK, Ozer H, Unlu A, Tulek B, Kanat F. The Role of Serum Prolidase Activity, MMP-1, MMP-7, and TGF-β Values in the Prediction of Early Fibrosis in Patients with Moderate to Severe COVID-19. Viruses. 2025; 17(7):954. https://doi.org/10.3390/v17070954
Chicago/Turabian StyleDogu Zengin, Didem, Dilek Ergun, Burcu Yormaz, Recai Ergun, Halil Guven, Muslu Kazim Korez, Halil Ozer, Ali Unlu, Baykal Tulek, and Fikret Kanat. 2025. "The Role of Serum Prolidase Activity, MMP-1, MMP-7, and TGF-β Values in the Prediction of Early Fibrosis in Patients with Moderate to Severe COVID-19" Viruses 17, no. 7: 954. https://doi.org/10.3390/v17070954
APA StyleDogu Zengin, D., Ergun, D., Yormaz, B., Ergun, R., Guven, H., Korez, M. K., Ozer, H., Unlu, A., Tulek, B., & Kanat, F. (2025). The Role of Serum Prolidase Activity, MMP-1, MMP-7, and TGF-β Values in the Prediction of Early Fibrosis in Patients with Moderate to Severe COVID-19. Viruses, 17(7), 954. https://doi.org/10.3390/v17070954

