Pandemic-Driven Shifts in Epstein-Barr Virus (EBV) Epidemiology: Single Center Study
Abstract
1. Introduction
2. Materials and Methods
2.1. Patients and Samples
2.2. EBV Analysis
2.3. Statistical Analysis
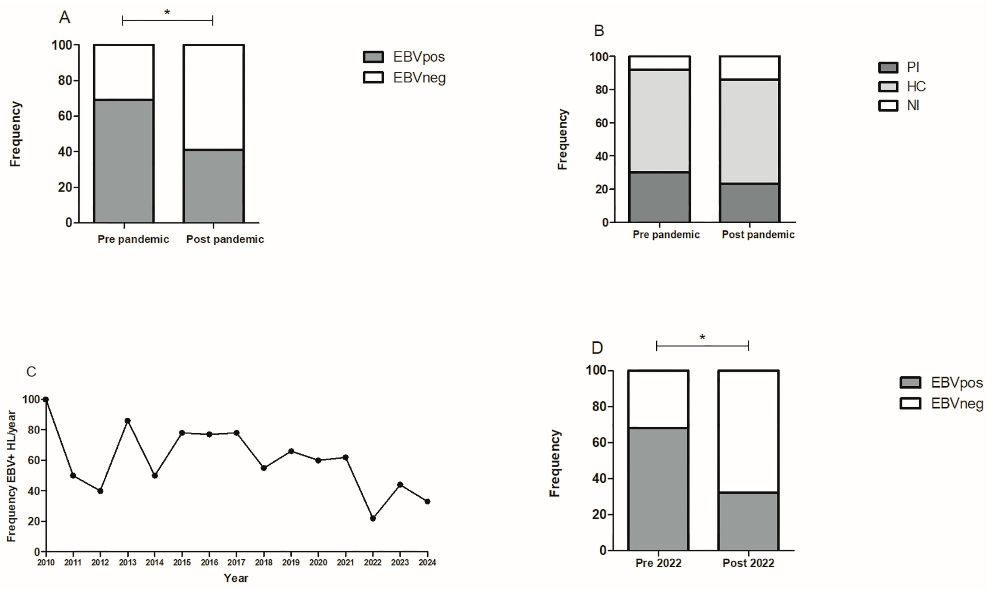
3. Results
3.1. EBV Prevalence in Children and in cHL
3.2. EBV Distribution According to Age
4. Discussion
Author Contributions
Funding
Institutional Review Board Statement
Informed Consent Statement
Data Availability Statement
Conflicts of Interest
Abbreviations
| EBV | Epstein Barr Virus |
| HL | Hodgkin Lymphoma |
| IARC | International Agency for Research on Cancer |
| eBL | Endemic Burkitt lymphoma |
| NPC | Nasopharyngeal carcinoma |
| ENKTLNT | Extranodal NK/T-cell lymphoma, Nasal type |
| DLBCL | Diffuse large B-cell lymphoma |
| GC | Gastric Carcinoma |
| MS | Multiple Sclerosis |
| NS | Nodular Sclerosis |
| MC | Mixed Cellularity |
| FITC | Fluorescein isothiocyanate |
| PI | Primary Infection |
| HC | Healthy Carriers |
| NI | Non-Infected |
| CMV | Cytomegalovirus |
| HIV | Human Immunodeficiency Virus |
| KSHV | Kaposi Sarcoma Herpes Virus |
References
- Geris, J.M.; Duval, L.M.; Balfour, H.H., Jr. Epstein-Barr Virus. Encyclopedia of Infection and Immunity; Elsevier: Amsterdam, The Netherlands, 2022; pp. 37–52. [Google Scholar] [CrossRef]
- Dunmire, S.K.; Verghese, P.S.; Balfour, H.H., Jr. Primary Epstein-Barr virus infection. J. Clin. Virol. 2018, 102, 84–92. [Google Scholar] [CrossRef] [PubMed]
- Gares, V.; Panico, L.; Castagne, R.; Delpierre, C.; Kelly-Irving, M. The role of the early social environment on Epstein Barr virus infection: A prospective observational design using the Millennium Cohort Study. Epidemiol. Infect. 2017, 145, 3405–3412. [Google Scholar] [CrossRef]
- IARC Working Group on the Evaluation of Carcinogenic Risks to Humans. Epstein-Barr Virus and Kaposi’s Sarcoma Herpesvirus/Human Herpesvirus 8. In IARC Monographs on the Evaluation of Carcinogenic Risks to Humans; International Agency for Research on Cancer: Lyon, France, 1997; Volume 70, pp. 1–492. [Google Scholar]
- Thorley-Lawson, D.A. EBV Persistence--Introducing the Virus. Curr. Top. Microbiol. Immunol. 2015, 390, 151–209. [Google Scholar] [CrossRef] [PubMed]
- Khan, G.; Hashim, M.J. Global burden of deaths from Epstein-Barr virus attributable Malignancies 1990–2010. Infect. Agent Cancer 2014, 9, 38. [Google Scholar] [CrossRef]
- Wong, Y.; Meehan, M.T.; Burrows, S.R.; Doolan, D.L.; Miles, J.J. Estimating the global burden of Epstein-Barr virus-related cancers. J. Cancer Res. Clin. Oncol. 2022, 148, 31–46. [Google Scholar] [CrossRef]
- Küppers, R.; Engert, A.; Hansmann, M.-L. Hodgkin lymphoma. J. Clin. Investig. 2012, 122, 3439–3447. [Google Scholar] [CrossRef] [PubMed]
- Cader, F.Z.; Kearns, P.; Young, L.; Murray, P.; Vockerodt, M. The contribution of the Epstein-Barr virus to the pathogenesis of childhood lymphomas. Cancer Treat. Rev. 2010, 36, 348–353. [Google Scholar] [CrossRef]
- Nagpal, P.; Akl, M.R.; Ayoub, N.M.; Tomiyama, T.; Cousins, T.; Tai, B.; Carroll, N.; Nyrenda, T.; Bhattacharyya, P.; Harris, M.B.; et al. Pediatric Hodgkin lymphoma: Biomarkers, drugs, and clinical trials for translational science and medicine. Oncotarget 2016, 7, 67551–67573. [Google Scholar] [CrossRef]
- Chabay, P.A.; Preciado, M.V. EBV primary infection in childhood and its relation to B-cell lymphoma development: A mini-review from a developing region. Int. J. Cancer 2013, 133, 1286–1292. [Google Scholar] [CrossRef]
- De Matteo, E.; Lombardi, M.G.; Preciado, M.V.; Chabay, P. Changes in EBV Association Pattern in Pediatric Classic Hodgkin Lymphoma from a Single Institution in Argentina. Front. Oncol. 2019, 9, 881. [Google Scholar] [CrossRef]
- Giraud-Gatineau, A.; Kaba, L.; Boschi, C.; Devaux, C.; Casalta, J.-P.; Gautret, P.; Chaudet, H.; Colson, P.; Raoult, D. Control of common viral epidemics but not of SARS-CoV-2 through the application of hygiene and distancing measures. J. Clin. Virol. 2022, 150–151, 105163. [Google Scholar] [CrossRef] [PubMed]
- Liang, Y.; Hou, L.; Hou, G.; Zhang, X.; Chen, L.; Zhang, W. The influences of the COVID-19 pandemic on Epstein-Barr virus infection in children, Henan, China. J. Infect. 2023, 86, 525–528. [Google Scholar] [CrossRef]
- Cai, F.; Gao, H.; Ye, Q. Seroprevalence of Epstein-Barr virus infection in children during the COVID-19 pandemic in Zhejiang, China. Front. Pediatr. 2023, 11, 1064330. [Google Scholar] [CrossRef]
- Alaggio, R.; Amador, C.; Anagnostopoulos, I.; Attygalle, A.D.; Araujo, I.B.O.; Berti, E.; Bhagat, G.; Borges, A.M.; Boyer, D.; Calaminici, M.; et al. The 5th edition of the World Health Organization Classification of Haematolymphoid Tumours: Lymphoid Neoplasms. Leukemia 2022, 36, 1720–1748. [Google Scholar] [CrossRef]
- Amarillo, M.E.; Moyano, A.; Gerpe, N.F.; De Matteo, E.; Preciado, M.V.; Chabay, P. Tonsillar cytotoxic CD4 T cells are involved in the control of EBV primary infection in children. Sci. Rep. 2024, 14, 2135. [Google Scholar] [CrossRef]
- Yeoh, D.K.; Foley, D.A.; Minney-Smith, C.A.; Martin, A.C.; Mace, A.O.; Sikazwe, C.T.; Le, H.; Levy, A.; Blyth, C.C.; Moore, H.C. Impact of Coronavirus Disease 2019 Public Health Measures on Detections of Influenza and Respiratory Syncytial Virus in Children During the 2020 Australian Winter. Clin. Infect. Dis. 2021, 72, 2199–2202. [Google Scholar] [CrossRef] [PubMed]
- Maharaj, A.S.; Parker, J.; Hopkins, J.P.; Gournis, E.; Bogoch, I.I.; Rader, B.; Astley, C.M.; Ivers, N.; Hawkins, J.B.; VanStone, N.; et al. The effect of seasonal respiratory virus transmission on syndromic surveillance for COVID-19 in Ontario, Canada. Lancet Infect. Dis. 2021, 21, 593–594. [Google Scholar] [CrossRef] [PubMed]
- Huang, Q.S.; Wood, T.; Jelley, L.; Jennings, T.; Jefferies, S.; Daniells, K.; Nesdale, A.; Dowell, T.; Turner, N.; Campbell-Stokes, P.; et al. Impact of the COVID-19 nonpharmaceutical interventions on influenza and other respiratory viral infections in New Zealand. Nat. Commun. 2021, 12, 1001. [Google Scholar] [CrossRef]
- Yu, Z.; Xu, S.; Li, L.; Li, M.; Sun, H. Changes of cytomegalovirus infection in neonates before and after the COVID19 pandemic in Zhengzhou, China. J. Infect. 2023, 86, 417–418. [Google Scholar] [CrossRef]
- Blumenthal, M.J.; Lambarey, H.; Chetram, A.; Riou, C.; Wilkinson, R.J.; Schäfer, G. Kaposi’s Sarcoma-Associated Herpesvirus, but Not Epstein-Barr Virus, Co-infection Associates with Coronavirus Disease 2019 Severity and Outcome in South African Patients. Front. Microbiol. 2022, 12, 795555. [Google Scholar] [CrossRef]
- Fourcade, G.; Germi, R.; Guerber, F.; Lupo, J.; Baccard, M.; Seigneurin, A.; Semenova, T.; Morand, P.; Epaulard, O. Evolution of EBV seroprevalence and primary infection age in a French hospital and a city laboratory network, 2000–2016. PLoS ONE 2017, 12, e0175574. [Google Scholar] [CrossRef]
- Paolucci, S.; Cassaniti, I.; Novazzi, F.; Fiorina, L.; Piralla, A.; Comolli, G.; Bruno, R.; Maserati, R.; Gulminetti, R.; Novati, S.; et al. EBV DNA increase in COVID-19 patients with impaired lymphocyte subpopulation count. Int. J. Infect. Dis. 2021, 104, 315–319. [Google Scholar] [CrossRef] [PubMed]
- Ferressini Gerpe, N.; Vistarop, A.; Moyano, A.; De Matteo, E.; Preciado, M.; Chabay, P. Distinctive EBV infection characteristics in children from a developing country. Int. J. Infect. Dis. 2020, 93, 139–145. [Google Scholar] [CrossRef] [PubMed]
- Lam, J.K.P.; Hui, K.F.; Ning, R.J.; Xu, X.Q.; Chan, K.H.; Chiang, A.K.S. Emergence of CD4+ and CD8+ Polyfunctional T Cell Responses Against Immunodominant Lytic and Latent EBV Antigens in Children with Primary EBV Infection. Front. Microbiol. 2018, 9, 416. [Google Scholar] [CrossRef] [PubMed]
- Chijioke, O.; Landtwing, V.; Münz, C. NK Cell Influence on the Outcome of Primary Epstein-Barr Virus Infection. Front. Immunol. 2016, 7, 323. [Google Scholar] [CrossRef]
- Mahapatra, S.; Mace, E.M.; Minard, C.G.; Forbes, L.R.; Vargas-Hernandez, A.; Duryea, T.K.; Makedonas, G.; Banerjee, P.P.; Shearer, W.T.; Orange, J.S. High-resolution phenotyping identifies NK cell subsets that distinguish healthy children from adults. PLoS ONE 2017, 12, e0181134. [Google Scholar] [CrossRef]
- Erdmann, F.; Wellbrock, M.; Trübenbach, C.; Spix, C.; Schrappe, M.; Schüz, J.; Grabow, D.; Eichinger, M. Impact of the COVID-19 pandemic on incidence, time of diagnosis and delivery of healthcare among paediatric oncology patients in Germany in 2020: Evidence from the German Childhood Cancer Registry and a qualitative survey. Lancet Reg. Health Eur. 2021, 9, 100188. [Google Scholar] [CrossRef]
- Ekberg, S.; Molin, D.; Pahnke, S.; Bergström, F.; Brånvall, E.; Smedby, K.E.; Wästerlid, T. Impact of the COVID-19 pandemic on lymphoma incidence and short-term survival—A Swedish Lymphoma Register Study. Acta Oncol. 2024, 63, 164–168. [Google Scholar] [CrossRef]
- International Agency for Research on Cancer. Global Cancer Observatory: Cancer Today; International Agency for Research on Cancer: Lyon, France, 2022; Available online: https://gco.iarc.fr/today (accessed on 12 October 2024).
- Campos, A.H.J.F.M.; Moreira, A.; Ribeiro, K.B.; Paes, R.P.; Zerbini, M.C.; Aldred, V.; de Souza, C.A.; Neto, C.S.; Soares, F.A.; Vassallo, J. Frequency of EBV associated classical Hodgkin lymphoma decreases over a 54-year period in a Brazilian population. Sci. Rep. 2018, 8, 1849. [Google Scholar] [CrossRef]
- Koh, Y.W.; Kang, H.J.; Yoon, D.H.; Suh, C.; Kim, J.E.; Kim, C.-W.; Huh, J. Changing trend of Epstein-Barr virus association in Hodgkin lymphoma in the Republic of Korea. Ann. Hematol. 2013, 92, 1653–1660. [Google Scholar] [CrossRef]


Disclaimer/Publisher’s Note: The statements, opinions and data contained in all publications are solely those of the individual author(s) and contributor(s) and not of MDPI and/or the editor(s). MDPI and/or the editor(s) disclaim responsibility for any injury to people or property resulting from any ideas, methods, instructions or products referred to in the content. |
© 2025 by the authors. Licensee MDPI, Basel, Switzerland. This article is an open access article distributed under the terms and conditions of the Creative Commons Attribution (CC BY) license (https://creativecommons.org/licenses/by/4.0/).
Share and Cite
Amarillo, M.E.; Lindl, K.; García Lombardi, M.; Preciado, M.V.; De Matteo, E.; Chabay, P. Pandemic-Driven Shifts in Epstein-Barr Virus (EBV) Epidemiology: Single Center Study. Viruses 2025, 17, 375. https://doi.org/10.3390/v17030375
Amarillo ME, Lindl K, García Lombardi M, Preciado MV, De Matteo E, Chabay P. Pandemic-Driven Shifts in Epstein-Barr Virus (EBV) Epidemiology: Single Center Study. Viruses. 2025; 17(3):375. https://doi.org/10.3390/v17030375
Chicago/Turabian StyleAmarillo, Maria Eugenia, Karen Lindl, Mercedes García Lombardi, Maria Victoria Preciado, Elena De Matteo, and Paola Chabay. 2025. "Pandemic-Driven Shifts in Epstein-Barr Virus (EBV) Epidemiology: Single Center Study" Viruses 17, no. 3: 375. https://doi.org/10.3390/v17030375
APA StyleAmarillo, M. E., Lindl, K., García Lombardi, M., Preciado, M. V., De Matteo, E., & Chabay, P. (2025). Pandemic-Driven Shifts in Epstein-Barr Virus (EBV) Epidemiology: Single Center Study. Viruses, 17(3), 375. https://doi.org/10.3390/v17030375

