Improved Viability of Spray-Dried Pantoea agglomerans for Phage-Carrier Mediated Control of Fire Blight
Abstract
1. Introduction
2. Materials and Methods
2.1. Bacterial Isolates
2.2. Bacteriophages
2.3. Quantitative PCR (qPCR)
2.4. Bacterial Counting by Platting
2.5. Carrier Preparation
2.6. Phage-Carrier Formulation
2.6.1. Material Screening and Formulation Optimization
2.6.2. Spray-Drying of Phage-Infected and Non-Infected Carrier Cells
2.7. Storage Stability of the Spray-Dried Preparations
2.8. Efficacy Testing of Phage-Carrier with a Green Pear Disc Assay
2.9. Powder Physical Properties
2.9.1. Water Activity (aw)
2.9.2. Transmission Electron Microscopy (TEM)
3. Results
3.1. Material Selection for the Phage-Carrier Formulation
3.2. Optimization of Spray-Drying and Reconstitution Protocols
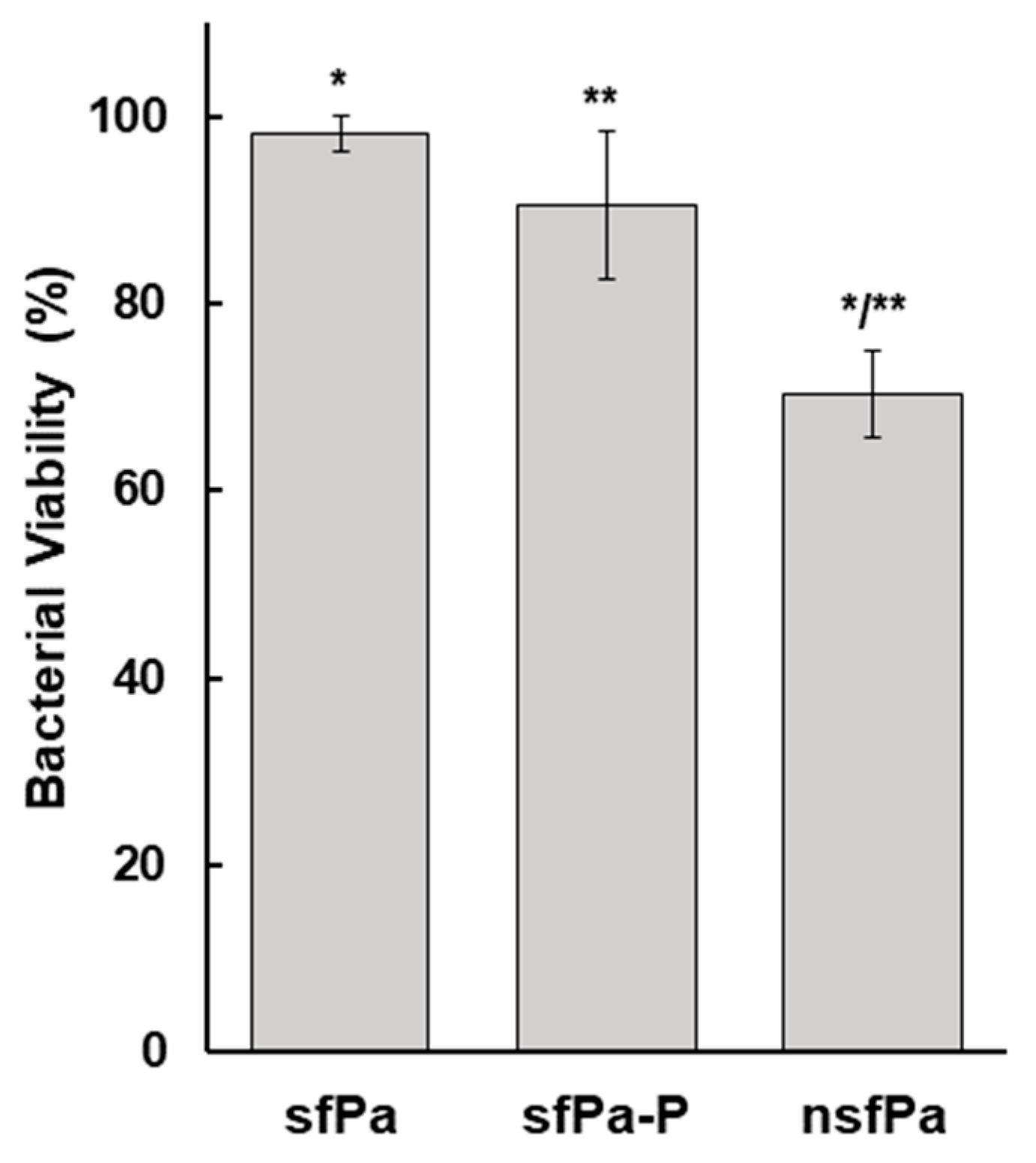
3.3. Confirmation of Cell Viability and Phage Infectivity after Spray-Drying
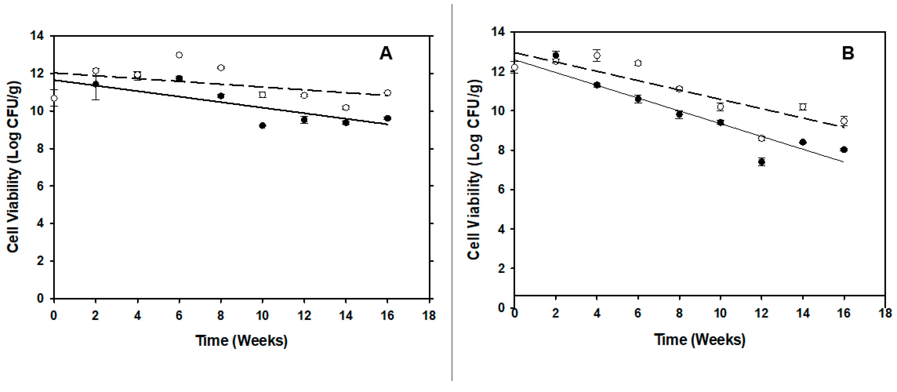
3.4. Shelf-Life of the Carrier and Phage-Carrier Spray-Dried Powders
3.5. Phage-Carrier Efficacy Assessment with the Pear Disc Assay
4. Discussion
5. Conclusions
Supplementary Materials
Author Contributions
Funding
Institutional Review Board Statement
Informed Consent Statement
Data Availability Statement
Conflicts of Interest
References
- Malnoy, M.; Martens, S.; Norelli, J.L.; Barny, M.-A.; Sundin, G.W.; Smits, T.H.M.; Duffy, B. Fire blight: Applied genomic insights of the pathogen and host. Annu. Rev. Phytopathol. 2012, 50, 475–494. [Google Scholar] [CrossRef] [PubMed]
- Thomson, S. Epidemiology of Fire Blight; CABI International: Wallingford, UK, 2000. [Google Scholar]
- Slack, S.M.; Walters, K.J.; Outwater, C.A.; Sundin, G.W. Effect of kasugamycin, oxytetracycline, and streptomycin on in-orchard population dynamics of Erwinia amylovora on apple flower stigmas. Plant Dis. 2020, 105, 1843–1850. [Google Scholar] [CrossRef] [PubMed]
- McManus, P.S.; Stockwell, V.O.; Sundin, G.W.; Jones, A.L. Antibiotic use in plant agriculture. Annu. Rev. Phytopathol. 2002, 40, 443–465. [Google Scholar] [CrossRef] [PubMed]
- Parcey, M.; Gayder, S.; Morley-Senkler, V.; Bakkeren, G.; Úrbez-Torres, J.R.; Ali, S.; Castle, A.J.; Svircev, A.M. Comparative genomic analysis of Erwinia amylovora reveals novel insights in phylogenetic arrangement, plasmid diversity, and streptomycin resistance. Genomics 2020, 112, 3762–3772. [Google Scholar] [CrossRef] [PubMed]
- Tancos, K.A.; Villani, S.; Kuehne, S.; Borejsza-Wysocka, E.; Breth, D.; Carol, J.; Aldwinckle, H.S.; Cox, K.D. Prevalence of streptomycin-resistant Erwinia amylovora in new york apple orchards. Plant Dis. 2016, 100, 802–809. [Google Scholar] [CrossRef]
- Russo, N.; Burr, T.; Breth, D.; Aldwinckle, H. Isolation of streptomycin-resistant isolates of Erwinia amylovora in new york. Plant Dis. 2008, 92, 714–718. [Google Scholar] [CrossRef]
- Svircev, A.M.; Roach, D.; Castle, A. Framing the future with bacteriophages in agriculture. Viruses 2018, 10, 218. [Google Scholar] [CrossRef] [PubMed]
- Freeland, G.; Hettiarachchy, N.; Atungulu, G.G.; Apple, J.; Mukherjee, S. Strategies to combat antimicrobial resistance from farm to table. Food Rev. Int. 2023, 39, 27–40. [Google Scholar] [CrossRef]
- Tang, K.W.K.; Millar, B.C.; Moore, J.E. Antimicrobial resistance (AMR). Br. J. Biomed. Sci. 2023, 80, 11387. [Google Scholar] [CrossRef]
- Sagar, P.; Azeem, A.; Banjara, S.K.; Veleri, S. The role of food chain in antimicrobial resistance spread and One Health approach to reduce risks. Int. J. Food Microbiol. 2023, 391–393, 110148. [Google Scholar] [CrossRef]
- Phillips, I. Withdrawal of growth-promoting antibiotics in Europe and its effects in relation to human health. Int. J. Antimicrob. Agents 2007, 30, 101–107. [Google Scholar] [CrossRef]
- Gildea, L.; Ayariga, J.A.; Robertson, B.K. Bacteriophages as biocontrol agents in livestock food production. Microorganisms 2022, 10, 2126. [Google Scholar] [CrossRef]
- Svircev, A.M.; Castle, A.J.; Lehman, S.M. Bacteriophages for control of phytopathogens in food production systems. In Bacteriophages in the Control of Food and Waterborne Pathogens; ASM Press: Washington, DC, USA, 2010; pp. 79–102. [Google Scholar]
- Dagher, F.; Olishevska, S.; Philion, V.; Zheng, J.; Déziel, E. Development of a novel biological control agent targeting the phytopathogen Erwinia amylovora. Heliyon 2020, 6, e05222. [Google Scholar] [CrossRef]
- Mikiciński, A.; Puławska, J.; Molzhigitova, A.; Sobiczewski, P. Bacterial species recognized for the first time for its biocontrol activity against fire blight (Erwinia amylovora). Eur. J. Plant Pathol. 2020, 156, 257–272. [Google Scholar] [CrossRef]
- Wagemans, J.; Holtappels, D.; Vainio, E.; Rabiey, M.; Marzachì, C.; Herrero, S.; Ravanbakhsh, M.; Tebbe, C.C.; Ogliastro, M.; Ayllón, M.A.; et al. Going viral: Virus-based biological control agents for plant protection. Annu. Rev. Phytopathol. 2022, 60, 21–42. [Google Scholar] [CrossRef] [PubMed]
- Balogh, B.; Jones, J.B.; Momol, M.; Olson, S.; Obradovic, A.; King, P.; Jackson, L. Improved efficacy of newly formulated bacteriophages for management of bacterial spot on tomato. Plant Dis. 2003, 87, 949–954. [Google Scholar] [CrossRef] [PubMed]
- Flaherty, J.E.; Somodi, G.C.; Jones, J.B.; Harbaugh, B.K.; Jackson, L.E. Control of bacterial spot on tomato in the greenhouse and field with h-mutant bacteriophages. HortScience 2000, 35, 882–884. [Google Scholar] [CrossRef]
- Boulé, J.; Sholberg, P.L.; Lehman, S.M.; O’Gorman, D.T.; Svircev, A.M. Isolation and characterization of eight bacteriophages infecting Erwinia amylovora and their potential as biological control agents in British Columbia, Canada. Can. J. Plant Pathol. 2011, 33, 308–317. [Google Scholar] [CrossRef]
- Gayder, S.; Parcey, M.; Nesbitt, D.; Castle, A.J.; Svircev, A.M. Population dynamics between Erwinia amylovora, Pantoea agglomerans and bacteriophages: Exploiting synergy and competition to improve phage cocktail efficacy. Microorganisms 2020, 8, 1449. [Google Scholar] [CrossRef] [PubMed]
- Gill, J.J.; Svircev, A.M.; Smith, R.; Castle, A.J. Bacteriophages of Erwinia amylovora. Appl. Environ. Microbiol. 2003, 69, 2133–2138. [Google Scholar] [CrossRef] [PubMed]
- Gayder, S.; Parcey, M.; Castle, A.J.; Svircev, A.M. Host range of bacteriophages against a world-wide collection of Erwinia amylovora determined using a quantitative pcr assay. Viruses 2019, 11, 910. [Google Scholar] [CrossRef] [PubMed]
- Lehman, S.M. Development of a Bacteriophage-Based Biopesticide for Fire Blight; Brock University: St. Catharines, ON, Canada, 2007. [Google Scholar]
- Desobry, S.A.; Netto, F.M.; Labuza, T.P. Comparison of spray-drying, drum-drying and freeze-drying for β-carotene encapsulation and preservation. J. Food Sci. 1997, 62, 1158–1162. [Google Scholar] [CrossRef]
- Lian, W.-C.; Hsiao, H.-C.; Chou, C.-C. Survival of bifidobacteria after spray-drying. Int. J. Food Microbiol. 2002, 74, 79–86. [Google Scholar] [CrossRef] [PubMed]
- Costa, E.; Teixidó, N.; Usall, J.; Fons, E.; Gimeno, V.; Delgado, J.; Viñas, I. Survival of pantoea agglomerans strain cpa-2 in a spray-drying process. J. Food Prot. 2002, 65, 185–191. [Google Scholar] [CrossRef]
- Roach, D.R. Erwinia amylovora Bacteriophage Resistance. Ph.D. Thesis, Brock University, St. Catharines, ON, Canada, 2012. [Google Scholar]
- Teixidó, N.; Cañamás, T.P.; Usall, J.; Torres, R.; Magan, N.; Viñas, I. Accumulation of the compatible solutes, glycine-betaine and ectoine, in osmotic stress adaptation and heat shock cross-protection in the biocontrol agent Pantoea agglomerans CPA-2. Lett. Appl. Microbiol. 2005, 41, 248–252. [Google Scholar] [CrossRef] [PubMed]
- Torres, R.; Solsona, C.; Viñas, I.; Usall, J.; Plaza, P.; Teixidó, N. Optimization of packaging and storage conditions of a freeze-dried Pantoea agglomerans formulation for controlling postharvest diseases in fruit. J. Appl. Microbiol. 2014, 117, 173–184. [Google Scholar] [CrossRef]
- Aldwinckle, H.; Preczewski, J. Susceptibility of vegetative tissues of apple cultivars to invasion by Erwinia amylovora. Phytopathology 1976, 66, 1439–1444. [Google Scholar] [CrossRef]
- Bogdanove, A.J.; Kim, J.F.; Wei, Z.; Kolchinsky, P.; Charkowski, A.O.; Conlin, A.K.; Collmer, A.; Beer, S.V. Homology and functional similarity of an hrp-linked pathogenicity locus, dspEF, of Erwinia amylovora and the avirulence locus avrE of Pseudomonas syringae pathovar tomato. Proc. Natl. Acad. Sci. USA 1998, 95, 1325–1330. [Google Scholar] [CrossRef]
- Yu, X.; Schmidt, A.R.; Schmidt, S.J. Uncertainty analysis of hygrometer-obtained water activity measurements of saturated salt slurries and food materials. Food Chem. 2009, 115, 214–226. [Google Scholar] [CrossRef]
- Svircev, A.M.; Lehman, S.M.; Kim, W.S.; Barszcz, E.; Schneider, K.E.; Castle, A.J. Control of the Fire Blight Pathogen with Bacteriophages; Biologische Bundesanstalt für Land-und Forstwirtschaft: Berlin, Germany, 2006; pp. 259–261. [Google Scholar]
- Teixidó, N.; Usall, J.; Torres, R. Insight into a successful development of biocontrol agents: Production, formulation, packaging, and shelf life as key aspects. Horticulturae 2022, 8, 305. [Google Scholar] [CrossRef]
- Teixidó, N.; Cañamás, T.P.; Abadias, M.; Usall, J.; Solsona, C.; Casals, C.; Viñas, I. Improving low water activity and desiccation tolerance of the biocontrol agent Pantoea agglomerans cpa-2 by osmotic treatments. J. Appl. Microbiol. 2006, 101, 927–937. [Google Scholar] [CrossRef]
- Bonaterra, A.; Camps, J.; Montesinos, E. Osmotically induced trehalose and glycine betaine accumulation improves tolerance to desiccation, survival and efficacy of the postharvest biocontrol agent Pantoea agglomerans EPS125. FEMS Microbiol. Lett. 2005, 250, 1–8. [Google Scholar] [CrossRef]
- Manbua, N.; Suteewong, T.; Sae-Ueng, U. Efficacy of sugar excipients on lyophilized c22 phage infectivity evaluated by atomic force microscopy. Biol. Control 2022, 170, 104922. [Google Scholar] [CrossRef]
- Howes, W.V. Effect of glucose on the capacity of Escherichia coli to be infected by a virulent lamba bacteriophage. J. Bacteriol. 1965, 90, 1188–1193. [Google Scholar] [CrossRef]
- Vandenheuvel, D.; Meeus, J.; Lavigne, R.; Van den Mooter, G. Instability of bacteriophages in spray-dried trehalose powders is caused by crystallization of the matrix. Int. J. Pharm. 2014, 472, 202–205. [Google Scholar] [CrossRef]
- Moreira, M.T.C.; Martins, E.; Perrone, Í.T.; de Freitas, R.; Queiroz, L.S.; de Carvalho, A.F. Challenges associated with spray drying of lactic acid bacteria: Understanding cell viability loss. Compr. Rev. Food Sci. Food Saf. 2021, 20, 3267–3283. [Google Scholar] [CrossRef] [PubMed]
- Silva, J.; Freixo, R.; Gibbs, P.; Teixeira, P. Spray-drying for the production of dried cultures. Int. J. Dairy Technol. 2011, 64, 321–335. [Google Scholar] [CrossRef]
- Teixeira, P.; Castro, H.; Kirby, R. Evidence of membrane lipid oxidation of spray-dried Lactobacillus bulgaricus during storage. Lett. Appl. Microbiol. 1996, 22, 34–38. [Google Scholar] [CrossRef]
- Choi, C.; Kuatsjah, E.; Wu, E.; Yuan, S. The effect of cell size on the burst size of t4 bacteriophageinfections of Escherichia coli b23. J. Exper. Microbiol. Immunol. 2010, 14, 85–91. [Google Scholar]
- Bryan, D.; El-Shibiny, A.; Hobbs, Z.; Porter, J.; Kutter, E.M. Bacteriophage t4 infection of stationary phase E. coli: Life after log from a phage perspective. Front. Microbiol. 2016, 7, 1391. [Google Scholar] [CrossRef]
- Gross, C.A.; Chan, C.; Dombroski, A.; Gruber, T.; Sharp, M.; Tupy, J.; Young, B. The functional and regulatory roles of sigma factors in transcription. Cold Spring Harb. Symp. Quant. Biol. 1998, 63, 141–155. [Google Scholar] [CrossRef]
- Gruber, T.M.; Gross, C.A. Multiple sigma subunits and the partitioning of bacterial transcription space. Annu. Rev. Microbiol. 2003, 57, 441–466. [Google Scholar] [CrossRef] [PubMed]
- Hengge-Aronis, R. Signal transduction and regulatory mechanisms involved in control of the sigma(s) (rpos) subunit of rna polymerase. Microbiol. Mol. Biol. Rev. 2002, 66, 373–395. [Google Scholar] [CrossRef] [PubMed]








| Strain | GenBank Accession Number | Ref. |
|---|---|---|
| Pantoea agglomerans | ||
| Pa39-7 | JACSWZ000000000 | [18] |
| Pa31-4 | JACSXE000000000 | [18] |
| Erwinia amylovora | ||
| Ea6-4 | JAAEVD000000000 | [23] |
| EaD7 | JAAEUT000000000 | [23] |
| Phage | Species | GenBank Accession Number | Pathogen Host | Ref. |
|---|---|---|---|---|
| ϕEa21-4 | Kolesnikvirus Ea214 | NC_011811.1 | Ea6-4 | [22] |
| ϕEa46-1-A1 | - | NA | EaD7 | [22] |
| Name | Species | Amplicon Size (bp) | Sequence (5′-3′) | Reference |
|---|---|---|---|---|
| END37-F | ϕEa21-4 | 149 | TTCAGCTTTAGCGGCTTCGAGA | [23] |
| END37-R | AGCAAGCCCTTGAGGTAATGGA | |||
| END37-P | /56-ROXN/AGTCGGTACACCTGCAACGTCAAGAT/3IAbRQSp/ | |||
| STS3-F | ϕEa46-1-A1 | 96 | GACAAACAAGAACGCGGCAACTGA | [28] |
| STS3-R | ATACCCAGCAAGGCGTCAACCTTA | |||
| STS3-P | /56-FAM/AGATGAAGTAGGTTATCTTCACAGTGCCCT/3BHQ_1/ | |||
| Ea-Lsc-F | E. amylovora | 105 | CGCTAACAGCAGATCGCA | [24] |
| Ea-Lsc-R | AAATACGCGCACGACCAT | |||
| Ea-Lsc-P | /5Cy5/CTGATAATCCGCAATTCCAGGATG/3IAbRQsp/ | |||
| Pa-Gnd-F | P. agglomerans | 73 | TGGATGAAGCAGCGAACA | [24] |
| Pa-Gnd-R | GACAGAGGTTCGCCGAGA | |||
| Pa-Gnd-P | /5HEX/AAATGGACCAGCCAGAGCTCACTG/3BHQ_1/ |
| Chemicals | Final Concentration (%, w/v) |
|---|---|
| D(+)-Trehalose | 0.05, 0.50, 5.00 |
| Maltodextrin (DE * 4.0–7.0) | 0.05, 0.50, 5.00 |
| Maltodextrin (DE 16.5–19.5) | 0.05, 0.50, 5.00 |
| Talc/CMC ** | 0.01, 0.10, 1.00 |
| Chemicals | Final Concentration (%, w/v) |
|---|---|
| D(+)-Trehalose | 13–15 |
| Maltodextrin * | 5–15 |
| Talc | 0–2 |
| CMC ** | 0–1 |
Disclaimer/Publisher’s Note: The statements, opinions and data contained in all publications are solely those of the individual author(s) and contributor(s) and not of MDPI and/or the editor(s). MDPI and/or the editor(s) disclaim responsibility for any injury to people or property resulting from any ideas, methods, instructions or products referred to in the content. |
© 2024 by HIS Majesty the King in Right of Canada, as represented by the Minister of Agriculture and Agri-Food Canada. Submitted for possible open access publication under the terms and conditions of the Creative Commons Attribution (CC BY) license (https://creativecommons.org/licenses/by/4.0/).
Share and Cite
Ibrahim, N.; Nesbitt, D.; Guo, Q.; Lin, J.; Svircev, A.; Wang, Q.; Weadge, J.T.; Anany, H. Improved Viability of Spray-Dried Pantoea agglomerans for Phage-Carrier Mediated Control of Fire Blight. Viruses 2024, 16, 257. https://doi.org/10.3390/v16020257
Ibrahim N, Nesbitt D, Guo Q, Lin J, Svircev A, Wang Q, Weadge JT, Anany H. Improved Viability of Spray-Dried Pantoea agglomerans for Phage-Carrier Mediated Control of Fire Blight. Viruses. 2024; 16(2):257. https://doi.org/10.3390/v16020257
Chicago/Turabian StyleIbrahim, Nassereldin, Darlene Nesbitt, Qian (Tracy) Guo, Janet Lin, Antonet Svircev, Qi Wang, Joel T. Weadge, and Hany Anany. 2024. "Improved Viability of Spray-Dried Pantoea agglomerans for Phage-Carrier Mediated Control of Fire Blight" Viruses 16, no. 2: 257. https://doi.org/10.3390/v16020257
APA StyleIbrahim, N., Nesbitt, D., Guo, Q., Lin, J., Svircev, A., Wang, Q., Weadge, J. T., & Anany, H. (2024). Improved Viability of Spray-Dried Pantoea agglomerans for Phage-Carrier Mediated Control of Fire Blight. Viruses, 16(2), 257. https://doi.org/10.3390/v16020257

